Phenotypic and Nutritional Diversity Reveal Elite Accessions of Berberis darwinii Supporting Berry Breeding and Functional Food Applications
Abstract
1. Introduction
2. Results
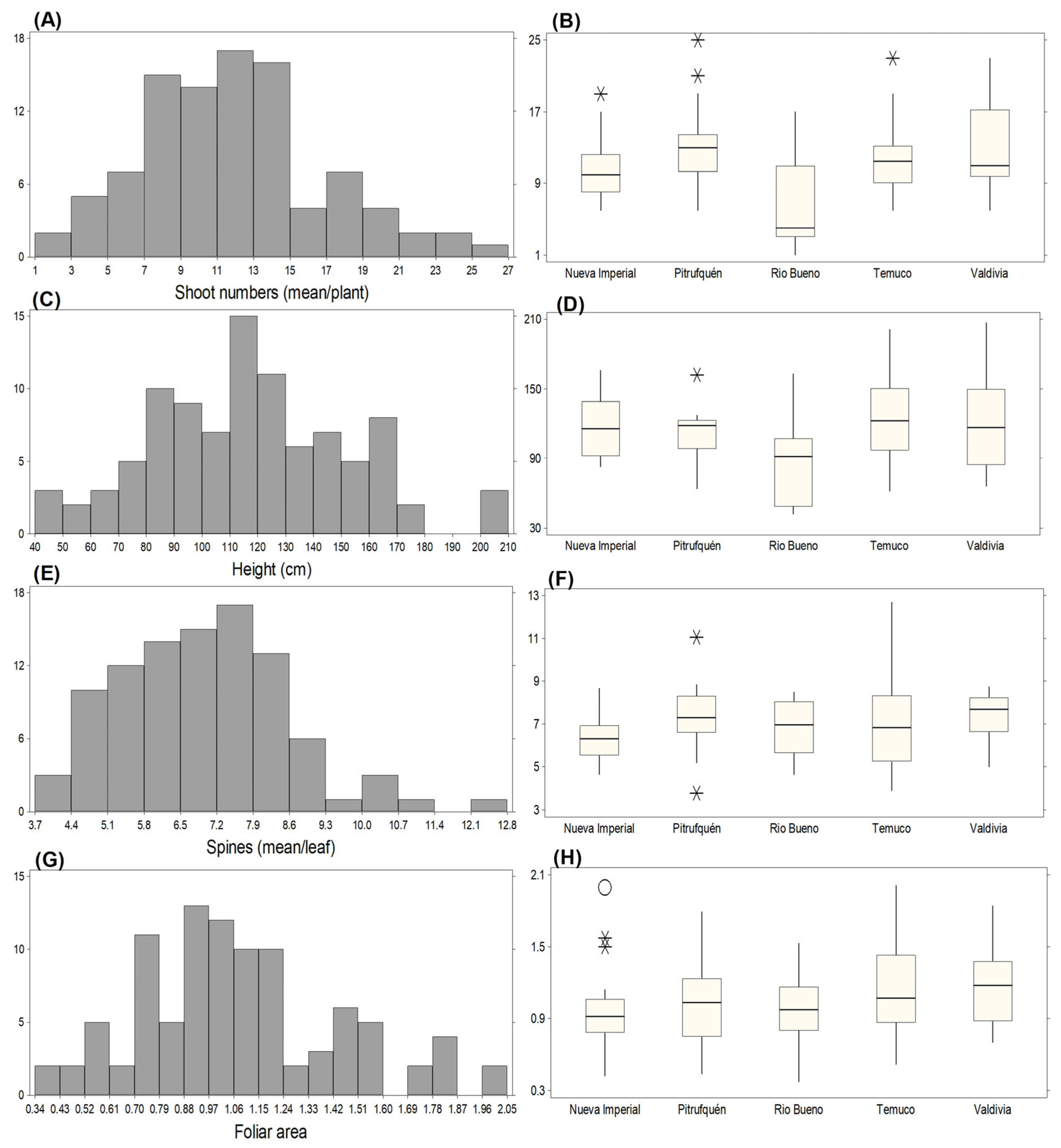
2.1. Morphological Traits Variation
2.2. Productive Traits Variation
2.2.1. Evaluation of Productive Traits Under Irrigated Conditions
2.2.2. Evaluation of Productive Traits Under Rainfed Conditions
2.3. Evaluation of Nutritional Value
2.3.1. Proximate Composition and Antioxidant Activity of Michay Fruit
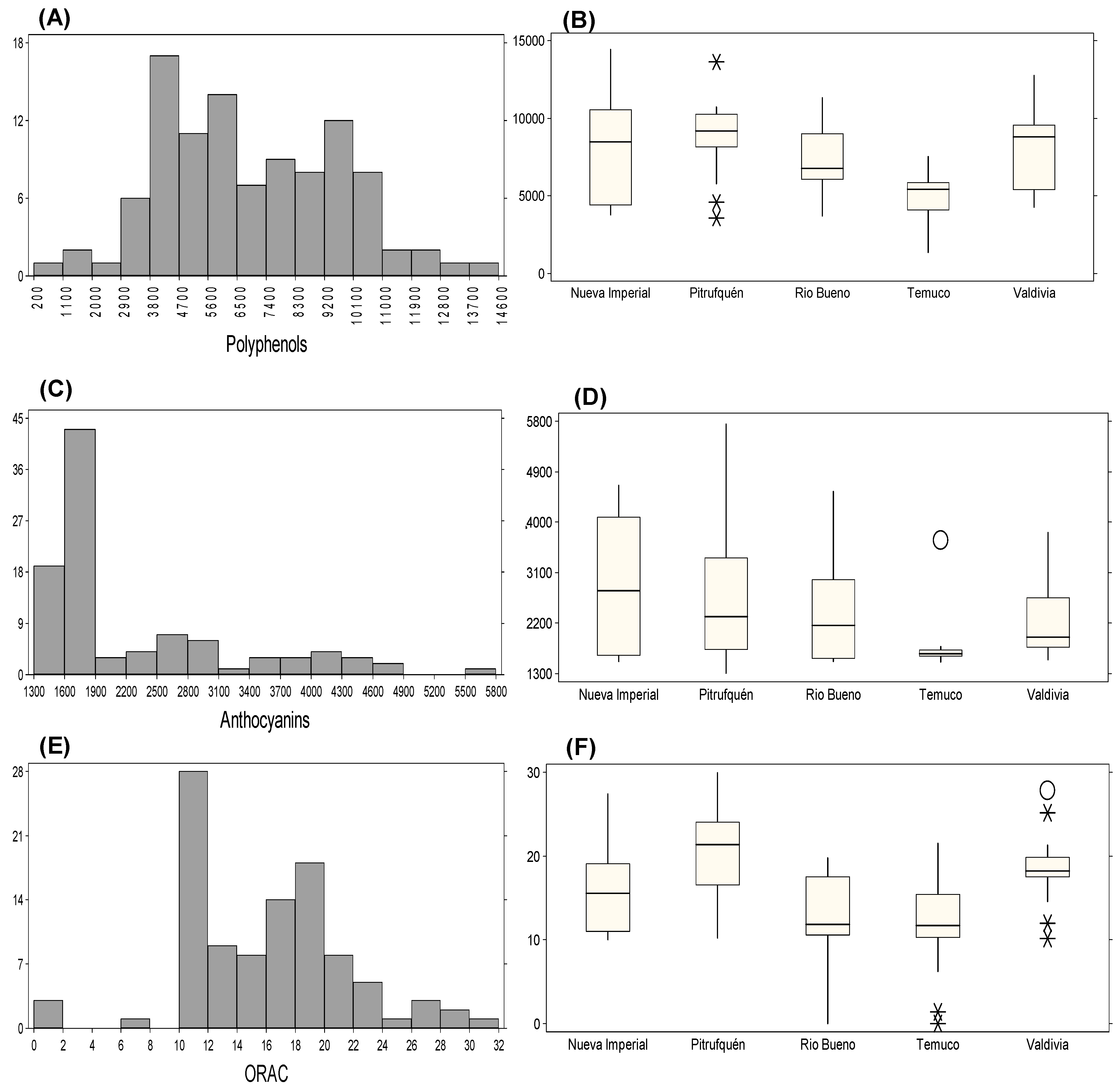
2.3.2. Concentration of Total Polyphenols, Anthocyanins, and ORAC Activity in Michay Fruit Under Irrigated Conditions
2.3.3. Concentration of Total Polyphenols, Anthocyanins, and ORAC Activity in Michay Fruit Under Rainfed Conditions
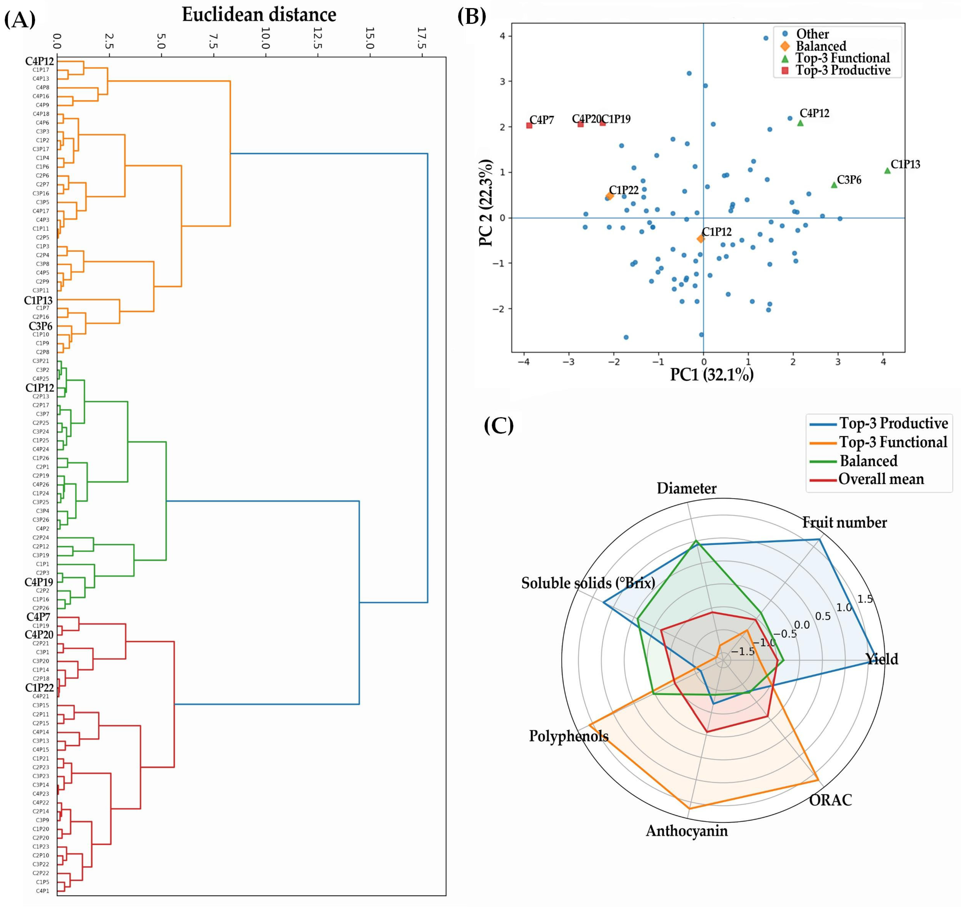
2.4. Multivariate Integration of Morphological, Productive, and Biochemical Traits
3. Discussion
4. Materials and Methods
4.1. Establishment of Plant Material and Experimental Design
4.2. Agronomic Management
4.3. Evaluation of Morphological Traits
4.4. Evaluation of Productive Traits
4.5. Evaluation of Antioxidant Content and Activity
4.5.1. Extraction Procedure
4.5.2. Determination of Total Polyphenols
4.5.3. Determination of Total Anthocyanin
4.5.4. Determination of ORAC Activity
4.6. Proximate Composition
4.7. Statistical Analyses
5. Conclusions
Author Contributions
Funding
Data Availability Statement
Acknowledgments
Conflicts of Interest
References
- Chamorro, M.F.; Ladio, A.H. Management of native and exotic plant species with edible fruits in a rural community in a protected area of NW Patagonia. Ethnobiol. Conserv. 2021, 10, 1–17. [Google Scholar] [CrossRef]
- López, J.; Vera, C.; Bustos, R.; Florez-Mendez, J. Native berries of Chile: A comprehensive review on nutritional aspects, functional properties, and potential health benefits. J. Food Meas. Charact. 2021, 15, 1139–1160. [Google Scholar] [CrossRef]
- Chamorro, M.F.; Reiner, G.; Theoduloz, C.; Ladio, A.; Schmeda-Hirschmann, G.; Gómez-Alonso, S.; Jiménez-Aspee, F. Polyphenol composition and (bio)activity of Berberis species and wild strawberry from the Argentinean Patagonia. Molecules 2019, 24, 3331. [Google Scholar] [CrossRef]
