Functional Trait Divergence Underlies the Spatial Trade-Off Between Water and Nitrogen Use Efficiencies in Northern Tibetan Alpine Grasslands
Abstract
1. Introduction
2. Materials and Methods
2.1. Study Area
2.2. Data Acquisition and Analyses
2.2.1. Transect Survey and Biomass Sampling
2.2.2. Multi-Site Nitrogen Addition Experiment
2.2.3. Soil Properties and Resource Use Efficiency
Soil Sampling and Soil Properties
Calculation of Resource Use Efficiency
2.2.4. Plant Functional Traits and Community Scaling
2.3. Statistical Analysis
3. Results
3.1. Co-Variation in Resource Availability and Community Structure
3.2. Divergent Spatial Patterns of Resource Use Efficiency
3.3. Intensification of Nitrogen Limitation in Humid Region
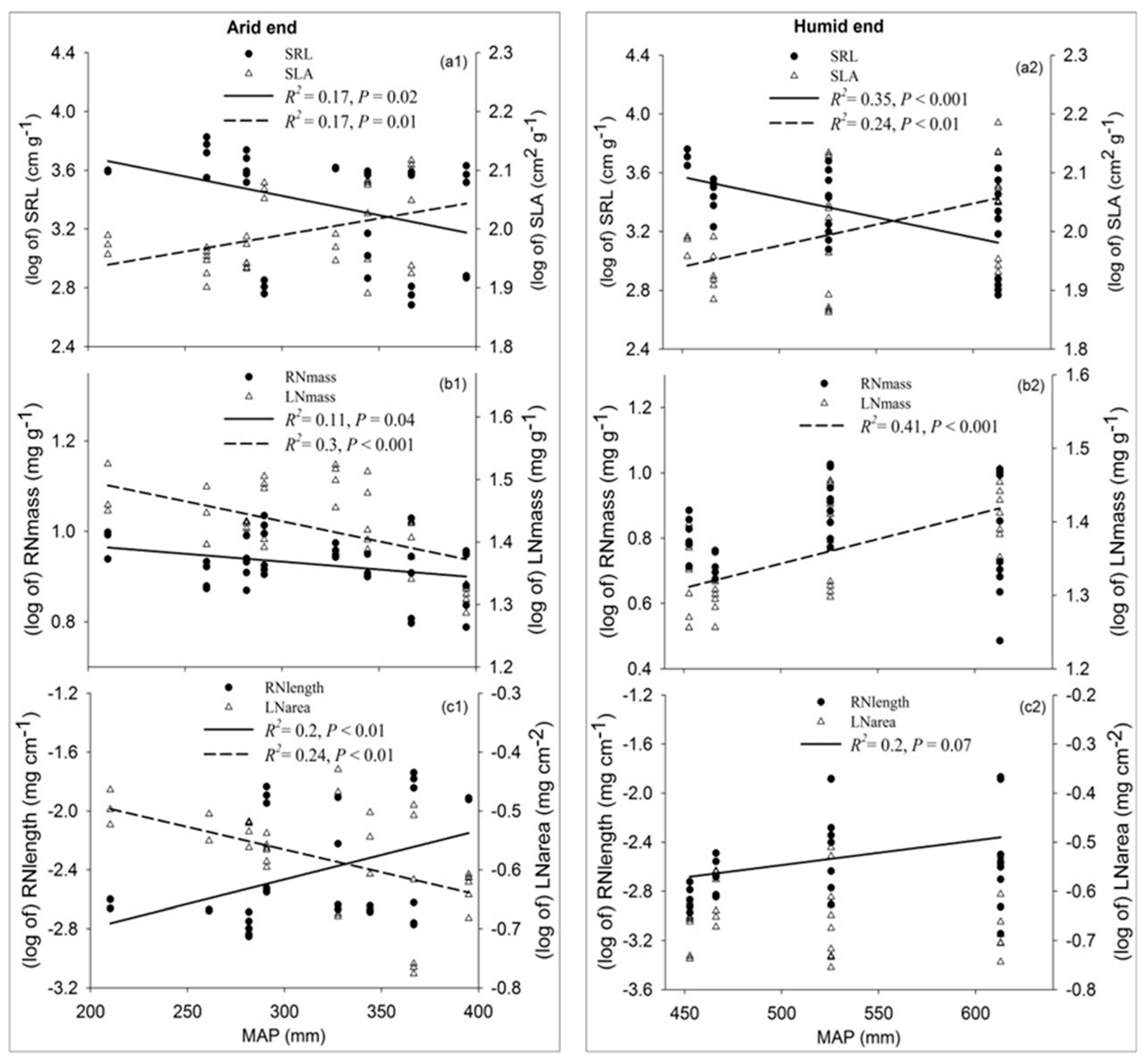
3.4. Shift in Functional Trait Syndromes
4. Discussion
4.1. Shifting Limitations: From Hydraulic Stress to Nutrient Competition
4.2. Conservation Strategy Maximizes Rain Use Efficiency in Arid Zone
4.3. Functional Trait Divergence Underpins the Spatial Decoupling of Efficiencies
4.4. Implications for Overcoming Vegetation and Biogeochemical Constraints
4.5. Limitations and Future Directions
- (1)
- How to effectively measure the photosynthetic rate and photosynthetic nutrient utilization efficiency of high-altitude plant leaves. Due to the small size and short height of the leaves of high-altitude plants (especially purple needle grass and Qinghai–Tibetan moss grass), it is difficult to measure the photosynthetic rate of the plants. In the future, seeking appropriate research methods and approaches for high-altitude vegetation will enable a more direct reflection of the relationship between plant traits and resource utilization efficiency, and explain the vegetation adaptation strategies at a deeper level of mechanism.
- (2)
- Data on longer-term nitrogen fertilizer addition experiments need to be accumulated. The current nitrogen fertilizer addition experiments have obtained three-year data. Further research is needed on the response changes in grassland community structure and productivity after longer-term nitrogen fertilizer addition. The analysis of the impact of inter-annual precipitation differences on the nitrogen addition effect still requires the accumulation of data over a longer period. In particular, whether long-term nitrogen fertilizer addition will bring a series of changes in the aboveground and underground functional traits of vegetation and nutrient utilization strategies still requires further experimental verification.
- (3)
- Conduct homogeneous garden (common garden) or interplanting experiments. The original plan was to conduct homogeneous garden or interplanting experiments, transplanting the main dominant species from different typical communities onto a common botanical garden under a gradient of precipitation. By setting gradients of water and nitrogen addition, the influence of environmental variation on the selection of functional traits and resource utilization strategies was analyzed, and the