Identification of ZmP5CS Gene Family and Functional Analysis of ZmP5CS4 Under Salt Tolerance in Maize
Abstract
1. Introduction
2. Results
2.1. Screening, Identification, and Characteristic Analysis of P5CS Gene Family Members
2.2. Phylogenetic Analysis
2.3. Analysis of Cis-Acting Elements
2.4. Analysis of Conserved Motifs, Domains, and Gene Structures
2.5. Chromosomal Localization and Collinearity Analysis
2.6. Protein Interaction Network Analysis and Secondary-Structure Prediction
2.7. Gene Expression Validation
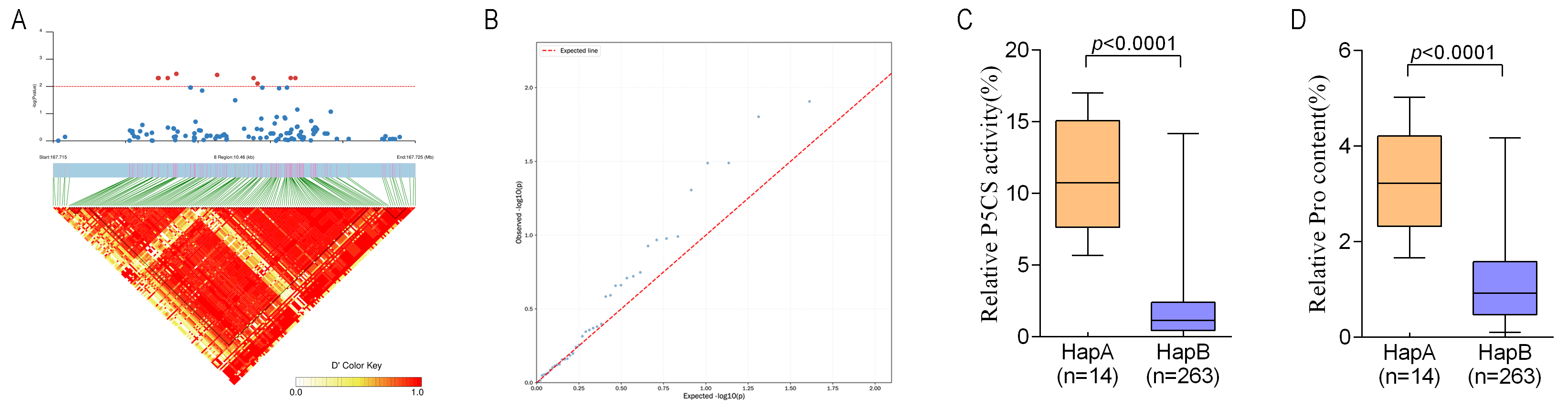
2.8. Association Analysis of Allelic Variation in ZmP5CS Genes and Relative P5CS Enzyme Activity
2.9. Characterization of Salt Tolerance in Transgenic Maize
3. Discussion
3.1. Functional Divergence in Expression Patterns Among P5CS Gene Family Members in Maize
3.2. The Dual Role of Proline in Maize Salt Stress Response and Its Implications for Breeding
4. Materials and Methods
4.1. Identification and Comprehensive Bioinformatics Analysis of the Maize P5CS Gene Family
4.2. Transcriptome Data Analysis and Stress Treatment
4.3. RNA Extraction and Gene Expression Analysis
4.4. Candidate Gene Association Analysis
4.5. Generation of Transgenic Maize via Overexpression
4.6. Generation of CRISPR-Cas9 Knockout Lines
5. Conclusions
Supplementary Materials
Author Contributions
Funding
Data Availability Statement
Acknowledgments
Conflicts of Interest
References
- Lv, G.; Wang, Q.; Song, J.; Li, Y.; Mei, X. Research on ecological protection strategy for comprehensive utilization of saline-alkali soil in China. Sci. Agric. Sin. 2025, 58, 4047–4053. [Google Scholar] [CrossRef]
- Yan, H.; Fan, Y.; Ning, Y.; Wei, J.; Yong, C. Analysis and Prospects of Saline-alkali Land in China from the Perspective of Utilization. Chin. J. Soil Sci. 2023, 54, 489–494. [Google Scholar] [CrossRef]
- Farooq, M.; Hussain, M.; Wakeel, A.; Siddique, K.H.M. Salt stress in maize: Effects, resistance mechanisms, and management. A review. Agron. Sustain. Dev. 2015, 35, 461–481. [Google Scholar] [CrossRef]
- Islam, M.S.; Islam, M.R.; Hasan, M.K.; Hafeez, A.G.; Chowdhury, M.K.; Pramanik, M.H.; Iqbal, M.A.; Erman, M.; Barutcular, C.; Konuşkan, Ö.; et al. Salinity Stress in Maize: Consequences, Tolerance Mechanisms, and Management Strategies. OBM Genet. 2024, 8, 1–44. [Google Scholar] [CrossRef]
- Zhang, H.; Irving, L.J.; McGill, C.; Matthew, C.; Zhou, D.; Kemp, P. The effects of salinity and osmotic stress on barley germination rate: Sodium as an osmotic regulator. Ann. Bot. 2010, 106, 1027–1035. [Google Scholar] [CrossRef]
- Artur, C.; Paulo, S.; Alice, A.; Carlos, C.; Hernâni, G. Mannitol transport and mannitol dehydrogenase activities are coordinated in Olea europaea under salt and osmotic stresses. Plant Cell Physiol. 2011, 52, 1766–1775. [Google Scholar] [CrossRef] [PubMed]