- Chacón-Fuentes, M.A.C.; Mutis, A.; Bardehle, L.; Seguel, I.; Urzúa, A.; Quiroz, A. Decrease of flavonol synthase enzymatic activity in Ugni molinae Turcz due to the domestication process. Cienc. Investig. Agrar. 2019, 46, 30–39. [Google Scholar] [CrossRef]
- Speisky, H.; López-Alarcón, C.; Gómez, M.; Fuentes, J.; Sandoval-Acuña, C. First web-based database on total phenolics and oxygen radical absorbance capacity (ORAC) of fruits produced and consumed within the South Andes region of South America. J. Agric. Food Chem. 2012, 60, 8851–8859. [Google Scholar] [CrossRef]
- Fajardo Morales, V.; Araya, M.; Manosalva, L. Berberis darwinii Hook. In Medicinal and Aromatic Plants of South America Vol. 2: Argentina, Chile and Uruguay; Springer: Cham, Switzerland, 2021; pp. 127–133. [Google Scholar]
- Ruiz, A.; Mardones, C.; Vergara, C.; Hermosín-Gutiérrez, I.; von Baer, D.; Hinrichsen, P.; Domínguez, E. Analysis of hydroxycinnamic acid derivatives in calafate (Berberis microphylla G. Forst) berries by liquid chromatography with photodiode array and mass spectrometry detection. J. Chromatogr. A 2013, 1281, 38–45. [Google Scholar] [CrossRef]
- Landrum, L.R. Revision of Berberis (Berberidaceae) in Chile and adjacent southern Argentina. Ann. Mo. Bot. Gard. 1999, 86, 793–834. [Google Scholar] [CrossRef]
- Pino, M.T.; Pérez, R.; Vergara, C.; Zamora, O.; Domínguez, E. Michay: Berry nativo de amplia distribución con metabolitos de interés para la industria de alimentos. Inf. INIA La Platina 2019, 39, 1–4. [Google Scholar]
- Martinez-Crovetto, R. Apuntes Sobre la Vegetación de los Alrededores del Lago Cholila; Universidad del Noroeste: Corrientes, Argentina, 1980; 555p. [Google Scholar]
- Orsi, M.C. Berberidaceae. In Flora Patagónica, Sección 4a; Correa, M.N., Ed.; INTA: Buenos Aires, Argentina, 1984; pp. 325–348. [Google Scholar]
- Pino, M.T.; Vergara, C. Colorantes y Antioxidantes Naturales en la Industria de Alimentos: Tecnologías de Extracción y Materias Primas Dedicadas; INIA: Santiago, Chile, 2022; 455p. [Google Scholar]
- Chacón-Fuentes, M.; Opazo-Navarrete, M. Chilean wild berries and the chemical cost of domestication: A new path for functional foods? Food Sci. Process. 2025, 1, 4. [Google Scholar] [CrossRef]
- de Coninck, H.; Revi, A.; Babiker, M.; Bertoldi, P.; Buckeridge, M.; Cartwright, A.; Wollenberg, L. Strengthening and implementing the global response. In Global Warming of 1.5 °C: An IPCC Special Report; IPCC: Geneva, Switzerland, 2018. [Google Scholar]
