Methylome and Transcriptome Analysis Reveals Differences in Callus Development and Plantlet Regeneration Capacity Between Two Eucalyptus Species
Abstract
1. Introduction
2. Results
2.1. Callus Induction and Incubation
2.2. Physiological Differences Between the Two Eucalyptus Species Under Study
2.3. Global DNA Methylation in Two Eucalyptus Species During Callus Maturation
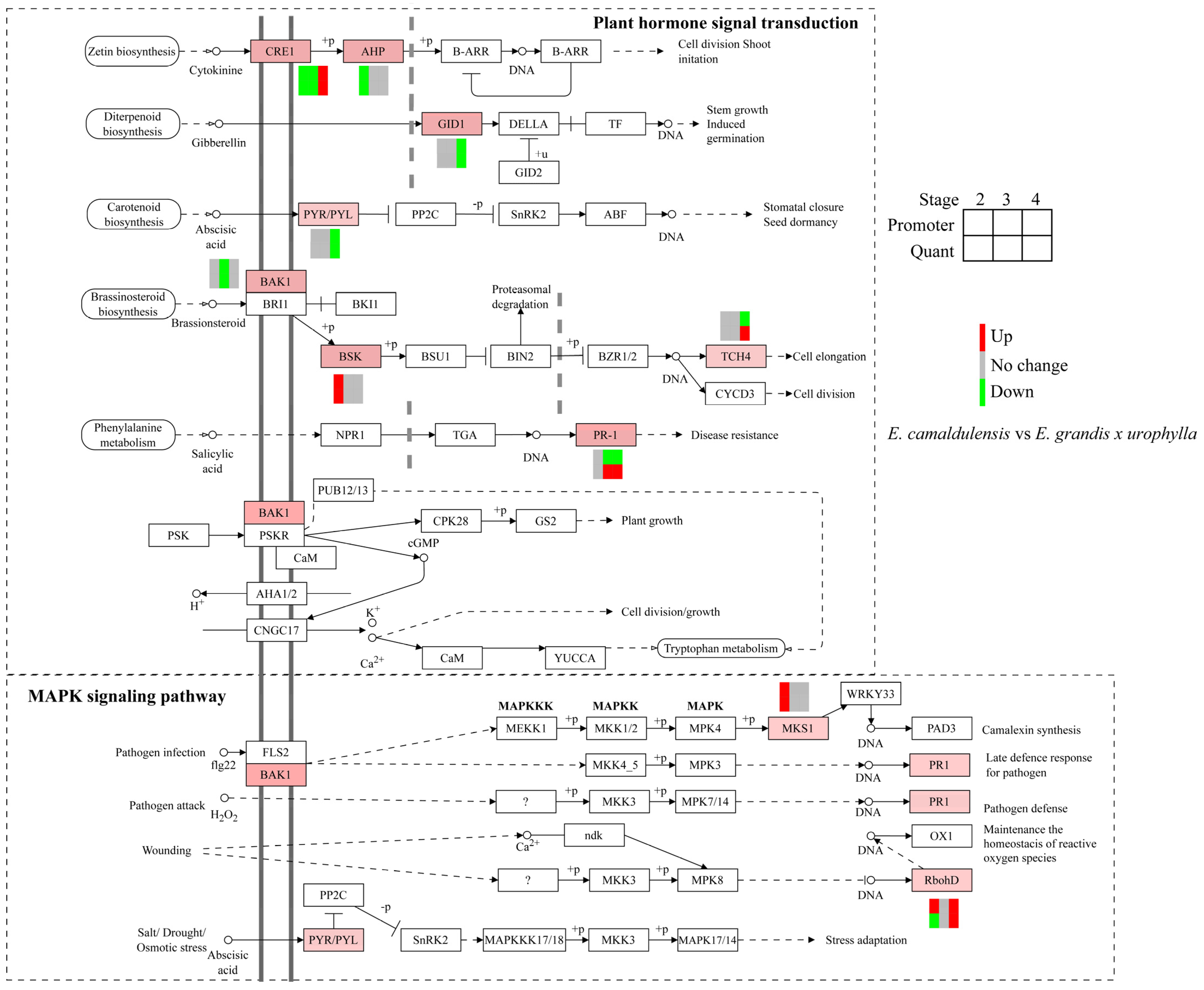
2.4. Combined Analysis of Methylome and Transcriptome
3. Discussion
4. Materials and Methods
4.1. Plant Material and Culture Conditions
4.2. Morphological and Histological Observations
4.3. Determination of Endogenous Hormone Contents
4.4. High-Throughput DNA Methylation Sequencing
4.5. Integrated Analysis of WGBS and RNA-Seq Data
4.6. Functional Annotation Enrichment Analysis
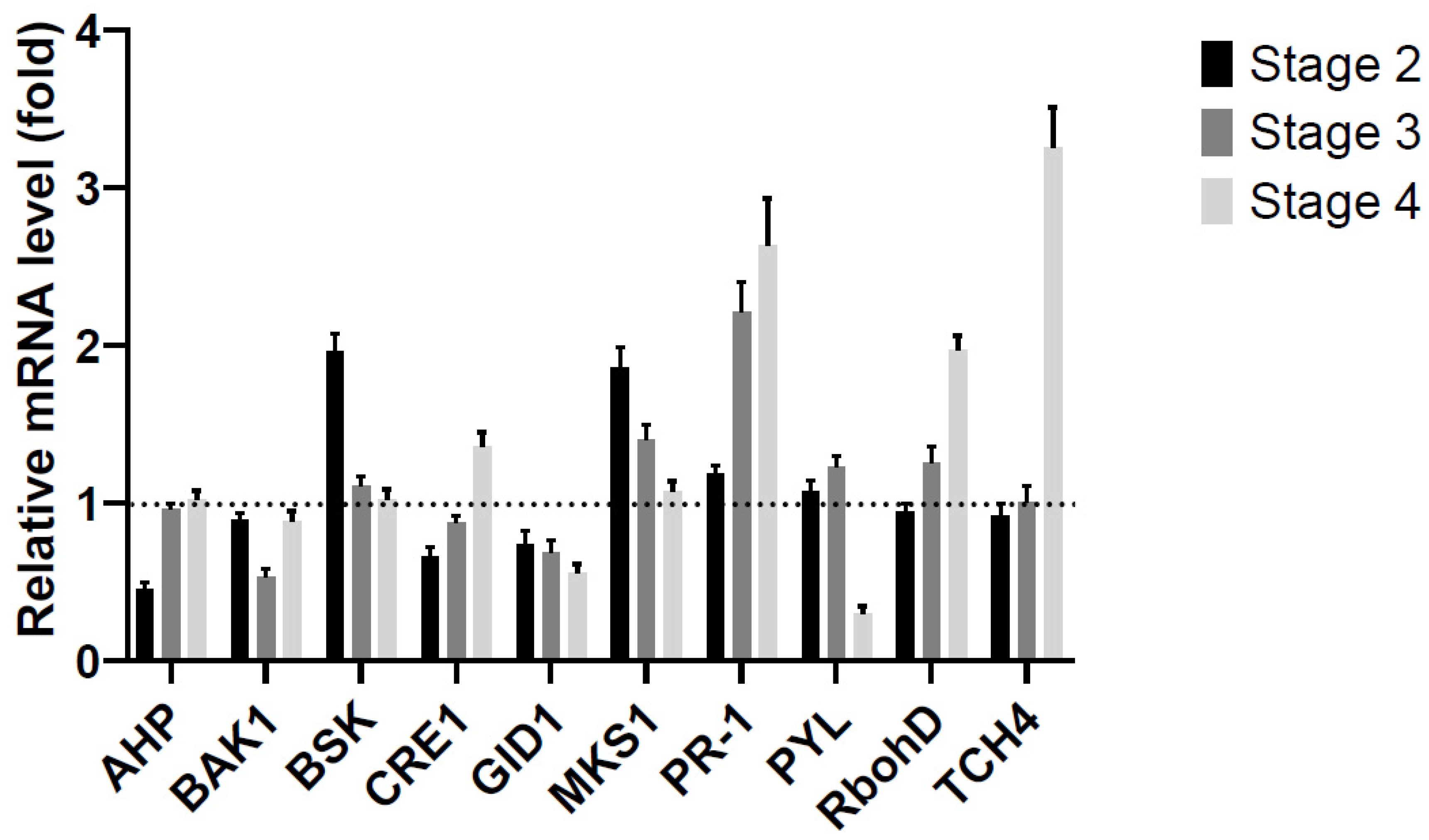
4.7. qRT-PCR Analysis
Supplementary Materials
Author Contributions
Funding
Data Availability Statement
Conflicts of Interest
Abbreviations
| KEGG | Kyoto Encyclopedia of Genes and Genomes |
| MAPK | Mitogen-Activated Protein Kinase |
| SE | Somatic Embryogenesis |
| MET1 | Methyltransferase 1 |
| CMT3 | Chromomethylase 3 |
| DRM1/2 | Domain Rearranged Methyltransferase 1/2 |
| DMGs | Differentially Methylated Genes |
| SRS | Shoot Regeneration Stage |
| DMR | Differentially Methylated Regions |
| DEGs | Differentially Expressed Genes |
| CIM | Callus Induction Medium |
| WGBS | Whole-Genome Bisulfite Sequencing |
References
- Zhang, Y.; Li, J.; Li, C.; Chen, S.; Tang, Q.; Xiao, Y.; Zhong, L.; Chen, Y.; Chen, B. Gene expression programs during callus development in tissue culture of two Eucalyptus species. BMC Plant Biol. 2022, 22, 1. [Google Scholar] [CrossRef] [PubMed]
- Corredoira, E.; Ballester, A.; Ibarra, M.; Vieitez, A.M. Induction of somatic. embryogenesis in explants of shoot cultures established from adult Eucalyptus globulus and E. saligna × E. maidenii trees. Tree Physiol. 2015, 35, 678–690. [Google Scholar] [CrossRef] [PubMed]
- Pappas, M.d.C.R.; Pappas, G.J.; Grattapaglia, D. Genome-wide discovery and. validation of Eucalyptus small RNAs reveals variable patterns of conservation and diversity across species of Myrtaceae. BMC Genom. 2015, 16, 1113. [Google Scholar] [CrossRef] [PubMed]
- Eldridge, K.; Davidson, C.; Harwood, C.; Van, W.G. Eucalypt Domestication and Breeding; Oxford University Press: New York, NY, USA, 1994. [Google Scholar]
- Girijashankar, V. In vitro regeneration of Eucalyptus camaldulensis. Physiol. Mol. Biol. Plants 2012, 18, 79–87. [Google Scholar] [CrossRef][Green Version]
- Xu, J.; Shi, M. Assessing the potential of Eucalyptus plantation to supply timber for greener development in China. In Sustainable Resource Development in the 21st Century: Essays in Memory of Peter Berck; Zilberman, D., Perloff, J.M., Berck, C.S., Eds.; Springer International Publishing: Cham, Switzerland, 2023; pp. 25–36. [Google Scholar]
