Changes in Soil Nutrients and Bacterial Communities in Perennial Grass Mixtures in Alpine Ecological Zones After 20 Years of Establishment
Abstract
1. Introduction
2. Materials and Methods
2.1. Study Area Description
2.2. Experimental Design and Methods
2.3. Plant Community Survey and Soil Sample Collection
2.4. Measurement of Indicators and Methods
2.4.1. Soil Physicochemical Properties Analysis
2.4.2. Soil Bacterial DNA Extraction, PCR Amplification, and Sequencing
2.5. Data Analysis and Graphical Visualization
3. Results and Analysis
3.1. Effects of Monoculture and Mixed Sowing of Grasses on Vegetation Community Characteristics
3.2. Effects of Monoculture and Mixed Sowing of Grasses on Soil Physicochemical Properties in Artificial Grassland
3.3. Effects of Monoculture and Mixed Sowing of Grasses on Soil Bacterial Community Composition in Artificial Grassland
3.3.1. Quality Assessment of 16S Sequencing Data and Variation in OTU Numbers
3.3.2. Composition and Relative Abundance of Soil Bacterial Community
3.4. Analysis of Soil Bacterial Community Diversity
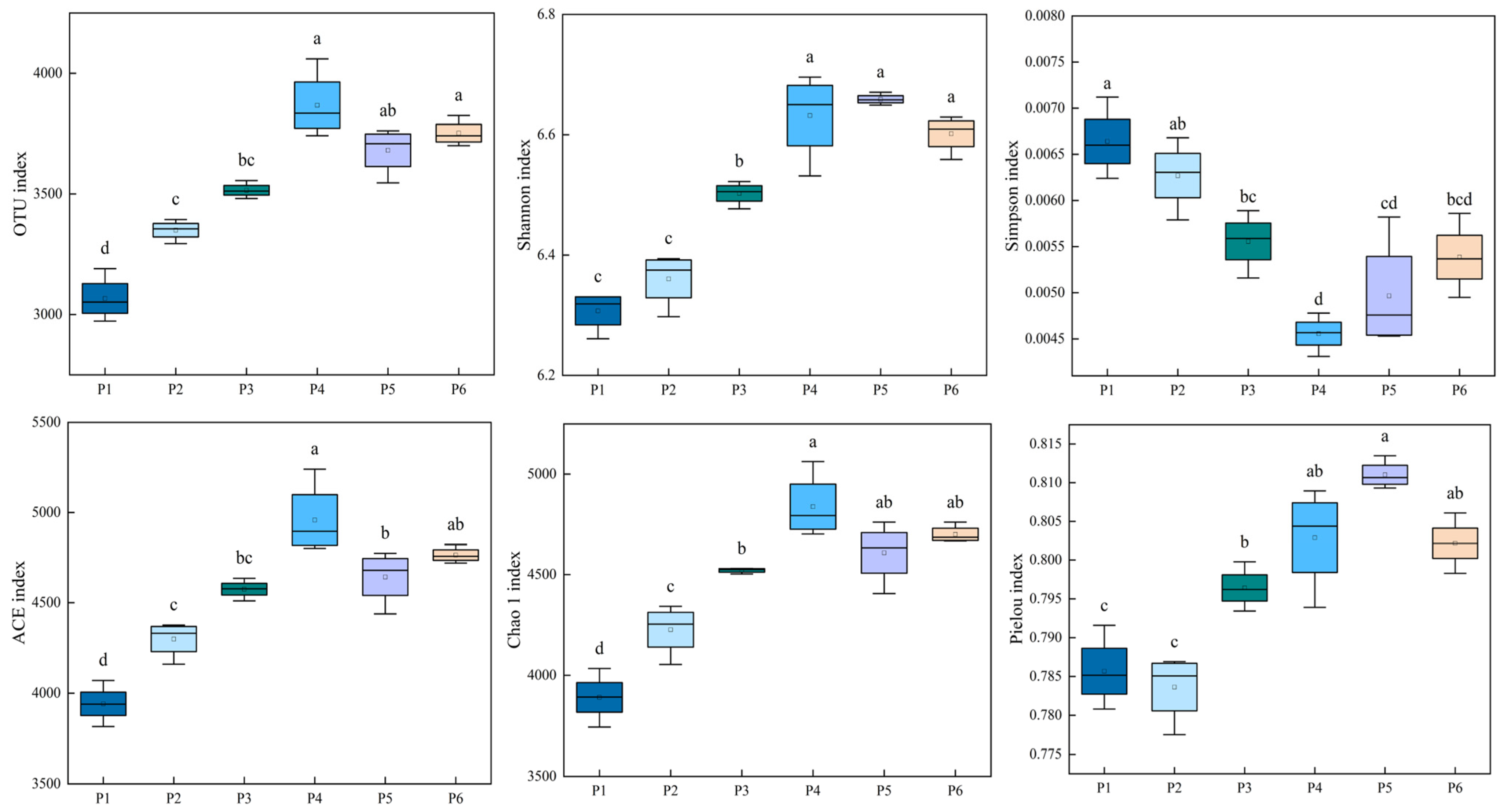
3.4.1. α-Diversity Analysis of Soil Bacterial Communities
3.4.2. β-Diversity (PCoA) Analysis of Soil Bacterial Communities
3.5. Changes in Single-Factor Correlation Networks of Soil Bacterial Communities
3.6. Functional Prediction of Soil Bacterial Communities
3.7. Cluster Analysis of Soil Bacterial Communities
3.8. Coupling Relationships Among Vegetation Community Characteristics, Soil Physicochemical Properties, and Soil Bacterial Communities
4. Discussion
4.1. Effects of Monoculture and Mixed Sowing of Graminoids on Vegetation Biomass and Soil Physicochemical Properties in Artificial Grasslands
4.2. Effects of Monoculture and Mixed Sowing of Graminoids on Soil Bacterial Community Structure and Function in Artificial Grasslands
4.3. Response Associations Among Rhizosphere Microbial Composition, Soil Physicochemical Properties, and Plant Community Characteristics
5. Conclusions and Prospects
Author Contributions
Funding
Data Availability Statement
Acknowledgments
Conflicts of Interest
References
- Wang, Y.; Zhang, Y.; Wang, J.; Liu, Z.; Liu, S.; Zeng, X.; Li, F.; Li, X.; Ma, W.; Luo, C.; et al. Editorial: Patterns, functions, and processes of alpine grassland ecosystems under global change. Front. Plant Sci. 2022, 13, 1048031. [Google Scholar] [CrossRef]
- Yuan, Z.; Jiang, X.; Liu, G.; Jin, H.; Chen, J.; Wu, Q. Responses of soil organic carbon and nutrient stocks to human-induced grassland degradation in a Tibetan alpine meadow. Catena 2019, 179, 182–192. [Google Scholar] [CrossRef]
