Effects of Graphene Oxide on Phosphorus Uptake in the Arbuscular Mycorrhizal Symbiosis of Medicago sativa L
Abstract
1. Introduction
2. Results
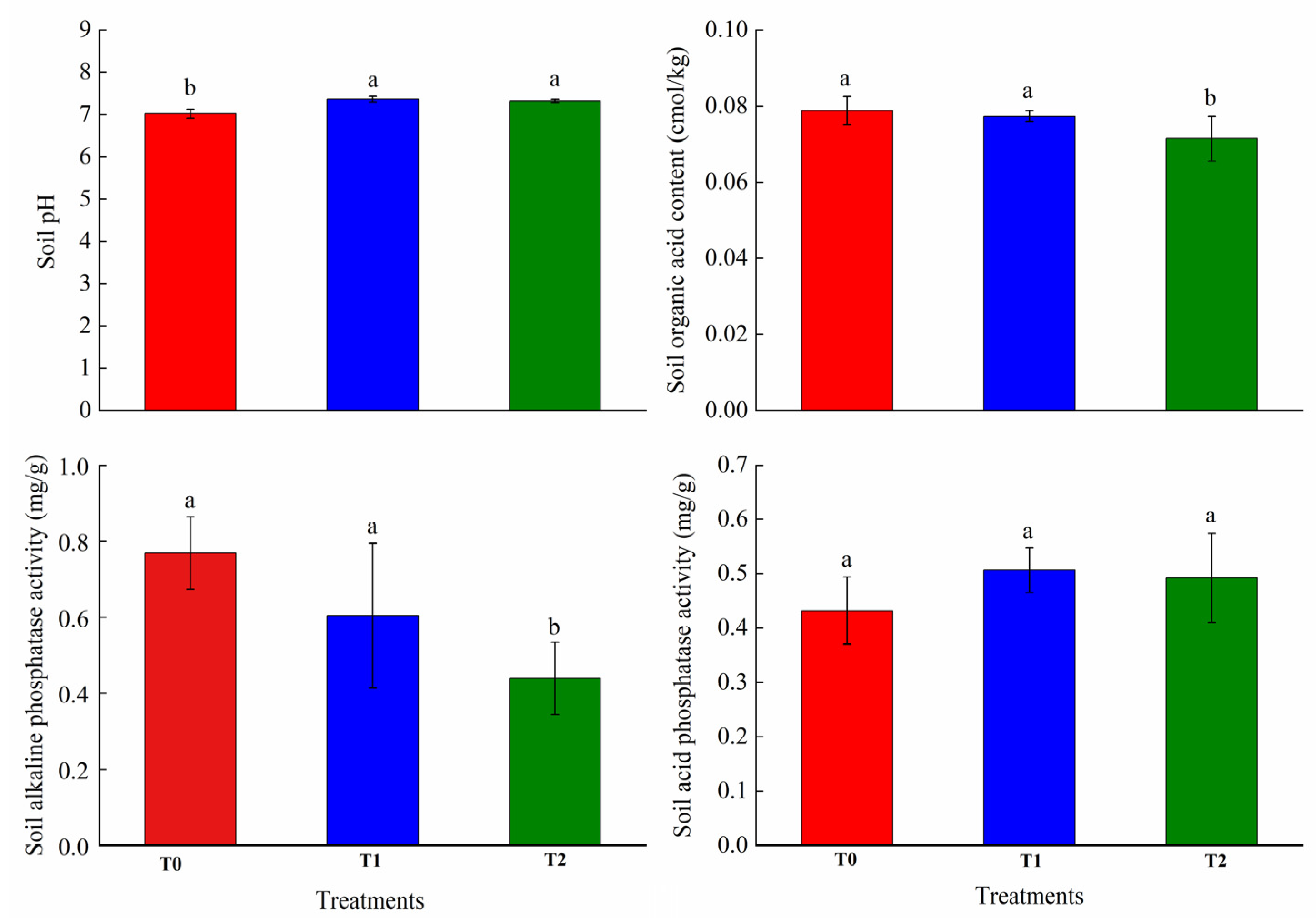
2.1. Effects of GO on Soil Environment of AMF Symbiosis
2.2. AMF Symbiosis and Phosphorus Acquisition
2.3. Diversity and Composition of AMF Communities in Rhizosphere Soil
2.4. Gene Expression of MsCS and GigmPT
3. Discussion
4. Materials and Methods
4.1. Materials
4.2. Experimental Design
4.3. Soil Parameters
4.4. AMF Symbiosis Structure and Phosphorus Acquisition
4.5. AMF Community Composition and Diversity in Rhizosphere Soil
4.6. Quantification of GigmPT and MsCS Genes
4.7. Statistical Analysis
5. Conclusions
Author Contributions
Funding
Data Availability Statement
Acknowledgments
Conflicts of Interest
Abbreviations
| GO | Graphene oxide |
| CMNs | Common mycorrhizal networks |
| AMF | Arbuscular mycorrhizal fungi |
| ROS | Reactive oxygen species |
| SNF | Symbiotic nitrogen fixation |
| CS | Citrate synthase |
| T1 | Treatment 1 |
| T2 | Treatment 2 |
| LMWOAs | Low-molecular-weight organic acids |
| P | Phosphorus |
| N | Nitrogen |
References
- Huang, G.J.; Chen, Z.G.; Li, M.D.; Yang, B.; Xin, M.L.; Li, S.P.; Yin, Z.J. Surface functional modification of graphene and graphene oxide. Acta Chim. Sin. 2016, 74, 789–799. [Google Scholar] [CrossRef]
- Zhan, M.; Xu, M.; Lin, W.; He, H.; He, C. Graphene oxide research: Current developments and future directions. Nanomaterials 2025, 15, 507. [Google Scholar] [CrossRef]
- Chen, A.; Wang, B.; Feng, Q.; Wang, R. Potential toxicity of carbonaceous nanomaterials on aquatic organisms and their alleviation strategies: A review. Ecotoxicol. Environ. Saf. 2024, 285, 117019. [Google Scholar] [CrossRef]
- Hashemi, E.; Giesy, J.P.; Liang, Z.; Akhavan, O.; Tayefeh, A.R.; Joupari, M.D.; Sanati, M.H.; Shariati, P.; Shamsara, M.; Farmany, A. Impacts of graphene oxide contamination on a food web: Threats to somatic and reproductive health of organisms. Ecotoxicol. Environ. Saf. 2024, 285, 117032. [Google Scholar] [CrossRef] [PubMed]
- Hu, X.; Lu, K.; Mu, L.; Kang, J.; Zhou, Q. Interactions between graphene oxide and plant cells: Regulation of cell morphology, uptake, organelle damage, oxidative effects and metabolic disorders. Carbon 2014, 80, 665–676. [Google Scholar] [CrossRef]
- Cao, H.; Zhang, X.; Wang, H.; Ding, B.; Ge, S.; Zhao, J. Effects of graphene-based nanomaterials on microorganisms and soil microbial communities. Microorganisms 2024, 12, 814. [Google Scholar] [CrossRef] [PubMed]