- Durand-Cresswell, R.; Boulay, M.; Franclet, A. Vegetative propagation of Eucalyptus. In Tissue Culture in Forestry; Bonga, J.M., Durzan, D.J., Eds.; Springer: Dordrecht, The Netherlands, 1982; pp. 150–181. [Google Scholar]
- Lelu-Walter, M.-A.; Thompson, D.; Harvengt, L.; Sanchez, L.; Toribio, M.; Pâques, L.E. Somatic embryogenesis in forestry with a focus on Europe: State-of-the-art, benefits, challenges and future direction. Tree Genet. Genomes 2013, 9, 883–899. [Google Scholar] [CrossRef]
- Ikeuchi, M.; Sugimoto, K.; Iwase, A. Plant callus: Mechanisms of induction and. repression. Plant Cell 2013, 25, 3159–3173. [Google Scholar] [CrossRef]
- Do, P.T.; Lee, H.; Mookkan, M.; Folk, W.R.; Zhang, Z.J. Rapid and efficient. Agrobacterium-mediated transformation of sorghum (Sorghum bicolor) employing standard binary vectors and bar gene as a selectable marker. Plant Cell Rep. 2016, 35, 2065–2076. [Google Scholar] [CrossRef]
- Zhang, X.; Wang, Y.; Yan, Y.; Peng, H.; Long, Y.; Zhang, Y.; Jiang, Z.; Liu, P.; Zou, C.; Peng, H.; et al. Transcriptome sequencing analysis of maize embryonic callus during early redifferentiation. BMC Genom. 2019, 20, 159. [Google Scholar] [CrossRef]
- Shang, B.; Xu, C.; Zhang, X.; Cao, H.; Xin, W.; Hu, Y. Very-long-chain fatty acids restrict regeneration capacity by confining pericycle competence for callus formation in Arabidopsis. Proc. Natl. Acad. Sci. USA 2016, 113, 5101–5106. [Google Scholar] [CrossRef]
- Santo, S.D.; De Paoli, E.; Pagliarani, C.; Amato, A.; Celii, M.; Boccacci, P.; Zenoni, S.; Gambino, G.; Perrone, I. Stress responses and epigenomic instability mark the loss of somatic embryogenesis competence in grapevine. Plant Physiol. 2022, 188, 490–508. [Google Scholar] [CrossRef]
- Shim, S.; Gil Lee, H.; Seo, P.J. MET1-Dependent DNA Methylation Represses Light Signaling and Influences Plant Regeneration in Arabidopsis. Mol. Cells 2021, 44, 746–757. [Google Scholar] [CrossRef]
- Lin, G.; He, C.; Zheng, J.; Koo, D.-H.; Le, H.; Zheng, H.; Tamang, T.M.; Lin, J.; Liu, Y.; Zhao, M.; et al. Chromosome-level genome assembly of a regenerable maize inbred line A188. Genome Biol. 2021, 22, 175. [Google Scholar] [CrossRef]
- Shemer, O.; Landau, U.; Candela, H.; Zemach, A.; Williams, L.E. Competency. for shoot regeneration from Arabidopsis root explants is regulated by DNA methylation. Plant Sci. 2015, 238, 251–261. [Google Scholar] [CrossRef]
- Kim, S.; Park, J.-S.; Lee, J.; Lee, K.K.; Park, O.-S.; Choi, H.-S.; Seo, P.J.; Cho, H.-T.; Frost, J.M.; Fischer, R.L.; et al. The DME demethylase regulates sporophyte gene expression, cell proliferation, differentiation, and meristem resurrection. Proc. Natl. Acad. Sci. USA 2021, 118, e2026806118. [Google Scholar] [CrossRef] [PubMed]
- Liu, G.; Luo, J.; Lu, W.; Lin, Y.; Zhang, L.; Pan, J.; Zhai, J.; Huang, A. From genome to gene expression: The genomic landscape of a hybrid species of Eucalyptus urophylla × Eucalyptus grandis and its divergence from parental species hybrid. BMC Plant Biol. 2025, 25, 1458. [Google Scholar] [CrossRef] [PubMed]
