Yield, Nutritional, and Thermal Responses of Lettuce (Lactuca sativa) and Eggplant (Solanum melongena) Under Greenhouse Covers with Different UV-B Transmittance
Abstract
1. Introduction
2. Results and Discussion
2.1. Film Characterization and Experimental Setup
2.2. Thermal Responses
2.2.1. Eggplant
2.2.2. Lettuce
2.3. Physiological Responses
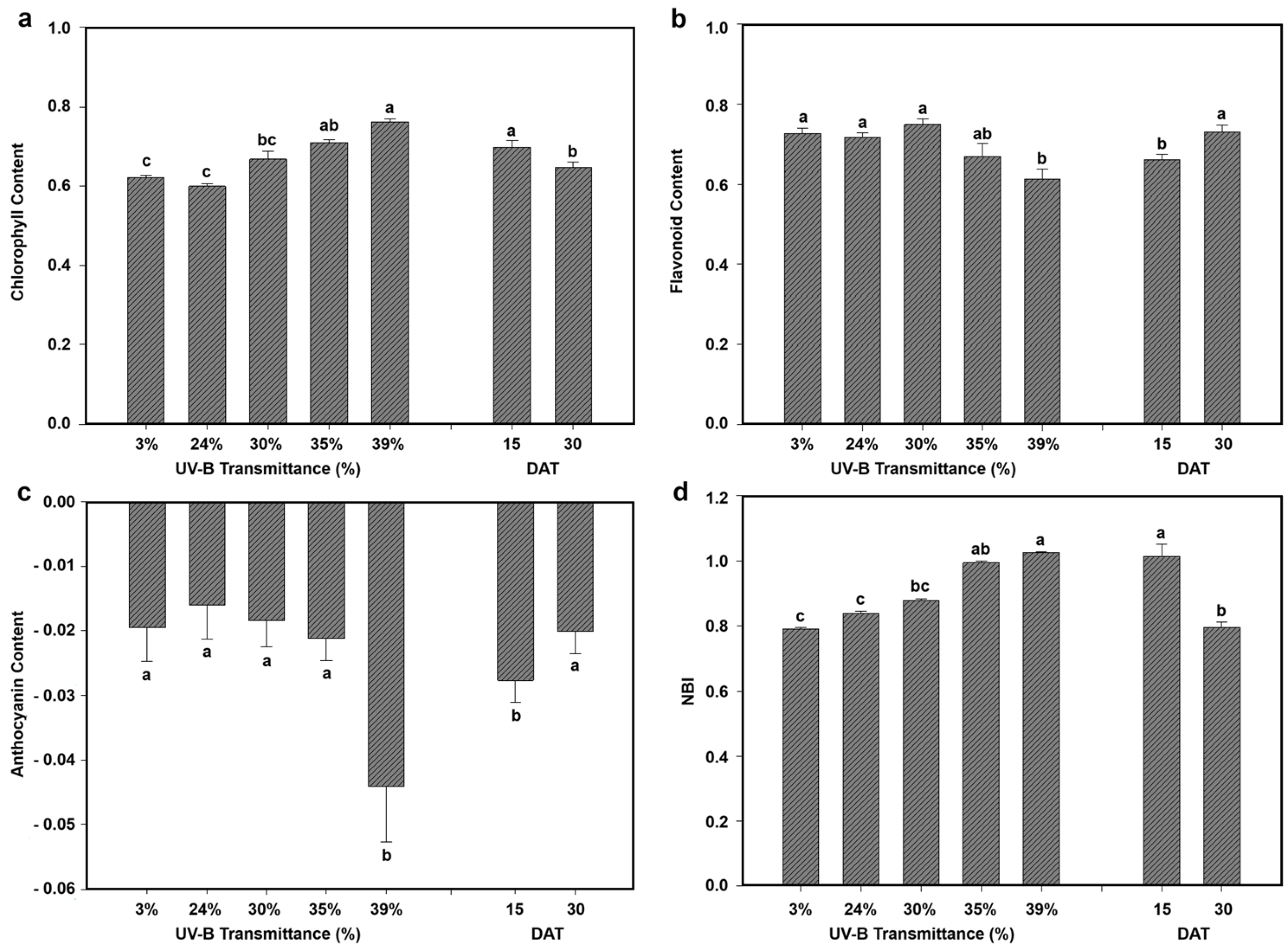
2.3.1. Eggplant
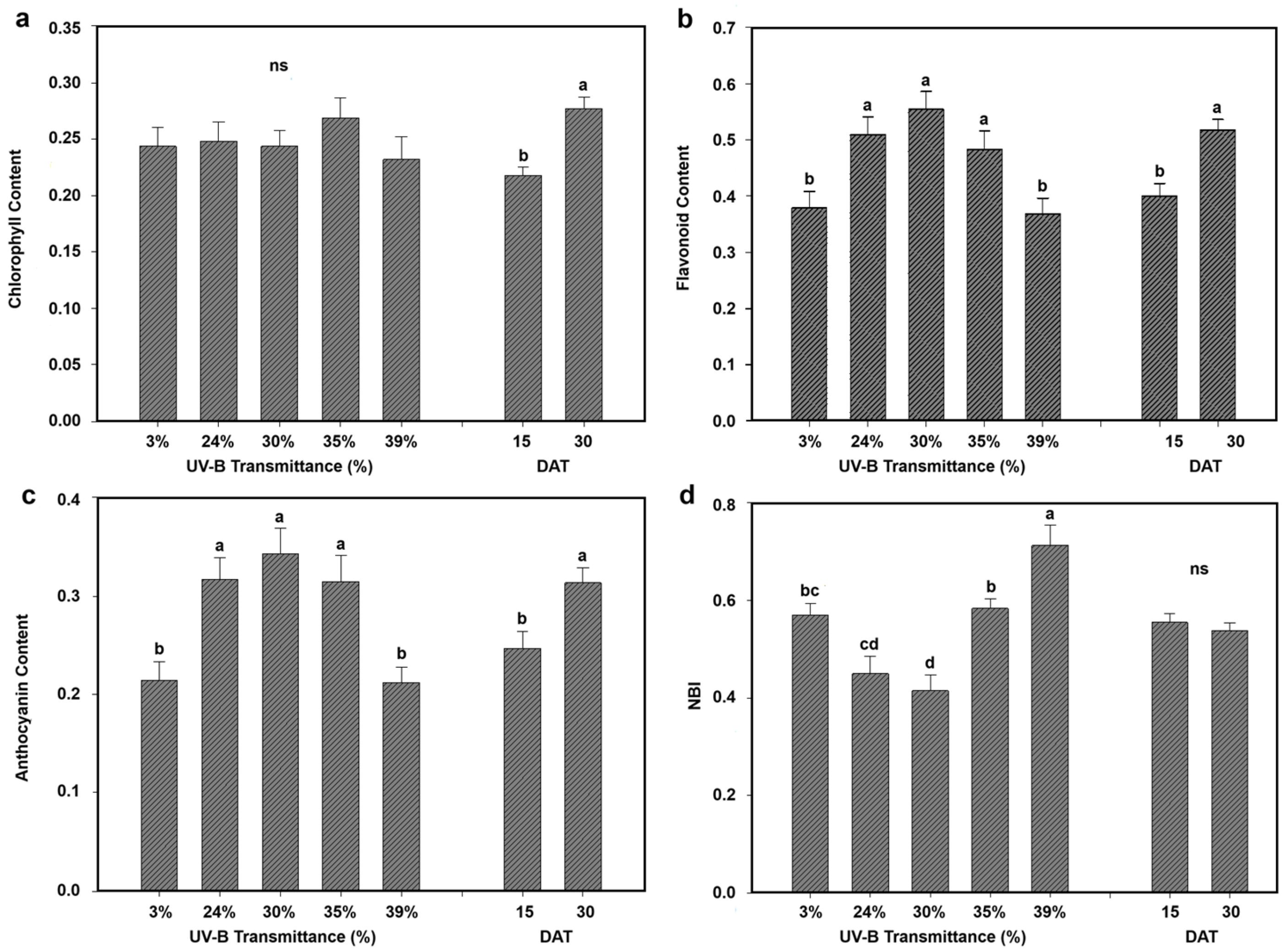
2.3.2. Lettuce
2.4. Yield and Nutritional Responses
2.4.1. Eggplant
2.4.2. Lettuce
2.5. Comparative Analysis of Crop Responses and Optimal UV-B Transmittance
3. Materials and Methods
3.1. Plastic Films and UV–VIS Spectral Characterization
3.2. Experimental Design, Plant Materials, and Crop Management
3.3. Infrared Thermography (IT) Measurements
3.4. Radiation and Microclimate Monitoring
3.5. Physiological Measurements
3.6. Post-Harvest Nutritional Analyses
3.7. Statistical Analysis
4. Conclusions
Supplementary Materials
Author Contributions
Funding
Data Availability Statement
Conflicts of Interest
References
- McKinlay, A.F.; Diffey, B.L. A reference action spectrum for ultraviolet induced erythema in human skin. In Human Exposure to Ultraviolet Radiation: Risks and Regulations; Passchier, W.R., Bosnjakovic, B.F.M., Eds.; Elsevier: Amsterdam, The Netherlands, 1987; pp. 17–22. [Google Scholar]
- CIE S 017:2020; International Lighting Vocabulary, 2nd ed. International Commission on Illumination (CIE): Vienna, Austria, 2020; p. 252.
