Soybean Performance as Affected by Lime and Gypsum Incorporation Through Tillage Versus Surface Application in Pasture-to-Cropland Conversion Areas in Southeast Brazil
Abstract
1. Introduction
2. Results
2.1. Soil Fertility
2.2. Nodulation, Root Development, and Shoot Dry Matter of Soybean Plants
2.3. Nutrient Accumulation in the Aerial Parts of Soybean
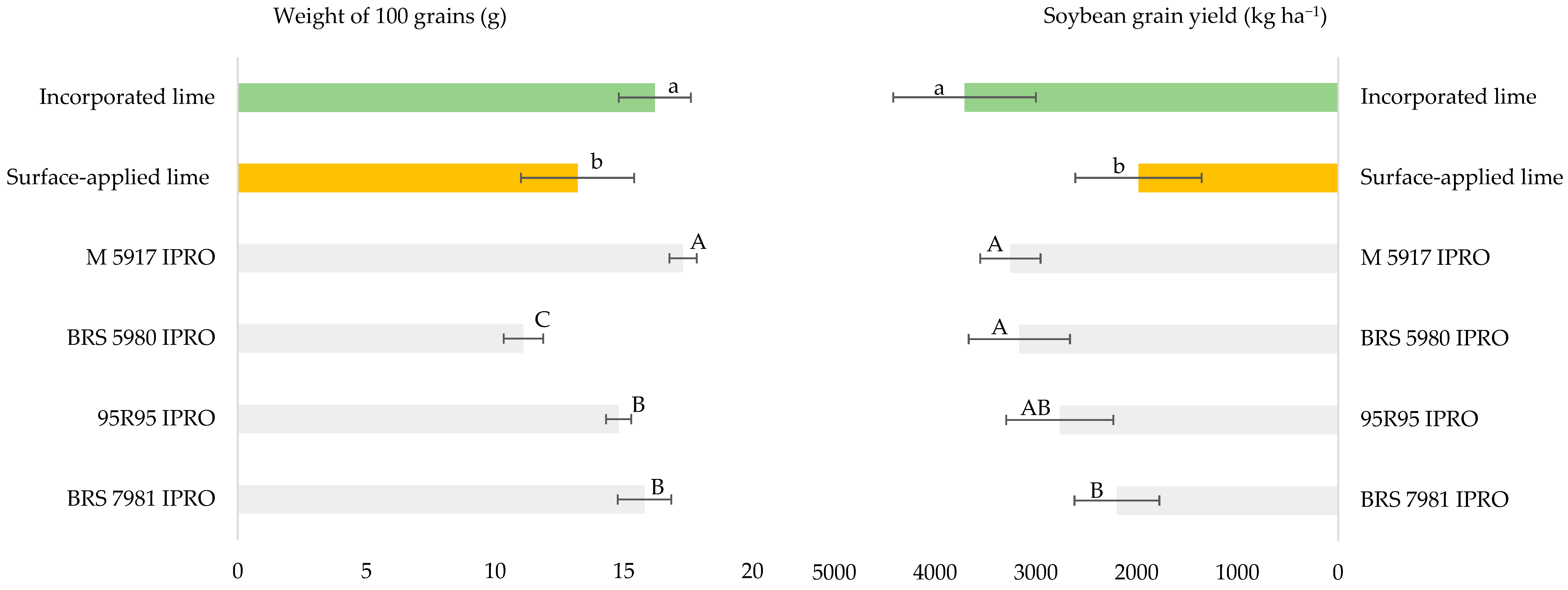
2.4. Production Components and Grain Productivity of Soybeans
3. Discussion
4. Materials and Methods
4.1. Local Area and Pre-Planting Procedures
4.2. Experiment Set Up
| Month | Days | |||
|---|---|---|---|---|
| 1–10 | 11–20 | 21–30 | ||
| Precipitation (mm) | Total | |||
| Oct | 35 | 196 | 74 | 305 |
| Nov | 0 | 40 | 74 | 114 |
| Dec | 13 | 75 | 0 | 88 |
| Jan | 155 | 0 | 18 | 173 |
| Feb | 138 | 60 | 22 | 220 |
| Mar | 0 | 0 | 22 | 22 |
| Total | 341 | 371 | 210 | 922 |
4.3. Soil Samples and Chemical Analyses
4.4. Per-Plant Evaluation Performance and Cultivar Grain Yield
4.5. Statistical Analysis
5. Conclusions
Author Contributions
Funding
Data Availability Statement
Acknowledgments
Conflicts of Interest
References
- Bordonal, R.d.O.; Carvalho, J.L.N.; Lal, R.; de Figueiredo, E.B.; de Oliveira, B.G.; La Scala, N. Sustainability of Sugarcane Production in Brazil. A Review. Agron. Sustain. Dev. 2018, 38, 13. [Google Scholar] [CrossRef]
- Seliger, R.; Sattler, D.; Soares da Silva, A.; da Costa, G.C.P.; Heinrich, J. Rehabilitation of Degraded Sloped Pastures: Lessons Learned in Itaocara, Rio de Janeiro. In Strategies and Tools for a Sustainable Rural Rio de Janeiro; Springer: Berlin/Heidelberg, Germany, 2019. [Google Scholar]
- CONAB—Companhia Nacional de Abastecimento Informações Agropecuárias, Série Histórica das Safras. Soja. Available online: https://www.conab.gov.br/info-agro/safras/serie-historica-das-msafras/itemlist/category/911-soja (accessed on 19 January 2025).
- Zilli, J.E.; Polidoro, J.C.; Alves, B.J.R.; Lumbreras, J.F. Produção Da Soja e Do Milho Como Um Caminho Para o Desenvolvimento Do Agronegócio Da Região Norte Fluminense. Embrapa Solos, RJ. Documentos 323. Available online: https://www.embrapa.br/busca-de-publicacoes/-/publicacao/1130852/a-producao-da-soja-e-do-milho-como-um-caminho-para-o-desenvolvimento-do-agronegocio-da-regiao-norte-fluminense (accessed on 17 November 2025).
- Zilli, J.E.; Batista, J.N.; Guareschi, R.F.; Zito, R.K. Avaliação de Cultivos de Soja No Norte Fluminense. Embrapa Agrobiologia, RJ. Documento 323. Available online: https://ainfo.cnptia.embrapa.br/digital/bitstream/doc/1147196/1/Avaliacao-de-cultivos-de-soja-no-Norte-Fluminense.pdf (accessed on 24 October 2025).
