Improved Cultivars and the Application of Combined Fertilizer Improve the Grain Yield and the Nitrogen Uptake and Utilization in Continuously Cropped Soybean (Glycine max (L.) Merr.)
Abstract
1. Introduction
2. Results
2.1. Photosynthetic Characteristics Traits
2.1.1. Net Photosynthetic Rate
2.1.2. Leaf Area Index
2.2. Radiation Use Efficiency
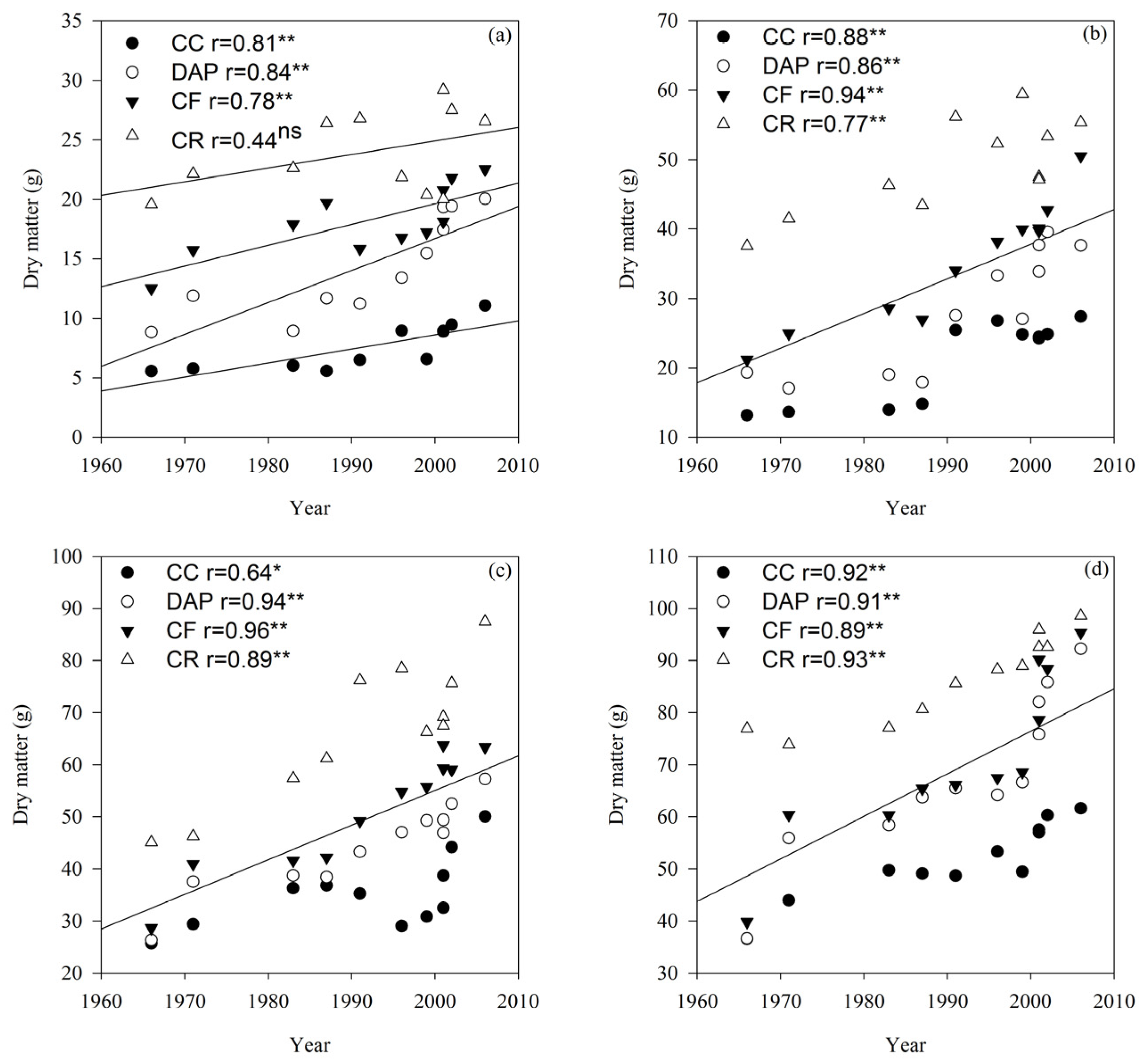
2.3. Dry Matter Accumulation
2.4. Crop Growth Rate
2.5. Nitrogen Accumulation
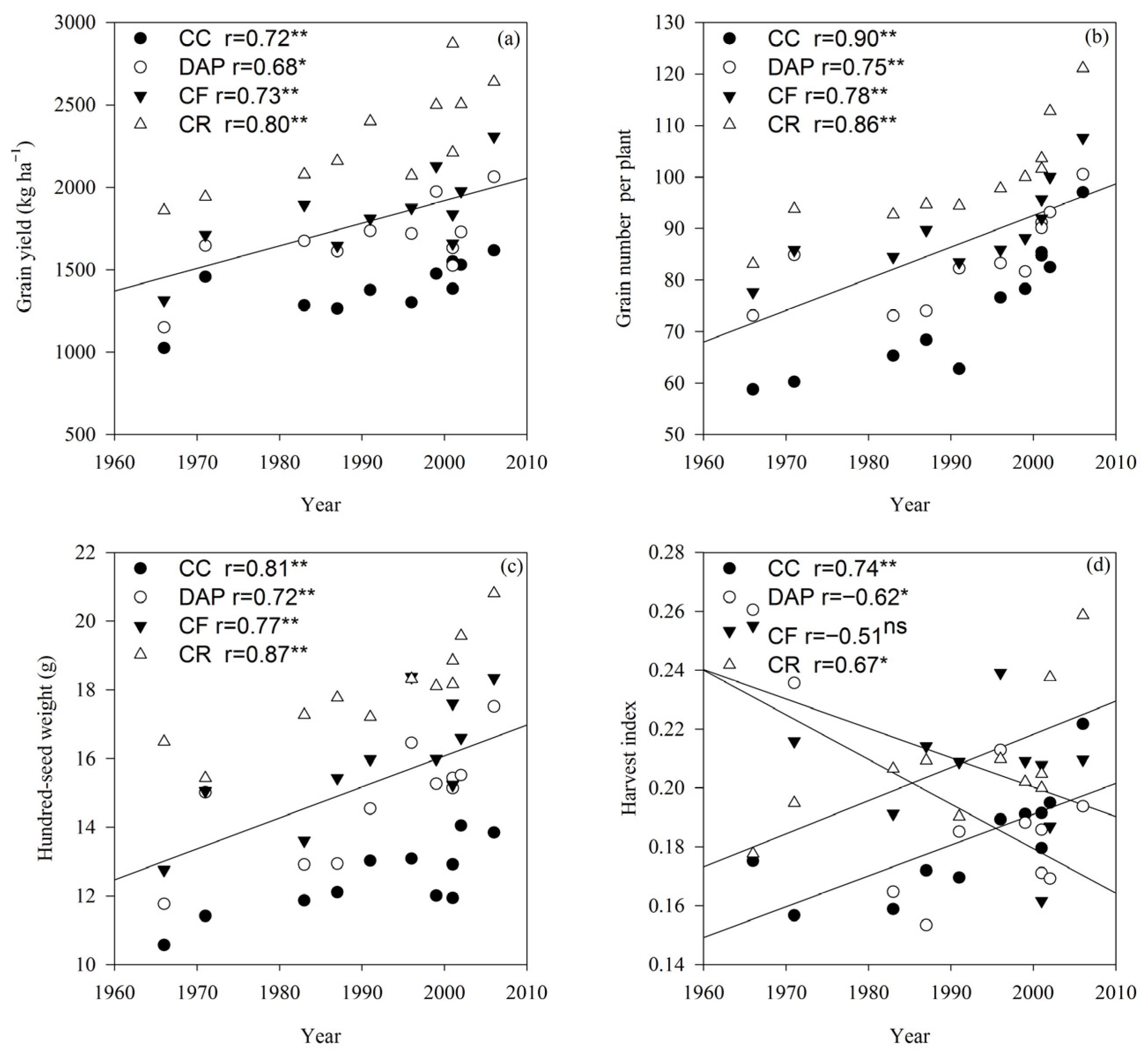
2.6. Grain Yield and Yield Components
3. Discussion
4. Materials and Methods
4.1. Experimental Design
4.2. Determination of Items and Methods
4.2.1. Dry Matter and Crop Growth Rate
4.2.2. Net Photosynthetic Rate and Radiation Use Efficiency
4.2.3. Grain Yield and Harvest Index
4.2.4. Nitrogen Content and Nitrogen Requirement per 100 g Grain
4.3. Statistical Analysis
5. Conclusions
Supplementary Materials
Author Contributions
Funding
Data Availability Statement
Conflicts of Interest
References
- Mark, M. Perspective: Soybeans Can Help Address the Caloric and Protein Needs of a Growing Global Population. Front. Nutr. 2022, 9, 909464. [Google Scholar] [CrossRef]
- Bai, W.; Zhang, S.Y.; Zhang, Z.; Feng, C.; Cai, Q.; Xiang, W.Y.; Zhao, F.Y.; Lou, Y.S.; Li, N.; Sun, Z.X. Current situation and innovation pathway of the farming system in Northeast China. J. China Agric. Univ. 2025, 30, 63–74. [Google Scholar]
- Yin, R.F.; Feng, X.J.; Zhang, Z. Changes of soybean planting area in northeast China and the Huang-Huai region in 2017 and its production outlook. Chin. J. Agric. Outlook 2017, 13, 42–47. [Google Scholar]
- Wu, X.; Zhao, Q.Y.; Zhao, J.; Xun, W.B.; Li, R.; Zhang, R.F.; Wu, H.S.; Shen, Q.R. Different continuous cropping spans significantly affect microbial community membership and structure in a vanilla-grown soil as revealed by deep pyrosequencing. Microb. Ecol. 2015, 70, 209. [Google Scholar] [CrossRef]
- Liu, X.B.; Li, Y.S.; Han, B.J.; Zhang, Q.Y.; Zhou, K.Q.; Zhang, X.Y.; Hashemi, M. Yield response of continuous soybean to one-season crop disturbance in a previous continuous soybean field in Northeast China. Field Crops Res. 2012, 138, 52–56. [Google Scholar] [CrossRef]
- Wang, T.J.; Gao, T.C.; Zhang, H.S.; Ge, M.; Lei, H.; Zhang, P.; Zhang, P.; Lu, C.; Liu, C.; Zhang, H.; et al. Review of Chinese atmospheric science research over the past 70 years: Atmospheric physics and atmospheric environment. Sci. China Earth Sci. 2019, 62, 1903–1945. [Google Scholar] [CrossRef]
