Annual Biochar Application Regulates Maize Internode Development and Yield by Modulating Photosystem II Photosynthetic Efficiency
Abstract
1. Introduction
2. Results
2.1. Effects of Biochar Amendment on Agronomic Traits of Maize Stems
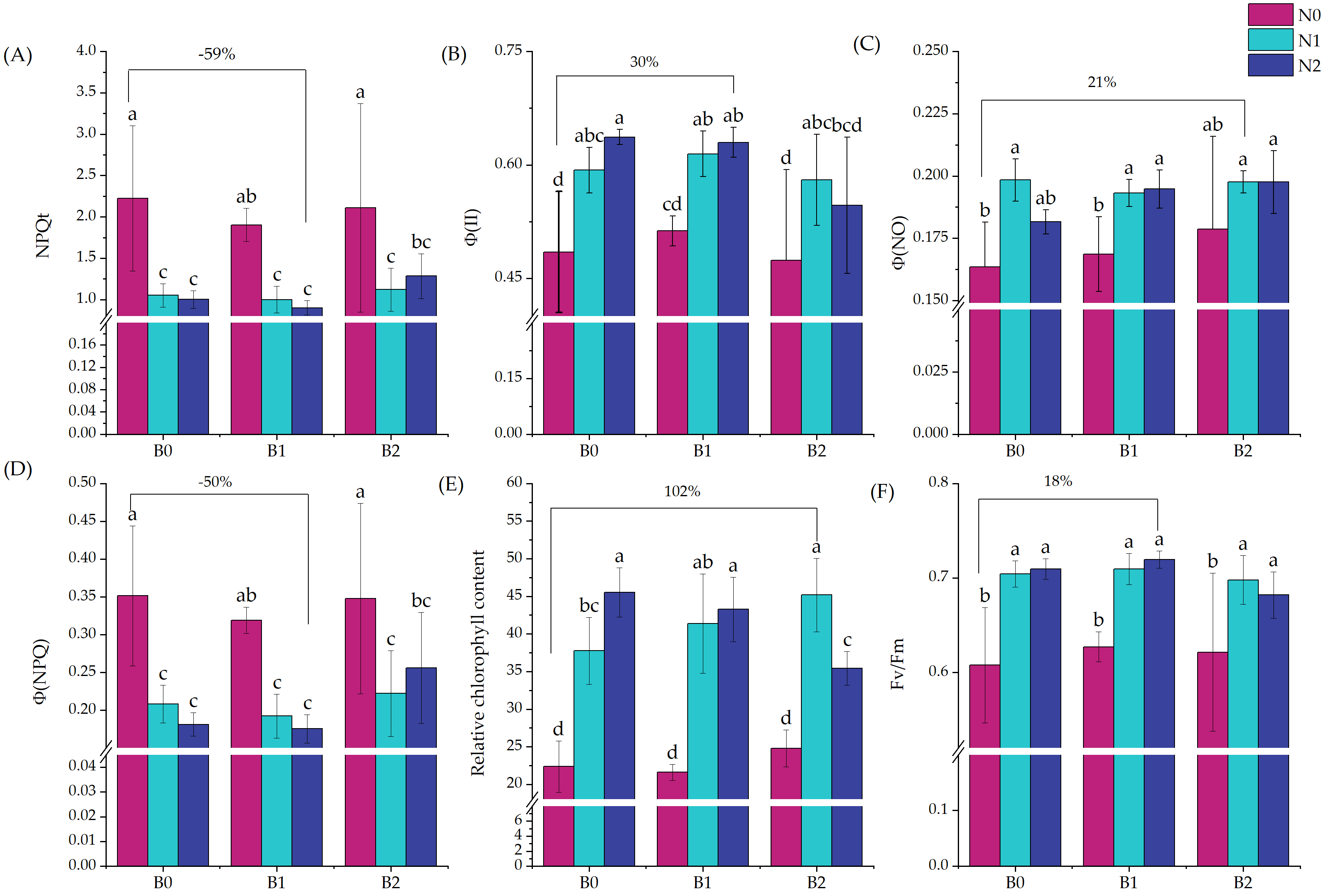
2.2. Chlorophyll a Fluorescence Measurements Under Biochar Treatments

3. Discussion
3.1. Effects of Different Applications of Biochar on Stem Characteristics and Mazie Yield
3.2. Effects of Different Applications of Biochar on Photosynthesis
4. Materials and Methods
4.1. Site Description
4.2. Experimental Design
4.3. Field Investigation and Measurement
4.3.1. Stalk Agronomic Traits
4.3.2. Analysis of Chlorophyll Fluorescence
4.3.3. Grain Yield
4.4. Statistical Analysis
5. Conclusions
Author Contributions
Funding
Data Availability Statement
Acknowledgments
Conflicts of Interest
References
- Sun, N.; Bian, S.; Meng, X.; Zhao, H.; Zhang, L.; Tan, G.; Yan, W.; Yu, W. Effects of chemical regulation on lodging resistance of maize under high density condition. Mol. Plant Breed. 2021, 19, 4449–4455. [Google Scholar]
- Li, S.; Wang, Y.; Hu, C.; Yan, Y. Effects of strong wind lodging at pre- and post-tasseling stages on growth and yield of summer maize. Chin. J. Appl. Ecol. 2015, 26, 2405–2413. [Google Scholar]
- Li, S.K.; Zhao, J.R.; Dong, S.T.; Zhao, M.; Li, C.H.; Cui, Y.H.; Liu, Y.H.; Gao, J.L.; Xue, J.Q.; Wang, L.C.; et al. Advances and Prospects of Maize Cultivation in China. Sci. Agric. Sin. 2017, 50, 1941–1959. [Google Scholar]
- Shah, L.; Yahya, M.; Shah, S.M.A.; Nadeem, M.; Ali, A.; Ali, A.; Wang, J.; Riaz, M.W.; Rehman, S.; Wu, W. Improving Lodging Resistance: Using Wheat and Rice as Classical Examples. Int. J. Mol. Sci. 2019, 20, 4211. [Google Scholar] [CrossRef]
- Xue, J.; Ming, B.; Xie, R.; Wang, K.; Hou, P.; Li, S. Evaluation of maize lodging resistance based on the critical wind speed of stalk breaking during the late growth stage. Plant Methods 2020, 16, 148. [Google Scholar] [CrossRef]
- Hirano, K.; Ordonio, R.L.; Matsuoka, M. Engineering the lodging resistance mechanism of post-Green Revolution rice to meet future demands. Proc. Jpn. Acad. 2017, 93, 220–233. [Google Scholar] [CrossRef]
- Huang, G.; Guo, Y.; Tan, W.; Zhang, M.; Li, Z.; Zhou, Y.; Duan, L. Development of a model for maize stalk lodging resistance based on plant bending strength and trait selection. Field Crops Res. 2025, 325, 109828. [Google Scholar] [CrossRef]
- Wang, B.; Lin, Z.; Li, X.; Zhao, Y.; Zhao, B.; Wu, G.; Ma, X.; Wang, H.; Xie, Y.; Li, Q.; et al. Genome-wide selection and genetic improvement during modern maize breeding. Nat. Genet. 2020, 52, 565–571. [Google Scholar] [CrossRef]
- Yano, K.; Ookawa, T.; Aya, K.; Ochiai, Y.; Hirasawa, T.; Ebitani, T.; Takarada, T.; Yano, M.; Yamamoto, T.; Fukuoka, S.; et al. Isolation of a Novel Lodging Resistance QTL Gene Involved in Strigolactone Signaling and Its Pyramiding with a QTL Gene Involved in Another Mechanism. Mol. Plant 2015, 8, 303–314. [Google Scholar] [CrossRef]
- Zhao, X.; Zhou, S. Research progress on traits and assessment methods of stalk lodging resistance in maize. Acta Agron. Sin. 2022, 48, 15–26. [Google Scholar] [CrossRef]