- Tasistro, A.; Camas-Gómez, R.; Ortiz-Monasterio, I. Gypsum and Potassium Application to Acid Soils for Maize (Zea mays L.) Production in La Frailesca, Chiapas, Mexico. Agron. Mesoam. 2022, 33, 46173. [Google Scholar] [CrossRef]
- McLay, C.D.A.; Ritchie, G.S.P.; Porter, W.M.; Cruse, A. Amelioration of Subsurface Acidity in Sandy Soils in Low Rainfall Regions. II.* Changes to Soil Solution Composition Following the Surface Application of Gypsum and Lime. Aust. J. Soil Res. 1994, 32, 847–865. [Google Scholar] [CrossRef]
- Minato, E.A.; Brignoli, F.M.; Neto, M.E.; Besen, M.R.; Cassim, B.M.A.R.; Lima, R.S.; Tormena, C.A.; Inoue, T.T.; Batista, M.A. Lime and Gypsum Application to Low-Acidity Soils: Changes in Soil Chemical Properties, Residual Lime Content and Crop Agronomic Performance. Soil Tillage Res. 2023, 234, 105860. [Google Scholar] [CrossRef]
- Caires, E.F.; Joris, H.A.W.; Churka, S. Long-Term Effects of Lime and Gypsum Additions on No-till Corn and Soybean Yield and Soil Chemical Properties in Southern Brazil. Soil Use Manag. 2011, 27, 45–53. [Google Scholar] [CrossRef]
- Zilli, J.É.; Pacheco, R.S.; Gianluppi, V.; Smiderle, O.J.; Urquiaga, S.; Hungria, M. Biological N2 Fixation and Yield Performance of Soybean Inoculated with Bradyrhizobium. Nutr. Cycl. Agroecosyst. 2021, 119, 323–336. [Google Scholar] [CrossRef]
- Hungria, M.; Mendes, I.C. Nitrogen Fixation with Soybean: The Perfect Symbiosis? In Biological Nitrogen Fixation; John Wiley & Sons: Hoboken, NJ, USA, 2015; Volume 2. [Google Scholar]
- Telles, T.S.; Nogueira, M.A.; Hungria, M. Economic Value of Biological Nitrogen Fixation in Soybean Crops in Brazil. Environ. Technol. Innov. 2023, 31, 103158. [Google Scholar] [CrossRef]
- Alves, B.J.R.; Zotarelli, L.; Marques Fernandes, F.; Heckler, J.C.; Tavares De Macedo, R.A.; Boddey, R.M.; Jantalia, C.P.; Urquiaga, S. Biological Nitrogen Fixation and Nitrogen Fertilizer on the Nitrogen Balance of Soybean, Maize and Cotton. Pesqui. Agropecu. Bras. 2006, 41, 449–456. [Google Scholar] [CrossRef]
- Li, Y.; Cui, S.; Chang, S.X.; Zhang, Q. Liming Effects on Soil PH and Crop Yield Depend on Lime Material Type, Application Method and Rate, and Crop Species: A Global Meta-Analysis. J. Soils Sediments 2019, 19, 1393–1406. [Google Scholar] [CrossRef]
- Gatiboni, L.C.; Saggin, A.; Brunetto, G.; Horn, D.; Flores, J.P.C.; Rheinheimer, D.d.S.; Kaminski, J. Alterações Nos Atributos Químicos de Solo Arenoso Pela Calagem Superficial No Sistema Plantio Direto Consolidado. Ciência Rural. 2003, 33, 283–290. [Google Scholar] [CrossRef][Green Version]