- Yang, H.; Liao, H.; Xu, F.; Zhang, W.; Xu, B.; Chen, X.; Zhu, B.; Pan, W.; Yang, X. Integrated transcriptomic and gibberellin analyses reveal genes related to branch development in Eucalyptus urophylla. Plant Physiol. Biochem. 2022, 185, 69–79. [Google Scholar] [CrossRef] [PubMed]
- Lu, H.; Xu, J.; Li, G.; Zhong, T.; Chen, D.; Lv, J. Genome-wide identification and expression analysis of GRAS gene family in Eucalyptus grandis. BMC Plant Biol. 2024, 24, 573. [Google Scholar] [CrossRef]
- Lötter, A.; Bruna, T.; Duong, T.A.; Barry, K.; Lipzen, A.; Daum, C.; Yoshinaga, Y.; Grimwood, J.; Jenkins, J.W.; Talag, J.; et al. A haplotype-resolved reference genome for Eucalyptus grandis. G3 Genes|Genomes|Genet. 2025, 15, jkaf112. [Google Scholar] [CrossRef]
- Kareem, A.; Durgaprasad, K.; Sugimoto, K.; Du, Y.; Pulianmackal, A.J.; Trivedi, Z.B.; Abhayadev, P.V.; Pinon, V.; Meyerowitz, E.M.; Scheres, B.; et al. PLETHORA Genes Control Regeneration by a Two-Step Mechanism. Curr. Biol. 2015, 25, 1017–1030. [Google Scholar] [CrossRef]
- Ikeuchi, M.; Favero, D.S.; Sakamoto, Y.; Iwase, A.; Coleman, D.; Rymen, B.; Sugimoto, K. Molecular Mechanisms of Plant Regeneration. Annu. Rev. Plant Biol. 2019, 70, 377–406. [Google Scholar] [CrossRef]
- Gao, Y.; Ran, L.; Kong, Y.; Jiang, J.; Sokolov, V.; Wang, Y. Assessment of DNA. methylation. changes in tissue culture of Brassica napus. Genetika 2014, 50, 1338–1344. [Google Scholar] [CrossRef]
- Zakrzewski, F.; Schmidt, M.; Van Lijsebettens, M.; Schmidt, T. DNA methylation. of. retrotransposons, DNA transposons and genes in sugar beet (Beta vulgaris L.). Plant J. 2017, 90, 1156–1175. [Google Scholar] [CrossRef] [PubMed]
- Stroud, H.; Ding, B.; Simon, S.A.; Feng, S.; Bellizzi, M.; Pellegrini, M.; Wang, G.-L.; Meyers, B.C.; E Jacobsen, S. Plants regenerated from tissue culture contain stable epigenome changes in rice. eLife 2013, 2, e00354. [Google Scholar] [CrossRef] [PubMed]
- Zheng, B.; Liu, J.; Gao, A.; Chen, X.; Gao, L.; Liao, L.; Luo, B.; Ogutu, C.O.; Han, Y. Epigenetic reprogramming of H3K27me3 and DNA methylation during leaf-to-callus transition in peach. Hortic. Res. 2022, 9, uhac132. [Google Scholar] [CrossRef] [PubMed]
- Shibukawa, T.; Yazawa, K.; Kikuchi, A.; Kamada, H. Possible involvement of DNA methylation on expression regulation of carrot LEC1 gene in its 5’-upstream region. Gene 2009, 437, 22–31. [Google Scholar] [CrossRef]
- Yan, A.; Borg, M.; Berger, F.; Chen, Z. The atypical histone variant H3.15 promotes callus formation in Arabidopsis thaliana. Development 2020, 147, dev.184895. [Google Scholar] [CrossRef]
- Montalbán, I.A.; Novák, O.; Rolčik, J.; Strnad, M.; Moncaleán, P. Endogenous. cytokinin and. auxin profiles during in vitro organogenesis from vegetative buds of Pinus radiata adult trees. Physiol. Plant. 2013, 148, 214–231. [Google Scholar] [CrossRef]
- Mostafa, H.H.A.; Wang, H.; Song, J.; Li, X. Effects of genotypes and explants on garlic callus production and endogenous hormones. Sci. Rep. 2020, 10, 4867. [Google Scholar] [CrossRef]