- Chacón-Fuentes, M.; Bardehle, L.; Burgos-Díaz, C.; Lizama, M.; Martínez-Cisterna, D.; Opazo-Navarrete, M.; Quiroz, A. Behavioral responses of Chrysoperla defreitasi and Myzus persicae to volatile compounds from wild and domesticated Ugni molinae. Insects 2025, 16, 594. [Google Scholar] [CrossRef]
- Barnuud, N.N.; Zerihun, A.; Gibberd, M.; Bates, B. Berry composition and climate: Responses and empirical models. Int. J. Biometeorol. 2014, 58, 1207–1223. [Google Scholar] [CrossRef]
- Iglesias, A.; Garrote, L. Adaptation strategies for agricultural water management under climate change in Europe. Agric. Water Manag. 2015, 155, 113–124. [Google Scholar] [CrossRef]
- Ruiz, A.; Hermosín-Gutiérrez, I.; Mardones, C.; Vergara, C.; Herlitz, E.; Vega, M.; von Baer, D. Polyphenols and antioxidant activity of calafate and other native berries from southern Chile. J. Agric. Food Chem. 2010, 58, 6081–6089. [Google Scholar] [CrossRef] [PubMed]
- Chacón-Fuentes, M.; Bardehle, L.; Seguel, I.; Espinoza, J.; Lizama, M.; Quiroz, A. Herbivory damage increased VOCs in wild relatives of murtilla compared to their first offspring. Metabolites 2023, 13, 616. [Google Scholar] [CrossRef]
- Chacón-Fuentes, M.; Burgos-Díaz, C.; Opazo-Navarrete, M.; Mercado, A.; Westermeyer, F. Berberine and palmatine distribution across plant organs in Berberis darwinii: Basis for selecting superior-producing accessions. Molecules 2025, 30, 1849. [Google Scholar] [CrossRef]
- Zulueta, A.; Esteve, M.J.; Frígola, A. ORAC and TEAC assays comparison to measure the antioxidant capacity of food products. Food Chem. 2009, 114, 310–316. [Google Scholar] [CrossRef]
- Romero-Román, M.E.; Schoebitz, M.; Bastías, R.M.; Fernández, P.S.; García-Viguera, C.; López-Belchi, M.D. Native species facing climate changes: Response of calafate berries to low temperature and UV radiation. Foods 2021, 10, 196. [Google Scholar] [CrossRef]
- Chacón-Fuentes, M.; Opazo-Navarrete, M.; Armijo-Godoy, G.; Barra-Jiménez, M.; Mojica, L.; Burgos-Díaz, C. A current review on the impact of environmental and biological stresses on the production of bioactive compounds in berries. Food Sci. Process. 2025, 1, 2. [Google Scholar] [CrossRef]