- Ren, T.; Liao, J.; Jin, L.; Delgado-Baquerizo, M.; Ruan, H. Application of biogas-slurry and biochar improves soil multifunctionality in a poplar plantation during afforestation processes. Plant Soil 2024, 501, 107–123. [Google Scholar] [CrossRef]
- Dong, Z.; Li, H.; Xiao, J.; Sun, J.; Liu, R.; Zhang, A. Soil multifunctionality of paddy field is explained by soil pH rather than microbial diversity after 8-years of repeated applications of biochar and nitrogen fertilizer. Sci. Total Environ. 2022, 853, 158620. [Google Scholar] [CrossRef] [PubMed]
- Kätterer, T.; Roobroeck, D.; Andrén, O.; Kimutai, G.; Karltun, E.; Kirchmann, H.; Nyberg, G.; Vanlauwe, B.; Röing de Nowina, K. Biochar addition persistently increased soil fertility and yields in maize-soybean rotations over 10 years in sub-humid regions of Kenya. Field Crops Res. 2019, 235, 18–26. [Google Scholar] [CrossRef]
- Yuan, J.; Wang, Y.; Zhao, X.; Chen, H.; Chen, G.; Wang, S. Seven years of biochar amendment has a negligible effect on soil available P and a progressive effect on organic C in paddy soils. Biochar 2022, 4, 13. [Google Scholar] [CrossRef]
- Liu, B.; Li, H.; Li, H.; Zhang, A.; Rengel, Z. Long-term biochar application promotes rice productivity by regulating root dynamic development and reducing nitrogen leaching. GCB Bioenergy 2020, 13, 257–268. [Google Scholar] [CrossRef]
- Zhang, Q.; Song, Y.; Wu, Z.; Yan, X.; Gunina, A.; Kuzyakov, Y.; Xiong, Z. Effects of six-year biochar amendment on soil aggregation, crop growth, and nitrogen and phosphorus use efficiencies in a rice-wheat rotation. J. Clean. Prod. 2020, 242, 118435. [Google Scholar] [CrossRef]
- Wang, Z.; Tang, C.; Wang, H.; Zhao, C.; Yin, D.; Yuan, Y.; Yang, K.; Li, Z. Effect of Different Amounts of Biochar on Meadow Soil Characteristics and Maize Yields Over Three Years. Bioresources 2019, 14, 419–4209. [Google Scholar] [CrossRef]
- Miao, W.; Li, F.; Lu, J.; Wang, D.; Chen, M.; Tang, L.; Xu, Z.; Chen, W. Biochar application enhanced rice biomass production and lodging resistance via promoting co-deposition of silica with hemicellulose and lignin. Sci. Total Environ. 2023, 855, 158818. [Google Scholar] [CrossRef]
- Gong, D.; Xu, Z.; Zheng, W.; Dai, G.; Chen, Y.; Yu, G. Biochar application improves the yield, lodging resistance, and lignin synthesis mechanism in rice. Crop Sci. 2024, 64, 968–981. [Google Scholar] [CrossRef]
- Xue, J.; Gao, S.; Fan, Y.; Li, L.; Ming, B.; Wang, K.; Xie, R.; Hou, P.; Li, S. Traits of plant morphology, stalk mechanical strength, and biomass accumulation in the selection of lodging-resistant maize cultivars. Eur. J. Agron. 2020, 117, 126073. [Google Scholar] [CrossRef]
- Forell, G.V.; Robertson, D.; Lee, S.Y.; Cook, D.D. Preventing lodging in bioenergy crops: A biomechanical analysis of maize stalks suggests a new approach. J. Exp. Bot. 2015, 66, 4367–4371. [Google Scholar] [CrossRef]
- Robertson, D.J.; Julias, M.; Lee, S.Y.; Cook, D.D. Maize Stalk Lodging: Morphological Determinants of Stalk Strength. Crop Sci. 2017, 57, 926–934. [Google Scholar] [CrossRef]