- Chang, B.; Yang, L.; Cong, W.; Zu, Y.; Tang, Z. The improved resistance to high salinity induced by trehalose is associated with ionic regulation and osmotic adjustment in Catharanthus roseus. Plant Physiol. Biochem. 2014, 77, 140–148. [Google Scholar] [CrossRef]
- Toshiyuki, K.; Tomoaki, H.; Yoshiki, N.; Nobuya, T.; Mineo, S.; Maki, K. Dynamic regulation of the root hydraulic conductivity of barley plants in response to salinity/osmotic stress. Plant Cell Physiol. 2015, 56, 875–882. [Google Scholar] [CrossRef] [PubMed]
- Ramirez, E.H.; Lozano, E.C.C.; Espinoza, J.M.; Tejos, R.; Lara, S.R.; Stange, C.; Norambuena, L. Stress salinity in plants: New strategies to cope with in the foreseeable scenario. Plant Physiol. Biochem. 2024, 208, 108507. [Google Scholar] [CrossRef]
- Nathalie, V.; Christian, H. Proline accumulation in plants: A review. Amino Acids 2008, 35, 753–759. [Google Scholar] [CrossRef]
- Szabados, L.; Savouré, A. Proline: A multifunctional amino acid. Trends Plant Sci. 2009, 15, 89–97. [Google Scholar] [CrossRef] [PubMed]
- Hu, C.A.; Delauney, A.J.; Verma, D.P. A bifunctional enzyme (delta 1-pyrroline-5-carboxylate synthetase) catalyzes the first two steps in proline biosynthesis in plants. Proc. Natl. Acad. Sci. USA 1992, 89, 9354–9358. [Google Scholar] [CrossRef]
- Roosens, N.H.; Thu, T.T.; Iskandar, H.M.; Jacobs, M. Isolation of the ornithine-delta-aminotransferase cDNA and effect of salt stress on its expression in Arabidopsis thaliana. Plant Physiol. 1998, 117, 263–271. [Google Scholar] [CrossRef]
- Chen, J.B.; Yang, J.W.; Zhang, Z.Y.; Feng, X.F.; Wang, S.M. Two P5CS genes from common bean exhibiting different tolerance to salt stress in transgenic Arabidopsis. J. Genet. 2013, 92, 461–469. [Google Scholar] [CrossRef]
- Guan, C.; Ji, J.; Guan, W.; Feng, Y.; Li, X.; Jin, C.; Li, J.; Wang, Y.; Wang, G. A Lycium chinense-derived P5CS-like gene is regulated by water deficit-induced endogenous abscisic acid and overexpression of this gene enhances tolerance to water deficit stress in Arabidopsis. Mol. Breed. 2014, 34, 1109–1124. [Google Scholar] [CrossRef]
- Anton, D.B.; Guzman, F.L.; Vetö, N.M.; Krause, F.A.; Kulcheski, F.R.; Coelho, A.P.D.; Duarte, G.L.; Margis, R.; Dillenburg, L.R.; Turchetto-Zolet, A.C. Characterization and expression analysis of P5CS (Δ1-pyrroline-5-carboxylate synthase) gene in two distinct populations of the Atlantic Forest native species Eugenia uniflora L. Mol. Biol. Rep. 2020, 47, 1033–1043. [Google Scholar] [CrossRef]
- De Ronde, J.A.; Spreeth, M.H.; Cress, W.A. Effect of antisense L-Δ1-pyrroline-5-carboxylate reductase transgenic soybean plants subjected to osmotic and drought stress. Plant Growth Regul. 2000, 32, 13–26. [Google Scholar] [CrossRef]