- Djanaguiraman, M.; Anbazhagan, V.; Dhankher, O.P.; Prasad, P.V.V. Uptake, Translocation, toxicity, and impact of nanoparticles on plant physiological processes. Plants 2024, 13, 3137. [Google Scholar] [CrossRef]
- Zhao, J.; Cao, X.; Wang, Z.; Dai, Y.; Xing, B. Mechanistic understanding toward the toxicity of graphene-family materials to freshwater algae. Water Res. 2017, 111, 18–27. [Google Scholar] [CrossRef]
- Wei, L.; Liu, T.; Liu, J.; Lin, Y.; Cao, Y. Exposure of zebrafish (Danio rerio) to graphene oxide for 6 months suppressed NOD-like receptor-regulated anti-virus signaling pathways. Environ. Toxicol. 2023, 38, 2560–2573. [Google Scholar] [CrossRef]
- Pulingam, T.; Thong, K.L.; Appaturi, J.N.; Lai, C.W.; Leo, B.F. Mechanistic actions and contributing factors affecting the antibacterial property and cytotoxicity of graphene oxide. Chemosphere 2021, 281, 130739. [Google Scholar] [CrossRef]
- Sanchez, J.A.; Materon, L.; Parsons, J.G.; Alcoutlabi, M. Synthesis, characterization, and antibacterial activity of graphene oxide/zinc hydroxide nanocomposites. Appl. Sci. 2024, 14, 6274. [Google Scholar] [CrossRef]
- Kuyper, T.W.; Jansa, J. Arbuscular mycorrhiza: Advances and retreats in our understanding of the ecological functioning of the mother of all root symbioses. Plant Soil 2023, 489, 41–88. [Google Scholar] [CrossRef]
- Frew, A.; Varga, S.; Klein, T. Mycorrhizal networks: Understanding hidden complexity. Funct. Ecol. 2025, 39, 1322–1327. [Google Scholar] [CrossRef]
- Dierks, J.; Gamper, H.A.; Blaser-Hart, W.J.; Kuan, B.M.; Six, J. Mycorrhizal fungi-mediated uptake of tree-derived nutrients by crops—The role of tree-maintained versus crop-associated fungal mycelia. Soil Biol. Biochem. 2024, 188, 109243. [Google Scholar] [CrossRef]
- Hata, S.; Tsuda, R.; Kojima, S.; Tanaka, A.; Kouchi, H. Both incompatible and compatible rhizobia inhabit the intercellular spaces of leguminous root nodules. Plant Signal. Behav. 2023, 18, 2245995. [Google Scholar] [CrossRef]
- Dicenzo, G.C.; Zamani, M.; Checcucci, A.; Fondi, M.; Griffitts, J.S.; Finan, T.M.; Mengoni, A. Multi-disciplinary approaches for studying rhizobium-legume symbioses. Can. J. Microbiol. 2018, 65, 1–33. [Google Scholar] [CrossRef]
- Wang, X.; Feng, H.; Wang, Y.; Wang, M.; Xie, X.; Chang, H.; Wang, L.; Qu, J.; Sun, K.; He, W.; et al. Mycorrhizal symbiosis modulates the rhizosphere microbiota to promote rhizobia–legume symbiosis. Mol. Plant 2021, 14, 503–516. [Google Scholar] [CrossRef]
- Rillig, M.C.; Lehmann, A.; Lanfranco, L.; Caruso, T.; Johnson, D. Clarifying the definition of common mycorrhizal networks. Funct. Ecol. 2025, 39, 1411–1417. [Google Scholar] [CrossRef]