- Wang, C.; Ling, L.; Kuai, J.; Xie, J.; Ma, N.; You, L.; Batchelor, W.D.; Zhang, J. Integrating UAV and satellite LAI data into a modified DSSAT-rapeseed model to improve yield predictions. Field Crops Res. 2025, 327, 109883. [Google Scholar] [CrossRef]
- Wang, Y.; Yu, Q.; Liu, Z.; Ren, W.; Lu, X. A practical SIF-based crop model for predicting crop yields by quantifying the fraction of open PSII reaction centers (qL). Remote Sens. Environ. 2025, 320, 114658. [Google Scholar] [CrossRef]
- Kalaji, H.M.; Jajoo, A.; Oukarroum, A.; Brestic, M.; Zivcak, M.; Samborska, I.A.; Cetner, M.D.; Łukasik, I.; Goltsev, V.; Ladle, R.J. Chlorophyll a fluorescence as a tool to monitor physiological status of plants under abiotic stress conditions. Acta Physiol. Plant. 2016, 38, 102. [Google Scholar] [CrossRef]
- He, L.; Yu, L.; Li, B.; Du, N.; Guo, S. The effect of exogenous calcium on cucumber fruit quality, photosynthesis, chlorophyll fluorescence, and fast chlorophyll fluorescence during the fruiting period under hypoxic stress. BMC Plant Biol. 2018, 18, 180. [Google Scholar] [CrossRef]
- Ratajczak, K.; Sulewska, H.; Panasiewicz, K.; Faligowska, A.; Szymańska, G. Phytostimulator Application after Cold Stress for Better Maize (Zea mays L.) Plant Recovery. Agriculture 2023, 13, 569. [Google Scholar] [CrossRef]
- Noor, H.; Ding, P.; Ren, A.; Sun, M.; Gao, Z. Effects of Nitrogen Fertilizer on Photosynthetic Characteristics and Yield. Agronomy 2023, 13, 1550. [Google Scholar] [CrossRef]
- Wu, D.; Yuan, H.; Gu, W.; Feng, Z.; Sun, Y.; Xiu, L.; Zhang, W.; Chen, W. Photosynthetic physiological metabolism and yield response of continuous soybean cropping mediated by long–term application of biochar. J. Agro–Environ. Sci. 2023, 42, 37–45. [Google Scholar]
- Ying, C.; Manli, Z.; Xianping, L.; Guijin, D.; Shougui, H. Effects of Biochar on Chlorophyll Fluorescence at Full Heading Stage and Yield Components of Rice. Crops 2016, 3, 94–98. [Google Scholar]
- Yu, C.; Chen, H.; Tang, B.; Liu, H.; Liu, X.; Zhang, H.; Wang, G. Biochar integrate dicyandiamide modified soil aggregates and optimized nitrogen supplying to boosting the soybean-wheat yield in saline-alkali soil. Soil Tillage Res. 2026, 257, 106922. [Google Scholar] [CrossRef]
- Cao, X.; Liu, D.; Liu, J.; Zhang, L.; Li, M.; Shi, G.; Liu, H.; Wang, H.; Sun, W. Synergistic effects of biochar and organic fertilizer on root exudates, microbial community, and yield in dry direct-seeded rice. Appl. Soil Ecol. 2025, 216, 106501. [Google Scholar] [CrossRef]
- Liu, J.; Shu, A.; Song, W.; Shi, W.; Li, M.; Zhang, W.; Li, Z.; Liu, G.; Yuan, F.; Zhang, S.; et al. Long-term organic fertilizer substitution increases rice yield by improving soil properties and regulating soil bacteria. Geoderma 2021, 404, 115287. [Google Scholar] [CrossRef]
- Ghorbani, M.; Amirahmadi, E. Biochar and soil contributions to crop lodging and yield performance—A meta-analysis. Plant Physiol. Biochem. 2024, 215, 109053. [Google Scholar] [CrossRef]