- Fetisov, I.; Eizikovich, O.; Diouf, C.D.; Romanova, E.; Kezimana, P. Advancements in Molecular Breeding Techniques for Soybeans. Plants 2025, 15, 5. [Google Scholar] [CrossRef]
- Haidar, S.; Hooker, J.; Lackey, S.; Elian, M.; Puchacz, N.; Szczyglowski, K.; Marsolais, F.; Golshani, A.; Cober, E.R.; Samanfar, B. Harnessing Multi-Omics Strategies and Bioinformatics Innovations for Advancing Soybean Improvement: A Comprehensive Review. Plants 2024, 13, 2714. [Google Scholar] [CrossRef]
- Rogers, J.; Chen, P.Y.; Shi, A.N.; Zhang, B.; Scaboo, A.; Smith, S.F.; Zeng, A.L. Agronomic performance and genetic progress of selected historical soybean varieties in the southern USA. Plant Breed. 2015, 134, 85–93. [Google Scholar] [CrossRef]
- Shafiq, I.; Hussain, S.; Raza, M.A.; Iqbal, N.; Muhammad, A.A.; Ali, R.; FAN Yuan, F.; Maryam, M.; Muhammad, S.; Muhammad, A.; et al. Crop photosynthetic response to light quality and light intensity. J. Integr. Agric. 2021, 20, 4–23. [Google Scholar] [CrossRef]
- Paradiso, R.; Arena, C.; De Micco, V.; Giordano, M.; Aronne, G.; De Pascale, S. Changes in leaf anatomical traits enhanced photosynthetic activity of soybean grown in hydroponics with plant growth-promoting microorganisms. Front. Plant Sci. 2017, 8, 674. [Google Scholar] [CrossRef]
- Xie, F.T.; Zhang, H.J.; Wang, H.Y.; Ao, X.; Martin, S.K.S. Effect of preplant fertilizer on agronomic and physiological traits of soybean cultivars from different breeding programs. Agric. Sci. China 2010, 99, 1602–1611. [Google Scholar] [CrossRef]
- Tollenaar, M.; Aguilera, A. Radiation Use Efficiency of an Old and a New Maize Hybrid. Agron. J. 1992, 84, 536–541. [Google Scholar] [CrossRef]
- Uphoff, N.; Fasoula, V.; Iswandi, A.; Kassam, A.; Thakur, A.K. Improving the phenotypic expression of rice genotypes: Rethinking “intensification” for production systems and selection practices for rice breeding. Crop J. 2015, 3, 174–189. [Google Scholar] [CrossRef]
- Machado, S.; Petrie, S.; Rhinhart, K.; Qu, A. Long-term continuous cropping in the Pacific Northwest: Tillage and fertilizer effects on winter wheat, spring wheat, and spring barley production. Soil. Tillage Res. 2007, 94, 473–481. [Google Scholar] [CrossRef]
- Suriyagoda, L.D.; Dittert, K.; Lambers, H. Arsenic in rice soils and potential agronomic mitigation strategies to reduce arsenic bioavailability: A review. Pedosphere 2018, 28, 363–382. [Google Scholar] [CrossRef]
