In Vitro and In Vivo Anti-Candida spp. Activity of Plant-Derived Products
Abstract
1. Introduction
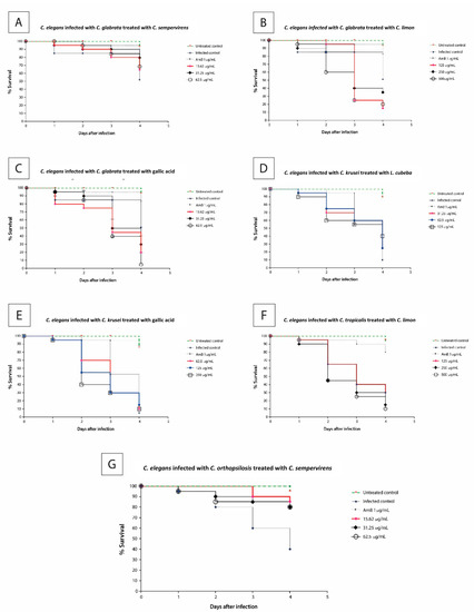
2. Results
3. Discussion
4. Materials and Methods
4.1. Essential Oils
4.2. Plant Extracts
4.3. Plant-Derived Compounds
4.4. Candida Species
4.5. Minimum Inhibitory Concentration Determination
4.6. Identification of the Chemical Composition of the EOs
4.7. Time-Kill Curves
4.8. Evaluation of the Effects on Biofilm
4.9. In Vivo Toxicity to Caenorhabditis elegans
4.10. Infection Assay of Caenorhabditis elegans–Candida Species
5. Statistical Analysis
Author Contributions
Funding
Acknowledgments
Conflicts of Interest
References
- Pappas, P.G.; Lionakis, M.S.; Arendrup, M.C.; Ostrosky-Zeichner, L.; Kullberg, B.J. Invasive candidiasis. Nat. Rev. Dis. Primers. 2018, 4, 18026. [Google Scholar] [CrossRef] [PubMed]
- Kong, E.F.; Kucharíková, S.; Van Dijck, P.; Peters, B.M.; Shirtliff, M.E.; Jabra-Rizk, M.A. Clinical implications of oral candidiasis: Host tissue damage and disseminated bacterial disease. Infect. Immun. 2015, 83, 604–613. [Google Scholar] [CrossRef] [PubMed]
- Sobel, J.D.; Sobel, R. Current treatment options for vulvovaginal candidiasis caused by azole-resistant Candida species. Expert Opin. Pharmacother. 2018, 19, 971–977. [Google Scholar] [CrossRef] [PubMed]
- Friedman, D.Z.P.; Schwartz, I.S. Emerging fungal infections: New patients, new patterns, and new pathogens. J. Fungi 2019, 5, E67. [Google Scholar] [CrossRef] [PubMed]
- Fanning, S.; Mitchell, A.P. Fungal biofilms. PLoS Pathog. 2012, 8, 1002585. [Google Scholar] [CrossRef] [PubMed]
- Asong, J.A.; Amoo, S.O.; McGaw, L.J.; Nkadimeng, S.M.; Aremu, A.O.; Otang-Mbeng, W. Antimicrobial activity, antioxidant potential, cytotoxicity and phytochemical profiling of four plants locally used against skin diseases. Plants 2019, 8, 350. [Google Scholar] [CrossRef] [PubMed]
- Serra, E.; Hidalgo-Bastida, L.; Verran, J.; Williams, D.; Malic, S. Antifungal activity of commercial essential oils and biocides against Candida albicans. Pathogens 2018, 7, 15. [Google Scholar] [CrossRef] [PubMed]
- Zore, G.B.; Thakre, A.D.; Jadhav, S.; Karuppayil, S.M. Terpenoids inhibit Candida albicans growth by affecting membrane integrity and arrest of cell cycle. Phytomedicine 2011, 18, 1181–1190. [Google Scholar] [CrossRef] [PubMed]
- Nazzaro, F.; Fratianni, F.; Coppola, R.; De Feo, V. Essential oils and antifungal activity. Pharmaceuticals 2017, 10, 86. [Google Scholar] [CrossRef] [PubMed]
- Ghasemzadeh, A.; Ghasemzadeh, N. Flavonoids and phenolic acids: Role and biochemical activity in plants and humans. J. Med. Plants Res. 2011, 5, 6697–6703. [Google Scholar] [CrossRef]
- Newman, D.J.; Cragg, G.M. Natural products as sources of new drugs from 1981 to 2014. J. Nat. Prod. 2016, 79, 629–661. [Google Scholar] [CrossRef] [PubMed]