- Li, W.; Shang, X.; Yan, H.; Xu, J.; Liang, T.; Zhou, H. Impact of restoration measures on plant and soil characteristics in the degraded alpine grasslands of the Qinghai Tibetan Plateau: A meta-analysis. Agric. Ecosyst. Environ. 2023, 347, 108394. [Google Scholar] [CrossRef]
- Liu, J.; Zhu, Y.; Li, J.; Li, J.; Kong, X.; Zhang, Q.; Wang, X.; Peng, D.; Zhang, X. Short-term artificial revegetation with herbaceous species can prevent soil degradation in a black soil erosion gully of Northeast China. Land 2024, 13, 1486. [Google Scholar] [CrossRef]
- Török, P.; Miglécz, T.; Valkó, O.; Kelemen, A.; Deák, B.; Lengyel, S.; Tóthmérész, B. Recovery of native grass biodiversity by sowing on former croplands: Is weed suppression a feasible goal for grassland restoration? J. Nat. Conserv. 2011, 19, 410–416. [Google Scholar] [CrossRef]
- Liu, Y.; Yan, W.; Yang, T.; An, Y.; Li, X.; Gao, H.; Peng, Z.; Wei, G.; Jiao, S. Grass-legume mixtures maintain forage biomass under microbial diversity loss via gathering Pseudomonas in root zone soil. mSystems 2023, 8, e00755-23. [Google Scholar] [CrossRef] [PubMed]
- Nyfeler, D.; Huguenin-Elie, O.; Suter, M.; Frossard, E.; Lüscher, A. Grass–legume mixtures can yield more nitrogen than legume pure stands due to mutual stimulation of nitrogen uptake from symbiotic and non-symbiotic sources. Agric. Ecosyst. Environ. 2011, 140, 155–163. [Google Scholar] [CrossRef]
- Ma, Y.; Liu, Y.; Rodrigo-Comino, J.; López-Vicente, M.; Wu, G.-L. Mixed-cultivation grasslands enhance runoff generation and reduce soil loss in the restoration of degraded alpine hillsides. Hydrol. Earth Syst. Sci. 2024, 28, 3947–3961. [Google Scholar] [CrossRef]
- Xie, L.; Ma, Y.; Wang, Y.; Zhang, C.; Sun, H. Changes in soil bacterial and fungal community composition and functional groups during the artificial restoration of degraded grassland of “Black-Soil Mountain”. Ecol. Evol. 2024, 14, e70361. [Google Scholar] [CrossRef]
- Luo, G.; Xue, C.; Jiang, Q.; Xiao, Y.; Zhang, F.; Guo, S.; Shen, Q.; Ling, N. Soil Carbon, Nitrogen, and Phosphorus Cycling Microbial Populations and Their Resistance to Global Change Depend on Soil C:N:P Stoichiometry. mSystems 2020, 5, e00162-20. [Google Scholar] [CrossRef]
- Yang, Y.; Dou, Y.; Wang, B.; Sun, B.; Zhang, Y. Deciphering factors driving soil microbial life-history strategies in restored grasslands. iMeta 2022, 1, e66. [Google Scholar] [CrossRef] [PubMed]
- Shu, X.; Liu, W.; Hu, Y.; Chen, G.; Feng, K.; Wang, M.; Fan, L.; Han, B.; Liu, X.; Peng, S.; et al. Ecosystem multifunctionality and soil microbial communities in response to ecological restoration in an alpine degraded grassland. Front. Plant Sci. 2023, 14, 1173962. [Google Scholar] [CrossRef]
- Dong, S.; Kang, M.; Yun, X.; Long, R.; Hu, Z. Economic comparison of forage production from annual crops, perennial pasture and native grassland in the alpine region of the Qinghai-Tibetan Plateau, China. Grass Forage Sci. 2007, 62, 405–412. [Google Scholar] [CrossRef]