- De Ronde, J.A.; Cress, W.A.; Krüger, G.H.; Strasser, R.J.; Van Staden, J. Photosynthetic response of transgenic soybean plants, containing an Arabidopsis P5CR gene, during heat and drought stress. J. Plant Physiol. 2004, 161, 1211–1224. [Google Scholar] [CrossRef] [PubMed]
- Kishor, P.; Hong, Z.; Miao, G.H.; Hu, C.; Verma, D. Overexpression of [delta]-Pyrroline-5-Carboxylate Synthetase Increases Proline Production and Confers Osmotolerance in Transgenic Plants. Plant Physiol. 1995, 108, 1387–1394. [Google Scholar] [CrossRef]
- Sawahel, W.A.; Hassan, A.H. Generation of transgenic wheat plants producing high levels of the osmoprotectant proline. Biotechnol. Lett. 2002, 24, 721–725. [Google Scholar] [CrossRef]
- Siripornadulsil, S.; Traina, S.; Verma, D.P.; Sayre, R.T. Molecular mechanisms of proline-mediated tolerance to toxic heavy metals in transgenic microalgae. Plant Cell 2002, 14, 2837–2847. [Google Scholar] [CrossRef]
- Anoop, N.; Gupta, A.K. Transgenic indica Rice cv IR-50 Over-expressing Vigna aconitifolia Δ1-Pyrroline-5-Carboxylate Synthetase cDNA Shows Tolerance to High Salt. J. Plant Biochem. Biotechnol. 2003, 12, 109–116. [Google Scholar] [CrossRef]
- Guerzoni, J.T.S.; Belintani, N.G.; Moreira, R.M.P.; Hoshino, A.A.; Domingues, D.S.; Filho, J.C.B.; Vieira, L.G.E. Stress-induced Δ1-pyrroline-5-carboxylate synthetase (P5CS) gene confers tolerance to salt stress in transgenic sugarcane. Acta Physiol. Plant. 2014, 36, 2309–2319. [Google Scholar] [CrossRef]
- Zhu, B.; Su, J.; Chang, M.; Verma, D.P.S.; Fan, Y.-L.; Wu, R. Overexpression of a Δ1-pyrroline-5-carboxylate synthetase gene and analysis of tolerance to water- and salt-stress in transgenic rice. Plant Sci. 1998, 139, 41–48. [Google Scholar] [CrossRef]
- Wu, L.; Fan, Z.; Guo, L.; Li, Y.; Zhang, W.; Qu, L.-J.; Chen, Z. Over-expression of an Arabidopsis δ-OAT gene enhances salt and drought tolerance in transgenic rice. Chin. Sci. Bull. 2003, 48, 2594–2600. [Google Scholar] [CrossRef]
- Molinari, H.B.C.; Marur, C.J.; Filho, J.C.B.; Kobayashi, A.K.; Pileggi, M.; Júnior, R.P.L.; Pereira, L.F.P.; Vieira, L.G.E. Osmotic adjustment in transgenic citrus rootstock Carrizo citrange (Citrus sinensis Osb. × Poncirus trifoliata L. Raf.) overproducing proline. Plant Sci. 2004, 167, 1375–1381. [Google Scholar] [CrossRef]
- Su, J.; Wu, R. Stress-inducible synthesis of proline in transgenic rice confers faster growth under stress conditions than that with constitutive synthesis. Plant Sci. 2004, 166, 941–948. [Google Scholar] [CrossRef]
- Yamada, M.; Morishita, H.; Urano, K.; Shiozaki, N.; Yamaguchi-Shinozaki, K.; Shinozaki, K.; Yoshiba, Y. Effects of free proline accumulation in petunias under drought stress. J. Exp. Bot. 2005, 56, 1975–1981. [Google Scholar] [CrossRef] [PubMed]