- Doke, S.K.; Dhawale, S.C. Alternatives to animal testing: A review. Saudi Pharm. J. 2015, 23, 223–229. [Google Scholar] [CrossRef] [PubMed]
- Brazil Ministry of Health, Minister’s Office. Ordinance No. 971, May 3th, 2006: Approves the National Policy for Integrative and Complementary Practices (Política Nacional de Práticas Integrativas e Complementares [PNPIC]) in the Single Health System (Sistema Único de Saúde—SUS); Ministry of Health: Brasilia, Brasil, 2006. Available online: http://bvsms.saude.gov.br/bvs/publicacoes/pnpic.pdf (accessed on 9 July 2019).
- Republic Presidence, Deputy Chief of Legal Affairs. Ordinance No. 5813, 22 July 2006: Approves the National Policy of Medicinal Plants and Herbal Medicines and Other Measures; Office of the Presidential Staff: Brasilia, Brasil, 2006. Available online: http://www.planalto.gov.br/ccivil_03/_Ato2004-2006/2006/Decreto/D5813.htm (accessed on 9 July 2019).
- Selim, S.A.; Adam, M.E.; Hassan, S.M.; Albalawi, A.R. Chemical composition, antimicrobial and antibiofilm activity of the essential oil and methanol extract of the Mediterranean cypress (Cupressus sempervirens L.). BMC Complement Altern. Med. 2014, 14, 179. [Google Scholar] [CrossRef] [PubMed]
- Ibrahim, N.A.; El-Seedi, H.R.; Mohammed, M.M.D. Constituents and biological activity of the chloroform extract and essential oil of Cupressus sempervirens L. Chem. Nat. Compd. 2009, 45, 309–313. [Google Scholar] [CrossRef]
- Afsharzadeh, M.; Naderinasab, M.; Tayarani Najaran, Z.; Barzin, M.; Emami, S.A. In vitro antimicrobial activities of some Iranian conifers. Iran J. Pharm. Res. 2013, 12, 63–74. [Google Scholar] [PubMed]
- Boukhris, M.; Regane, G.; Yangui, T.; Sayadi, S.; Bouazizc, M. Chemical composition and biological potential of essential oil from Tunisian Cupressus sempervirens L. J. Arid Land Stud. 2012, 22, 329–332. [Google Scholar]
- Turner, A.S.; Butler, G. The Candida pathogenic species complex. Cold Spring Harb. Perspect. Med. 2014, 4, a019778. [Google Scholar] [CrossRef] [PubMed]
- Savastano, C.; de Oliveira Silva, E.; Gonçalves, L.L.; Nery, J.M.; Silva, N.C.; Dias, A.L. Candida glabrata among Candida spp. from environmental health practitioners of a Brazilian Hospital. Braz. J. Microbiol. 2016, 47, 367–372. [Google Scholar] [CrossRef] [PubMed]
- Pires, R.H.; Santos, J.M.; Zaia, J.E.; Martins, C.H.; Mendes-Giannini, M.J. Candida parapsilosis complex water isolates from a haemodialysis unit: Biofilm production and in vitro evaluation of the use of clinical antifungals. Mem. Inst. Oswaldo Cruz 2011, 106, 646–654. [Google Scholar] [CrossRef] [PubMed]