- Shi, W.; Cao, T.; Yuan, Z.; Wang, Y.; Ying, Y. Phosphorus deficiency promotes root morphological and biochemical changes to enhance phosphorus uptake in Phyllostachys edulis seedlings. Plant Soil 2025, 514, 2367–2385. [Google Scholar] [CrossRef]
- Mishra, S.; Levengood, H.; Fan, J.; Zhang, C. Plants under stress: Exploring physiological and molecular responses to nitrogen and phosphorus deficiency. Plants 2024, 13, 3144. [Google Scholar] [CrossRef]
- Shen, J.; Yuan, L.; Zhang, J.; Li, H.; Bai, Z.; Chen, X.; Zhang, W.; Zhang, F. Phosphorus dynamics: From soil to plant. Plant Physiol. 2011, 156, 997–1005. [Google Scholar] [CrossRef] [PubMed]
- Yao, Y.; Yuan, H.; Wu, G.; Yan, J.; Zhao, D.; Chen, S.; Kang, Q.; Ma, C.; Gong, Z. Nitrogen fixation capacity and metabolite responses to phosphorus in soybean nodules. Symbiosis 2022, 88, 21–35. [Google Scholar] [CrossRef]
- Lazali, M.; Brahimi, S.; Benadis, C.; Farissi, M.; Drevon, J.J. Are phytases involved in the regulation of symbiotic nitrogen fixation under phosphorus deficiency? J. Plant Nutr. 2021, 44, 455–466. [Google Scholar] [CrossRef]
- Sulieman, S.; Tran, L.S.P. Phosphorus homeostasis in legume nodules as an adaptive strategy to phosphorus deficiency. Plant Sci. 2015, 239, 36–43. [Google Scholar] [CrossRef]
- Lipton, D.S.; Blanchar, R.W.; Blevins, D.G. Citrate, malate, and succinate concentration in exudates from P-sufficient and P-stressed Medicago sativa L. seedlings. Plant Physiol. 1987, 85, 315–317. [Google Scholar] [CrossRef]
- Wang, Y.; Xu, H.; Kou, J.; Shi, L.; Zhang, C.; Xu, F. Dual effects of transgenic Brassica napus overexpressing CS gene on tolerances to aluminum toxicity and phosphorus deficiency. Plant Soil 2013, 362, 231–246. [Google Scholar] [CrossRef]
- Li, Y.; Lu, L.; Wang, Q.; Liu, X.; Tian, J.; Zhang, R.; Liao, H.; Lambers, H.; Wang, X. Arbuscular mycorrhizal fungi promote nodulation and N2 fixation in soybean by specific root exudates. Plant Cell Environ. 2025, 48, 5514–5528. [Google Scholar] [CrossRef]
- Wang, P.; Wang, T.; Wu, S.; Wen, M.; Lu, L.; Ke, F.; Wu, Q. Effect of arbuscular mycorrhizal fungi on rhizosphere organic acid content and microbial activity of Trifoliate orange under different low P conditions. Arch. Agron. Soil Sci. 2019, 65, 2029–2042. [Google Scholar] [CrossRef]
- Fan, X.; Che, X.; Lai, W.; Wang, S.; Hu, W.; Chen, H.; Zhao, B.; Tang, M.; Xie, X. The auxin-inducible phosphate transporter AsPT5 mediates phosphate transport and is indispensable for arbuscule formation in Chinese milk vetch at moderately high phosphate supply. Environ. Microbiol. 2020, 22, 2053–2079. [Google Scholar] [CrossRef]