- Petrere, C.; Anghinoni, I. Alteração de Atributos Químicos No Perfil Do Solo Pela Calagem Superficial Em Campo Nativo. Rev. Bras. Cienc. Solo 2001, 25, 885–895. [Google Scholar] [CrossRef]
- Kaminski, J.; Santos, D.R.d.; Gatiboni, L.C.; Brunetto, G.; Silva, L.S. da Eficiência Da Calagem Superficial e Incorporada Precedendo o Sistema Plantio Direto Em Um Argissolo Sob Pastagem Natural. Rev. Bras. Cienc. Solo 2005, 29, 573–580. [Google Scholar] [CrossRef]
- Castro, G.S.A.; Crusciol, C.A.C. Effects of Surface Application of Dolomitic Limestone and Calcium-Magnesium Silicate on Soybean and Maize in Rotation with Green Manure in a Tropical Region. Bragantia 2015, 74, 311–321. [Google Scholar] [CrossRef]
- Shruthi; Prakash, N.B.; Dhumgond, P.; Goiba, P.K.; Laxmanarayanan, M. The Benefits of Gypsum for Sustainable Management and Utilization of Acid Soils. Plant Soil 2024, 504, 5–28. [Google Scholar] [CrossRef]
- De Moraes, E.R.; Mageste, J.G.; Lana, R.M.Q.; Torres, J.L.R.; Domingues, L.A.D.S.; Lemes, E.M.; De Lima, L.C. Sugarcane Root Development and Yield under Different Soil Tillage Practices. Rev. Bras. Cienc. Solo 2019, 43, e0180090. [Google Scholar] [CrossRef]
- de Campos, M.; Rossato, O.B.; Marasca, I.; Martello, J.M.; de Siqueira, G.F.; Garcia, C.P.; Rossetto, R.; Calonego, J.C.; Cantarella, H.; Crusciol, C.A.C. Deep Tilling and Localized Liming Improve Soil Chemical Fertility and Sugarcane Yield in Clayey Soils. Soil Tillage Res. 2022, 222, 105425. [Google Scholar] [CrossRef]
- Oliveira Junior, A.; Castro, C.; Oliveira, F.A.; Klepker, D. Fertilidade Do Solo e Avaliação Do Estado Nutricional Da Soja. In Tecnologias de Produção de Soja; Seixas, C.D.S., Neumaier, N., Balbinot Junior, A.A., Krzyzanowski, F.C., Leite, R.M.V.B.C., Eds.; Embrapa Soja: Londrina, Brazil, 2020; pp. 347–379. [Google Scholar]
- Reis, A.R.d.; Lisboa, L.A.M.; Reis, H.P.G.; Barcelos, J.P.d.Q.; Santos, E.F.; Santini, J.M.K.; Venâncio Meyer-Sand, B.R.; Putti, F.F.; Galindo, F.S.; Kaneko, F.H.; et al. Depicting the Physiological and Ultrastructural Responses of Soybean Plants to Al Stress Conditions. Plant Physiol. Biochem. 2018, 130, 377–390. [Google Scholar] [CrossRef] [PubMed]
- Freire, L.R.; Campos, D.V.B.; Lima, E.; Zonta, E.; Balieiro, F.d.C.; Guerra, J.G.M.; Polidoro, J.C.; dos Anjos, L.H.C.; Leal, M.A.d.A.; Pereira, M.G.; et al. Manual de Calagem e Adubação do Estado do Rio de Janeiro; Embrapa; Universidade Rural: Brasília, Brazil; Seropédica, Brazil, 2013; ISBN 9788570351821. [Google Scholar]