- Memete, A.R.; Sărac, I.; Teusdea, A.C.; Budău, R.; Bei, M.; Vicas, S.I. Bioactive compounds and antioxidant capacity of several blackberry (Rubus spp.) cultivars grown in Romania. Horticulturae 2023, 9, 556. [Google Scholar] [CrossRef]
- Svriz, M.; Lediuk, K.D.; Agüero, M.L.; Damascos, M.A.; Scervino, J.M. Flowering phenology and reproductive success of native shrub Berberis darwinii Hook. along different light environments. Austral Ecol. 2023, 48, 1911–1920. [Google Scholar] [CrossRef]
- Allen, R.B.; Wilson, J.B. Fruit and seed production in Berberis darwinii Hook., a shrub recently naturalised in New Zealand. N. Z. J. Bot. 1992, 30, 45–55. [Google Scholar] [CrossRef]
- Chartzoulakis, K.; Bertaki, M. Sustainable water management in agriculture under climate change. Agric. Agric. Sci. Procedia 2015, 4, 88–98. [Google Scholar] [CrossRef]
- McAlpine, K.G.; Jesson, L.K. Biomass allocation, shade tolerance and seedling survival of the invasive species Berberis darwinii. N. Z. J. Ecol. 2007, 31, 1–12. [Google Scholar]
- Boisier, J.P.; Rondanelli, R.; Garreaud, R.D.; Muñoz, F. Anthropogenic and natural contributions to the southeast Pacific precipitation decline and recent megadrought in central Chile. Geophys. Res. Lett. 2016, 43, 413–421. [Google Scholar] [CrossRef]
- Ulloa-Inostroza, E.M.; Córdova, C.; Campos, M.; Reyes-Díaz, M. Methyl jasmonate improves antioxidants, protecting the photosynthetic apparatus in blueberry plants under water deficit. Horticulturae 2024, 10, 259. [Google Scholar] [CrossRef]
- Hirabayashi, K.; Murch, S.J.; Erland, L.A.E. Predicted impacts of climate change on wild and commercial berry habitats will have food security, conservation and agricultural implications. Sci. Total Environ. 2022, 845, 157341. [Google Scholar] [CrossRef]
- Wheeler, T.; von Braun, J. Climate change impacts on global food security. Science 2013, 341, 508–513. [Google Scholar] [CrossRef]
- Nissen, J.; del Río, G.M.; Seguel, I.; Torralbo, L. Efecto de diferentes manejos hídricos sobre el crecimiento vegetativo y reproductivo de murtilla (Ugni molinae Turcz). Agro Sur 2010, 38, 42–54. [Google Scholar] [CrossRef]
- Ojeda, A.; McLeod, C.; Águila, K.; Pino, M.T. Bases para la determinación de las necesidades hídricas del cultivo del calafate in situ, para su adaptación al manejo agronómico. Inf. INIA Kampenaike 2018, 79, 1–6. [Google Scholar]