- Gao, Y.; Rao, W.; Jie, H.; Zhang, W.; Niu, Y.; Yuan, Y.; Xu, G.; Zhang, W.; Zhang, D.; Wang, D. Effects of wheat and corn straw biochar application on nutrient uptake of maize and extracellular enzyme activities in the rhizosphere of different textural fluvo-aquic soils. J. Plant Nutr. Fertil. 2022, 28, 933–945. [Google Scholar]
- Li, B.; Ye, Y.; Chu, R.; Jing, M.; Zhang, S.; Yan, J. Effects of biochar application on dry matter accumulation, transport, and distribution of foxtail millet and soil physicochemical properties. Acta Agron. Sin. 2024, 50, 695–708. [Google Scholar] [CrossRef]
- Rong, F.; Qin, S.; Su, G.; Wu, L.; Wu, A.; Wang, X.; Zhang, M.; Chen, F. Legacy effect of single biochar application on soil ecosystem multifunctionality and its contribution to rice yield: A five-year field experiment for acidic paddy. Field Crops Res. 2023, 303, 109141. [Google Scholar] [CrossRef]
- Głazowska, S.; Baldwin, L.; Mravec, J.; Bukh, C.; Fangel, J.U.; Willats, W.G.; Schjoerring, J.K. The source of inorganic nitrogen has distinct effects on cell wall composition in Brachypodium distachyon. J. Exp. Bot. 2019, 70, 6461–6473. [Google Scholar] [CrossRef]
- Asadi, H.; Ghorbani, M.; Rezaei-Rashti, M.; Abrishamkesh, S.; Amirahmadi, E.; Chengrong, C.; Gorji, M. Application of Rice Husk Biochar for Achieving Sustainable Agriculture and Environment. Rice Sci. 2021, 28, 325–343. [Google Scholar] [CrossRef]
- Li, Q.; Fu, C.; Liang, C.; Ni, X.; Zhao, X.; Chen, M.; Ou, L. Crop Lodging and The Roles of Lignin, Cellulose, and Hemicellulose in Lodging Resistance. Agronomy 2022, 12, 1795. [Google Scholar] [CrossRef]
- Li, C.; Chang, Y.; Luo, Y.; Li, W.; Jin, M.; Wang, Y.; Cui, H.; Sun, S.; Li, Y.; Wang, Z. Nitrogen regulates stem lodging resistance by breaking the balance of photosynthetic carbon allocation in wheat. Field Crops Res. 2023, 296, 108908. [Google Scholar] [CrossRef]
- Wang, S.; Zheng, J.; Wang, Y.; Yang, Q.; Chen, T.; Chen, Y.; Chi, D.; Xia, G.; Siddique, K.H.M.; Wang, T. Photosynthesis, Chlorophyll Fluorescence, and Yield of Peanut in Response to Biochar Application. Front. Plant Sci. 2021, 12, 650432. [Google Scholar] [CrossRef] [PubMed]
- El-Desouki, Z.; Xia, H.; Abouseif, Y.; Cong, M.; Zhang, M.; Riaz, M.; Moustafa-Farag, M.; Jiang, C. Improved chlorophyll fluorescence, photosynthetic rate, and plant growth of Brassica napus L. after co-application of biochar and phosphorus fertilizer in acidic soil. J. Plant Nutr. Soil Sci. 2024, 187, 260–273. [Google Scholar] [CrossRef]
- Zhang, L.; Shangguan, Z.; Mao, M.; Yu, G. Effects of long term application of nitrogen fertilizer on leaf chlorophyll fluorescence of upland winter wheat. Chin. J. Appl. Ecol. 2003, 5, 695–698. [Google Scholar]
- Perkins, R.; Williamson, C.; Lavaud, J.; Mouget, J.L.; Campbell, D.A. Time-dependent upregulation of electron transport with concomitant induction of regulated excitation dissipation in Haslea diatoms. Photosynth. Res. 2018, 137, 377–388. [Google Scholar] [CrossRef]
- Tang, J.; Zhang, S.; Zhang, X.; Chen, J.; He, X.; Zhang, Q. Effects of pyrolysis temperature on soil-plant-microbe responses to Solidago canadensis L.-derived biochar in coastal saline-alkali soil. Sci. Total Environ. 2020, 731, 138938. [Google Scholar] [CrossRef]