- Leite, M.C.A.; Bezerra, A.P.B.; Sousa, J.P.; Guerra, F.Q.S.; Lima, E.O. Evaluation of antifungal activity and mechanism of action of citral against Candida albicans. Evid. Based Complement Alternat. Med. 2014, 2014, 378280. [Google Scholar] [CrossRef] [PubMed]
- Araujo, F.M.; Passos, M.G.V.M.; Lima, E.O.; Roque, N.F.; Guedes, M.L.S.; Souza-Neta, L.C.; Cruz, F.G.; Martins, D. Composition and antimicrobial activity of essential oils from Poiretia bahiana C. Müller (Papilionoideae-Leguminosae). J. Braz. Chem. Soc. 2009, 20, 1805–1810. [Google Scholar] [CrossRef]
- Hammer, K.A.; Carson, C.F.; Riley, T.V. Antifungal activity of the components of Melaleuca alternifolia (tea tree) oil. J. Appl. Microbiol. 2003, 95, 853–860. [Google Scholar] [CrossRef] [PubMed]
- Andes, D.; Safdar, N.; Marchillo, K.; Conklin, R. Pharmacokinetic-pharmacodynamic comparison of amphotericin B (AMB) and two lipid-associated AMB preparations, liposomal AMB and AMB lipid complex, in murine candidiasis models. Antimicrob. Agents Chemother. 2006, 50, 674–684. [Google Scholar] [CrossRef] [PubMed]
- Prabajati, R.; Hernawan, I.; Hendarti, H.T. Effects of Citrus limon essential oil (Citrus limon L.) on cytomorphometric changes of Candida albicans. Dent. J. 2017, 50, 43–48. [Google Scholar] [CrossRef]
- Campelo, L.M.L.; Sá, C.G.; Feitosa, C.M.; Sousa, G.F.; Freitas, R.M. Chemical constituents and toxicological studies of the essential oil extracted from Citrus limon Burn (Rutaceae). Rev. Bras. Pl. Med. 2013, 15, 708–716. [Google Scholar] [CrossRef]
- Thakre, A.; Zore, G.; Kodgire, S.; Kazi, R.; Mulange, S.; Patil, R.; Shelar, A.; Santhakumari, B.; Kulkarni, M.; Kharat, K.; et al. Limonene inhibits Candida albicans growth by inducing apoptosis. Med. Mycol. 2018, 56, 565–578. [Google Scholar] [PubMed]
- Abdel-Rahman, F.H.; Alaniz, N.M.; Saleh, M.A. Nematicidal activity of terpenoids. J. Env. Sci. Health B. 2013, 48, 16–22. [Google Scholar] [CrossRef] [PubMed]
- Zhang, W.; Hu, J.F.; Lv, W.W.; Zhao, Q.C.; Shi, G.B. Antibacterial, antifungal and cytotoxic isoquinoline alkaloids from Litsea cubeba. Molecules 2012, 17, 12950–12960. [Google Scholar] [CrossRef] [PubMed]
- Kandimalla, R.; Kalita, S.; Choudhury, B.; Dash, S.; Kalita, K.; Kotoky, J. Chemical composition and anti-candidiasis mediated wound healing property of Cymbopogon nardus essential oil on chronic diabetic wounds. Front. Pharmacol. 2016, 7, 198. [Google Scholar] [CrossRef] [PubMed]
- Kamle, M.; Mahato, D.K.; Lee, K.E.; Bajpai, V.K.; Gajurel, P.R.; Gu, K.S.; Kumar, P. Ethnopharmacological properties and medicinal uses of Litsea cubeba. Plants 2019, 8, 150. [Google Scholar] [CrossRef] [PubMed]
- Li, Z.-J.; Liu, M.; Dawuti, G.; Dou, Q.; Ma, Y.; Liu, H.G.; Aibai, S. Antifungal activity of gallic acid in vitro and in vivo. Phytother. Res. 2017, 31, 1039–1045. [Google Scholar] [CrossRef] [PubMed]