relationship between functional traits and resource utilization strategies was clarified. However, it was difficult to cultivate and overwinter the plants of Stipa purpurea and Elymus mongolicus, and the survival rate was very low. Due to the failure of two transplantations, the experiment was adjusted. In the future, whether it is possible to collect grass seeds under the precipitation gradient and conduct germination experiments to further verify the relative importance of key limiting factors in the precipitation gradient, whether there is a change pattern from the western water-limited area to the eastern nitrogen-limited area, and to reveal the synergistic relationship between plant functional traits and resource utilization strategies and their adaptation to environmental selection.
5. Conclusions
Author Contributions
Funding
Data Availability Statement
Conflicts of Interest
Appendix A
| Species Richness | Vegetation Coverage | Aboveground Biomass | Underground Biomass | |
|---|---|---|---|---|
| Soil organic carbon | 0.58 ** | 0.72 ** | 0.68 ** | 0.62 ** |
| Soil total nitrogen | 0.68 ** | 0.78 ** | 0.67 ** | 0.56 ** |
| Soil inorganic nitrogen | 0.61 ** | 0.72 ** | 0.8 ** | 0.7 ** |
| Soil moisture content | 0.65 ** | 0.66 ** | 0.56 ** | 0.27 |
References
- Hu, J.X.; Ma, W.; Wang, Z.W. Effects of nitrogen addition and drought on the relationship between nitrogen- and water-use efficiency in a temperate grassland. Ecol. Process. 2023, 12, 36. [Google Scholar] [CrossRef]
- Zong, N.; Shi, P.L.; Zhao, G.S.; Zheng, L.L.; Niu, B.; Zhou, T.C.; Hou, G. Variations of nitrogen and phosphorus limitation along the environmental gradient in alpine grasslands on the Northern Xizang Plateau. Chin. J. Plant Ecol. 2021, 45, 444–455. [Google Scholar] [CrossRef]
- Zeng, X.Y. Water and nutrient use efficiencies of Stipa purpurea Griseb. along a precipitation gradient of the Tibetan Plateau. Plant Soil Environ. 2023, 69, 230–237. [Google Scholar] [CrossRef]
- Le Houérou, H.N.; Bingham, R.L.; Skerbek, W. Relationship between the variability of primary production and the variability of annual precipitation in world arid lands. J. Arid. Environ. 1988, 15, 1–18. [Google Scholar] [CrossRef]
- Field, C.; Merino, J.; Mooney, H.A. Compromises between water-use efficiency and nitrogen-use efficiency in five species of California evergreens. Oecologia 1983, 60, 384–389. [Google Scholar] [CrossRef]
- Austin, A.T.; Sala, O.E. Carbon and nitrogen dynamics across a natural precipitation gradient in Patagonia, Argentina. J. Veg. Sci. 2002, 13, 351–360. [Google Scholar] [CrossRef]
- Barrett, J.E.; McCulley, R.L.; Lane, D.R.; Burke, I.C.; Lauenroth, W.K. Influence of climate variability on plant production and N-mineralization in Central US grasslands. J. Veg. Sci. 2002, 13, 383–394. [Google Scholar] [CrossRef]
- Barrett, J.E.; Burke, I.C. Nitrogen Retention in Semiarid Ecosystems Across a Soil Organic-Matter Gradient. Ecol. Appl. 2002, 12, 878–890. [Google Scholar] [CrossRef]