- Bossolani, J.W.; Crusciol, C.A.C.; Moretti, L.G.; Garcia, A.; Portugal, J.R.; Bernart, L.; Vilela, R.G.; Caires, E.F.; Amado, T.J.C.; Calonego, J.C.; et al. Improving Soil Fertility with Lime and Phosphogypsum Enhances Soybean Yield and Physiological Characteristics. Agron. Sustain. Dev. 2022, 42, 26. [Google Scholar] [CrossRef]
- Carmeis Filho, A.C.A.; Crusciol, C.A.C.; Castilhos, A.M. Liming Demand and Plant Growth Improvements for an Oxisol under Long-Term No-till Cropping. J. Agric. Sci. 2017, 155, 1093–1112. [Google Scholar] [CrossRef]
- Rheinheimer, D.d.S.; Santos, E.J.d.S.; Kaminski, J.; Xavier, F.M. Aplicação Superficial de Calcário No Sistema Plantio Direto Consolidado Em Solo Arenoso. Ciência Rural. 2000, 30, 263–268. [Google Scholar] [CrossRef]
- Rheinheimer, D.S.; Santos, E.J.S.; Kaminski, J.; Bortoluzzi, E.C.; Gatiboni, L.C. Alterações de Atributos Do Solo Pela Calagem Superficial e Incorporada a Partir de Pastagem Natural. Rev. Bras. Cienc. Solo 2000, 24, 797–805. [Google Scholar] [CrossRef]
- Alleoni, L.R.F.; Cambri, M.A.; Caires, E.F. Chemical Attributes of a Cerrado Oxisol under No-Tillage as Affected by Lime Application Methods and Doses. Rev. Bras. Cienc. Solo 2005, 29, 923–934. [Google Scholar] [CrossRef]
- Bortoluzzi, E.C.; Parize, G.L.; Korchagin, J.; Silva, V.R.d.; Rheinheimer, D.d.S.; Kaminski, J. Soybean Root Growth and Crop Yield in Reponse to Liming at the Beginning of a No-Tillage System. Rev. Bras. Cienc. Solo 2014, 38, 262–271. [Google Scholar] [CrossRef]
- Joris, H.A.W.; Caires, E.F.; Bini, A.R.; Scharr, D.A.; Haliski, A. Effects of Soil Acidity and Water Stress on Corn and Soybean Performance under a No-till System. Plant Soil 2013, 365, 409–424. [Google Scholar] [CrossRef]
- Marschner, H. Mechanisms of Adaptation of Plants to Acid Soils. Plant Soil 1991, 134, 1–20. [Google Scholar] [CrossRef]
- Meyer, G.; Bell, M.J.; Doolette, C.L.; Brunetti, G.; Zhang, Y.; Lombi, E.; Kopittke, P.M. Plant-Available Phosphorus in Highly Concentrated Fertilizer Bands: Effects of Soil Type, Phosphorus Form, and Coapplied Potassium. J. Agric. Food Chem. 2020, 68, 7571–7580. [Google Scholar] [CrossRef]
- Santos, H.G.; Jacomine, P.K.T.; Anjos, L.H.C.; Oliveira, V.A.; Lumbreras, J.F.; Coelho, M.R.; Almeida, J.A.; Cunha, T.J.F.; Oliveira, J.B. Sistema Brasileiro de Classificação de Solos, 5th ed.; Embrapa: Brasília, Brazil, 2018. [Google Scholar]
- Paradelo, R.; Virto, I.; Chenu, C. Net Effect of Liming on Soil Organic Carbon Stocks: A Review. Agric. Ecosyst. Environ. 2015, 202, 98–107. [Google Scholar] [CrossRef]