- Cai, Z.; Shi, J.; Lv, L.; Ma, Y.; Zhang, Q.; Xu, C.; Dong, Q. Construction of a Green and Sustainable Cultivation Model for Annual Forage Oat in Alpine Ecosystems: Optimization and Synergistic Mechanisms of Combined Application of Microbial Fertilizers and Organic Fertilizers. Plants 2025, 14, 1271. [Google Scholar] [CrossRef]
- Zhao, W.; Yin, Y.; Song, J.; Li, S. Mixed sowing improves plant and soil bacterial community restoration in the degraded alpine meadow. Plant Soil. 2024, 499, 379–392. [Google Scholar] [CrossRef]
- Furey, G.N.; Tilman, D. Plant biodiversity and the regeneration of soil fertility. Proc. Natl. Acad. Sci. USA 2021, 118, e2111321118. [Google Scholar] [CrossRef]
- Tilman, D.; Balzer, C.; Hill, J.; Befort, B.L. Global food demand and the sustainable intensification of agriculture. Proc. Natl. Acad. Sci. USA 2011, 108, 20260–20264. [Google Scholar] [CrossRef]
- Gao, P.; Lyu, L.; Xing, Y.; Wu, B.; Liu, Y.; Yan, W.; Li, X.; Peng, Z.; Jiao, S. Characteristics of Plant Community, Soil Physicochemical Properties, and Soil Fungal Community in a 22-Year Established Poaceae Mixed-Sown Grassland. J. Fungi 2025, 11, 756. [Google Scholar] [CrossRef]
- Whalen, E.; Grandy, A.S.; Geyer, K.M.; Brzostek, E.R.; Kyker-Snowman, E.; Frey, S.D. Microbial trait multifunctionality drives soil organic matter formation potential. Nat. Commun. 2024, 15, 10209. [Google Scholar] [CrossRef] [PubMed]
- Zhang, H.; Li, X.; Li, L.; Zhang, J. Effects of species configuration on community diversity and productivity of alpine artificial grassland. Acta Agrestia Sin. 2020, 28, 1436–1443. [Google Scholar] [CrossRef]
- Li, W.; Wei, T.H.; Yongcuobazhan; Cairentaci; Zhou, Y.H.; Zhang, Y.P.; Li, W.H.; Guo, W.X. Effects of different mixed planting ratios on vegetation and soil characteristics of sown pasture in the Sanjiangyuan region. Acta Pratacult. Sin. 2021, 30, 39–48. [Google Scholar] [CrossRef]
- Shi, J.; Ma, Y.; Dong, Q.; Wei, Z.; Hou, X.; Liu, Y. Effects of artificial regulation on production performance of perennial grass mixture in the Region of Three Rivers Source Region. Acta Agrestia Sin. 2018, 26, 944–953. [Google Scholar] [CrossRef]
- Hao, F.; Yu, T.; Gao, K.; Xiong, M.; An, H. Production performance and stability of mixed forage grasslands improved by planting proportion and mode in Horqin sandy land, China. Sci. Rep. 2025, 15, 14683. [Google Scholar] [CrossRef]
- Schmutz, A.; Schöb, C. Crops grown in mixtures show niche partitioning in spatial water uptake. J. Ecol. 2023, 111, 1234–1246. [Google Scholar] [CrossRef]