- Teodoro, G.R.; Gontijo, A.V.L.; Salvador, M.J.; Tanaka, M.H.; Brighenti, F.L.; Delbem, A.C.B.; Delbem, Á.C.B.; Koga-Ito, C.Y. Effects of acetone fraction from Buchenavia tomentosa aqueous extract and gallic acid on Candida albicans biofilms and virulence factors. Front. Microbiol. 2018, 9, 647. [Google Scholar] [CrossRef] [PubMed]
- Câmara, C.R.S.; Shi, Q.; Pedersen, M.; Zbasnik, R.; Nickerson, K.W.; Schlegel, V. Histone acetylation increases in response to ferulic, gallic, and sinapic acids acting synergistically in vitro to inhibit Candida albicans yeast-to-hyphae transition. Phytother. Res. 2019, 33, 319–326. [Google Scholar] [CrossRef] [PubMed]
- Singulani, J.L.; Scorzoni, L.; Gomes, P.C.; Nazaré, A.C.; Polaquini, C.R.; Regasini, L.O.; Fusco-Almeida, A.M.; Mendes-Giannini, M.J.S. Activity of gallic acid and its ester derivatives in Caenorhabditis elegans and zebrafish (Danio rerio) models. Future Med. Chem. 2019, 9, 1863–1872. [Google Scholar] [CrossRef] [PubMed]
- Haas, A.N.; Wagner, T.P.; Muniz, F.W.; Fiorini, T.; Cavagni, J.; Celeste, R.K. Essential oils-containing mouthwashes for gingivitis and plaque: Meta-analyses and meta-regression. J. Dent. 2016, 55, 7–15. [Google Scholar] [CrossRef] [PubMed]
- Hu, L.; He, C.; Zhao, C.; Chen, X.; Hua, H.; Yan, Z. Characterization of oral candidiasis and the Candida species profile in patients with oral mucosal diseases. Microb. Pathog. 2019, 134, 103575. [Google Scholar] [CrossRef] [PubMed]
- Clinical and Laboratory Standards Institute (CLSI). Reference Method for Broth Dilution Antifungal Susceptibility Testing of Yeasts; Fourth Informational Supplement, Document M27-S4; CLSI: Wayne, PA, USA, 2012. [Google Scholar]
- Far, F.E.; Al-Obaidi, M.M.J.; Desa, M.N.M. Efficacy of modified Leeming-Notman media in a resazurin microtiter assay in the evaluation of in-vitro activity of fluconazole against Malassezia furfur ATCC 14521. J. Mycol. Med. 2018, 28, 486–491. [Google Scholar] [CrossRef] [PubMed]
- Alastruey-Izquierdo, A.; Melhem, M.S.C.; Bonfietti, L.X.; Rodriguez-Tudela, J.L. Susceptibility test for fungi: Clinical and laboratorial correlations in medical mycology. Rev. Inst. Med. Trop. S. Paulo 2015, 57, 57–64. [Google Scholar] [CrossRef] [PubMed]
- Holetz, F.B.; Pessini, G.L.; Sanches, N.R.; Cortez, D.A.; Nakamura, C.V.; Filho, B.P. Screening of some plants used in the Brazilian folk medicine for the treatment of infectious diseases. Mem. Inst. Oswaldo Cruz 2002, 97, 1027–1031. [Google Scholar] [CrossRef] [PubMed]
- Santos, L.S.; Alves, C.C.F.; Estevam, E.B.B.; Martins, C.H.G.; Silva, T.S.; Esperandim, V.R.; Miranda, M.L.D. Chemical composition, in vitro trypanocidal and antibacterial activities of the essential oil from the dried leaves of Eugenia dysenterica DC from Brazil. J. Essent. Oil Bear. Plants 2019, 22, 347–355. [Google Scholar] [CrossRef]