- Hungria, M.; Franchini, J.C.; Campo, R.J.; Crispino, C.C.; Moraes, J.Z.; Sibaldelli, R.N.R.; Mendes, I.C.; Arihara, J. Nitrogen Nutrition of Soybean in Brazil: Contributions of Biological N 2 Fixation and N Fertilizer to Grain Yield. Can. J. Plant Sci. 2006, 86, 927–939. [Google Scholar] [CrossRef]
- Bossolani, J.W.; Crusciol, C.A.C.; Merloti, L.F.; Moretti, L.G.; Costa, N.R.; Tsai, S.M.; Kuramae, E.E. Long-Term Lime and Gypsum Amendment Increase Nitrogen Fixation and Decrease Nitrification and Denitrification Gene Abundances in the Rhizosphere and Soil in a Tropical No-till Intercropping System. Geoderma 2020, 375, 114476. [Google Scholar] [CrossRef]
- Bossolani, J.W.; Crusciol, C.A.C.; Portugal, J.R.; Moretti, L.G.; Garcia, A.; Rodrigues, V.A.; da Fonseca, M.d.C.; Bernart, L.; Vilela, R.G.; Mendonça, L.P.; et al. Long-Term Liming Improves Soil Fertility and Soybean Root Growth, Reflecting Improvements in Leaf Gas Exchange and Grain Yield. Eur. J. Agron. 2021, 128, 126308. [Google Scholar] [CrossRef]
- Viviani, C.A.; Marchetti, M.E.; Vitorino, A.C.T.; Novelino, J.O.; Gonçalves, M.C. Phosphorus Availability in Two Clayey Oxisols and Its Accumulation in Soybean as a Function of the Increase in PH. Cienc. E Agrotecnologia 2010, 34, 61–67. [Google Scholar] [CrossRef]
- Fageria, N.K.; Moreira, A.; Castro, C.; Moraes, M.F. Optimal Acidity Indices for Soybean Production in Brazilian Oxisols. Commun. Soil Sci. Plant Anal. 2013, 44, 2941–2951. [Google Scholar] [CrossRef]
- Rambo, L.; Costa, J.A.; Pires, J.L.F.; Parcianello, G.; Ferreira, F.G. Rendimento de Grãos Da Soja Em Função Do Arranjo de Plantas. Ciência Rural. 2003, 33, 405–411. [Google Scholar] [CrossRef][Green Version]
- Da Silva, F.C.; de Abreu, M.F.; Pérez, D.V.; da Eira, P.A.; de Abreu, C.A.; van Raij, B.; Gianello, C.; Coelho, A.M.; Quaggio, J.A.; Tedesco, M.J.; et al. Métodos de Análises Químicas Para Avaliação Da Fertilidade Do Solo. In Manual de Análises Químicas de Solos, Plantas e Fertilizantes; Da Silva, F.C., Ed.; Embrapa: Brasília, Brazil, 2009. [Google Scholar]
- Seixas, C.D.S.; Neumaier, N.; Balbinot Junior, A.A.; Krzyzanowski, F.C.; Leite, R.M.V.B.C. Tecnologias de Produção de Soja, 17th ed.; Embrapa Soja: Londrina, Brazil, 2020. [Google Scholar]


| Variable | Soil Amendment | Depth (cm) | Overall Mean | (CV) (%) | |||
|---|---|---|---|---|---|---|---|
| 0–10 | 10–20 | 20–40 | |||||
| pH | Incorporated * | 4.85 | 4.85 | 4.78 | 4.83 a | 7.99 | |
| Surface | 4.27 | 4.38 | 4.26 | 4.30 a | 2.28 | ||