- Li, S.; Liu, W.; Shi, Z.; Liu, K.; Wang, W.; Liu, L.; Duan, H. Production performance in cultivated mixed-sown grasslands combining Poa pratensis L. and various Poaceae forage grasses. PLoS ONE 2025, 20, e0324084. [Google Scholar] [CrossRef] [PubMed]
- Zhou, J.; Liu, W.; Deng, Y.; Tu, Q.; Zhang, T. Stochastic Assembly Leads to Alternative Communities with Distinct Functions in a Bioreactor Microbial Community. mBio 2013, 4, e00584-12. [Google Scholar] [CrossRef]
- Bao, Y.; Dolfing, J.; Guo, Z.; Chen, R.; Wu, M.; Li, Z.; Lin, X.; Feng, Y. Important ecophysiological roles of non-dominant Actinobacteria in plant residue decomposition, especially in less fertile soils. Microbiome 2021, 9, 84. [Google Scholar] [CrossRef]
- Kaiser, K.; Wemheuer, B.; Korolkow, V.; Wemheuer, F.; Daniel, R.; Pfeiffer, B.; Daniel, R. Driving forces of soil bacterial community structure, diversity, and function in temperate grasslands and forests. Sci. Rep. 2016, 6, 33696. [Google Scholar] [CrossRef]
- Zhao, Y.; Guan, D.; Liu, X.; Gao, G.-F.; Meng, F.; Liu, B.; Xing, P.; Jiang, X.; Ma, M.; Cao, F.; et al. Profound change in soil microbial assembly process and co-occurrence pattern in co-inoculation of Bradyrhizobium japonicum 5038 and Bacillus aryabhattai MB35-5 on soybean. Front. Microbiol. 2022, 13, 846359. [Google Scholar] [CrossRef]
- Liu, F.; Hewezi, T.; Lebeis, S.L.; Pantalone, V.; Grewal, P.S.; Staton, M.E. Soil indigenous microbiome and plant genotypes cooperatively modify soybean rhizosphere microbiome assembly. BMC Microbiol. 2019, 19, 201. [Google Scholar] [CrossRef]
- Jiao, S.; Peng, Z.; Qi, J.; Gao, J.; Wei, G. Linking Bacterial-Fungal Relationships to Microbial Diversity and Soil Nutrient Cycling. mSystems 2021, 6, e01052-20. [Google Scholar] [CrossRef] [PubMed]
- Stone, B.W.; Li, J.; Koch, B.J.; Hayer, M.; Mau, R.L.; Morrissey, E.M.; Schwartz, E.; Trivedi, P. Nutrients cause consolidation of soil carbon flux to small proportion of bacterial community. Nat. Commun. 2021, 12, 3381. [Google Scholar] [CrossRef] [PubMed]
- Li, H.; Santos, F.; Butler, K.; Herndon, E. A critical review on the multiple roles of manganese in stabilizing and destabilizing soil organic matter. Environ. Sci. Technol. 2021, 55, 12136–12152. [Google Scholar] [CrossRef]
- Leff, J.W.; Jones, S.E.; Prober, S.M.; Barberán, A.; Borer, E.T.; Firn, J.L.; Harpole, W.S.; Hobbie, S.E.; Hofmockel, K.S.; Knops, J.M.H.; et al. Consistent responses of soil microbial communities to elevated nutrient inputs in grasslands across the globe. Proc. Natl. Acad. Sci. USA 2025, 112, 10902–10907. [Google Scholar] [CrossRef]
- Li, X.; Wang, A.; Wan, W.; Huang, Z.; Wang, H.; Zhang, L. High salinity inhibits soil bacterial community mediating nitrogen cycling. Appl. Environ. Microbiol. 2021, 87, e01366-21. [Google Scholar] [CrossRef]