- Cantón, E.; Pemán, J.; Viudes, A.; Quindós, G.; Gobernado, M.; Espinel-Ingroff, A. Minimum fungicidal concentrations of amphotericin B for bloodstream Candida species. Diagn. Microbiol. Infect. Dis. 2003, 45, 203–206. [Google Scholar] [CrossRef]
- Pierce, C.G.; Uppuluri, P.; Tristan, A.R.; Wormley, F.L., Jr.; Mowat, E.; Ramage, G.; Lopez-Ribot, J.L. A simple and reproducible 96-well plate-based method for the formation of fungal biofilms and its application to antifungal susceptibility testing. Nat. Prot. 2008, 3, 1494–1500. [Google Scholar] [CrossRef]
- Scorzoni, L.; de Lucas, M.P.; Mesa-Arango, A.C.; Fusco-Almeida, A.M.; Lozano, E.; Cuenca-Estrella, M.; Mendes-Giannini, M.J.; Zaragoza, O. Antifungal efficacy during Candida krusei infection in non-conventional models correlates with the yeast in vitro susceptibility profile. PLoS ONE 2013, 8, e60047. [Google Scholar] [CrossRef] [PubMed]
- Tampakakis, E.; Okoli, I.; Mylonakis, E.A. C. elegans-based, whole animal, in vivo screen for the identification of antifungal compounds. Nat. Protoc. 2008, 3, 1925–1931. [Google Scholar] [CrossRef] [PubMed]


| Essential Oils | Candida albicans SC 5314 | Candida tropicalis ATCC 13803 | Candida krusei ATCC 6258 | Candida glabrata ATCC 2001 | Candida parapsilosis ATCC 22019 | Candida orthopsilosis ATCC 96141 |
|---|---|---|---|---|---|---|
| Betula pendula Roth. | >2000 | >2000 | >2000 | >2000 | >2000 | >2000 |
| Cananga odorata | >2000 | >2000 | >2000 | >2000 | 2000 | >2000 |
| Cedrus atlantica | >2000 | >2000 | >2000 | >2000 | >2000 | >2000 |
| Cinnamomum zeylanicum (leaves) | 500 | 500 | 500 | 500 | 500 | 500 |
| Citrus aurantium (Petitgrain) | >2000 | >2000 | >2000 | >2000 | >2000 | >2000 |
| Citrus limon (L.) Burm | 500 | 250 | 500 | 250 | 500 | 500 |
| Citrus nobilis (peels) | 2000 | >2000 | >2000 | 2000 | >2000 | >2000 |
| Citrus reticulata (peels) | 2000 | 1000 | 250 | 1000 | 1000 | 250 |
| Citrus reticulata Blanco (dry leaves) | >2000 | >2000 | >2000 | 2000 | 2000 | 2000 |
| Citrus reticulata Blanco (peels) | 1000 | 2000 | 500 | 1000 | 1000 | 1000 |
| Citrus reticulata var. cravo (peels) | >2000 | >2000 | >2000 | 2000 | >2000 | 2000 |
| Citrus reticulata Blanco (fresh leaves) | 2000 | 2000 | >2000 | >2000 | >2000 | >2000 |
| Citrus sinensis L (peels) | >2000 | >2000 | >2000 | >2000 | >2000 | >2000 |
| Cupressus sempervirens (leaves) | 250 | 250 | 62.5 | 31.25 | 62.5 | 31.25 |
| Cymbopogon citratus (DC) Stapf | 2000 | >2000 | 2000 | 2000 | >2000 | >2000 |
| Cymbopogon martinii | 2000 | 2000 | 2000 | 2000 | 2000 | 2000 |
| Cymbopogon nardus | 2000 | 2000 | 2000 | 2000 | 2000 | 2000 |
| Eucalyptus globulus | >2000 | >2000 | 1000 | 2000 | >2000 | >2000 |
| Eugenia caryophyllus | >2000 | >2000 | 2000 | 2000 | 2000 | 2000 |