- Ma, J.; Li, Q.; Zhang, L.; Cai, S.; Liu, Y.; Lin, J.; Huang, R.; Yu, Y.; Wen, M.; Xu, T. High auxin stimulates callus through SDG8-mediated histone H3K36 methylation in Arabidopsis. J. Integr. Plant Biol. 2022, 64, 2425–2437. [Google Scholar] [CrossRef]
- Wittmer, J.; Pijnenburg, M.; Wijsman, T.; Pelzer, S.; Adema, K.; Kerstens, M.; Kutevska, A.-N.; Fierens, J.; Hofhuis, H.; Sevenier, R.; et al. Rational design of induced regeneration via somatic embryogenesis in the absence of exogenous phytohormones. Plant Cell 2025, 37, koaf252. [Google Scholar] [CrossRef]
- Pérez-Jiménez, M.; Cantero-Navarro, E.; Pérez-Alfocea, F.; Le-Disquet, I.; Guivarc’h, A.; Cos-Terrer, J. Relationship between endogenous hormonal content and somatic organogenesis in callus of peach (Prunus persica L. Batsch) cultivars and Prunus persica × Prunus dulcis rootstocks. J. Plant Physiol. 2014, 171, 619–624. [Google Scholar] [CrossRef] [PubMed]
- Centeno, M.L.; Rodríguez, A.; Feito, I.; Fernández, B. Relationship between. endogenous. auxin and cytokinins levels and morphogenic responses in Actinidadelicios a tissue cultures. Plant Cell Rep. 1996, 16, 58–62. [Google Scholar] [CrossRef] [PubMed]
- Birkenbihl, R.P.; Liu, S.; Somssich, I.E. Transcriptional events defining plant immune responses. Curr. Opin. Plant Biol. 2017, 38, 1–9. [Google Scholar] [CrossRef] [PubMed]
- Yang, E.; Zheng, M.; Zou, X.; Huang, X.; Yang, H.; Chen, X.; Zhang, J. Global Transcriptomic Analysis Reveals Differentially Expressed Genes Involved in Embryogenic Callus Induction in Drumstick (Moringa oleifera Lam.). Int. J. Mol. Sci. 2021, 22, 12130. [Google Scholar] [CrossRef]
- Chen, Y.; Zhang, M.; Jin, X.; Tao, H.; Wang, Y.; Peng, B.; Fu, C.; Yu, L. Transcriptional reprogramming strategies and miRNA-mediated regulation networks of Taxus media induced into callus cells from tissues. BMC Genom. 2020, 21, 168. [Google Scholar] [CrossRef]
- Chavarriaga-Aguirre, P.; Brand, A.; Medina, A.; Prías, M.; Escobar, R.; Martinez, J.; Díaz, P.; López, C.; Roca, W.M.; Tohme, J. The potential of using biotechnology to improve cassava: A review. Vitr. Cell. Dev. Biol.—Plant 2016, 52, 461–478. [Google Scholar] [CrossRef]
- Li, Q.; Zhang, S.; Wang, J. Transcriptome analysis of callus from Picea balfouriana. BMC Genom. 2014, 15, 553. [Google Scholar] [CrossRef]
- Qin, Z.; Li, J.; Zhang, Y.; Xiao, Y.; Zhang, X.; Zhong, L.; Liu, H.; Chen, B. Genome-wide identification of microRNAs involved in the somatic embryogenesis of Eucalyptus. G3 Genes|Genomes|Genet. 2021, 11, jkab070. [Google Scholar] [CrossRef]
- Chen, B.; Li, C.; Chen, Y.; Chen, S.; Xiao, Y.; Wu, Q.; Zhong, L.; Huang, K. Proteome profiles during early stage of somatic embryogenesis of two Eucalyptus species. BMC Plant Biol. 2022, 22, 558. [Google Scholar] [CrossRef]
- Chen, S.; Guo, D.; Deng, Z.; Tang, Q.; Li, C.; Xiao, Y.; Zhong, L.; Chen, B. Integration. analysis of transcriptome and proteome profiles brings new insights of somatic embryogenesis of two eucalyptus species. BMC Plant Biol. 2024, 24, 561. [Google Scholar] [CrossRef]