- Roldán, C.S.; Mujtar, V.E.; Caballé, G.; Mazzoni, A.; Berli, F.; Marchelli, P. Crecimiento diferencial de clones de maqui seleccionados en Argentina según su cultivo bajo distintas condiciones de radiación solar y riego. Bosque 2023, 44, 207–217. [Google Scholar] [CrossRef]
- Talbi, S.; Rojas, J.A.; Sahrawy, M.; Rodríguez-Serrano, M.; Cárdenas, K.E.; Debouba, M.; Sandalio, L.M. Effect of drought on growth, photosynthesis and total antioxidant capacity of the Saharan plant Oudeneya africana. Environ. Exp. Bot. 2020, 176, 104099. [Google Scholar] [CrossRef]
- Osorio Ulloa, A. Determinación de la Huella Del Agua y Estrategias de Manejo de Recursos Hídricos; INIA: La Serena, Chile, 2013; 327p. [Google Scholar]
- Shayanmehr, S.; Porhajašová, J.; Babošová, M.; Sabouhi Sabouni, M.; Mohammadi, H.; Rastegari Henneberry, S.; Shahnoushi Foroushani, N. The impacts of climate change on water resources and crop production in an arid region. Agriculture 2022, 12, 1056. [Google Scholar] [CrossRef]
- Sperling, O.; Gardi, I.; Ben-Gal, A.; Kamai, T. Deficit irrigation limits almond trees’ photosynthetic productivity and compromises yields. Agric. Water Manag. 2023, 289, 108562. [Google Scholar] [CrossRef]
- Reddy, A.R.; Chaitanya, K.V.; Vivekanandan, M. Drought-induced responses of photosynthesis and antioxidant metabolism in higher plants. J. Plant Physiol. 2004, 161, 1189–1202. [Google Scholar] [CrossRef]
- Fraguela-Meissimilly, H.; Bastías-Montes, J.M.; Ortiz-Viedma, J.A.; Tamarit-Pino, Y.; Claret-Merino, M.; Araneda-Flores, J. Valorization of extracts from maqui (Aristotelia chilensis) and calafate (Berberis microphylla) biowaste blends by supercritical fluid and pressurized liquid extraction. J. Agric. Food Res. 2024, 15, 100950. [Google Scholar] [CrossRef]
- Chacón-Fuentes, M.A.; Lizama, M.G.; Parra, L.J.; Seguel, I.E.; Quiroz, A.E. Insect diversity, community composition and damage index on wild and cultivated murtilla. Cienc. Investig. Agrar. 2016, 43, 57–67. [Google Scholar] [CrossRef]
- Zhang, W. Digital image processing method for estimating leaf length and width tested using kiwifruit leaves (Actinidia chinensis Planch). PLoS ONE 2020, 15, e0235499. [Google Scholar] [CrossRef]