- Gubiš, J.; Vaňková, R.; Červená, V.; Dragúňová, M.; Hudcovicová, M.; Lichtnerová, H.; Dokupil, T.; Jureková, Z. Transformed tobacco plants with increased tolerance to drought. S. Afr. J. Bot. 2007, 73, 505–511. [Google Scholar] [CrossRef]
- Vendruscolo, E.C.; Schuster, I.; Pileggi, M.; Scapim, C.A.; Molinari, H.B.; Marur, C.J.; Vieira, L.G. Stress-induced synthesis of proline confers tolerance to water deficit in transgenic wheat. J. Plant Physiol. 2007, 164, 1367–1376. [Google Scholar] [CrossRef]
- Bhatnagar-Mathur, P.; Vadez, V.; Jyostna Devi, M.; Lavanya, M.; Vani, G.; Sharma, K.K. Genetic engineering of chickpea (Cicer arietinum L.) with the P5CSF129A gene for osmoregulation with implications on drought tolerance. Mol. Breed. 2009, 23, 591–606. [Google Scholar] [CrossRef]
- Pospisilova, J.; Haisel, D.; Vanková, R. Responses of Transgenic Tobacco Plants with Increased Proline Content to Drought and/or Heat Stress. Am. J. Plant Sci. 2011, 2, 318–324. [Google Scholar] [CrossRef]
- Borgo, L.; Marur, C.; Vieira, L. Effects of high proline accumulation on chloroplast and mitochondrial ultrastructure and on osmotic adjustment in tobacco plants. Acta Scientiarum. Agron. 2015, 37, 191. [Google Scholar] [CrossRef]
- Székely, G.; Abrahám, E.; Cséplo, A.; Rigó, G.; Zsigmond, L.; Csiszár, J.; Ayaydin, F.; Strizhov, N.; Jásik, J.; Schmelzer, E.; et al. Duplicated P5CS genes of Arabidopsis play distinct roles in stress regulation and developmental control of proline biosynthesis. Plant J. 2008, 53, 11–28. [Google Scholar] [CrossRef]
- Ábrahám, E.; Rigó, G.; Székely, G.; Nagy, R.; Koncz, C.; Szabados, L. Light-dependent induction of proline biosynthesis by abscisic acid and salt stress is inhibited by brassinosteroid in Arabidopsis. Plant Mol. Biol. 2003, 51, 363–372. [Google Scholar] [CrossRef]
- Walley, J.W.; Sartor, R.C.; Shen, Z.; Schmitz, R.J.; Wu, K.J.; Urich, M.A.; Nery, J.R.; Smith, L.G.; Schnable, J.C.; Ecker, J.R.; et al. Integration of omic networks in a developmental atlas of maize. Science 2016, 353, 814–818. [Google Scholar] [CrossRef]
- Armengaud, P.; Thiery, L.; Buhot, N.; Grenier-De March, G.; Savouré, A. Transcriptional regulation of proline biosynthesis in Medicago truncatula reveals developmental and environmental specific features. Physiol. Plant. 2004, 120, 442–450. [Google Scholar] [CrossRef] [PubMed]
- Nguyen, M.L.; Kim, G.-B.; Hyun, S.-H.; Lee, S.-Y.; Lee, C.-Y.; Choi, H.-K.; Choi, H.-K.; Nam, Y.-W. Physiological and metabolomic analysis of a knockout mutant suggests a critical role of MtP5CS3 gene in osmotic stress tolerance of Medicago truncatula. Euphytica 2013, 193, 101–120. [Google Scholar] [CrossRef]
- Ma, X.; Ma, L.; Huo, Y.-X. Chapter 5—Harnessing the hierarchy of transcriptional regulation: Engineering of the gene expression network for efficient production. Syst. Synth. Metab. Eng. 2020, 107–124. [Google Scholar] [CrossRef]