- Fu, Y.Q.; Zhong, X.H.; Zeng, J.H.; Liang, K.M.; Pan, J.F.; Xin, Y.F.; Liu, Y.Z.; Hu, X.Y.; Peng, B.L.; Chen, R.B.; et al. Improving grain yield, nitrogen use efficiency and radiation use efficiency by dense planting, with delayed and reduced nitrogen application, in double cropping rice in South China. J. Integr. Agric. 2021, 20, 565–580. [Google Scholar] [CrossRef]
- Cosentino, S.L.; Patanè, C.; Sanzone, E.; Testa, G.; Scordia, D. Leaf gas exchange, water status and radiation use efficiency of giant reed (Arundo donax L.) in a changing soil nitrogen fertilization and soil water availability in a semi-arid Mediterranean area. Eur. J. Agron. 2016, 72, 56–69. [Google Scholar] [CrossRef]
- Liu, W.B.; Wang, N.; Yao, X.D.; He, D.X.; Sun, H.X.; Ao, X.; Wang, H.Y.; Zhang, H.J.; Steven, S.M.; Xie, F.T.; et al. Continuous-cropping-tolerant soybean cultivars alleviate continuous cropping obstacles by improving structure and function of rhizosphere microorganisms. Front. Microbiol. 2023, 13, 1048747. [Google Scholar] [CrossRef]
- Fan, Y.L.; Liu, J.J.; Liu, Z.X.; Gu, H.D.; Hu, X.J.; Yu, Z.H.; Li, Y.S.; Jin, J.; Liu, X.B.; Wang, G.H. Soil amendments alleviate continuous cropping obstacles in soybean by enhancing microbial resistance. Field Crops Res. 2026, 337, 110261. [Google Scholar] [CrossRef]
- Xu, Y.F.; Xu, C.L.; Li, R.D.; Wu, Z.S.; Hua, J.X.; Yang, L.; Song, W.W.; Wu, C.X. Deep side fertilization improved soybean yield by optimizing leaf function and nitrogen accumulation. Acta Agron. Sin. 2024, 50, 2335–2346. [Google Scholar] [CrossRef]
- Cao, H.; Fan, Y.S.; Chen, Z.; Huang, X.Q. Effects of center pivot sprinkler fertigation on the yield of continuously cropped soybean. Open Life Sci. 2020, 15, 1049–1059. [Google Scholar] [CrossRef] [PubMed]
- Qin, X.L.; Feng, F.; Li, D.X.; Herbert, S.J.; Liao, Y.C.; Siddique, K.H.M. Changes in yield and agronomic traits of soybean cultivars released in China in the last 60 years. Crop Pasture Sci. 2017, 68, 973–984. [Google Scholar] [CrossRef]
- Fontana, M.B.; Novelli, L.E.; Sterren, M.A.; Uhrich, W.G.; Benintende, S.M.; Barbagelata, P.A. Long-term fertilizer application and cover crops improve soil quality and soybean yield in the Northeastern Pampas region of Argentina. Geoderma 2021, 385, 114902. [Google Scholar] [CrossRef]