- Singh, V.P.; Singh, S.; Prasad, S.M.; Parihar, P. UV-B Radiation: From Environmental Stressor to Regulator of Plant Growth; John Wiley & Sons Ltd.: Chichester, UK, 2017. [Google Scholar]
- Singh, S.; Agrawal, S.B.; Agrawal, M. UVR8 mediated plant protective response under low UV-B radiation leading to photosynthetic acclimation. J. Photochem. Photobiol. B 2014, 137, 67–76. [Google Scholar] [CrossRef] [PubMed]
- Parihar, P.; Singh, S.; Singh, R.; Singh, V.P.; Prasad, S.M. Changing scenario in plant UV-B research: UV-B from a generic stressor to a specific regulator. J. Photochem. Photobiol. B 2015, 153, 334–343. [Google Scholar] [CrossRef] [PubMed]
- Becatti, E.; Petroni, K.; Giuntini, D.; Castagna, A.; Calvenzani, V.; Serra, G.; Mensuali Sodi, A.; Tonelli, C.; Ranieri, A. Solar UV-B radiation influences carotenoid accumulation of tomato fruit through both ethylene-dependent and–independent mechanisms. J. Agric. Food Chem. 2009, 57, 10979–10989. [Google Scholar] [CrossRef] [PubMed]
- Mariz-Ponte, N.; Martins, S.; Gonçalves, A.; Correia, C.M.; Ribeiro, C.; Dias Santos, M.C. The potential use of the UV-A and UV-B to improve tomato quality and preference for consumers. Sci. Hortic. 2019, 246, 777–784. [Google Scholar] [CrossRef]
- Chen, Y.; Zhang, X.; Guo, Q.; Liu, L.; Li, C.; Cao, L.; Qin, Q.; Zhao, M.; Wang, W. Effects of UV-B radiation on the content of bioactive components and the antioxidant activity of Prunella vulgaris L. Spica during development. Molecules 2018, 23, 989. [Google Scholar] [CrossRef]
- Zhang, X.; Ding, X.; Ji, Y.; Wang, S.; Chen, Y.; Luo, J.; Shen, Y.; Peng, L. Measurement of metabolite variations and analysis of related gene expression in Chinese liquorice (Glycyrrhiza uralensis) plants under UV-B irradiation. Sci. Rep. 2018, 8, 6144. [Google Scholar] [CrossRef]
- Pan, W.S.; Zheng, L.P.; Tian, H.; Li, W.Y.; Wang, J.W. Transcriptome responses involved in artemisinin production in Artemisia annua L. under UV-B radiation. J. Photochem. Photobiol. B Biol. 2014, 140, 292–300. [Google Scholar] [CrossRef]
- Sebastian, A.; Kumari, R.; Kiran, B.R.; Prasad, M.N.V. Ultraviolet B induced bioactive changes of enzymatic and non-enzymatic antioxidants and lipids in Trigonella foenum-graecum L. (Fenugreek). EuroBiotech J. 2018, 2, 64–71. [Google Scholar] [CrossRef]
- Mannucci, A.; Mariotti, L.; Castagna, A.; Santin, M.; Trivellini, A.; Reyes, T.H.; Mensuali-Sodi, A.; Ranieri, A.; Quartacci, M.F. Hormone profile changes occur in roots and leaves of micro-tom tomato plants when exposing the aerial part to low doses of UV-B radiation. Plant Physiol. Biochem. 2020, 148, 291–301. [Google Scholar] [CrossRef]
- Schreiner, M.; Martinez-Abaigar, J.; Glaab, J.; Jansen, M. UV-B Induced Secondary Plant Metabolites. Opt. Photonik 2014, 9, 34–37. [Google Scholar] [CrossRef]
- Neugart, S.; Schreiner, M. UVB and UVA as eustressors in horticultural and agricultural crops. Sci. Hort. 2018, 234, 370–381. [Google Scholar] [CrossRef]
- Liu, C.; Han, X.; Cai, L.; Lu, X.; Ying, T.; Jiang, Z. Postharvest UV-B irradiation maintains sensory qualities and enhances antioxidant capacity in tomato fruit during storage. Postharvest Biol. Technol. 2011, 59, 232–237. [Google Scholar] [CrossRef]
- Schreiner, M.; Mewis, I.; Huyskens-Keil, S.; Jansen, M.A.K.; Zrenner, R.; Winkler, J.B.; O’Brien, N.; Krumbein, A. UV-B-induced secondary plant metabolites-potential benefits for plant and human health. Crit. Rev. Plant Sci. 2012, 31, 229–240. [Google Scholar] [CrossRef]