- Kumaravel, M.; Uma, S.; Backiyarani, S.; Saraswathi, M.S.; Vaganan, M.M.; Muthusamy, M.; Sajith, K.P. Differential proteome analysis during early somatic embryogenesis in Musa spp. AAA cv. Grand Naine. Plant Cell Rep. 2017, 36, 163–178. [Google Scholar] [CrossRef] [PubMed]
- Zhao, X.; Song, J.; Zeng, Q.; Ma, Y.; Fang, H.; Yang, L.; Deng, B.; Liu, J.; Fang, J.; Zuo, L.; et al. Auxin and cytokinin mediated regulation involved in vitro organogenesis of papaya. J. Plant Physiol. 2021, 260, 153405. [Google Scholar] [CrossRef] [PubMed]
- Gu, H.; Ding, W.; Shi, T.; Ouyang, Q.; Yang, X.; Yue, Y.; Wang, L. Integrated. transcriptome. and endogenous hormone analysis provides new insights into callus proliferation in Osmanthus fragrans. Sci. Rep. 2022, 12, 760. [Google Scholar] [CrossRef] [PubMed]
- Zhang, H.; Chen, J.; Zhang, F.; Song, Y. Transcriptome analysis of callus from melon. Gene 2019, 684, 131–138. [Google Scholar] [CrossRef]
- Yue, J.; Dong, Y.; Liu, S.; Jia, Y.; Li, C.; Wang, Z.; Gong, S. Integrated Proteomic and Metabolomic Analyses Provide Insights Into Acquisition of Embryogenic Ability in Agapanthus praecox. Front. Plant Sci. 2022, 13, 858065. [Google Scholar] [CrossRef]
- MAPK Group; Ichimura, K.; Shinozaki, K.; Tena, G.; Sheen, J.; Henry, Y.; Champion, A.; Kreis, M.; Zhang, S.; Hirt, H.; et al. Mitogen-activated protein kinase cascades in plants: A new nomenclature. Trends Plant Sci. 2002, 7, 301–308. [Google Scholar] [CrossRef]
- Wang, P.; Du, Y.; Li, Y.; Ren, D.; Song, C.-P. Hydrogen peroxide-mediated activation of MAP kinase 6 modulates nitric oxide biosynthesis and signal transduction in Arabidopsis. Plant Cell 2010, 22, 2981–2998. [Google Scholar] [CrossRef]
- Gomez-Osuna, A.; Calatrava, V.; Galvan, A.; Fernandez, E.; Llamas, A. Identification of the MAPK Cascade and its Relationship with Nitrogen Metabolism in the Green Alga Chlamydomonas reinhardtii. Int. J. Mol. Sci. 2020, 21, 3417. [Google Scholar] [CrossRef]
- Matsuoka, D.; Soga, K.; Yasufuku, T.; Nanmori, T. Control of plant. growth and. development by overexpressing MAP3K17, an ABA-inducible MAP3K, in Arabidopsis. Plant Biotechnol. 2018, 35, 171–176. [Google Scholar] [CrossRef]
- Zhang, L.; Ma, C.; Kang, X.; Pei, Z.-Q.; Bai, X.; Wang, J.; Zheng, S.; Zhang, T.-G. Identification and expression analysis of MAPK cascade gene family in foxtail millet (Setaria italica). Plant Signal. Behav. 2023, 18, 2246228. [Google Scholar] [CrossRef]
- Tian, X.; He, M.; Mei, E.; Zhang, B.; Tang, J.; Xu, M.; Liu, J.; Li, X.; Wang, Z.; Tang, W.; et al. WRKY53 integrates classic brassinosteroid signaling and the mitogen-activated protein kinase pathway to regulate rice architecture and seed size. Plant Cell 2021, 33, 2753–2775. [Google Scholar] [CrossRef] [PubMed]
- Králová, M.; Kubalová, I.; Hajný, J.; Kubiasová, K.; Vagaská, K.; Ge, Z.; Gallei, M.; Semerádová, H.; Kuchařová, A.; Hönig, M.; et al. A decoy receptor derived from alternative splicing fine-tunes cytokinin signaling in Arabidopsis. Mol. Plant 2024, 17, 1850–1865. [Google Scholar] [CrossRef] [PubMed]