- Zhang, X.; Cao, H.; Wang, H.; Zhao, J.; Gao, K.; Qiao, J.; Li, J.; Ge, S. The effects of graphene-family nanomaterials on plant growth: A review. Nanomaterials 2022, 12, 936. [Google Scholar] [CrossRef]
- Andrino, A.; Guggenberger, G.; Kernchen, S.; Mikutta, R.; Sauheitl, L.; Boy, J. Production of organic acids by arbuscular mycorrhizal fungi and their contribution in the mobilization of phosphorus bound to iron oxides. Front. Plant Sci. 2021, 12, 661842. [Google Scholar] [CrossRef]
- Bin, D.; dos Santos, C.A.; da Silva, M.C.P.; Bonfim, J.A.; Cardoso, E.J.B.N. Intercropping Acacia mangium stimulates AMF colonization and soil phosphatase activity in Eucalyptus grandis. Sci. Agr. 2018, 75, 102–110. [Google Scholar] [CrossRef]
- Pan, X.; Li, H.; Wu, J.; Li, Q.; Zhou, Y.; Yang, P. Mycorrhiza inoculation and soil-available phosphorus modulate phosphorus acquisition strategies of alfalfa. J. Agric. Food Chem. 2025, 73, 14265–14279. [Google Scholar] [CrossRef]
- Liu, Y.; Guan, D.; Qiu, L.; Luo, Y.; Liu, F.; Teng, H.H.; Kuzyakov, Y.; Ma, L.Q. Spatial dynamics of phosphorus mobilization by mycorrhiza. Soil Biol. Biochem. 2025, 206, 109797. [Google Scholar] [CrossRef]
- Qiao, J.; Shen, L.J.; Liu, J.H.; Sun, J.; Dai, Z.J.; Hu, J.W.; Du, C.J.; Yang, J.S.; Li, J.W.; Zhao, J.G.; et al. Graphene oxide promotes soybean growth by reshaping the rhizosphere microbiome and enhancing soil fertility. Front. Plant Sci. 2025, 16, 1683882. [Google Scholar] [CrossRef] [PubMed]
- Yilihamu, A.; Ouyang, B.; Ouyang, P.; Bai, Y.; Zhang, Q.; Shi, M.; Guan, X.; Yang, S.T. Interaction between graphene oxide and nitrogen-fixing bacterium Azotobacter chroococcum: Transformation, toxicity and nitrogen fixation. Carbon 2020, 160, 5–13. [Google Scholar] [CrossRef]
- Xie, C.; Zhang, P.; Guo, Z.; Li, X.; Pang, Q.; Zheng, K.; He, X.; Ma, Y.; Zhang, Z.; Lynch, I. Elucidating the origin of the surface functionalization–dependent bacterial toxicity of graphene nanomaterials: Oxidative damage, physical disruption, and cell autolysis. Sci. Total Environ. 2020, 747, 141546. [Google Scholar] [CrossRef]
- Abd-Alla, M.H.; Nafady, N.A.; Khalaf, D.M. Assessment of silver nanoparticles contamination on faba bean-Rhizobium leguminosarum bv. viciae-Glomus aggregatum symbiosis: Implications for induction of autophagy process in root nodule. Agr. Ecosyst. Environ. 2016, 218, 163–177. [Google Scholar] [CrossRef]
- Duo, L.; Yang, Y.; Gao, Y.; Zhao, S. Graphene oxide affects the symbiosis of legume-rhizobium and associated rhizosphere rhizobial communities. Chemosphere 2023, 342, 140166. [Google Scholar] [CrossRef]