- Yang, W.; Peng, S.B.; Laza, R.C.; Visperas, R.M.; Dionisio-Sese, M.L. Grain yield and yield attributes of new plant type and hybrid rice. Crop Sci. 2007, 47, 1393–1400. [Google Scholar] [CrossRef]
- Zhu, G.; Peng, S.; Huang, J.; Cui, K.; Nie, L.; Wang, F. Genetic improvement in rice yield and concomitant increase in radiation- and nitrogen-use efficiency in Middle Reaches of Yangtze River. Sci. Rep. 2016, 6, 21049. [Google Scholar] [CrossRef]
- Meng, T.Y.; Zhang, X.B.; Ge, J.L.; Chen, X.; Zhu, G.L.; Chen, Y.L.; Zhou, G.S.; Wei, H.H.; Dai, Q.G. Improvements in grain yield and nutrient utilization efficiency of japonica inbred rice released since the 1980s in eastern China. Field Crops Res. 2022, 277, 108427. [Google Scholar] [CrossRef]
- Khageswor, G.; Kohleth, C.; Subhash, C.; Kevin, F.S.; Clare, M.L.; Christie, K.M.H.; Joe, L.J. Modelling and prediction of dry matter yield of perennial ryegrass cultivars sown in multi-environment multi-harvest trials in south-eastern Australia. Field Crops Res. 2019, 243, 107614. [Google Scholar] [CrossRef]
- Yan, Z.; Wu, X.P.; He, X.H.; Zhang, H.M.; Gong, F.F.; Cai, D.X.; Zhu, P.; Gao, H.J. Basic soil productivity of spring maize in black soil under long-term fertilization based on DSSAT model. J. Integr. Agric. 2014, 13, 577–587. [Google Scholar] [CrossRef]
- Torri, S.I.; Correa, R.S.; Renella, G. Biosolid application to agricultural land—A contribution to global phosphorus recycle: A review. Pedosphere 2017, 27, 1–16. [Google Scholar] [CrossRef]
- Andrade, J.F.; Ermacora, M.; De Grazia, J.; Rodriguez, H.; Mc Grech, E.; Satorre, E.H. Soybean seed yield and protein response to crop rotation and fertilization strategies in previous seasons. Eur. J. Agron. 2023, 149, 126915. [Google Scholar] [CrossRef]
- Yan, Y.H.; Wan, Y.; Liu, W.G.; Wang, X.C.; Yong, T.W.; Yang, W.Y.; Zhao, L.L. Influence of seed treatment with uniconazole powder on soybean growth, photosynthesis, dry matter accumulation after flowering and yield in relay strip intercropping system. Plant Prod. Sci. 2015, 18, 295–301. [Google Scholar] [CrossRef]
- Li, D.Y.; Zhang, Z.A.; Zheng, D.J.; Jiang, L.Y.; Wang, Y.L. Comparison of net photosynthetic rate in leaves of soybean with different yield levels. J. Northeast Agric. Univ. (Engl. Ed.) 2012, 19, 14–19. [Google Scholar] [CrossRef]
- Zhao, J.; Yang, X.G.; Lin, X.M.; Sassenrath, G.F.; Dai, S.W.; Lv, S.; Chen, X.C.; Chen, F.J.; Mi, G.H. Radiation interception and use efficiency contributes to higher yields of newer maize hybrids in Northeast China. Agron. J. 2015, 107, 1473–1480. [Google Scholar] [CrossRef]