- DeLucia, E.H.; Schlesinger, W.H. Resource-Use Efficiency and Drought Tolerance in Adjacent Great Basin and Sierran Plants. Ecology 1991, 72, 51–58. [Google Scholar] [CrossRef]
- Gong, X.Y.; Chen, Q.; Lin, S.; Brueck, H.; Dittert, K.; Taube, F.; Schnyder, H. Tradeoffs between nitrogen- and water-use efficiency in dominant species of the semiarid steppe of Inner Mongolia. Plant Soil 2011, 340, 227–238. [Google Scholar] [CrossRef]
- Chen, S.P.; Bai, Y.F.; Zhang, L.X.; Han, X.G. Comparing physiological responses of two dominant grass species to nitrogen addition in Xilin River Basin of China. Environ. Exp. Bot. 2005, 53, 65–75. [Google Scholar] [CrossRef]
- Yao, F.Y.; Wang, G.A.; Liu, X.J.; Song, L. Assessment of effects of the rising atmospheric nitrogen deposition on nitrogen uptake and long-term water-use efficiency of plants using nitrogen and carbon stable isotopes. Rapid Commun. Mass Spectrom. 2011, 25, 1827–1836. [Google Scholar] [CrossRef]
- Habbib, H.; Hirel, B.; Spicher, F.; Dubois, F.; Tétu, T. In Winter Wheat (Triticum Aestivum L.), No-Till Improves Photosynthetic Nitrogen and Water-Use Efficiency. J. Crop Sci. Biotechnol. 2020, 23, 39–46. [Google Scholar] [CrossRef]
- Guo, A.X.; Zuo, X.A.; Zhang, S.X.; Hu, Y.; Yue, P.; Lv, P.; Li, X.Y.; Zhao, S.L.; Yu, Q. Contrasting effects of plant inter- and intraspecific variation on community trait responses to nitrogen addition and drought in typical and meadow steppes. BMC Plant Biol. 2022, 22, 90. [Google Scholar] [CrossRef]
- Wang, Y.T.; Wang, X.; Zhao, T.Q.; Jia, L.X.; Yang, Y.; Qiao, Q.R.; Zhang, F.; Zhao, M.L. Integration of Water and Nitrogen Use Efficiency of Plant Function Groups in the Stipa breviflora Grassland of Inner Mongolia along Grazing Gradients. Ecol. Environ. Sci. 2017, 26, 964–970. [Google Scholar]
- Zhou, Y.C.; Cheng, X.L.; Fan, J.W.; Harris, W. Relationships between foliar carbon isotope composition and elements of C3 species in grasslands of Inner Mongolia, China. Plant Ecol. 2016, 217, 883–897. [Google Scholar] [CrossRef]
- Reich, P.; Wright, I.; Cavender-Bares, J.; Craine, J.; Oleksyn, J.; Westoby, M.; Walters, M. The Evolution of Plant Functional Variation: Traits, Spectra, and Strategies. Int. J. Plant Sci. 2003, 164, S143–S164. [Google Scholar] [CrossRef]
- Woodward, F.I.; Diament, A.D. Functional Approaches to Predicting the Ecological Effects of Global Change. Funct. Ecol. 1991, 5, 202–212. [Google Scholar] [CrossRef]
- Dingaan, M.; Walker, S. Plant communities in semi-arid grassland in Bloemfontein, Free State: The influence of rainfall on species richness and biomass. S. Afr. J. Bot. 2011, 77, 571. [Google Scholar]
- Ackerly, D.D.; Cornwell, W.K. A trait-based approach to community assembly: Partitioning of species trait values into within- and among-community components. Ecol. Lett. 2007, 10, 135–145. [Google Scholar] [CrossRef] [PubMed]
- Chapin, F.S. Integrated Responses of Plants to Stress. BioScience 1991, 41, 29–36. [Google Scholar] [CrossRef]