- Cong, L.L.; Zhang, X.Q.; Yang, F.Y.; Liu, S.J.; Zhang, Y.W. Isolation of the P5CS gene from reed canary grass and its expression under salt stress. Genet. Mol. Res. 2014, 13, 9122–9133. [Google Scholar] [CrossRef] [PubMed]
- Su, M.; Li, X.F.; Ma, X.Y.; Peng, X.J.; Zhao, A.G.; Cheng, L.Q.; Chen, S.Y.; Liu, G.S. Cloning two P5CS genes from bioenergy sorghum and their expression profiles under abiotic stresses and MeJA treatment. Plant Sci. 2011, 181, 652–659. [Google Scholar] [CrossRef]
- Delauney, A.J.; Verma, D.P.S. Proline biosynthesis and osmoregulation in plants. Plant J. 1993, 4, 215–223. [Google Scholar] [CrossRef]
- Hare, P.D.; Cress, W.A. Metabolic implications of stress-induced proline accumulation in plants. Plant Growth Regul. 1997, 21, 79–102. [Google Scholar] [CrossRef]
- Kishor, P.B.K.; Sangam, S.; Naidu, K.R.; Rao, K.R.S.; Rao, S.A.; Reddl, K.J.; Theriappan, P.; Sreenivasulu, N. Regulation of proline biosynthesis, degradation, uptake and transport in higher plants: Its implications in plant growth and abiotic stress tolerance. Curr. Sci. 2005, 88, 424–438. [Google Scholar]
- Karamanos, A.J. The involvement of proline and some metabolites in water stress and their importance as drought resistance indicators. Bulg. J. Plant Physiol. 1995, 21, 98–110. [Google Scholar]
- Matsumura, T.; Kanechi, M.; Inagaki, N.; Maekawa, S. The effects of salt stress on ion uptake, accumulation of compatible solutes, and leaf osmotic potential in safflower, Chrysanthemum paludosum and sea aster. J. Jpn. Soc. Hortic. Sci. 1998, 67, 426–431. [Google Scholar] [CrossRef]
- Nusrat, J.; Rafiq, A. The activity of antioxidant enzymes in response to salt stress in safflower (Carthamus tinctorius L.) and sunflower (Helianthus annuus L.) seedlings raised from seed treated with chitosan. J. Sci. Food Agric. 2013, 93, 1699–1705. [Google Scholar] [CrossRef]
- Roychoudhury, A.; Chakraborty, M. Biochemical and Molecular Basis of Varietal Difference in Plant Salt Tolerance. Annu. Res. Rev. Biol. 2013, 3, 422–454. [Google Scholar]
- Kim, J.; Liu, Y.; Zhang, X.; Zhao, B.; Childs, K.L. Analysis of salt-induced physiological and proline changes in 46 switchgrass (Panicum virgatum) lines indicates multiple response modes. Plant Physiol. Biochem. 2016, 105, 203–212. [Google Scholar] [CrossRef]
- Momayezi, M.R.; Zaharah, A.R.; Hanafi, M.M.; Razi, I.M. Agronomic characteristics and proline accumulation of Iranian rice genotypes at early seedling stage under sodium salts stress. Malays. J. Soil Sci. 2009, 13, 59–75. [Google Scholar]
- Widodo; Patterson, J.H.; Newbigin, E.; Tester, M.; Bacic, A.; Roessner, U. Metabolic responses to salt stress of barley (Hordeum vulgare L.) cultivars, Sahara and Clipper, which differ in salinity tolerance. J. Exp. Bot. 2009, 60, 4089–4103. [Google Scholar] [CrossRef]