- Tian, H.; Kah, M.; Kariman, K. Are nanoparticles a threat to mycorrhizal and rhizobial symbioses? A critical review. Front. Microbiol. 2019, 10, 1660. [Google Scholar] [CrossRef]
- Song, J.F.; Luo, N.; Sang, Y.; Duan, C.W.; Cui, X.Y. Graphene oxide affects growth and physiological indexes in Larix olgensis seedlings and the soil properties of haplic cambisols in Northeast China. Environ. Sci. Pollut. Res. 2021, 28, 20869–20882. [Google Scholar] [CrossRef] [PubMed]
- Zhu, Q.; Li, Y.; Hassan, M.A.; Fang, W.; Wang, S. Comparative physiological and transcriptomic characterization of rice (Oryza Sativa L.) root seedlings under phosphorus deficiency. Plant Stress 2024, 12, 100508. [Google Scholar] [CrossRef]
- Shao, Y.; Hu, X.; Wu, Q.; Yang, T.; Srivastava, A.K.; Zhang, D.; Gao, X.; Kuca, K. Mycorrhizas promote P acquisition of tea plants through changes in root morphology and P transporter gene expression. S. Afr. J. Bot. 2021, 137, 455–462. [Google Scholar] [CrossRef]
- Ma, X.M.; Li, X.L.; Ludewig, U. Arbuscular mycorrhizal colonization outcompetes root hairs in maize under low phosphorus availability. Ann. Bot. 2021, 127, 155–166. [Google Scholar] [CrossRef]
- Weng, Y.; You, Y.; Lu, Q.; Zhong, A.; Liu, S.; Liu, H.; Du, S. Graphene oxide exposure suppresses nitrate uptake by roots of wheat seedlings. Environ. Pollut. 2020, 262, 114224. [Google Scholar] [CrossRef]
- Koyama, H.; Kawamura, A.; Kihara, T.; Hara, T.; Takita, E.; Shibata, D. Overexpression of mitochondrial citrate synthase in Arabidopsis thaliana improved growth on a phosphorus-limited soil. Plant Cell Physiol. 2000, 41, 1030–1037. [Google Scholar] [CrossRef]
- Xie, X.; Lin, H.; Peng, X.; Xu, C.; Sun, Z.; Jiang, K.; Huang, A.; Wu, X.; Tang, N.; Salvioli, A.; et al. Arbuscular mycorrhizal symbiosis requires a phosphate transceptor in the Gigaspora margarita fungal symbiont. Mol. Plant 2016, 9, 1583–1608. [Google Scholar] [CrossRef]
- Wang, Q.; Zhao, S.; Zhao, Y.; Rui, Q.; Wang, D. Toxicity and translocation of graphene oxide in Arabidopsis plants under stress conditions. RSC Adv. 2014, 4, 60891–60901. [Google Scholar] [CrossRef]
- Hu, X.; Kang, J.; Lu, K.; Zhou, R.; Mu, L.; Zhou, Q. Graphene oxide amplifies the phytotoxicity of arsenic in wheat. Sci. Rep. 2014, 4, 6122. [Google Scholar] [CrossRef]
- Gao, Y.; Jia, X.; Zhao, Y.; Zhao, J.; Ding, X.; Zhang, C.; Feng, X. Effect of arbuscular mycorrhizal fungi (Glomus mosseae) and elevated air temperature on Cd migration in the rhizosphere soil of alfalfa. Ecotoxicol. Environ. Saf. 2022, 248, 114342. [Google Scholar] [CrossRef]
- Ge, Y.; Schimel, J.P.; Holden, P.A. Identification of soil bacteria susceptible to TiO2 and ZnO nanoparticles. Appl. Environ. Microbiol. 2012, 78, 6749–6758. [Google Scholar] [CrossRef] [PubMed]