- Feng, W.; Yang, F.; Cen, R.; Liu, J.; Qu, Z.; Miao, Q.; Chen, H. Effects of straw biochar application on soil temperature, available nitrogen and growth of corn. J. Environ. Manag. 2021, 277, 111331. [Google Scholar] [CrossRef]
- Hou, W.; Zhang, Y.; Wang, H.; Zhang, Q.; Hou, M.; Cong, B.; Du, X. Effects of nitrogen application level on leaf photosynthetic characteristics and chlorophyll fluorescence characteristics of Leymus chinensis. Acta Agrestia Sin. 2021, 29, 531–536. [Google Scholar]
- Xiang, Y.; Deng, Q.; Duan, H.; Guo, Y. Effects of biochar application on root traits: A meta-analysis. GCB Bioenergy 2017, 9, 1563–1572. [Google Scholar] [CrossRef]
- Prashar, P.; Vandenberg, A. Genotype-specific responses to the effects of commercial Trichoderma formulations in lentil (Lens culinaris ssp. culinaris) in the presence and absence of the oomycete pathogen Aphanomyces euteiches. Biocontrol Sci. Technol. 2017, 27, 1123–1144. [Google Scholar] [CrossRef]
- Sui, Y.; Gao, J.; Wang, Y.; Xiao, W.; Liu, J.; Shi, L.; Zhao, H.; Zhang, Y. Biochar and nitrogen fertilizer effects on soil nutrient and root distribution in dryland maize. Ecol. Environ. Sci. 2021, 30, 2026–2032. [Google Scholar]
- Kong, F.; Liu, F.; Li, X.; Yin, P.; Lan, T.; Feng, D.; Song, B.; Lei, E.; Li, Z.; Wang, X.; et al. Ecological factors regulate stalk lodging within dense planting maize. Field Crops Res. 2024, 317, 109529. [Google Scholar] [CrossRef]
- Xue, J.; Gou, L.; Zhao, Y.; Yao, M.; Yao, H.; Tian, J.; Zhang, W. Effects of light intensity within the canopy on maize lodging. Field Crops Res. 2016, 188, 133–141. [Google Scholar] [CrossRef]
- Gao, J.; Zhao, Y.; Zhang, W.; Sui, Y.; Jin, D.; Xin, W.; Yi, J.; He, D. Biochar prepared at different pyrolysis temperatures affects urea-nitrogen immobilization and N2O emissions in paddy fields. PeerJ 2019, 7, e7027. [Google Scholar] [CrossRef]
- Ma, R.; Cao, N.; Li, Y.; Hou, Y.; Wang, Y.; Zhang, Q.; Wang, T.; Cui, J.; Li, B.; Shi, W.; et al. Rational reduction of planting density and enhancement of NUE were effective methods to mitigate maize yield loss due to excessive rainfall. Eur. J. Agron. 2024, 160, 127326. [Google Scholar] [CrossRef]



| Treatment | 1st | 2nd | 3rd | 4th | 5th | ||||||
|---|---|---|---|---|---|---|---|---|---|---|---|
| Length/cm | Diameter/mm | Length/cm | Diameter/mm | Length/cm | Diameter/mm | Length/cm | Diameter/mm | Length/cm | Diameter/mm | ||
| B0 | N0 | 5.57 ± 0.23 a | 18.00 ± 0.48 b | 7.43 ± 0.75 cd | 17.37 ± 0.18 cd | 8.70 ± 0.26 c | 16.46 ± 0.23 c | 9.23 ± 0.61 c | 15.46 ± 0.14 c | 10.80 ± 0.50 d | 14.31 ± 0.23 b |
| N1 | 8.27 ± 2.24 a | 21.23 ± 0.72 a | 8.13 ± 0.49 bcd | 20.93 ± 1.10 a | 11.23 ± 0.72 abc | 19.59 ± 0.25 a | 13.87 ± 0.51 b | 18.27 ± 0.70 a | 14.20 ± 0.66 c | 17.40 ± 0.40 a | |
| N2 | 7.50 ± 0.75 a | 19.55 ± 0.84 ab | 9.70 ± 0.20 ab | 18.64 ± 0.45 bcd | 12.13 ± 0.29 ab | 17.99 ± 1.38 abc | 15.80 ± 0.87 a | 16.81 ± 0.44 abc | 16.90 ± 0.92 ab | 16.67 ± 0.20 a | |
| Average | 7.11 ± 1.69 A | 19.59 ± 1.52 A | 8.42 ± 1.11 A | 18.98 ± 1.67 A | 10.69 ± 1.60 A | 18.01 ± 1.53 A | 12.97 ± 2.98 A | 16.85 ± 1.29 A | 13.97 ± 2.72 B | 16.13 ± 1.42 A | |