- Caldwell, C.R.; Britz, S.J. Effect of supplemental ultraviolet radiation on the carotenoid and chlorophyll composition of greenhouse grown leaf lettuce (Lactuca sativa L.) cultivars. J. Food Comp. Anal. 2006, 19, 637–644. [Google Scholar] [CrossRef]
- Agarwal, S.J.B.P. Increased antioxidant activity in Cassia seedlings under UV-B radiation. Biol. Plant. 2007, 51, 157–160. [Google Scholar] [CrossRef]
- Higashio, H.; Hirokane, H.; Sato, F.; Tokuda, S.; Uragami, A. Effect of UV irradiation after the harvest on the content of flavonoid in vegetables. V Inter Postharvest Symp. 2004, 682, 1007–1012. [Google Scholar] [CrossRef]
- Kasım, M.U.; Kasım, R. Yellowing of fresh-cut spinach (Spinacia oleracea L.) leaves delayed by UV-B applications. Info. Proc. Agric. 2017, 4, 214–219. [Google Scholar]
- Hao, J.; Lou, P.; Han, Y.; Zheng, L.; Lu, J.; Chen, Z.; Ni, J.; Yang, Y.; Xu, M. Ultraviolet-B Irradiation Increases Antioxidant Capacity of Pakchoi (Brassica rapa L.) by Inducing Flavonoid Biosynthesis. Plants 2022, 11, 766. [Google Scholar] [CrossRef]
- Yoon, H.I.; Kim, J.; Oh, M.-M.; Son, J.E. Prediction of Phenolic Contents Based on Ultraviolet-B Radiation in Three-Dimensional Structure of Kale Leaves. Front. Plant Sci. 2022, 13, 918170. [Google Scholar] [CrossRef]
- Zhang, H.; He, H.; Song, W.; Zheng, L. Pre-Harvest UVB Irradiation Enhances the Phenolic and Flavonoid Content, and Antioxidant Activity of Green- and Red-Leaf Lettuce Cultivars. Horticulturae 2023, 9, 695. [Google Scholar] [CrossRef]
- Behn, H.; Tittmann, S.; Walter, A.; Schurr, U.; Noga, G.; Ulbrich, A. UV-B Transmittance of Greenhouse Covering Materials Affects Growth and Flavonoid Content of Lettuce Seedlings. Eur. J. Hortic. Sci. 2010, 75, 259–268. [Google Scholar] [CrossRef]
- Quintero-Arias, D.G.; Acuña-Caita, J.F.; Asensio, C.; Valenzuela, J.L. Ultraviolet Transparency of Plastic Films Determines the Quality of Lettuce (Lactuca sativa L.) Grown in a Greenhouse. Agronomy 2021, 11, 358. [Google Scholar] [CrossRef]
- Mormile, P.; Rippa, M.; Graziani, G.; Ritieni, A. Use of greenhouse-covering films with tailored UV-B transmission dose for growing ‘medicines’ through plants: Rocket salad case. J. Sci. Food Agri. 2019, 99, 6931–6936. [Google Scholar] [CrossRef]
- Laurenčíková, N.; Živčák, M.; Neugart, S.; Pöhnl, T. Influence of UV radiation absorbing foils on secondary plant metabolites in three lettuce cultivars (Lactuca sativa L. and Cichorium intybus L.). Front. Food Sci. Technol. 2023, 3, 1208100. [Google Scholar] [CrossRef]
- Kakani, V.G.; Reddy, K.R.; Zhao, D.; Sailaja, K. Field crop responses to ultraviolet B radiation: A review. Agric. For. Meteorol. 2003, 120, 191–218. [Google Scholar] [CrossRef]
- Timofeenko, I.A.; Vereshchagin, M.; Dranichnikova, E.; Sleptsov, N.; Abramova, A.; Buyko, O.V.; Manevich, A.; Kreslavski, V.; Pashkovskiy, P. Effects of Continuous Low-Level UV-B, Alone or in Combination with Blue Light, on Photosynthetic and Antioxidant Responses of Morphologically Distinct Red-Leaf Lettuce Cultivars. Plants 2025, 14, 3821. [Google Scholar] [CrossRef] [PubMed]
- Pineda, M.; Barón, M.; Pérez-Bueno, M.L. Thermal imaging for plant stress detection and phenotyping. Remote Sens. 2021, 13, 68. [Google Scholar] [CrossRef]