- Jaywant, S.A.; Singh, H.; Arif, K.M. Sensors and instruments for Brix measurement: A review. Sensors 2022, 22, 2290. [Google Scholar] [CrossRef]
- AOAC International. Official Methods of Analysis of AOAC International, 18th ed.; Latimer, G.W., Horwitz, W., Eds.; AOAC International: Gaithersburg, MD, USA, 2007. [Google Scholar]
- Singleton, V.L.; Rossi, J.A. Colorimetry of total phenolics with phosphomolybdic–phosphotungstic acid reagents. Am. J. Enol. Vitic. 1965, 16, 144–158. [Google Scholar] [CrossRef]
- Opazo-Navarrete, M.; Burgos-Díaz, C.; Soto-Cerda, B.; Barahona, T.; Anguita-Barrales, F.; Mosi-Roa, Y. Assessment of the nutritional value of traditional vegetables from southern Chile as potential sources of natural ingredients. Plant Foods Hum. Nutr. 2021, 76, 523–532. [Google Scholar] [CrossRef]
- Ou, B.; Chang, T.; Huang, D.; Prior, R.L. Determination of total antioxidant capacity by oxygen radical absorbance capacity (ORAC) using fluorescein as the fluorescence probe: First Action 2012.23. J. AOAC Int. 2013, 96, 1372–1376. [Google Scholar] [CrossRef]







| Morphological Traits | Mean | Standard Deviation | Coefficient of Variation (%) | Minimum | Maximum |
|---|---|---|---|---|---|
| Shoots (mean/plant) | 11.32 | 4.82 | 42.60 | 1.00 | 25.00 |
| Height (cm) | 116.36 | 35.1 | 30.19 | 42.00 | 207.00 |
| Spines (mean/leaf) | 6.96 | 1.61 | 23.11 | 3.80 | 12.70 |
| Foliar area (cm2) | 1.07 | 0.36 | 34.06 | 0.37 | 2.01 |
| Productive Traits | |||||
|---|---|---|---|---|---|
| Season 2021/2022 | Mean | Standard Deviation | Coefficient of Variation (%) | Minimum | Maximum |
| Yield (kg/ha) | 1021.40 | 1459.40 | 142.89 | 0.00 | 8526.60 |
| Diameter (mm) | 6.15 | 0.80 | 13.11 | 4.07 | 8.00 |
| Soluble solids (°Brix) | 16.31 | 6.23 | 38.22 | 4.23 | 29.00 |
| Number of fruits | 1389.80 | 1701.90 | 122.45 | 0.00 | 7017.00 |
| Season 2022/2023 | |||||
| Yield (kg/ha) | 1285.10 | 1451.80 | 112.97 | 0.00 | 8334.30 |
| Diameter (mm) | 6.81 | 0.91 | 13.40 | 4.97 | 8.29 |
| Soluble solids (°Brix) | 21.55 | 5.58 | 25.88 | 8.00 | 33.37 |
| Number of fruits | 1907.20 | 1828.10 | 95.84 | 3.00 | 7120.00 |
| Parameter | Yield (kg) | ORAC Activity | ||||
|---|---|---|---|---|---|---|
| High | Medium | Low | High | Medium | Low | |
| Protein (%) | 16.17 ± 0.41 a | 17.12 ± 0.65 a | 13.78 ± 0.44 b | 13.83 ± 0.09 b | 10.36 ± 0.03 c | 16.17 ± 0.41 a |