| Average | 4.56 A | 4.62 A | 4.52 A | 1.93 | |||
| Al3+ | cmolc dm−3 | Incorporated * | 0.49 | 0.44 | 0.53 | 0.49 a | 42.57 |
| Surface | 1.31 | 0.96 | 1.24 | 1.17 a | 18.94 | ||
| Average | 0.90 A | 0.70 A | 0.88 A | 17.23 | |||
| Ca2+ | Incorporated * | 2.13 | 0.84 | 0.68 | 1.22 a | 11.38 | |
| Surface | 1.57 | 0.59 | 0.35 | 0.84 b | 5.06 | ||
| Average | 1.85 A | 0.71 B | 0.52 C | 8.68 | |||
| Mg2+ | Incorporated * | 0.68 | 0.42 | 0.30 | 0.46 a | 14.86 | |
| Surface | 0.46 | 0.24 | 0.15 | 0.28 b | 7.15 | ||
| Average | 0.57 A | 0.33 B | 0.22 C | 17.53 | |||
| S | Incorporated * | 3.14 | 1.34 | 1.06 | 1.84 a | 3.09 | |
| Surface | 2.29 | 0.91 | 0.56 | 1.25 b | 2.03 | ||
| Average | 2.71 A | 1.12 B | 0.81 C | 1.35 | |||
| CEC | Incorporated * | 5.89 | 5.87 | 5.86 | 5.87 b | 13.75 | |
| Surface | 7.31 | 7.85 | 8.07 | 7.74 a | 8.98 | ||
| Average | 6.60 A | 6.86 A | 6.96 A | 3.79 | |||
| P | mg dm−3 | Incorporated | 23.39 Aa | 6.79 Ba | 7.23 Ba | 12.47 a | 5.83 |
| Surface | 20.16 Ab | 4.20 Bb | 1.67 Cb | 8.68 b | 8.72 | ||
| Average | 21.77 A | 5.50 B | 4.45 C | 4.87 | |||
| K+ | Incorporated | 128.19 Aa | 31.35 Ba | 30.85 Ba | 63.46 a | 7.19 | |
| Surface | 100.29 Ab | 34.41 Ba | 19.67 Cb | 51.46 b | 8.58 | ||
| Average | 114.24 A | 32.88 B | 25.26 C | 4.11 | |||
| SOM | % | Incorporated | 1.10 Ab | 1.06 Ab | 0.84 Bb | 1.00 b | 9.53 |
| Surface | 1.68 Aa | 1.38 Ba | 1.30 Ba | 1.4 a | 6.28 | ||
| Average | 1.39 A | 1.22 B | 1.07 C | 3.59 | |||
| V | Incorporated | 53.76 Aa | 23.11 Ba | 18.03 Ca | 31.63 a | 10.83 | |
| Surface | 31.83 Ab | 11.90 Bb | 6.99 Cb | 16.91 b | 8.50 | ||
| Average | 42.80 A | 17.50 B | 12.51 C | 5.62 | |||
| m | Incorporated * | 12.67 | 22.11 | 28.91 | 21.23 b | 4.14 | |
| Surface | 33.94 | 45.97 | 64.28 | 48.06 a | 14.51 | ||
| Average | 23.30 C | 34.04 B | 46.59 A | 12.31 | |||
| Cultivar | Nodules Dry Mass (mg Plant−1) | Number of Nodules of (Planta−1) | Primary Root Length (cm) | Root Dry Mass (g Plant−1) | |||||
|---|---|---|---|---|---|---|---|---|---|
| BRS 5980 IPRO | 304.4 A | 45.0 A | 19.25 | 3.19 A | |||||
| BRS 7981 IPRO | 253.6 AB | 29.8 B | 18.40 | 1.60 B | |||||
| M 5917 IPRO | 160.0 C | 33.5 B | 18.85 | 2.72 A | |||||
| 95R95 IPRO | 207.4 BC | 27.6 B | 17.40 | 1.70 B | |||||
| CV (%) | 10.3 | 24.7 | 10.4 | 16.0 | |||||
| Soil amendment | |||||||||
| Incorporated | 264.4 A | 33 A | 18.4 | 2.34 A | |||||
| Surface | 198.2 B | 34 A | 18.5 | 2.26 A | |||||
| CV (%) | 15.1 | 19.9 | 9.9 | 14.7 | |||||
| Cultivar | Number of secondary roots | Shoot dry matter (g plant−1) | |||||||