- Ishimwe, R.; Abutaleb, K.; Ahmed, F. Applications of thermal imaging in agriculture—A review. Adv. Remote Sens. 2014, 3, 128–140. [Google Scholar] [CrossRef]
- Vadivambal, R.; Jayas, D.S. Applications of thermal imaging in agriculture and food industry—A review. Food Bioprocess Technol. 2011, 4, 186–199. [Google Scholar] [CrossRef]
- Aryalekshmi, B.N.; Biradar, R.C.; Mohammed Ahamed, J. Thermal Imaging Techniques in Agricultural Applications. Int. J. Innov. Technol. Explor. Eng. 2019, 8, 2162–2168. [Google Scholar] [CrossRef]
- Rippa, M.; Di Mola, I.; Ottaiano, L.; Cozzolino, E.; Mormile, P.; Mori, M. Infrared Thermography Monitoring of Durum and Common Wheat for Adaptability Assessing and Yield Performance Prediction. Plants 2024, 13, 836. [Google Scholar] [CrossRef] [PubMed]
- Capraro, A.C.W.; Steppe, K.; Van Asten, P.J.A.; Laderach, P.; Jassogne, L.T.P.; Grab, S.W. Application of thermography for monitoring stomatal conductance of Coffea Arabica under different shading systems. Sci. Total Environ. 2017, 609, 755–763. [Google Scholar] [CrossRef] [PubMed]
- Rippa, M.; Battaglia, V.; Cermola, M.; Sicignano, M.; Lahoz, E.; Mormile, P. Monitoring of the copper persistence on plant leaves using pulsed thermography. Environ. Monit. Assess. 2022, 194, 60. [Google Scholar] [CrossRef] [PubMed]
- Guilioni, L.; Jones, H.G.; Leinonen, I.; Lhomme, J.P. On the relationships between stomatal resistance and leaf temperatures in thermography. Agric. For. Meteorol. 2008, 148, 1908–1912. [Google Scholar] [CrossRef]
- Galieni, A.; D’Ascenzo, N.; Stagnari, F.; Pagnani, G.; Xie, Q.; Pisante, M. Past and Future of Plant Stress Detection: An Overview from Remote Sensing to Positron Emission Tomography. Front. Plant Sci. 2021, 11, 609155. [Google Scholar] [CrossRef]
- Rippa, M.; Pasqualini, A.; Curcio, R.; Mormile, P.; Pane, C. Active vs. Passive Thermal Imaging for Helping the Early Detection of Soil-Borne Rot Diseases on Wild Rocket [Diplotaxis tenuifolia (L.) D.C.]. Plants 2023, 12, 1615. [Google Scholar] [CrossRef]
- Rippa, M.; Del Regno, C.; Cappetta, E.; Russo, A.; Mele, F.; Curcio, R.; De Rosa, A.; Leone, A.; Mormile, P.; Ruocco, M.; et al. Pulsed thermography as a reliable tool to detect presymptomatic stages of Botrytis cinerea infection in plants. ACS Agric. Sci.Technol. 2023, 3, 499–507. [Google Scholar] [CrossRef]
- Banerjee, K.; Krishnan, P. Normalized Sunlit Shaded Index (NSSI) for characterizing the moisture stress in wheat crop using classified thermal and visible images. Ecol. Indic. 2020, 110, 105947. [Google Scholar] [CrossRef]
- Zhou, Z.; Diverres, G.; Kang, C.; Thapa, S.; Karkee, M.; Zhang, Q.; Keller, M. Ground-Based Thermal Imaging for Assessing Crop Water Status in Grapevines over a Growing Season. Agronomy 2022, 12, 322. [Google Scholar] [CrossRef]
- Wang, L.; Poque, S.; Valkonen, J.P. Phenotyping viral infection in sweet potato using a high-throughput chlorophyll fluorescence and thermal imaging platform. Plant Methods 2019, 15, 116. [Google Scholar] [CrossRef]
- Yuxuan, W.; Zia-Khan, S.; Owusu-Adu, S.; Miedaner, T.; Müller, J. Early detection of Zymoseptoria tritici in winter wheat by infrared thermography. Agriculture 2019, 9, 139. [Google Scholar] [CrossRef]