| Litsea cubeba | 500 | 1000 | 62.5 | 250 | 500 | 250 |
| Melaleuca alternifolia | >2000 | >2000 | 2000 | >2000 | >2000 | >2000 |
| Mentha arvensis L. | 2000 | 2000 | 2000 | 2000 | 2000 | 2000 |
| Mentha piperita L. | >2000 | >2000 | >2000 | >2000 | >2000 | >2000 |
| Origanum vulgare L. | 500 | 500 | 1000 | 500 | 1000 | 1000 |
| Pelargonium graveolens | >2000 | >2000 | 2000 | 2000 | 2000 | >2000 |
| Piper aduncun L. (leaves) | >2000 | >2000 | >2000 | >2000 | >2000 | >2000 |
| Piper aduncun L. (inflorescences) | >2000 | >2000 | >2000 | 2000 | >2000 | 2000 |
| Piper aduncun L. (branches) | 2000 | >2000 | >2000 | 2000 | 2000 | 2000 |
| Psidium cattleyanum (dry leaves) | >2000 | >2000 | >2000 | >2000 | >2000 | >2000 |
| Rosmarinus officinalis | >2000 | >2000 | >2000 | >2000 | >2000 | >2000 |
| Plant Extracts | Candida Species (MIC µg/mL) | |||||
|---|---|---|---|---|---|---|
| C. albicans ATCC 5314 | C. tropicalis ATCC 13803 | C. krusei ATCC 6258 | C. glabrata ATCC 2001 | C. parapsilosis ATCC 22019 | C. orthopsilosis ATCC 96141 | |
| Anacardium occidentale (ethanolic extract) | >2000 | >2000 | >2000 | >2000 | >2000 | >2000 |
| Anacardium othonianum (ethanolic extract) | >2000 | >2000 | >2000 | >2000 | >2000 | >2000 |
| Curcuma longa (ethanolic extract) | >2000 | >2000 | >2000 | >2000 | >2000 | >2000 |
| Curcuma longa L. (aqueous extract) | >2000 | >2000 | >2000 | >2000 | >2000 | >2000 |
| Vochysia divergens stem (ethanolic extract) | >2000 | -* | >2000 | >2000 | >2000 | -* |
| Compounds | Candida Species/MIC (µg/mL) | |||||
|---|---|---|---|---|---|---|
| C. albicans SC5314 | C. tropicalis ATCC 13803 | C. krusei ATCC 6258 | C. glabrata ATCC 2001 | C. parapsilosis ATCC 22019 | C. orthopsilosis ATCC 96141 | |
| Alpha-bisabolol | >2000 | >2000 | 2000 | >2000 | >2000 | >2000 |
| Benzoic acid | >2000 | >2000 | >2000 | >2000 | >2000 | >2000 |
| Caffeic acid | >2000 | >2000 | 1000 | 500 | >2000 | 500 |
| Ferulic acid | >2000 | >2000 | >2000 | >2000 | >2000 | >2000 |
| Gallic acid | 500 | 1000 | 125 | 31.25 | 250 | 250 |
| Menthol | >2000 | >2000 | >2000 | >2000 | >2000 | >2000 |
| Salicylic acid | >2000 | >2000 | >2000 | >2000 | >2000 | >2000 |
| Compounds | % RA | |||
|---|---|---|---|---|
| RI | C. sempervirens | C. limon | L. cubeba | |
| α-Pinene | 934 | 8.0 | - | 2.0 |
| Sabinene | 969 | 20.3 | - | 1.3 |
| β-Pinene | 974 | - | - | 2.0 |
| Myrcene | 991 | 6.0 | - | 1.3 |
| δ-2-Carene | 1001 | 4.0 | - | - |
| p-Cymene | 1023 | 5.0 | - | - |
| Limonene | 1024 | 3.9 | 53.4 | 37.0 |
| cis-Limonene oxide | 1129 | - | 2.0 | - |
| trans-Limonene oxide | 1133 | - | 7.0 | - |
| γ-Terpinene | 1054 | 4.0 | - | - |
| Citronelol | 1150 | - | 3.8 | - |
| Linalool | 1095 | - | 1.9 | 4.0 |
| Terpinen-4-ol | 1177 | 15.4 | - | - |