| B1 | N0 | 4.43 ± 0.93 a | 19.13 ± 0.90 ab | 6.57 ± 1.07 d | 17.92 ± 1.14 cd | 8.93 ± 0.38 bc | 17.53 ± 2.20 abc | 10.10 ± 0.56 c | 15.63 ± 0.51 c | 10.93 ± 0.50 d | 14.41 ± 0.74 b |
| N1 | 5.73 ± 2.35 a | 20.85 ± 2.09 a | 8.63 ± 1.10 abc | 19.34 ± 0.71 abc | 12.90 ± 3.50 a | 18.09 ± 0.76 abc | 13.17 ± 1.51 b | 17.59 ± 0.65 ab | 15.47 ± 1.08 bc | 16.86 ± 0.74 a | |
| N2 | 7.60 ± 2.48 a | 19.86 ± 0.17 ab | 10.60 ± 0.53 a | 18.87 ± 1.05 abcd | 11.70 ± 2.05 abc | 17.95 ± 0.45 abc | 16.43 ± 1.19 a | 16.99 ± 0.70 abc | 18.20 ± 0.26 a | 16.39 ± 0.78 a | |
| Average | 5.92 ± 2.24 A | 19.95 ± 1.36 A | 8.60 ± 1.93 A | 18.71 ± 1.06 A | 11.18 ± 2.69 A | 17.86 ± 1.21 A | 13.23 ± 2.92 A | 16.74 ± 1.02 A | 14.87 ± 3.24 A | 15.89 ± 1.30 A | |
| B2 | N0 | 5.93 ± 3.33 a | 18.05 ± 0.45 b | 7.53 ± 2.15 cd | 17.03 ± 0.96 d | 9.03 ± 1.42 bc | 16.45 ± 0.89 c | 9.80 ± 0.75 c | 15.57 ± 0.92 c | 11.13 ± 0.67 d | 14.63 ± 1.01 b |
| N1 | 8.93 ± 4.91 a | 18.99 ± 2.15 ab | 8.90 ± 1.06 abc | 18.03 ± 2.03 cd | 13.27 ± 1.88 a | 16.92 ± 1.68 bc | 16.00 ± 1.08 a | 16.47 ± 2.02 ab | 18.00 ± 1.45 a | 15.84 ± 1.71 ab | |
| N2 | 6.37 ± 1.82 a | 21.33 ± 1.28 a | 9.07 ± 0.55 abc | 20.45 ± 1.04 ab | 11.03 ± 0.99 abc | 19.09 ± 1.04 ab | 14.07 ± 0.58 b | 18.51 ± 0.59 a | 16.33 ± 0.55 b | 17.41 ± 1.01 a | |
| Average | 7.08 ± 3.41 A | 19.46 ± 1.94 A | 8.50 ± 1.43 A | 18.50 ± 1.96 A | 11.11 ± 2.23 A | 17.49 ± 1.63 A | 13.29 ± 2.84 A | 16.85 ± 1.74 A | 15.16 ± 3.21 A | 15.96 ± 1.64 A | |
| Source of variation | |||||||||||
| N application rate (N) | ns | ** | ** | ** | ** | * | ** | ** | ** | ** | |
| B addition rate (B) | ns | ns | ns | ns | ns | ns | ns | ns | * | ns | |
| N × B | ns | ns | ns | * | ns | ns | ** | * | ** | ns | |
| Treatment | 1st | 2nd | 3rd | 4th | 5th | ||||||
|---|---|---|---|---|---|---|---|---|---|---|---|
| SDC | CSM/mm4 | SDC | CSM/mm4 | SDC | CSM/mm4 | SDC | CSM/mm4 | SDC | CSM/mm4 | ||
| B0 | N0 | 2.62 ± 0.15 a | 5168.88 ± 551.29 b | 4.28 ± 0.48 ab | 4468.18 ± 181.60 c | 5.29 ± 0.23 b | 3604.19 ± 201.35 c | 5.97 ± 0.45 b | 2803.69 ± 100.81 c | 7.55 ± 0.36 d | 2061.36 ± 129.77 c |
| N1 | 3.26 ± 0.96 a | 10,011.91 ± 1323.43 a | 3.90 ± 0.45 b | 9517.46 ± 1899.01 a | 5.74 ± 0.43 b | 7225.52 ± 363.82 a | 7.60 ± 0.53 b | 5494.63 ± 849.91 ab | 8.17 ± 0.48 cd | 4503.18 ± 407.11 a | |
| N2 | 3.21 ± 0.25 a | 7215.15 ± 1263.60 ab | 5.21 ± 0.20 ab | 5936.69 ± 575.96 bc | 6.78 ± 0.65 ab | 5263.79 ± 1685.54 abc | 9.41 ± 0.76 a | 3931.23 ± 402.97 bc | 10.14 ± 0.63 ab | 3793.91 ± 182.34 a | |
| Average | 3.03 ± 0.59 A | 7465.31 ± 2312.15 A | 4.46 ± 0.67 A | 6640.78 ± 2460.07 A | 5.93 ± 0.78 A | 5364.50 ± 1793.90 A | 7.66 ± 1.57 A | 4076.52 ± 1262.27 A | 8.62 ± 1.25 A | 3452.81 ± 1112.37 A | |
| B1 | N0 | 1.99 ± 0.53 a | 6627.97 ± 1203.33 ab | 3.69 ± 0.77 b | 5143.64 ± 1251.92 c | 5.16 ± 0.77 b | 4921.73 ± 2308.29 abc | 6.47 ± 0.47 b | 2940.60 ± 384.05 c | 7.61 ± 0.63 d | 2135.52 ± 432.63 c |
| N1 | 2.35 ± 1.11 a | 9632.24 ± 3444.52 a | 4.48 ± 0.73 ab | 6900.52 ± 992.78 abc | 7.09 ± 1.67 ab | 5292.08 ± 919.29 abc | 7.51 ± 1.15 b | 4722.03 ± 672.08 ab | 9.20 ± 1.07 bcd | 3994.15 ± 667.51 a | |