- Li, D.Y.; Xu, K.Z.; Zhang, Z.A.; Zhao, Y.J.; Lu, J.M. Comparison of photosynthetic characteristics in the leaves of modern and old soybean cultivars. Chin. J. Oil Crops 2007, 29, 281–285. [Google Scholar]
- Nur, A.I.; Martini, M.Y.; Surdiana, S.; Mohd, F.R.; Zulkefly, S. Radiation Dynamics on Crop Productivity in Different Cropping Systems. Int. J. Agron. 2021, 2021, 4570616. [Google Scholar] [CrossRef]
- Kakad, R.E.; Sapkal, D.R.; Thakare, G.K.; Iratkar, A.G. Study of morphological and genetical variabilities for improving forage production in oat. Int. J. Plant Sci. (Muzaffarnagar) 2017, 12, 1–14. [Google Scholar] [CrossRef]
- Qi, D.L.; Hu, T.T.; Xue, S. Effects of nitrogen application rates and irrigation regimes on grain yield and water use efficiency of maize under alternate partial root-zone irrigation. J. Integr. Agric. 2020, 19, 2792–2806. [Google Scholar] [CrossRef]
- Lucas, W.J.; Groover, A.; Lichtenberger, R.; Furuta, K.; Yadav, S.R.; Helariutta, Y.; He, X.Q.; Fukuda, H.; Kang, J.l.; Brady, S.M.; et al. The plant vascular system: Evolution, development and functions. J. Integr. Plant Biol. 2013, 55, 294–388. [Google Scholar] [CrossRef]
- DeBruin, J.L.; Schussler, J.R.; Mo, H.; Cooper, M. Grain yield and nitrogen accumulation in maize hybrids released during 1934 to 2013 in the US Midwest. Crop Sci. 2017, 57, 1431–1446. [Google Scholar] [CrossRef]
- Bingham, I.J.; Karley, A.J.; White, P.J.; Thomas, W.T.B.; Russell, J.R. Analysis of improvements in nitrogen use efficiency associated with 75 years of spring barley breeding. Eur. J. Agron. 2012, 42, 49–58. [Google Scholar] [CrossRef]
- Sadras, V.O.; Lawson, C. Nitrogen and water-use efficiency of Australian wheat varieties released between 1958 and 2007. Eur. J. Agron. 2013, 46, 34–41. [Google Scholar] [CrossRef]
- Yong, T.W.; Chen, P.; Dong, Q.; Du, Q.; Yang, F.; Wang, X.C.; Liu, W.G.; Yang, W.Y. Optimized nitrogen application methods to improve nitrogen use efficiency and nodule nitrogen fixation in a maize-soybean relay intercropping system. J. Integr. Agric. 2018, 17, 664–676. [Google Scholar] [CrossRef]
- Rafique, R.; Ahmad, T.; Ahmed, M.; Azam Khan, M. Exploring key physiological attributes of grapevine cultivars under the influence of seasonal environmental variability. OENO One 2023, 57, 381–397. [Google Scholar] [CrossRef]