- Chapin, F.S., III. Effects of Plant Traits on Ecosystem and Regional Processes: A Conceptual Framework for Predicting the Consequences of Global Change. Ann. Bot. 2003, 91, 455–463. [Google Scholar] [CrossRef]
- Grime, J.P. Plant Strategies, Vegetation Processes, and Ecosystem Properties, 2nd ed.; Wiley: Hoboken, NJ, USA, 2006; Volume 107, p. 464. [Google Scholar]
- Zhao, G.S.; Shi, P.L.; Wu, J.S.; Xiong, D.P.; Zong, N.; Zhang, X.Z. Foliar nutrient resorption patterns of four functional plants along a precipitation gradient on the Tibetan Changtang Plateau. Ecol. Evol. 2017, 7, 7201–7212. [Google Scholar] [CrossRef]
- Zhao, G.S.; Liu, M.; Shi, P.L.; Zong, N.; Wang, J.S.; Wu, J.S.; Zhang, X.Z. Spatial–Temporal Variation of ANPP and Rain-Use Efficiency Along a Precipitation Gradient on Changtang Plateau, Tibet. Remote Sens. 2019, 11, 325. [Google Scholar] [CrossRef]
- Yang, Y.H.; Fang, J.Y.; Tang, Y.H.; Ji, C.J.; Zheng, C.Y.; He, J.S.; Zhu, B. Storage, patterns and controls of soil organic carbon in the Tibetan grasslands. Glob. Change Biol. 2008, 14, 1592–1599. [Google Scholar] [CrossRef]
- Li, M.S. The soil characteristics of the Changtang Plateau and its utilization. Resour. Sci. 1980, 4, 60–69. [Google Scholar]
- Mao, F.; Lu, Z.G.; Zheng, L.Y.; Zhang, J.H. Variation Characteristics of Sunshine Duration and Wind Velocity in Naqu, Xizang for Recent 40 Years. Meteorol. Mon. 2006, 32, 77–83. [Google Scholar]
- Yang, F.Y.; Zhang, Y.W.; Miao, Y.J.; Wei, X.H. Main Limiting Factors for Deteriorated Grasslands Vegetation Restoration of Northern Tibet Plateau. Bull. Soil Water Conserv. 2003, 23, 17–20. [Google Scholar]
- Paruelo, J.M.; Lauenroth, W.K.; Burke, I.C.; Sala, O.E. Grassland Precipitation-Use Efficiency Varies Across a Resource Gradient. Ecosystems 1999, 2, 64–68. [Google Scholar] [CrossRef]
- Cornelissen, J.; Lavorel, S.; Garnier, E.; Diaz, S.; Buchmann, N.; Gurvich, D.; Reich, P.; ter Steege, H.; Morgan, H.; Van der Heijden, M.; et al. A handbook of protocols for standardised and easy measurement of plant functional traits worldwide. Aust. J. Bot. 2003, 51, 335–380. [Google Scholar] [CrossRef]
- Liu, G.F.; Freschet, G.g.T.; Pan, X.; Cornelissen, J.H.C.; Li, Y.; Dong, M. Coordinated variation in leaf and root traits across multiple spatial scales in Chinese semi-arid and arid ecosystems. N. Phytol. 2010, 188, 543–553. [Google Scholar] [CrossRef] [PubMed]
- Ordoñez, J.C.; Van Bodegom, P.M.; Witte, J.-P.M.; Wright, I.J.; Reich, P.B.; Aerts, R. A global study of relationships between leaf traits, climate and soil measures of nutrient fertility. Glob. Ecol. Biogeogr. 2009, 18, 137–149. [Google Scholar] [CrossRef]
- Tjoelker, M.G.; Craine, J.M.; Wedin, D.; Reich, P.B.; Tilman, D. Linking leaf and root trait syndromes among 39 grassland and savannah species. N. Phytol. 2005, 167, 493–508. [Google Scholar] [CrossRef]
- Burke, I.C.; Lauenroth, W.K.; Parton, W.J. Regional and Temporal Variation in Net Primary Production and Nitrogen Mineralization in Grasslands. Ecology 1997, 78, 1330–1340. [Google Scholar] [CrossRef]