| Incorporated | Surface | Average | Incorporated | Surface | Average | ||||
| BRS 5980 IPRO | 61.2 | 41.2 | 51.2 B | 11.64 Ba | 10.24 ABb | 10.94 B | |||
| BRS 7981 IPRO | 68.0 | 63.0 | 65.5 A | 10.47 Ca | 10.71 Aa | 10.50 BC | |||
| M 5917 IPRO | 66.0 | 50.2 | 58.1 AB | 13.24 Aa | 10.50 Ab | 11.87 A | |||
| 95R95 IPRO | 66.0 | 54.2 | 60.1 AB | 10.72 BCa | 9.40 Bb | 10.06 C | |||
| Average | 65.3 a | 52.1 b | 11.51 a | 10.21 b | |||||
| CV (%) | 26.7 | 13.6 | 24.1 | 2.2 | 1.8 | 2.4 | |||
| Cultivar | Ca2+ (mg Plant−1) | CV (%) | ||
|---|---|---|---|---|
| Incorporated | Surface | Average | ||
| M 5917 IPRO | 148.9 A | 98.8 A | 123.8 A | |
| BRS 5980 IPRO | 125.4 B | 92.8 AB | 109.1 B | |
| 95R95 IPRO | 114.2 B | 82.4 B | 98.3 C | |
| BRS 7981 IPRO | 93.9 C | 81.9 B | 87.9 D | |
| Average | 120.6 a | 88.9 b | 9.5 | |
| CV (%) | 6.7 | 9.9 | ||
| Cultivar | Mg2+ (mg plant−1) | CV (%) | ||
| Incorporated | Surface | Average | ||
| M 5917 IPRO | 49.1 A | 32.1 A | 40.6 A | |
| BRS 5980 IPRO | 38.7 B | 32.5 A | 35.6 A | |
| 95R95 IPRO | 33.7 B | 25.7 B | 27.9 B | |
| BRS 7981 IPRO | 28.0 C | 27.8 AB | 29.7 B | |
| Average | 37.4 a | 29.5 b | ||
| CV (%) | 8.4 | 5.0 | 9.5 | |
| Cultivar | K+ (mg plant−1) | CV (%) | ||
| Incorporated | Surface | Average | ||
| M 5917 IPRO | 353.9 A | 240.7 AB | 297.3 A | |
| BRS 5980 IPRO | 300.8 B | 255.3 A | 278.1 A | |
| 95R95 IPRO | 249.5 C | 201.2 B | 225.4 B | |
| BRS 7981 IPRO | 211.3 C | 197.5 B | 204.4 B | |
| Average | 278.9 a | 223.7 b | ||
| CV (%) | 10.6 | 8.82 | 10.7 | |
| Cultivar | P (mg plant−1) | CV (%) | ||
| Incorporated | Surface | Average | ||
| M 5917 IPRO | 46.6 A | 31.9 A | 39.25 A | |
| BRS 5980 IPRO | 36.7 AB | 33.2 A | 34.95 A | |
| 95R95 IPRO | 37.4 AB | 29.8 A | 33.6 A | |
| BRS 7981 IPRO | 29.2 B | 34.3 A | 31.5 A | |
| Average | 37.5 a | 32.3 b | ||
| CV (%) | 23.9 | 5.2 | 17.4 | |
| Cultivar | N (mg plant−1) | CV (%) | ||
| Incorporated | Surface | Average | ||
| M 5917 IPRO | 418 | 296 | 358.2 A | |
| BRS 5980 IPRO | 304 | 244 | 293.6 BC | |
| 95R95 IPRO | 350 | 242 | 273.7 B | |
| BRS 7981 IPRO | 264 | 222 | 243.4 C | |
| Average | 333.2 a | 251.3 b | ||
| CV (%) | 8.0 | 7.5 | 11.1 | |
| Depth (cm) | P | K | Ca | Mg | Na | Al | H + Al | pH | |
| ---mg dm−3--- | ----------cmolc dm−3--------- | ||||||||
| 0–20 | 5 | 43 | 1.5 | 0.6 | 0.08 | 0.5 | 3.1 | 4.6 | |
| 20–40 | 4 | 23.5 | 1.1 | 0.4 | 0.07 | 1 | 4.8 | 4.6 | |
| Depth (cm) | SOM | S | CEC | V | m | Cu | Fe | Mn | Zn |
| % | ---cmolc dm−3--- | -----%----- | ---------mg dm−3--------- | ||||||
| 0–20 | 1.74 | 2.3 | 5.47 | 43 | 18 | 1.01 | 189.5 | 1.39 | 14 |