- Rafique, R.; Ahmad, T.; Khan, M.A.; Ahmed, M.; Atak, A. Pheno-physiological responses of grapevine cultivars vary under the influence of growing season temperature—A study from the Pothwar region of Pakistan. Acta Hortic. 2024, 1385, 197–204. [Google Scholar] [CrossRef]
- Saitoh, T.M.; Nagai, S.; Noda, H.M.; Muraoka, H.; Nasahara, K.N. Examination of the extinction coefficient in the Beer–Lambert law for an accurate estimation of the forest canopy leaf area index. For. Sci. Technol. 2012, 8, 67–76. [Google Scholar] [CrossRef]
- Bo, Y.W.; Zhang, H.J.; Zhu, Y.L.; Zheng, X.H.; Yang, M.; Li, C.F.; Zhang, R.H. Responses of canopy radiation and nitrogen distribution, leaf senescence and radiation use efficiency on increased planting density of different variety types of maize. Sci. Agric. Sin. 2020, 53, 3059–3070. [Google Scholar]
- Xu, J.; Zhou, S.; Liu, L.Y.; He, X.N.; Nan, Z.W.; Meng, W.W.; Wang, N.; Han, W.; Wang, X.Q.; Liu, K.C. Effects of harvest and sowing dates on annual yield and resource utilization efficiency of wheat and maize. Chin. J. Shandong Agric. Sci. 2020, 52, 100–107. [Google Scholar]








| Trait | Treatment | Cultivar | Treatment × Cultivar |
|---|---|---|---|
| Leaf area index in V6 growth stage | ** | ** | ** |
| Leaf area index in R2 growth stage | ** | ** | ** |
| Leaf area index in R6 growth stage | ** | ** | ** |
| Net photosynthetic rate in V6 growth stage | ** | ns | ns |
| Net photosynthetic rate in R2 growth stage | * | ns | ns |
| Net photosynthetic rate in R6 growth stage | ** | ** | ns |
| Radiation use efficiency in V6 growth stage | ** | ** | ns |
| Radiation use efficiency in R2 growth stage | ** | ** | ns |
| Radiation use efficiency in R6 growth stage | ** | ** | ns |
| Plant dry matter in V6 growth stage | ** | ** | ns |
| Plant dry matter in R2 growth stage | ** | ** | ns |
| Plant dry matter in R6 growth stage | ** | ** | ns |
| Plant dry matter in R8 growth stage | ** | ** | ns |
| Crop growth rate in V6 growth stage | ** | ** | ns |
| Crop growth rate in R2 growth stage | ** | ** | ns |
| Crop growth rate in R6 growth stage | ** | ** | ns |
| Plant nitrogen content | ** | ** | ns |
| Vegetative organ nitrogen content | ** | ** | ns |
| Grain nitrogen content | ** | ** | * |
| Nitrogen requirement per 100 g grain | ** | ** | ns |
| Grain yield | ** | ** | ** |
| Grain number | ** | ** | ** |
| 100-grain weight | ** | ** | ns |
| Harvest index | ns | ns | ns |
| Cultivar | Year of Release | Institute of Seed Origin |