| N2 | 3.15 ± 1.02 a | 7634.60 ± 252.25 ab | 5.63 ± 0.50 a | 6304.01 ± 1451.56 bc | 6.51 ± 1.05 ab | 5105.89 ± 501.06 abc | 9.66 ± 0.31 a | 4118.52 ± 652.17 bc | 11.12 ± 0.39 a | 3572.01 ± 649.94 ab | |
| Average | 2.50 ± 0.95 A | 7964.94 ± 2257.83 A | 4.60 ± 1.03 A | 6116.06 ± 1328.01 A | 6.25 ± 1.36 A | 5106.57 ± 1277.42 A | 7.88 ± 1.55 A | 3927.05 ± 933.69 A | 9.31 ± 1.65 A | 3233.89 ± 987.84 A | |
| B2 | N0 | 2.82 ± 1.58 a | 5220.46 ± 507.70 b | 4.45 ± 1.42 ab | 4179.71 ± 955.97 c | 5.53 ± 1.13 b | 3636.43 ± 740.77 c | 6.33 ± 0.86 b | 2925.46 ± 653.62 c | 7.65 ± 0.94 d | 2291.34 ± 586.40 bc |
| N1 | 3.97 ± 2.34 a | 6721.58 ± 3198.43 ab | 5.02 ± 1.07 ab | 5458.30 ± 2573.36 c | 7.96 ± 1.80 a | 4186.07 ± 1750.62 bc | 9.85 ± 1.68 a | 3836.99 ± 1977.18 bc | 11.50 ± 1.98 a | 3241.99 ± 1477.25 abc | |
| N2 | 2.45 ± 0.64 a | 10,306.84 ± 2394.06 a | 4.44 ± 0.30 ab | 8674.79 ± 1721.86 ab | 5.80 ± 0.71 b | 6596.59 ± 1361.00 ab | 7.61 ± 0.48 b | 5786.80 ± 717.31 a | 9.39 ± 0.27 bc | 4563.38 ± 1009.72 a | |
| Average | 3.08 ± 1.60 A | 7416.29 ± 3029.38 A | 4.63 ± 0.94 A | 6104.27 ± 2578.47 A | 6.43 ± 1.61 A | 4806.36 ± 1796.06 A | 7.93 ± 1.83 A | 4183.08 ± 1677.87 A | 9.51 ± 2.00 A | 3365.57 ± 1364.88 A | |
| Source of variation | |||||||||||
| N application rate (N) | ns | ** | ns | ** | * | * | ** | ** | ** | ** | |
| B addition rate (B) | ns | ns | ns | ns | ns | ns | ns | ns | ns | ns | |
| N × B | ns | ns | ns | * | ns | ns | ** | * | ** | ns | |
| Treatment | Dry Weight of Internode/g Plant−1 | Plant | ||||||
|---|---|---|---|---|---|---|---|---|
| 1st | 2nd | 3rd | 4th | 5th | Other | Height/cm | ||
| B0 | N0 | 2.77 ± 0.49 bc | 3.10 ± 0.44 e | 3.10 ± 0.46 f | 2.93 ± 0.47 d | 2.97 ± 0.23 c | 13.07 ± 1.65 d | 216.6 ± 12.0 e |
| N1 | 5.10 ± 0.89 ab | 6.20 ± 0.17 a | 6.87 ± 0.50 a | 7.10 ± 0.20 a | 6.20 ± 0.44 ab | 28.13 ± 2.02 b | 252.7 ± 36.1 d | |
| N2 | 4.40 ± 0.78 abc | 4.67 ± 0.25 cd | 5.03 ± 0.55 cd | 5.17 ± 0.35 c | 5.07 ± 0.49 b | 23.40 ± 3.01 c | 294.8 ± 9.1 a | |
| Average | 4.09 ± 1.22 A | 4.66 ± 1.37 A | 5.00 ± 1.69 A | 5.07 ± 1.83 A | 4.74 ± 1.46 A | 21.53 ± 6.96 B | 254.7 ± 39.1 B | |
| B1 | N0 | 2.47 ± 0.40 c | 3.37 ± 0.31 e | 3.53 ± 0.38 ef | 3.53 ± 0.38 d | 3.30 ± 0.35 c | 15.73 ± 2.07 d | 227.2 ± 11.4 e |
| N1 | 4.07 ± 1.12 abc | 5.17 ± 0.25 bc | 5.43 ± 0.42 bc | 5.63 ± 0.45 bc | 5.73 ± 0.35 ab | 28.20 ± 2.55 b | 283.1 ± 7.6 ab | |
| N2 | 5.10 ± 2.31 ab | 5.80 ± 1.05 ab | 5.83 ± 1.55 abc | 6.60 ± 1.25 ab | 6.40 ± 1.05 ab | 28.60 ± 2.00 b | 289.6 ± 7.0 ab | |
| Average | 3.88 ± 1.73 A | 4.78 ± 1.23 A | 4.93 ± 1.35 A | 5.26 ± 1.52 A | 5.14 ± 1.53 A | 24.18 ± 6.62 A | 266.6 ± 34.3 A | |
| B2 | N0 | 2.67 ± 0.84 c | 3.83 ± 0.45 de | 3.73 ± 0.51 def | 3.50 ± 0.44 d | 3.47 ± 0.61 c | 15.67 ± 2.03 d | 229.9 ± 9.9 de |
| N1 | 2.87 ± 1.02 bc | 4.00 ± 0.53 de | 4.67 ± 0.50 cde | 4.97 ± 0.81 c | 5.10 ± 0.53 b | 22.30 ± 4.42 c | 277.9 ± 5.6 bc | |
| N2 | 6.10 ± 2.10 a | 6.17 ± 0.93 a | 6.53 ± 1.22 ab | 6.87 ± 1.10 a | 6.90 ± 1.48 a | 33.80 ± 0.70 a | 268.0 ± 9.8 c | |
| Average | 3.88 ± 2.08 A | 4.67 ± 1.27 A | 4.98 ± 1.42 A | 5.11 ± 1.63 A | 5.16 ± 1.71 A | 23.92 ± 8.32 AB | 258.6 ± 2.5 B | |