- Phang, J.M.; Pandhare, J.; Liu, Y. The Metabolism of Proline as Microenvironmental Stress Substrate123. J. Nutr. 2008, 138, 2008S–2015S. [Google Scholar] [CrossRef] [PubMed]
- Silveira, J.A.G.; Viégas, R.d.A.; Rocha, I.M.A.d.; Moreira, A.C.d.O.M.; Moreira, R.d.A.; Oliveira, J.T.A. Proline accumulation and glutamine synthetase activity are increased by salt-induced proteolysis in cashew leaves. J. Plant Physiol. 2003, 160, 115–123. [Google Scholar] [CrossRef]
- Irma, A.A.G.; Lilia, A.M. Salinity effects on protein content, lipid peroxidation, pigments, and proline in Paulownia imperialis (Siebold & Zuccarini) and Paulownia fortunei (Seemann & Hemsley) grown in vitro. Electron. J. Biotechnol. 2010, 13, 13–14. [Google Scholar] [CrossRef]
- Feng, X.; Hu, Y.; Zhang, W.; Xie, R.; Guan, H.; Xiong, H.; Jia, L.; Zhang, X.; Zhou, H.; Zheng, D.; et al. Revisiting the role of delta-1-pyrroline-5-carboxylate synthetase in drought-tolerant crop breeding. Crop J. 2022, 10, 1213–1218. [Google Scholar] [CrossRef]
- Chen, C.; Wu, Y.; Li, J.; Wang, X.; Zeng, Z.; Xu, J.; Liu, Y.; Feng, J.; Chen, H.; He, Y.; et al. TBtools-II: A “one for all, all for one” bioinformatics platform for biological big-data mining. Mol. Plant 2023, 16, 1733–1742. [Google Scholar] [CrossRef]
- Duvaud, S.; Gabella, C.; Lisacek, F.; Stockinger, H.; Ioannidis, V.; Durinx, C. Expasy, the Swiss Bioinformatics Resource Portal, as designed by its users. Nucleic Acids Res. 2021, 49, W216–W227. [Google Scholar] [CrossRef]
- Horton, P.; Park, K.J.; Obayashi, T.; Fujita, N.; Harada, H.; Adams-Collier, C.J.; Nakai, K. WoLF PSORT: Protein localization predictor. Nucleic Acids Res. 2007, 35, W585–W587. [Google Scholar] [CrossRef]
- Yu, C.S.; Lin, C.J.; Hwang, J.K. Predicting subcellular localization of proteins for Gram-negative bacteria by support vector machines based on n-peptide compositions. Protein Sci. 2004, 13, 1402–1406. [Google Scholar] [CrossRef]
- Petersen, T.N.; Brunak, S.; von Heijne, G.; Nielsen, H. SignalP 4.0: Discriminating signal peptides from transmembrane regions. Nat. Methods 2011, 8, 785–786. [Google Scholar] [CrossRef] [PubMed]
- Kumar, S.; Stecher, G.; Tamura, K. MEGA7: Molecular Evolutionary Genetics Analysis Version 7.0 for Bigger Datasets. Mol. Biol. Evol. 2016, 33, 1870–1874. [Google Scholar] [CrossRef] [PubMed]
- Ruth, D.; Abraham, M.D.C. Combinatorial and Computational Investigations of Neighbor-Joining Bias. Front. Genet. 2020, 11, 584785. [Google Scholar] [CrossRef] [PubMed]
- Wang, B.; Lin, Z.; Li, X.; Zhao, Y.; Zhao, B.; Wu, G.; Ma, X.; Wang, H.; Xie, Y.; Li, Q.; et al. Genome-wide selection and genetic improvement during modern maize breeding. Nat. Genet. 2020, 52, 565–571. [Google Scholar] [CrossRef] [PubMed]









| Gene ID | Chr. | Protein Length | Molecular Weight (kDa) | Isoelectric Point | Instability Index | GRAVY | Subcellular Localization | Aliphatic Index |