|---|---|---|
| Amsoy | 1966 | The Ohio State University |
| Williams 82 | 1971 | The Ohio State University |
| Liaodou 3 | 1983 | Liaoning Academy of Agricultural Sciences |
| Resnik | 1987 | The Ohio State University |
| Liaodou 10 | 1991 | Liaoning Academy of Agricultural Sciences |
| Liaodou 11 | 1996 | Liaoning Academy of Agricultural Sciences |
| Kottman | 1999 | The Ohio State University |
| Liaodou 12 | 2001 | Liaoning Academy of Agricultural Sciences |
| Tiefeng 31 | 2001 | Tieling Academy of Agricultural Sciences |
| Dilworth | 2002 | The Ohio State University |
| Dennison | 2006 | The Ohio State University |
Disclaimer/Publisher’s Note: The statements, opinions and data contained in all publications are solely those of the individual author(s) and contributor(s) and not of MDPI and/or the editor(s). MDPI and/or the editor(s) disclaim responsibility for any injury to people or property resulting from any ideas, methods, instructions or products referred to in the content. |
© 2026 by the authors. Licensee MDPI, Basel, Switzerland. This article is an open access article distributed under the terms and conditions of the Creative Commons Attribution (CC BY) license.
Share and Cite
Liu, W.; Rao, D.; Xie, F.; Wang, H.; Yao, X. Improved Cultivars and the Application of Combined Fertilizer Improve the Grain Yield and the Nitrogen Uptake and Utilization in Continuously Cropped Soybean (Glycine max (L.) Merr.). Plants 2026, 15, 845. https://doi.org/10.3390/plants15050845
Liu W, Rao D, Xie F, Wang H, Yao X. Improved Cultivars and the Application of Combined Fertilizer Improve the Grain Yield and the Nitrogen Uptake and Utilization in Continuously Cropped Soybean (Glycine max (L.) Merr.). Plants. 2026; 15(5):845. https://doi.org/10.3390/plants15050845
Chicago/Turabian StyleLiu, Wenbo, Demin Rao, Futi Xie, Haiying Wang, and Xingdong Yao. 2026. "Improved Cultivars and the Application of Combined Fertilizer Improve the Grain Yield and the Nitrogen Uptake and Utilization in Continuously Cropped Soybean (Glycine max (L.) Merr.)" Plants 15, no. 5: 845. https://doi.org/10.3390/plants15050845
APA StyleLiu, W., Rao, D., Xie, F., Wang, H., & Yao, X. (2026). Improved Cultivars and the Application of Combined Fertilizer Improve the Grain Yield and the Nitrogen Uptake and Utilization in Continuously Cropped Soybean (Glycine max (L.) Merr.). Plants, 15(5), 845. https://doi.org/10.3390/plants15050845