- You, T.; Liu, D.; Chen, J.; Yang, Z.; Dou, R.; Gao, X.; Wang, L. Effects of metal oxide nanoparticles on soil enzyme activities and bacterial communities in two different soil types. J. Soils Sediment 2018, 18, 211–221. [Google Scholar] [CrossRef]
- Duo, L.; Su, H.; Li, J.; Wang, Q.; Zhao, S. Impact of graphene oxide disturbance on the structure and function of arbuscular mycorrhizal networks. Ecotoxicol. Environ. Saf. 2024, 288, 117412. [Google Scholar] [CrossRef] [PubMed]
- Lei, T.; Wang, Z.Y.; Wang, X.Y.; Zhao, S.L.; Duo, L.A. Graphene oxide-induced toxicity in social insects: Study on ants through integrated analysis of physiology, gut microbiota, and transcriptome. Insects 2026, 17, 104. [Google Scholar] [CrossRef]
- Zhao, S.; Wang, Y.; Duo, L. Biochemical toxicity, lysosomal membrane stability and DNA damage induced by graphene oxide in earthworms. Environ. Pollut. 2021, 269, 116225. [Google Scholar] [CrossRef]
- Lehmann, A.; Rillig, M.C. Systematic mapping of experimental approaches to studying common mycorrhizal networks in arbuscular mycorrhiza. Plants People Planet 2025, 7, 920–933. [Google Scholar] [CrossRef]
- Rodríguez-Uña, A.; Salcedo, I.; Rodríguez-Echeverría, S.; Moreno-Mateos, D. Century-long recovery of mycorrhizal interactions in European beech forests after mining. Plant Soil 2024, 504, 895–909. [Google Scholar] [CrossRef]
- Melo, C.A.O.; Lopes, J.G.; Andrade, A.O.; Trindade, R.M.P.; Magalhães, R.S. Semi-automated counting of arbuscular mycorrhizal fungi spores using artificial neural network. IEEE Lat. Am. Trans. 2017, 15, 1566–1573. [Google Scholar] [CrossRef]
- De La Torre-Roche, R.; Hawthorne, J.; Deng, Y.; Xing, B.; Cai, W.; Newman, L.A.; Wang, Q.; Ma, X.; Hamdi, H.; White, J.C. Multiwalled carbon nanotubes and C60 fullerenes differentially impact the accumulation of weathered pesticides in four agricultural plants. Environ. Sci. Technol. 2013, 47, 12539–12547. [Google Scholar] [CrossRef]
- Wang, W.; Xie, X.; Shangguan, X. Study on spectrophotometric determination of organic acids in paddy soil. Trop. Subtrop. Soil Sci. 1993, 2, 162–170. [Google Scholar]
- Jiang, Y.; Kuang, D.; Li, W.; Han, C.; Deng, H.; Liu, K.; Huang, S.; Zhong, W. Predominant effects of soil organic carbon quality on phosphatase activity in upland Ultisols under long-term fertilizations. Geoderma 2025, 454, 117186. [Google Scholar] [CrossRef]
- Phillips, J.M.; Hayman, D.S. Improved procedures for clearing roots and staining parasitic and vesicular-arbuscular mycorrhizal fungi for rapid assessment of infection. Trans. Br. Mycol. Soc. 1970, 55, 158–161. [Google Scholar] [CrossRef]