- Romero-Bravo, S.; Méndez-Espinoza, A.M.; Garriga, M.; Estrada, F.; Escobar, A.; González-Martinez, L.; Poblete-Echeverría, C.; Sepulveda, D.; Matus, I.; Castillo, D.; et al. Thermal Imaging Reliability for Estimating Grain Yield and Carbon Isotope Discrimination in Wheat Genotypes: Importance of the Environmental Conditions. Sensors 2019, 19, 2676. [Google Scholar] [CrossRef]
- Bonanomi, G.; Battista Chirico, G.; Palladino, M.; Gaglione, S.A.; Crispo, D.G.; Lazzaro, U.; Sica, B.; Cesarano, G.; Tushar, F.I.; Sarker, C.; et al. Combined application of photo-selective mulching films and beneficial microbes affects crop yield and irrigation water productivity in intensive farming systems. Agric. Water Manag. 2017, 184, 104–113. [Google Scholar] [CrossRef]
- Elsayed, S.; Elhoweity, M.; Ibrahim, H.H.; Dewir, Y.H.; Migdadi, H.M.; Schmidhalter, U. Thermal imaging and passive reflectance sensing to estimate the water status and grain yield of wheat under different irrigation regimes. Agric. Water Manag. 2017, 189, 98–110. [Google Scholar] [CrossRef]
- Blonquist, J.M., Jr.; Norman, J.M.; Bugbee, B. Automated measurement of canopy stomatal conductance based on infrared temperature. Agric. For. Meteorol. 2009, 149, 1931–1945. [Google Scholar] [CrossRef]
- Gitelson, A.A.; Merzlyak, M.N.; Chivkunova, O.B. Optical properties and nondestructive estimation of anthocyanin content in plant leaves. Photochem. Photobiol. 2001, 74, 38–45. [Google Scholar] [CrossRef]
- Kim, C.; van Iersel, M.W. Image-based phenotyping to estimate anthocyanin concentrations in lettuce. Front. Plant Sci. 2023, 14, 1155722. [Google Scholar] [CrossRef]
- Williams, T.B.; Dodd, I.C. Ultraviolet radiation causes leaf warming due to partial stomatal closure. Hortic. Res. 2022, 9, uhab066. [Google Scholar] [CrossRef]
- Jones, H.G. Application of Thermal Imaging and Infrared Sensing in Plant Physiology and Ecophysiology. Adv. Bot. Res. 2004, 41, 107–163. [Google Scholar]
- Jansen, M.A.K.; Van Den Noort, R.E. Ultraviolet-B radiation induces complex alterations in stomatal behaviour. Physiol. Plant. 2000, 110, 189–194. [Google Scholar] [CrossRef]
- Rippa, M.; Ambrosone, A.; Leone, A.; Mormile, P. Active thermography for real time monitoring of UV-B plant interactions. J. Photochem. Photobiol. B Biol. 2020, 208, 111900. [Google Scholar] [CrossRef] [PubMed]
- Jenkins, G.I. The UV B photoreceptor UVR8: From structure to physiology. Plant Cell 2014, 26, 21–37. [Google Scholar] [CrossRef] [PubMed]
- Tilbrook, K.; Arongaus, A.B.; Binkert, M.; Heijde, M.; Yin, R.; Ulm, R. The UVR8 UV-B photoreceptor: Perception, signaling and response. Arab. Book 2013, 11, e0164. [Google Scholar] [CrossRef] [PubMed]
- Singh, P.; Singh, A.; Choudhary, K.K. Revisiting the role of phenylpropanoids in plant defense against UV-B stress. Plant Stress 2023, 7, 100143. [Google Scholar] [CrossRef]
- Wang, Y.; Liu, S.; Wang, H.; Zhang, Y.; Li, W.; Liu, J.; Cheng, Q.; Sun, L.; Shen, H. Identification of the regulatory genes of UV-B-induced anthocyanin biosynthesis in pepper fruit. Int. J. Mol. Sci. 2022, 23, 1960. [Google Scholar] [CrossRef]
- Shi, C.; Liu, H. How plants protect themselves from ultraviolet-B radiation stress. Plant Physiol. 2021, 187, 1096–1103. [Google Scholar] [CrossRef]
- Hideg, É.; Jansen, M.A.K.; Strid, Å. UV-B Exposure, ROS, and Stress: In The Light of Oxygen. Plant Physiol. Biochem. 2013, 70, 78–87. [Google Scholar]
- Chen, Z.; Dong, Y.; Huang, X. Plant Responses to UV-B Radiation: Signaling, Acclimation, and Stress Tolerance. Stress Biol. 2022, 2, 51. [Google Scholar] [CrossRef]