- Seagle, S.W.; McNaughton, S.J. Simulated Effects of Precipitation and Nitrogen on Serengeti Grassland Productivity. Biogeochemistry 1993, 22, 157–178. [Google Scholar] [CrossRef]
- Geng, Y.; Wang, L.; Jin, D.M.; Liu, H.Y.; He, J.S. Alpine climate alters the relationships between leaf and root morphological traits but not chemical traits. Oecologia 2014, 175, 445–455. [Google Scholar] [CrossRef]
- Hong, J.T.; Wang, X.D.; Wu, J.B. Effects of soil fertility on the N:P stoichiometry of herbaceous plants on a nutrient-limited alpine steppe on the northern Tibetan Plateau. Plant Soil 2015, 391, 179–194. [Google Scholar] [CrossRef]
- Maestre, F.T.; Quero, J.L.; Gotelli, N.J.; Escudero, A.; Ochoa, V.; Delgado-Baquerizo, M.; García-Gómez, M.; Bowker, M.A.; Soliveres, S.; Escolar, C.; et al. Plant species richness and ecosystem multifunctionality in global drylands. Science 2012, 335, 214–218. [Google Scholar] [CrossRef]
- Weisser, W.W.; Roscher, C.; Meyer, S.T.; Ebeling, A.; Luo, G.; Allan, E.; Beßler, H.; Barnard, R.L.; Buchmann, N.; Buscot, F.; et al. Biodiversity effects on ecosystem functioning in a 15-year grassland experiment: Patterns, mechanisms, and open questions. Basic Appl. Ecol. 2017, 23, 1–73. [Google Scholar] [CrossRef]
- Yang, Y.H.; Rao, S.; Hu, H.F.; Chen, A.P.; Ji, C.J.; Zhu, B.; Zuo, W.Y.; Li, X.R.; Shen, H.H.; Wang, Z.H.; et al. Plant species richness of alpine grasslands in relation to environmental factors and biomass on the Tibetan Plateau. Biodivers. Sci. 2004, 12, 200–205. [Google Scholar] [CrossRef]
- Ch, K. The Nutritional Status of Plants from High Altitudes. A Worldwide Comparison. Oecologia 1989, 81, 379–391. [Google Scholar]
- Zhao, G.; Liu, M.; Shi, P.; Zong, N.; Zhang, X.; Zhang, X. Variation of leaf and root traits and ecological adaptive strategies along a precipitation gradient on Changtang Plateau. Acta Ecol. Sin. 2020, 40, 295–309. [Google Scholar] [CrossRef]
- Bai, Y.F.; Han, X.G.; Wu, J.G.; Chen, Z.Z.; Li, L.H. Ecosystem stability and compensatory effects in the Inner Mongolia grassland. Nature 2004, 431, 181–184. [Google Scholar] [CrossRef]
- Hector, A.; Schmid, B.; Beierkuhnlein, C.; Caldeira, M.C.; Diemer, M.; Dimitrakopoulos, P.G.; Finn, J.A.; Freitas, H.; Giller, P.S.; Good, J.; et al. Plant Diversity and Productivity Experiments in European Grasslands. Science 1999, 286, 1123–1127. [Google Scholar] [CrossRef]
- Huxman, T.E.; Snyder, K.A.; Tissue, D.; Leffler, A.J.; Ogle, K.; Pockman, W.T.; Sandquist, D.R.; Potts, D.L.; Schwinning, S. Precipitation pulses and carbon fluxes in semiarid and arid ecosystems. Oecologia 2004, 141, 254–268. [Google Scholar] [CrossRef] [PubMed]
- Wright, I.J.; Reich, P.B.; Westoby, M.; Ackerly, D.D.; Baruch, Z.; Bongers, F.; Cavender-Bares, J.; Chapin, T.; Cornelissen, J.H.C.; Diemer, M.; et al. The worldwide leaf economics spectrum. Nature 2004, 428, 821–827. [Google Scholar] [CrossRef]
- Wright, I.J.; Westoby, M.; Reich, P.B. Convergence Towards Higher Leaf Mass per Area in Dry and Nutrient-Poor Habitats Has Different Consequences for Leaf Life Span. J. Ecol. 2002, 90, 534–543. [Google Scholar] [CrossRef]