- Inoue, T.; Higuchi, M.; Hashimoto, Y.; Seki, M.; Kobayashi, M.; Kato, T.; Tabata, S.; Shinozaki, K.; Kakimoto, T. Identification of CRE1 as a cytokinin receptor from Arabidopsis. Nature 2001, 409, 1060–1063. [Google Scholar] [CrossRef] [PubMed]
- Riefler, M.; Novak, O.; Strnad, M.; Schmülling, T. Arabidopsis cytokinin receptor mutants reveal functions in shoot growth, leaf senescence, seed size, germination, root development, and cytokinin metabolism. Plant Cell 2006, 18, 40–54. [Google Scholar] [CrossRef]
- Singh, P.; Mohanta, T.K.; Sinha, A.K. Unraveling the intricate nexus of molecular mechanisms governing rice root development: OsMPK3/6 and auxin-cytokinin interplay. PLoS ONE 2015, 10, e0123620. [Google Scholar] [CrossRef]
- Meng, X.; Zhou, J.; Tang, J.; Li, B.; de Oliveira, M.V.; Chai, J.; He, P.; Shan, L. Ligand-Induced Receptor-like Kinase Complex Regulates Floral Organ Abscission in Arabidopsis. Cell Rep. 2016, 14, 1330–1338. [Google Scholar] [CrossRef]
- Neu, A.; Eilbert, E.; Asseck, L.Y.; Slane, D.; Henschen, A.; Wang, K.; Bürgel, P.; Hildebrandt, M.; Musielak, T.J.; Kolb, M.; et al. Constitutive signaling activity of a receptor-associated protein links fertilization with embryonic patterning in Arabidopsis thaliana. Proc. Natl. Acad. Sci. USA 2019, 116, 5795–5804. [Google Scholar] [CrossRef]
- Lozano-Elena, F.; Planas-Riverola, A.; Vilarrasa-Blasi, J.; Schwab, R.; Caño-Delgado, A.I. Paracrine brassinosteroid signaling at the stem cell niche controls cellular regeneration. J. Cell Sci. 2018, 131, jcs.204065. [Google Scholar] [CrossRef]
- Zhang, C.; He, M.; Jiang, Z.; Liu, L.; Pu, J.; Zhang, W.; Wang, S.; Xu, F. The Xyloglucan Endotransglucosylase/Hydrolase Gene XTH22/TCH4 Regulates Plant Growth by Disrupting the Cell Wall Homeostasis in Arabidopsis under Boron Deficiency. Int. J. Mol. Sci. 2022, 23, 1250. [Google Scholar] [CrossRef]
- Zhang, G.; Zhai, N.; Zhu, M.; Zheng, K.; Sang, Y.; Li, X.; Xu, L. Cell wall remodeling during plant regeneration. J. Integr. Plant Biol. 2025, 67, 1060–1076. [Google Scholar] [CrossRef]
- Zhang, Y.; Sun, Q.; Zhang, Q.; Tang, W.; Chen, X. Combined analysis of the transcriptome and metabolome revealed that selenium nanoparticles mediate root development in cucumber (Cucumis sativus L.). Plant Physiol. Biochem. 2025, 226, 110064. [Google Scholar] [CrossRef]
- Chen, F.; Niu, K.; Ma, H. Analysis on morphological characteristics and identification of candidate genes during the flowering development of alfalfa. Front. Plant Sci. 2024, 15, 1426838. [Google Scholar] [CrossRef] [PubMed]
- Qiu, J.-L.; Zhou, L.; Yun, B.-W.; Nielsen, H.B.; Fiil, B.K.; Petersen, K.; MacKinlay, J.; Loake, G.J.; Mundy, J.; Morris, P.C. Arabidopsis mitogen-activated protein kinase kinases MKK1 and MKK2 have overlapping functions in defense signaling mediated by MEKK1, MPK4, and MKS1. Plant Physiol. 2008, 148, 212–222. [Google Scholar] [CrossRef] [PubMed]