- Caldwell, M.M.; Bornman, J.F.; Ballaré, C.L.; Flint, S.D.; Kulandaivelu, G. Terrestrial Ecosystems, Increased Solar Ultraviolet Radiation, and Interactions with Other Climatic Change Factors. Photochem. Photobiol. Sci. 2003, 2, 29–38. [Google Scholar] [CrossRef]
- Mahdavian, K. Effects of Ultraviolet Radiation on Plants and Their Protective Mechanisms. Russ. J. Plant Physiol. 2024, 71, 184. [Google Scholar] [CrossRef]
- Robson, T.M.; Klem, K.; Urban, O.; Jansen, M.A. Re-interpreting plant morphological responses to UV-B radiation. Plant Cell Environ. 2015, 38, 856–866. [Google Scholar] [CrossRef] [PubMed]
- Dias, M.C.; Pinto, D.C.G.A.; Costa, M.; Santos, S.; Silva, A.M.S. Drought and UV-B radiation modulate Adenanthera pavonina leaf metabolite profile and physiology. Acta Physiol. Plant. 2023, 45, 139. [Google Scholar] [CrossRef]
- Jones, H.G. Use of infrared thermometry for estimation of stomatal conductance as a possible aid to irrigation scheduling. Agric. For. Meteorol. 1999, 95, 139–148. [Google Scholar] [CrossRef]
- Xu, J.; Yao, M.; Chen, Y.; Jiang, L.; Xing, B.; Clarke, H. The range of projected change in vapour pressure deficit through 2100: A seasonal and regional analysis of the CMIP6 ensemble. Climate 2025, 13, 143. [Google Scholar] [CrossRef]
- Allen, R.G.; Pereira, L.S.; Raes, D.; Smith, M. Crop Evapotranspiration—Guidelines for Computing Crop Water Requirements; FAO: Rome, Italy, 1998. [Google Scholar]
- ADC BioScientific Ltd. MPM-100 Multi Pigment Meter–Technical Specifications and Operating Principles; ADC BioScientific Ltd.: Hoddesdon, UK, 2024; Available online: https://www.adc.co.uk/wp-content/uploads/MPM-100-Brochure-ADC-2024.pdf (accessed on 29 January 2026).
- Ali, A.; Santoro, P.; Ferrante, A.; Cocetta, G. Investigating pulsed LED effectiveness as an alternative to continuous LED through morpho-physiological evaluation of baby leaf lettuce. S. Afr. J. Bot. 2023, 160, 560–570. [Google Scholar] [CrossRef]
- Ali, A.; Cavallaro, V.; Santoro, P.; Mori, J.; Ferrante, A.; Cocetta, G. Quality and physiological evaluation of tomato subjected to different supplemental lighting systems. Sci. Hortic. 2024, 323, 112469. [Google Scholar] [CrossRef]
- Zlatev, Z.; Stoykova, V.; Shivacheva, G.; Vasilev, M. Design and implementation of a measuring device to determine the content of pigments in plant leaves. Appl. Syst. Innov. 2023, 6, 64. [Google Scholar] [CrossRef]
- Fogliano, V.; Verde, V.; Randazzo, G.; Ritieni, A. Method for measuring antioxidant activity and its application to monitoring the antioxidant capacity of wines. J. Agric. Food Chem. 1999, 47, 1035–1040. [Google Scholar] [CrossRef]
- Re, R.; Pellegrini, N.; Proteggente, A.; Pannala, A.; Yang, M.; Rice-Evans, C. Antioxidant activity applying an improved abts radical cation decolorization assay. Free Radic. Biol. Med. 1999, 26, 1231–1237. [Google Scholar] [CrossRef]
- Wellburn, A.R. The spectral determination of chlorophylls a and b, as well as total carotenoids, using various solvents with spectrophotometers of different resolution. J. Plant Physiol. 1994, 144, 307–313. [Google Scholar] [CrossRef]
- Kampfenkel, K.; Van Montagu, M.; Inzé, D. Extraction and determination of ascorbate and dehydroascorbate from plant tissue. Anal. Biochem. 1995, 225, 165–167. [Google Scholar] [CrossRef]