| Fat (%) | 8.43 ± 0.33 b | 11.91 ± 0.09 a | 6.48 ± 0.25 c | 4.84 ± 0.04 c | 5.87 ± 0.13 b | 8.43 ± 0.33 a |
| Dietary fiber (%) | 43.12 ± 0.00 a | 39.04 ± 0.00 c | 40.43 ± 0.00 b | 55.44 ± 0.00 a | 35.19 ± 0.00 c | 43.12 ± 0.00 b |
| Ash (%) | 3.51 ± 0.05 a | 3.19 ± 0.00 b | 3.15 ± 0.02 b | 3.40 ± 0.01 b | 3.04 ± 0.03 c | 3.51 ± 0.05 a |
| Carbohydrate available (%) | 28.76 ± 0.00 b | 28.74 ± 0.00 b | 36.16 ± 0.00 a | 22.49 ± 0.00 c | 45.54 ± 0.00 a | 28.76 ± 0.00 b |
| Energy (kcal/100g) | 255.6 b | 290.6 a | 258.1 b | 188.8 c | 276.3 a | 255.6 b |
| Chemical Traits | |||||
|---|---|---|---|---|---|
| 2021/2022 Season | Mean | Standard Deviation | Coefficient of Variation | Minimum | Maximum |
| Total polyphenols (mg GAE/100 g) | 7017.50 | 2721.70 | 38.78 | 1364.00 | 14,439.00 |
| Total anthocyanins (mg cyanidin 3 glucoside/100 g) | 2266.40 | 975.62 | 43.04 | 1306.70 | 5747.80 |
| ORAC activity (mmol Trolox/100 g fw) | 15.50 | 5.62 | 36.28 | 0.00 | 29.94 |
| 2022/2023 season | |||||
| Total polyphenols (mg GAE/100 g) | 7607.80 | 3237.60 | 42.55 | 3644.80 | 18,169.00 |
| Total anthocyanins (mg cyanidin 3 glucoside/100 g) | 2790.60 | 716.18 | 25.66 | 442.36 | 5454.50 |
| ORAC activity (mmol Trolox/100 g fw) | 23.28 | 7.39 | 31.77 | 0.00 | 35.49 |
| Shoot Numbers | Height | Foliar Area | Spines | Yield | Fruit Number | Diameter | Soluble Solids | Polyphenols | Anthocyanins | ORAC | |
|---|---|---|---|---|---|---|---|---|---|---|---|
| Shoot numbers | 1 | 0.13 | 0 | 0.25 | 0.06 | 0.03 | 0.03 | −0.01 | 0.11 | 0.07 | 0.2 |
| Height | 0.13 | 1 | 0.35 | 0.02 | 0.45 | 0.27 | 0.32 | 0.36 | −0.12 | −0.04 | −0.08 |
| Foliar area | 0 | 0.35 | 1 | 0.41 | 0.11 | −0.14 | 0.05 | 0.02 | −0.15 | −0.24 | −0.05 |
| Spines | 0.25 | 0.02 | 0.41 | 1 | −0.27 | −0.27 | −0.22 | −0.01 | 0.06 | −0.04 | 0.08 |
| Yield | 0.06 | 0.45 | 0.11 | −0.27 | 1 | 0.57 | 0.31 | 0.23 | −0.02 | −0.07 | −0.15 |
| Fruit number | 0.03 | 0.27 | −0.14 | −0.27 | 0.57 | 1 | −0.07 | 0.09 | 0.06 | 0.07 | −0.21 |
| Diameter | 0.03 | 0.32 | 0.05 | −0.22 | 0.31 | −0.07 | 1 | 0.34 | −0.06 | −0.01 | −0.02 |
| Soluble solids | −0.01 | 0.36 | 0.02 | −0.01 | 0.23 | 0.09 | 0.34 | 1 | −0.31 | −0.04 | −0.26 |
| Polyphenols | 0.11 | −0.12 | −0.15 | 0.06 | −0.02 | 0.06 | −0.06 | −0.31 | 1 | 0.55 | 0.43 |
| Anthocyanins | 0.07 | −0.04 | −0.24 | −0.04 | −0.07 | 0.07 | −0.01 | −0.04 | 0.55 | 1 | 0.35 |