|---|---|---|---|---|---|---|---|---|
| GRMZM2G389416 | 2 | 362 | 39,224.30 | 9.52 | 58.41 | −0.104 | Cyto | 99.67 |
| GRMZM2G061777 | 6 | 117 | 12,542.03 | 5.54 | 30.66 | −0.044 | Cyto | 84.19 |
| GRMZM2G375504 | 8 | 717 | 77,708.14 | 6.11 | 30.26 | −0.060 | Chlo | 101.31 |
| GRMZM2G028535 | 8 | 731 | 78,794.41 | 5.95 | 29.51 | −0.016 | Plas | 99.95 |
| Os01t0848200 | 1 | 735 | 79,508.28 | 6.10 | 23.35 | −0.058 | Chlo | 100.97 |
| Os05t0455500 | 5 | 716 | 77,745.26 | 6.37 | 33.02 | −0.060 | Chlo | 104.04 |
| SORBI_3003G356000 | 3 | 729 | 78,361.73 | 5.99 | 26.52 | −0.040 | Plas | 99.96 |
| SORBI_3009G160100 | 9 | 716 | 77,743.20 | 5.99 | 33.13 | −0.046 | Chlo | 104.33 |
| AT2G39800 | 2 | 717 | 77,701.84 | 5.89 | 33.53 | −0.072 | Chlo | 102.71 |
| AT3G55610 | 3 | 726 | 78,871.35 | 6.35 | 33.85 | −0.092 | E.R. | 101.27 |
| Protein Name | Alpha Helix (%) | Extend Strand (%) | Beta Turn (%) | Random Coil (%) |
|---|---|---|---|---|
| GRMZM2G389416 | 35.08 | 17.40 | 7.46 | 40.06 |
| GRMZM2G061777 | 35.90 | 20.51 | 5.13 | 38.46 |
| GRMZM2G028535 | 49.66 | 18.88 | 6.16 | 25.31 |
| GRMZM2G375504 | 48.68 | 18.55 | 5.86 | 26.92 |
Disclaimer/Publisher’s Note: The statements, opinions and data contained in all publications are solely those of the individual author(s) and contributor(s) and not of MDPI and/or the editor(s). MDPI and/or the editor(s) disclaim responsibility for any injury to people or property resulting from any ideas, methods, instructions or products referred to in the content. |
© 2026 by the authors. Licensee MDPI, Basel, Switzerland. This article is an open access article distributed under the terms and conditions of the Creative Commons Attribution (CC BY) license.
Share and Cite
Zhang, C.; Sun, L.; Guo, J.; Dong, J.; Jin, F.; Zhou, X.; Liu, X.; Liu, C.; Li, X. Identification of ZmP5CS Gene Family and Functional Analysis of ZmP5CS4 Under Salt Tolerance in Maize. Plants 2026, 15, 946. https://doi.org/10.3390/plants15060946
Zhang C, Sun L, Guo J, Dong J, Jin F, Zhou X, Liu X, Liu C, Li X. Identification of ZmP5CS Gene Family and Functional Analysis of ZmP5CS4 Under Salt Tolerance in Maize. Plants. 2026; 15(6):946. https://doi.org/10.3390/plants15060946
Chicago/Turabian StyleZhang, Chunxiao, Liquan Sun, Jia Guo, Jing Dong, Fengxue Jin, Xiaohui Zhou, Xueyan Liu, Chengyuan Liu, and Xiaohui Li. 2026. "Identification of ZmP5CS Gene Family and Functional Analysis of ZmP5CS4 Under Salt Tolerance in Maize" Plants 15, no. 6: 946. https://doi.org/10.3390/plants15060946
APA StyleZhang, C., Sun, L., Guo, J., Dong, J., Jin, F., Zhou, X., Liu, X., Liu, C., & Li, X. (2026). Identification of ZmP5CS Gene Family and Functional Analysis of ZmP5CS4 Under Salt Tolerance in Maize. Plants, 15(6), 946. https://doi.org/10.3390/plants15060946