| 20–40 | 1.17 | 1.65 | 6.6 | 26 | 37 | 1.02 | 194.8 | 051 | 5.22 |
| Depth (cm) | Particle size distribution (%) | ||||||||
| Sand | Silt | Clay | |||||||
| 0–20 | 75 | 13 | 12 | ||||||
| 20–40 | 73 | 8 | 19 | ||||||
Disclaimer/Publisher’s Note: The statements, opinions and data contained in all publications are solely those of the individual author(s) and contributor(s) and not of MDPI and/or the editor(s). MDPI and/or the editor(s) disclaim responsibility for any injury to people or property resulting from any ideas, methods, instructions or products referred to in the content. |
© 2026 by the authors. Licensee MDPI, Basel, Switzerland. This article is an open access article distributed under the terms and conditions of the Creative Commons Attribution (CC BY) license.
Share and Cite
Pereira Rodrigues, P.; Batista, J.N.; Fernandes Guareschi, R.; Pozzi Jantalia, C.; Rodrigues Alves, B.J.; Urquiaga, S.; Souto Abreu Lima, E.; Fernandes de Souza Filho, B.; Zilli, J.E. Soybean Performance as Affected by Lime and Gypsum Incorporation Through Tillage Versus Surface Application in Pasture-to-Cropland Conversion Areas in Southeast Brazil. Plants 2026, 15, 1178. https://doi.org/10.3390/plants15081178
Pereira Rodrigues P, Batista JN, Fernandes Guareschi R, Pozzi Jantalia C, Rodrigues Alves BJ, Urquiaga S, Souto Abreu Lima E, Fernandes de Souza Filho B, Zilli JE. Soybean Performance as Affected by Lime and Gypsum Incorporation Through Tillage Versus Surface Application in Pasture-to-Cropland Conversion Areas in Southeast Brazil. Plants. 2026; 15(8):1178. https://doi.org/10.3390/plants15081178
Chicago/Turabian StylePereira Rodrigues, Pascoal, Josimar Nogueira Batista, Roni Fernandes Guareschi, Claudia Pozzi Jantalia, Bruno José Rodrigues Alves, Segundo Urquiaga, Erica Souto Abreu Lima, Benedito Fernandes de Souza Filho, and Jerri Edson Zilli. 2026. "Soybean Performance as Affected by Lime and Gypsum Incorporation Through Tillage Versus Surface Application in Pasture-to-Cropland Conversion Areas in Southeast Brazil" Plants 15, no. 8: 1178. https://doi.org/10.3390/plants15081178
APA StylePereira Rodrigues, P., Batista, J. N., Fernandes Guareschi, R., Pozzi Jantalia, C., Rodrigues Alves, B. J., Urquiaga, S., Souto Abreu Lima, E., Fernandes de Souza Filho, B., & Zilli, J. E. (2026). Soybean Performance as Affected by Lime and Gypsum Incorporation Through Tillage Versus Surface Application in Pasture-to-Cropland Conversion Areas in Southeast Brazil. Plants, 15(8), 1178. https://doi.org/10.3390/plants15081178