- Leadley, P.W.; Reynolds, J.F.; Chapin, F.S. A Model of Nitrogen Uptake by Eriophorum Vaginatum Roots in the Field: Ecological Implications. Ecol. Monogr. 1997, 67, 1–22. [Google Scholar] [CrossRef]
- Ma, W.L.; Shi, P.L.; Li, W.H.; He, Y.T.; Zhang, X.Z.; Shen, Z.X.; Chai, S.Y. Changes in individual plant traits and biomass allocation in alpine meadow with elevation variation on the Qinghai-Tibetan Plateau. Sci. China Life Sci. 2010, 53, 1142–1151. [Google Scholar] [CrossRef] [PubMed]
- Ackerly, D.D.; Knight, C.A.; Weiss, S.B.; Barton, K.; Starmer, K.P. Leaf size, specific leaf area and microhabitat distribution of chaparral woody plants: Contrasting patterns in species level and community level analyses. Oecologia 2002, 130, 449–457. [Google Scholar] [CrossRef]
- Fonseca, C.R.; Overton, J.M.; Collins, B.; Westoby, M. Shifts in trait-combinations along rainfall and phosphorus gradients. J. Ecol. 2001, 88, 964–977. [Google Scholar] [CrossRef]
- Niinemets, Ü. Global-Scale Climatic Controls of Leaf Dry Mass per Area, Density, and Thickness in Trees and Shrubs. Ecology 2001, 82, 453–469. [Google Scholar] [CrossRef]
- Agrawal, A.A.; Fishbein, M. Plant defense syndromes. Ecology 2006, 87, S132–S149. [Google Scholar] [CrossRef]
- Schädler, M.; Jung, G.; Auge, H.; Brandl, R. Palatability, decomposition and insect herbivory: Patterns in a successional old-field plant community. Oikos 2003, 103, 121–132. [Google Scholar] [CrossRef]
- Wright, I.J.; Cannon, K. Relationships between leaf lifespan and structural defences in a low-nutrient, sclerophyll flora. Funct. Ecol. 2001, 15, 351–359. [Google Scholar] [CrossRef]
- Reich, P.B.; Walters, M.B.; Ellsworth, D.S. Leaf Life-Span in Relation to Leaf, Plant, and Stand Characteristics among Diverse Ecosystems. Ecol. Monogr. 1992, 62, 365–392. [Google Scholar] [CrossRef]
- Osmond, C.B.; Austin, M.P.; Berry, J.A.; Billings, W.D.; Boyer, J.S.; Dacey, J.W.H.; Nobel, P.S.; Smith, S.D.; Winner, W.E. Stress Physiology and the Distribution of Plants. BioScience 1987, 37, 38–48. [Google Scholar] [CrossRef]
- Seligman, N.a.G.; Sinclair, T.R. Global environment change and simulated forage quality of wheat II. Water and nitrogen stress. Field Crops Res. 1995, 40, 29–37. [Google Scholar] [CrossRef]
- Roderick, M.L.; Berry, S.L.; Noble, I.R. A Framework for Understanding the Relationship between Environment and Vegetation Based on the Surface Area to Volume Ratio of Leaves. Funct. Ecol. 2000, 14, 423–437. [Google Scholar] [CrossRef]
- Wright, I.J.; Westoby, M. Leaves at low versus high rainfall: Coordination of structure, lifespan and physiology. N. Phytol. 2002, 155, 403–416. [Google Scholar] [CrossRef]
- Eissenstat, D.M.; Wells, C.E.; Yanai, R.D.; Whitbeck, J.L. Building roots in a changing environment: Implications for root longevity. N. Phytol. 2000, 147, 33–42. [Google Scholar] [CrossRef]
- Lambers, H.; Oliveira, R.S. Plant Physiological Ecology; Springer: New York, NY, USA, 2019. [Google Scholar]