- Ma, M.; Wang, P.; Chen, R.; Bai, M.; He, Z.; Xiao, D.; Xu, G.; Wu, H.; Zhou, J.-M.; Dou, D.; et al. The OXIDATIVE SIGNAL-INDUCIBLE1 kinase regulates plant immunity by linking microbial pattern-induced reactive oxygen species burst to MAP kinase activation. Plant Cell 2024, 37, koae311. [Google Scholar] [CrossRef] [PubMed]
- Hou, Y.; Zeng, W.; Ao, C.; Huang, J. Integrative analysis of the transcriptome and metabolome reveals Bacillus atrophaeus WZYH01-mediated salt stress mechanism in maize (Zea mays L.). J. Biotechnol. 2024, 383, 39–54. [Google Scholar] [CrossRef]
- Li, C.; Lu, M.; Zhou, J.; Wang, S.; Long, Y.; Xu, Y.; Tan, X. Transcriptome Analysis of. the Late-Acting Self-Incompatibility Associated with RNase T2 Family in Camellia oleifera. Plants 2023, 12, 1932. [Google Scholar] [CrossRef]
- Bolger, A.M.; Lohse, M.; Usadel, B. Trimmomatic: A flexible trimmer for Illumina sequence data. Bioinformatics 2014, 30, 2114–2120. [Google Scholar] [CrossRef]
- Krueger, F.; Andrews, S.R. Bismark: A flexible aligner and methylation caller for Bisulfite-Seq applications. Bioinformatics 2011, 27, 1571–1572. [Google Scholar] [CrossRef]
- Habibi, E.; Brinkman, A.B.; Arand, J.; Kroeze, L.I.; Kerstens, H.H.; Matarese, F.; Lepikhov, K.; Gut, M.; Brun-Heath, I.; Hubner, N.C.; et al. Whole-genome bisulfite sequencing of two distinct interconvertible DNA methylomes of mouse embryonic stem cells. Cell Stem Cell 2013, 13, 360–369. [Google Scholar] [CrossRef]
- Gifford, C.A.; Ziller, M.J.; Gu, H.; Trapnell, C.; Donaghey, J.; Tsankov, A.; Shalek, A.K.; Kelley, D.R.; Shishkin, A.A.; Issner, R.; et al. Transcriptional and epigenetic dynamics during specification of human embryonic stem cells. Cell 2013, 153, 1149–1163. [Google Scholar] [CrossRef]
- Lister, R.; Pelizzola, M.; Dowen, R.H.; Hawkins, R.D.; Hon, G.; Tonti-Filippini, J.; Nery, J.R.; Lee, L.; Ye, Z.; Ngo, Q.M.; et al. Human DNA methylomes at base resolution show widespread epigenomic differences. Nature 2009, 462, 315–322. [Google Scholar] [CrossRef] [PubMed]
- Feng, H.; Conneely, K.N.; Wu, H. A Bayesian hierarchical model to detect. differentially methylated loci from single nucleotide resolution sequencing data. Nucleic Acids Res. 2014, 42, e69. [Google Scholar] [CrossRef] [PubMed]
- Wu, H.; Xu, T.; Feng, H.; Chen, L.; Li, B.; Yao, B.; Qin, Z.; Jin, P.; Conneely, K.N. Detection. of differentially methylated regions from whole-genome bisulfite sequencing data without replicates. Nucleic Acids Res. 2015, 43, e141. [Google Scholar] [CrossRef] [PubMed]
- Park, Y.; Wu, H. Differential methylation analysis for BS-seq data under general. experimental design. Bioinformatics 2016, 32, 1446–1453. [Google Scholar] [CrossRef]
- Dominguez, P.M.; Ghamlouch, H.; Rosikiewicz, W.; Kumar, P.; Béguelin, W.; Fontán, L.; Rivas, M.A.; Pawlikowska, P.; Armand, M.; Mouly, E.; et al. TET2 Deficiency Causes Germinal Center Hyperplasia, Impairs Plasma Cell Differentiation, and Promotes B-cell Lymphomagenesis. Cancer Discov. 2018, 8, 1632–1653. [Google Scholar] [CrossRef]