| ORAC | 0.2 | −0.08 | −0.05 | 0.08 | −0.15 | −0.21 | −0.02 | −0.26 | 0.43 | 0.35 | 1 |
| Season | Mean Temperature (°C) | Temperature Min–Max 1 (°C) | Precipitation (mm) | ET 2 (mm) | Chill Hours (h) | Degree Days 3 (–Day) | Frost Events |
|---|---|---|---|---|---|---|---|
| 2021 | 11.62 | 6.10–19.22 | 715.60 | 952.60 | 1717 | 1126 | 33 |
| 2022 | 11.39 | 6.03–18.29 | 1031.70 | 867.04 | 1887 | 1041 | 38 |
| 2023 | 11.71 | 5.58–18.14 | 820.50 | 871.44 | 1838 | 906 | 43 |
Disclaimer/Publisher’s Note: The statements, opinions and data contained in all publications are solely those of the individual author(s) and contributor(s) and not of MDPI and/or the editor(s). MDPI and/or the editor(s) disclaim responsibility for any injury to people or property resulting from any ideas, methods, instructions or products referred to in the content. |
© 2026 by the authors. Licensee MDPI, Basel, Switzerland. This article is an open access article distributed under the terms and conditions of the Creative Commons Attribution (CC BY) license.
Share and Cite
Chacón-Fuentes, M.; Burgos-Díaz, C.; Garrido-Miranda, K.; Westermeyer, F.; Mercado, A. Phenotypic and Nutritional Diversity Reveal Elite Accessions of Berberis darwinii Supporting Berry Breeding and Functional Food Applications. Plants 2026, 15, 1061. https://doi.org/10.3390/plants15071061
Chacón-Fuentes M, Burgos-Díaz C, Garrido-Miranda K, Westermeyer F, Mercado A. Phenotypic and Nutritional Diversity Reveal Elite Accessions of Berberis darwinii Supporting Berry Breeding and Functional Food Applications. Plants. 2026; 15(7):1061. https://doi.org/10.3390/plants15071061
Chicago/Turabian StyleChacón-Fuentes, Manuel, César Burgos-Díaz, Karla Garrido-Miranda, Fernando Westermeyer, and Alan Mercado. 2026. "Phenotypic and Nutritional Diversity Reveal Elite Accessions of Berberis darwinii Supporting Berry Breeding and Functional Food Applications" Plants 15, no. 7: 1061. https://doi.org/10.3390/plants15071061
APA StyleChacón-Fuentes, M., Burgos-Díaz, C., Garrido-Miranda, K., Westermeyer, F., & Mercado, A. (2026). Phenotypic and Nutritional Diversity Reveal Elite Accessions of Berberis darwinii Supporting Berry Breeding and Functional Food Applications. Plants, 15(7), 1061. https://doi.org/10.3390/plants15071061