- Liu, X.; Feng, Z.; Zhang, W.; Yao, Q.; Zhu, H. Exogenous myristate promotes the colonization of arbuscular mycorrhizal fungi in tomato. Front. Plant Sci. 2023, 14, 1250684. [Google Scholar] [CrossRef] [PubMed]
- Stockinger, H.; Krüger, M.; Schüßler, A. DNA barcoding of arbuscular mycorrhizal fungi. New Phytol. 2010, 187, 461–474. [Google Scholar] [CrossRef]
- Luo, Y.; Wang, Z.; He, Y.; Li, G.; Lv, X.; Zhuang, L. High-throughput sequencing analysis of the rhizosphere arbuscular mycorrhizal fungi (AMF) community composition associated with Ferula sinkiangensis. BMC Microbiol. 2020, 20, 335. [Google Scholar] [CrossRef]
- Zheng, Y.; Zhao, Y.; Wang, Y.; Rao, J. A multiplex real-time PCR quantitation of human herpesvirus-6, 7, 8 viruses: Application in blood transfusions. Virol. J. 2021, 18, 38. [Google Scholar] [CrossRef] [PubMed]





| Treatments | Sobs | Chao1 | Shannon | Simpson | Coverage (%) |
|---|---|---|---|---|---|
| T0 | 21.7 ± 1.24 c | 30.1 ± 3.46 b | 2.14 ± 0.3 b | 0.16 ± 0.04 a | 0.99 a |
| T1 | 49.3 ± 1.60 a | 40.5 ± 2.12 a | 2.60 ± 0.1 a | 0.12 ± 0.01 a | 0.99 a |
| T2 | 28.7 ± 3.50 b | 29.5 ± 1.30 b | 1.96 ± 0.1 b | 0.19 ± 0.08 a | 0.99 a |
Disclaimer/Publisher’s Note: The statements, opinions and data contained in all publications are solely those of the individual author(s) and contributor(s) and not of MDPI and/or the editor(s). MDPI and/or the editor(s) disclaim responsibility for any injury to people or property resulting from any ideas, methods, instructions or products referred to in the content. |
© 2026 by the authors. Licensee MDPI, Basel, Switzerland. This article is an open access article distributed under the terms and conditions of the Creative Commons Attribution (CC BY) license.
Share and Cite
Zhao, S.; Wei, H.; Duo, L. Effects of Graphene Oxide on Phosphorus Uptake in the Arbuscular Mycorrhizal Symbiosis of Medicago sativa L. Plants 2026, 15, 1088. https://doi.org/10.3390/plants15071088
Zhao S, Wei H, Duo L. Effects of Graphene Oxide on Phosphorus Uptake in the Arbuscular Mycorrhizal Symbiosis of Medicago sativa L. Plants. 2026; 15(7):1088. https://doi.org/10.3390/plants15071088
Chicago/Turabian StyleZhao, Shulan, Hongda Wei, and Lian Duo. 2026. "Effects of Graphene Oxide on Phosphorus Uptake in the Arbuscular Mycorrhizal Symbiosis of Medicago sativa L" Plants 15, no. 7: 1088. https://doi.org/10.3390/plants15071088
APA StyleZhao, S., Wei, H., & Duo, L. (2026). Effects of Graphene Oxide on Phosphorus Uptake in the Arbuscular Mycorrhizal Symbiosis of Medicago sativa L. Plants, 15(7), 1088. https://doi.org/10.3390/plants15071088