| Site | Latitude/(°) | Longitude/(°) | Elevation/m | MAP/mm | MAT/°C | Dominant Species |
|---|---|---|---|---|---|---|
| 1 | 31.2720 | 92.1495 | 4464 | 632.85 | 0.9 | Stipa purpurea, Carex moorcroftii, Potentilla bifurca |
| 2 | 31.5882 | 91.6590 | 4635 | 525.44 | −0.4 | S. purpurea, C. moorcroftii, Saussurea tibetica, P. bifurca |
| 3 | 31.3971 | 90.8138 | 4619 | 466.13 | 0.1 | S. purpurea |
| 4 | 31.3942 | 90.3135 | 4632 | 432.63 | 0.2 | S. purpurea, C. moorcroftii |
| 5 | 31.6226 | 89.4819 | 4660 | 394.95 | −0.7 | S. purpurea, P. bifurca |
| 6 | 31.7149 | 88.5858 | 4558 | 366.65 | −1 | S. purpurea, S. tibetica |
| 7 | 31.8696 | 87.8611 | 4570 | 344.11 | −1.4 | S. purpurea, P. bifurca |
| 8 | 31.7940 | 87.3316 | 4557 | 327.59 | −0.9 | S. purpurea, C. moorcroftii |
| 9 | 32.0846 | 86.9078 | 4615 | 310.80 | −1.5 | S. purpurea, P. bifurca |
| 10 | 31.9039 | 86.3425 | 4756 | 291.65 | −0.8 | S. purpurea, P. bifurca |
| 11 | 31.9944 | 85.5666 | 4928 | 261.10 | −0.6 | S. purpurea, C. moorcroftii |
| 12 | 31.9949 | 84.8298 | 4591 | 230.18 | 0.6 | S. purpurea, P. bifurca |
| 13 | 32.2682 | 84.3156 | 4498 | 204.25 | 0.7 | S. purpurea |
| Nitrogen Application Rate | ||||||
|---|---|---|---|---|---|---|
| N25 | 12 | 0.81 | <0.001 | 0.92 | −21.98 | <0.001 |
| N50 | 12 | 0.63 | <0.01 | 0.59 | −15.65 | |
| N100 | 12 | 0.46 | 0.02 | 0.23 | −5.49 | |
| N200 | 12 | 0.35 | 0.04 | 0.09 | −2.49 |
Disclaimer/Publisher’s Note: The statements, opinions and data contained in all publications are solely those of the individual author(s) and contributor(s) and not of MDPI and/or the editor(s). MDPI and/or the editor(s) disclaim responsibility for any injury to people or property resulting from any ideas, methods, instructions or products referred to in the content. |
© 2026 by the authors. Licensee MDPI, Basel, Switzerland. This article is an open access article distributed under the terms and conditions of the Creative Commons Attribution (CC BY) license.
Share and Cite
Zhao, G.; Yan, M.; Shi, P.; Chen, X.; Hei, H. Functional Trait Divergence Underlies the Spatial Trade-Off Between Water and Nitrogen Use Efficiencies in Northern Tibetan Alpine Grasslands. Plants 2026, 15, 1076. https://doi.org/10.3390/plants15071076
Zhao G, Yan M, Shi P, Chen X, Hei H. Functional Trait Divergence Underlies the Spatial Trade-Off Between Water and Nitrogen Use Efficiencies in Northern Tibetan Alpine Grasslands. Plants. 2026; 15(7):1076. https://doi.org/10.3390/plants15071076
Chicago/Turabian StyleZhao, Guangshuai, Mingcong Yan, Peili Shi, Xueying Chen, and Huixin Hei. 2026. "Functional Trait Divergence Underlies the Spatial Trade-Off Between Water and Nitrogen Use Efficiencies in Northern Tibetan Alpine Grasslands" Plants 15, no. 7: 1076. https://doi.org/10.3390/plants15071076
APA StyleZhao, G., Yan, M., Shi, P., Chen, X., & Hei, H. (2026). Functional Trait Divergence Underlies the Spatial Trade-Off Between Water and Nitrogen Use Efficiencies in Northern Tibetan Alpine Grasslands. Plants, 15(7), 1076. https://doi.org/10.3390/plants15071076