- Lee, S.; Bae, S.H.; Jeon, Y.; Seo, P.J.; Choi, Y. DEMETER DNA demethylase reshapes the global DNA methylation landscape and controls cell identity transition during plant regeneration. BMC Genom. 2024, 25, 1234. [Google Scholar] [CrossRef]
- Zhang, M.; Zhang, S. Mitogen-activated protein kinase cascades in plant signaling. J. Integr. Plant Biol. 2022, 64, 301–341. [Google Scholar] [CrossRef]
- de Mendoza, A.; Nguyen, T.V.; Ford, E.; Poppe, D.; Buckberry, S.; Pflueger, J.; Grimmer, M.R.; Stolzenburg, S.; Bogdanovic, O.; Oshlack, A.; et al. Large-scale manipulation of promoter DNA methylation reveals context-specific transcriptional responses and stability. Genome Biol. 2022, 23, 163. [Google Scholar] [CrossRef]
- Wei, S.; Ma, X.; Pan, L.; Miao, J.; Fu, J.; Bai, L.; Zhang, Z.; Guan, Y.; Mo, C.; Huang, H.; et al. Transcriptome Analysis of Taxillusi chinensis (DC.) Danser Seeds in Response to Water Loss. PLoS ONE 2017, 12, e0169177. [Google Scholar] [CrossRef]
- Xiao, Y.; Li, J.; Zhang, Y.; Zhang, X.; Liu, H.; Qin, Z.; Chen, B. Transcriptome analysis identifies genes involved in the somatic embryogenesis of Eucalyptus. BMC Genom. 2020, 21, 803. [Google Scholar] [CrossRef]






Disclaimer/Publisher’s Note: The statements, opinions and data contained in all publications are solely those of the individual author(s) and contributor(s) and not of MDPI and/or the editor(s). MDPI and/or the editor(s) disclaim responsibility for any injury to people or property resulting from any ideas, methods, instructions or products referred to in the content. |
© 2026 by the authors. Licensee MDPI, Basel, Switzerland. This article is an open access article distributed under the terms and conditions of the Creative Commons Attribution (CC BY) license.
Share and Cite
Chen, B.; Gan, C.; Chen, S.; Guo, D.; Liang, G.; Fang, X.; Zhu, H.; Deng, Z.; Tang, Q.; Xiao, Y.; et al. Methylome and Transcriptome Analysis Reveals Differences in Callus Development and Plantlet Regeneration Capacity Between Two Eucalyptus Species. Plants 2026, 15, 783. https://doi.org/10.3390/plants15050783
Chen B, Gan C, Chen S, Guo D, Liang G, Fang X, Zhu H, Deng Z, Tang Q, Xiao Y, et al. Methylome and Transcriptome Analysis Reveals Differences in Callus Development and Plantlet Regeneration Capacity Between Two Eucalyptus Species. Plants. 2026; 15(5):783. https://doi.org/10.3390/plants15050783
Chicago/Turabian StyleChen, Bowen, Chunyan Gan, Shengkan Chen, Dongqiang Guo, Guichan Liang, Xiaoying Fang, Hui Zhu, Ziyu Deng, Qinglan Tang, Yufei Xiao, and et al. 2026. "Methylome and Transcriptome Analysis Reveals Differences in Callus Development and Plantlet Regeneration Capacity Between Two Eucalyptus Species" Plants 15, no. 5: 783. https://doi.org/10.3390/plants15050783
APA StyleChen, B., Gan, C., Chen, S., Guo, D., Liang, G., Fang, X., Zhu, H., Deng, Z., Tang, Q., Xiao, Y., Fan, C., & Li, C. (2026). Methylome and Transcriptome Analysis Reveals Differences in Callus Development and Plantlet Regeneration Capacity Between Two Eucalyptus Species. Plants, 15(5), 783. https://doi.org/10.3390/plants15050783