| %UV B | Yield (t ha−1) | HAA (mmol Ascorbic Acid equ 100 g−1 dw) | LAA (mmol Trolox equ 100 g−1 dw) | Vitamin C (mg 100 g−1 fw) | Carotenoids (mg 100 g−1 fw) | Chlor a + b (µg mL−1) |
|---|---|---|---|---|---|---|
| 3 | 85.8 ± 0.3 | 3.32 ± 0.28 b | 7.5 ± 0.5 d | 44.5 ± 1.5 bc | 0.014 ± 0.001 a | 0.120 ± 0.005 |
| 24 | 77.0 ± 0.3 | 5.44 ± 0.39 a | 11.1 ± 0.6 cd | 40.3 ± 5.2 c | 0.006 ± 0.001 b | 0.110 ± 0.009 |
| 30 | 73.7 ± 0.3 | 5.38 ± 0.13 a | 16.8 ± 0.8 ab | 41.9 ± 0.9 bc | 0.003 ± 0.001 b | 0.130 ± 0.005 |
| 35 | 81.3 ± 0.3 | 4.67 ± 0.49 ab | 17.4 ± 1.3 a | 60.8 ± 2.8 ab | 0.005 ± 0.001 b | 0.130 ± 0.002 |
| 39 | 85.0 ± 0.3 | 5.91 ± 0.43 a | 13.3 ± 0.7 bc | 64.6 ± 7.2 a | 0.007 ± 0.001 b | 0.130 ± 0.012 |
| Significance | ns | * | * | * | * | ns |
| %UV B | Yield (t ha−1) | HAA (mmol Ascorbic Acid equ 100 g−1 dw) | LAA (mmol Trolox equ 100 g−1 dw) | Vitamin C (mg 100 g−1 fw) | Carotenoids (mg 100 g−1 fw) | Chlor a + b (µg mL−1) |
|---|---|---|---|---|---|---|
| 3 | 30.2 ± 1.6 b | 5.02 ± 0.50 b | 3.90 ± 0.43 b | 13.4 ± 1.0 c | 0.18 ± 0.01 b | 0.63 ± 0.12 ab |
| 24 | 40.4 ± 0.9 a | 5.33 ± 0.35 b | 3.20 ± 0.55 b | 16.9 ± 3.7 bc | 0.25 ± 0.05 ab | 0.39 ± 0.06 b |
| 30 | 38.5 ± 0.7 a | 5.29 ± 0.37 b | 3.16 ± 0.54 b | 20.3 ± 1.3 b | 0.36 ± 0.01 a | 0.98 ± 0.04 a |
| 35 | 40.8 ± 0.9 a | 7.23 ± 0.03 a | 7.00 ± 0.67 a | 15.3 ± 1.8 bc | 0.20 ± 0.05 ab | 0.66 ± 0.11 ab |
| 39 | 34.2 ± 2.3 ab | 5.08 ± 0.26 b | 4.68 ± 0.69 ab | 40.7 ± 3.4 a | 0.29 ± 0.04 ab | 0.65 ± 0.04 ab |
| Significance | * | * | * | * | ** | * |
Disclaimer/Publisher’s Note: The statements, opinions and data contained in all publications are solely those of the individual author(s) and contributor(s) and not of MDPI and/or the editor(s). MDPI and/or the editor(s) disclaim responsibility for any injury to people or property resulting from any ideas, methods, instructions or products referred to in the content. |
© 2026 by the authors. Licensee MDPI, Basel, Switzerland. This article is an open access article distributed under the terms and conditions of the Creative Commons Attribution (CC BY) license.
Share and Cite
Mori, M.; Cozzolino, E.; Di Mola, I.; Ottaiano, L.; Di Meo, A.; Mormile, P.; Rippa, M. Yield, Nutritional, and Thermal Responses of Lettuce (Lactuca sativa) and Eggplant (Solanum melongena) Under Greenhouse Covers with Different UV-B Transmittance. Plants 2026, 15, 863. https://doi.org/10.3390/plants15060863
Mori M, Cozzolino E, Di Mola I, Ottaiano L, Di Meo A, Mormile P, Rippa M. Yield, Nutritional, and Thermal Responses of Lettuce (Lactuca sativa) and Eggplant (Solanum melongena) Under Greenhouse Covers with Different UV-B Transmittance. Plants. 2026; 15(6):863. https://doi.org/10.3390/plants15060863
Chicago/Turabian StyleMori, Mauro, Eugenio Cozzolino, Ida Di Mola, Lucia Ottaiano, Antimo Di Meo, Pasquale Mormile, and Massimo Rippa. 2026. "Yield, Nutritional, and Thermal Responses of Lettuce (Lactuca sativa) and Eggplant (Solanum melongena) Under Greenhouse Covers with Different UV-B Transmittance" Plants 15, no. 6: 863. https://doi.org/10.3390/plants15060863
APA StyleMori, M., Cozzolino, E., Di Mola, I., Ottaiano, L., Di Meo, A., Mormile, P., & Rippa, M. (2026). Yield, Nutritional, and Thermal Responses of Lettuce (Lactuca sativa) and Eggplant (Solanum melongena) Under Greenhouse Covers with Different UV-B Transmittance. Plants, 15(6), 863. https://doi.org/10.3390/plants15060863