| α-Terpineol | 1186 | 2.4 | - | 2.3 |
| Neral | 1238 | 5.0 | 11.0 | 31.4 |
| Citral | 1249 | 20.0 | - | 12.0 |
| Geraniol | 1268 | - | 9.0 | 1.2 |
| Nerol | 1363 | - | 6.0 | - |
| Geraniol acetate | 1384 | - | 4.0 | - |
| β-Caryophyllene | 1415 | - | - | 1.7 |
| δ-Cadinene | 1522 | 3.0 | - | - |
| Cedrol | 1598 | 2.1 | - | - |
| Total | 99.1 | 98.1 | 96.2 | |
| Compounds | Candida Species (µg/mL) | |||||||||||
|---|---|---|---|---|---|---|---|---|---|---|---|---|
| C. albicans SC 5314 | C. glabrata ATCC 2001 | C. tropicalis ATCC 13803 | C. krusei ATCC 6258 | C. parapsilosis ATCC 22019 | C. orthopsilosis ATCC 96141 | |||||||
| MBIC * | MBEC ** | MBIC * | MBEC ** | MBIC * | MBEC ** | MBIC * | MBEC ** | MBIC * | MBEC ** | MBIC * | MBEC ** | |
| Citrus limon (L.) Burm | 2000 | 1000 | 1000 | 1000 | 2000 | 1000 | 125 | 250 | 2000 | 1000 | 1000 | 1000 |
| Cupressus sempervirens | 1000 | 1000 | 250 | 1000 | 500 | 1000 | 62.5 | 250 | 500 | 1000 | 125 | 1000 |
| Gallic acid | >2000 | >2000 | >2000 | >2000 | >2000 | >2000 | 250 | 500 | 500 | >2000 | >2000 | >2000 |
| Litsea cubeba | 2000 | 1000 | 2000 | 1000 | 2000 | 1000 | 250 | 1000 | 1000 | 1000 | 2000 | 1000 |
© 2019 by the authors. Licensee MDPI, Basel, Switzerland. This article is an open access article distributed under the terms and conditions of the Creative Commons Attribution (CC BY) license (http://creativecommons.org/licenses/by/4.0/).
Share and Cite
Pedroso, R.d.S.; Balbino, B.L.; Andrade, G.; Dias, M.C.P.S.; Alvarenga, T.A.; Pedroso, R.C.N.; Pimenta, L.P.; Lucarini, R.; Pauletti, P.M.; Januário, A.H.; et al. In Vitro and In Vivo Anti-Candida spp. Activity of Plant-Derived Products. Plants 2019, 8, 494. https://doi.org/10.3390/plants8110494
Pedroso RdS, Balbino BL, Andrade G, Dias MCPS, Alvarenga TA, Pedroso RCN, Pimenta LP, Lucarini R, Pauletti PM, Januário AH, et al. In Vitro and In Vivo Anti-Candida spp. Activity of Plant-Derived Products. Plants. 2019; 8(11):494. https://doi.org/10.3390/plants8110494
Chicago/Turabian StylePedroso, Reginaldo dos Santos, Brenda Lorena Balbino, Géssica Andrade, Maria Cecilia Pereira Sacardo Dias, Tavane Aparecida Alvarenga, Rita Cássia Nascimento Pedroso, Letícia Pereira Pimenta, Rodrigo Lucarini, Patrícia Mendonça Pauletti, Ana Helena Januário, and et al. 2019. "In Vitro and In Vivo Anti-Candida spp. Activity of Plant-Derived Products" Plants 8, no. 11: 494. https://doi.org/10.3390/plants8110494
APA StylePedroso, R. d. S., Balbino, B. L., Andrade, G., Dias, M. C. P. S., Alvarenga, T. A., Pedroso, R. C. N., Pimenta, L. P., Lucarini, R., Pauletti, P. M., Januário, A. H., Carvalho, M. T. M., Miranda, M. L. D., & Pires, R. H. (2019). In Vitro and In Vivo Anti-Candida spp. Activity of Plant-Derived Products. Plants, 8(11), 494. https://doi.org/10.3390/plants8110494