| Source of variation | ||||||||
| N application rate (N) | ** | ** | ** | ** | ** | ** | ** | |
| B addition rate (B) | ns | ns | ns | ns | ns | ns | ** | |
| N × B | ns | ** | ** | ** | * | ** | ** | |
| Treatment | Yield (kg/ha) | 1000-Grain Weight/g | Kernels per Ear | Ear Number (Ears/ha) | |
|---|---|---|---|---|---|
| B0 | N0 | 2416 ± 117 c | 279 ± 10 d | 260 ± 22 d | 53,889 ± 4194 c |
| N1 | 8880 ± 1033 b | 326 ± 10 a | 475 ± 28 b | 60,000 ± 3333 bc | |
| N2 | 12,977 ± 1333 a | 336 ± 7 a | 574 ± 68 a | 66,667 ± 4410 ab | |
| Average | 8091 ± 1333 A | 314 ± 28 B | 436 ± 144 A | 60,185 ± 6532 A | |
| B1 | N0 | 3052 ± 441 c | 294 ± 6 c | 289 ± 42 cd | 53,333 ± 6667 c |
| N1 | 8915 ± 2340 b | 325 ± 5 a | 511 ± 17 b | 66,111 ± 2546 ab | |
| N2 | 9307 ± 1008 b | 327 ± 4 a | 451 ± 25 b | 70,000 ± 1667 a | |
| Average | 7091 ± 3298 A | 315 ± 16 B | 417 ± 103 A | 63,148 ± 8393 A | |
| B2 | N0 | 2808 ± 1010 c | 310 ± 5 b | 212 ± 45 c | 53,889 ± 5853 c |
| N1 | 10,663 ± 614 b | 334 ± 10 a | 467 ± 15 b | 67,778 ± 5853 ab | |
| N2 | 9515 ± 1260 b | 330 ± 2 a | 472 ± 11 b | 65,556 ± 4811 ab | |
| Average | 7662 ± 3774 A | 325 ± 13 A | 384 ± 131 B | 62,407 ± 8041 A | |
| Source of variation | |||||
| N application rate (N) | ** | ** | ** | ** | |
| B addition rate (B) | ns | * | * | ns | |
| N × B | ** | ** | ** | ns | |
| Levels | B0 | B1 | B2 |
|---|---|---|---|
| N0 | N0B0 | N0B1 | N0B2 |
| N1 | N1B0 | N1B1 | N1B2 |
| N2 | N2B0 | N2B1 | N1B2 |
Disclaimer/Publisher’s Note: The statements, opinions and data contained in all publications are solely those of the individual author(s) and contributor(s) and not of MDPI and/or the editor(s). MDPI and/or the editor(s) disclaim responsibility for any injury to people or property resulting from any ideas, methods, instructions or products referred to in the content. |
© 2026 by the authors. Licensee MDPI, Basel, Switzerland. This article is an open access article distributed under the terms and conditions of the Creative Commons Attribution (CC BY) license.
Share and Cite
Sui, Y.; Gao, J.; Wang, D.; Zhang, Y.; Ye, Y.; Xiao, W.; Wang, Y. Annual Biochar Application Regulates Maize Internode Development and Yield by Modulating Photosystem II Photosynthetic Efficiency. Plants 2026, 15, 1141. https://doi.org/10.3390/plants15081141
Sui Y, Gao J, Wang D, Zhang Y, Ye Y, Xiao W, Wang Y. Annual Biochar Application Regulates Maize Internode Development and Yield by Modulating Photosystem II Photosynthetic Efficiency. Plants. 2026; 15(8):1141. https://doi.org/10.3390/plants15081141
Chicago/Turabian StyleSui, Yanghui, Jiping Gao, Dawei Wang, Yang Zhang, Yusheng Ye, Wanxin Xiao, and Yanbo Wang. 2026. "Annual Biochar Application Regulates Maize Internode Development and Yield by Modulating Photosystem II Photosynthetic Efficiency" Plants 15, no. 8: 1141. https://doi.org/10.3390/plants15081141
APA StyleSui, Y., Gao, J., Wang, D., Zhang, Y., Ye, Y., Xiao, W., & Wang, Y. (2026). Annual Biochar Application Regulates Maize Internode Development and Yield by Modulating Photosystem II Photosynthetic Efficiency. Plants, 15(8), 1141. https://doi.org/10.3390/plants15081141