- Li, Y.; Wang, L.; Tian, L.; Chen, H.; Hao, X.; Qi, J.; Liu, Y.; Liu, G.; Chen, J.; Li, C. Effects of autumn diurnal freeze–thaw cycles on soil bacteria and greenhouse gases in the permafrost regions. Front. Microbiol. 2022, 13, 1056953. [Google Scholar] [CrossRef] [PubMed]
- Feng, X.; Nielsen, L.L.; Simpson, M.J. Responses of soil organic matter and microorganisms to freeze–thaw cycles. Soil. Biol. Biochem. 2007, 39, 2027–2037. [Google Scholar] [CrossRef]











| Treatment | Grass Species Combination | Mixed Sowing Ratio |
|---|---|---|
| P1 | Elymus nutans | 1 |
| P2 | Elymus nutans + Poa pratensis | 1:1 |
| P3 | Elymus nutans + Poa pratensis + Festuca sinensis | 1:1:1 |
| P4 | Elymus nutans + Poa pratensis + Festuca sinensis+ Poa crymophila | 1:1:1:1 |
| P5 | Elymus nutans + Poa pratensis + Festuca sinensis+ Poa crymophila + Puccinellia distans | 1:1:1:1:1 |
| P6 | Elymus nutans + Poa pratensis + Festuca sinensis+ Poa crymophila + Puccinellia distans+ Festuca kryloviana cv. Huanhu | 1:1:1:1:1:1 |
| Treatment | Simpson Diversity Index | Shannon-Wiener Diversity Index | Pielou Evenness Index | Species Richness Index | Plant Heigh t/cm | Plant Coverage /% | Densit y/Plant·m−2 | Aboveground Biomass /(g·m−2) |
|---|---|---|---|---|---|---|---|---|
| P1 | 0.88 ± 0.02 a | 1.96 ± 0.06 b | 0.67 ± 0.00 b | 2.33 ± 0.15 b | 17.60 ± 1.19 e | 76.30 ± 2.28 c | 599.33 ± 19.67 c | 239.00 ± 9.68 c |
| P2 | 0.86 ± 0.00 a | 2.25 ± 0.06 a | 0.75 ± 0.00 a | 2.48 ± 0.12 a | 22.97 ± 1.49 d | 81.13 ± 1.39 b | 806.67 ± 14.53 bc | 241.60 ± 4.10 b |
| P3 | 0.84 ± 0.00 ab | 2.26 ± 0.05 a | 0.76 ± 0.01 a | 2.59 ± 0.12 a | 25.37 ± 0.69 cd | 83.33 ± 0.52 b | 1060.00 ± 47.30 ab | 270.90 ± 9.37 b |
| P4 | 0.82 ± 0.00 b | 2.19 ± 0.02 a | 0.74 ± 0.00 a | 2.45 ± 0.14 a | 32.53 ± 1.29 a | 88.33 ± 0.84 a | 1223.37 ± 86.85 a | 375.80 ± 14.73 a |
| P5 | 0.88 ± 0.00 a | 2.28 ± 0.05 a | 0.77 ± 0.02 a | 2.53 ± 0.04 a | 29.70 ± 0.97 ab | 82.97 ± 0.96 b | 1233.03 ± 45.29 a | 371.27 ± 45.58 a |
| P6 | 0.86 ± 0.01 a | 2.20 ± 0.04 a | 0.76 ± 0.00 a | 2.30 ± 0.07 b | 28.23 ± 1.41 bc | 81.70 ± 1.45 b | 1106.67. ± 58.12 ab | 342.93 ± 6.16 ab |
| Treatment | SWC/% | SEC/(μs·cm−1) | pH | SOM/(g·kg−1) | TN/(g·kg−1) | TP/(g·kg−1) | AN/(mg·kg−1) | AP/(mg·kg−1) |
|---|---|---|---|---|---|---|---|---|
| P1 | 18.11 ± 1.36 c | 495.83 ± 28.41 a | 7.55 ± 0.16 a | 86.21 ± 15.08 e | 3.98 ± 0.09 d | 1.47 ± 0.21 d | 43.86 ± 0.19 d | 34.15 ± 2.33 c |
| P2 | 21.30 ± 0.77 b | 458.50 ± 7.27 b | 7.52 ± 0.05 a | 108.42 ± 10.09 d | 4.05 ± 0.25 d | 1.57 ± 0.15 d | 49.17 ± 3.42 c | 35.60 ± 1.65 c |
| P3 | 22.01 ± 0.31 ab | 411.13 ± 44.99 c | 7.44 ± 0.18 a | 128.67 ± 4.01 c | 4.35 ± 0.18 c | 1.92 ± 0.12 c | 50.63 ± 1.49 c | 37.77 ± 1.52 c |
| P4 | 23.77 ± 1.71 a | 375.70 ± 32.49 d | 7.02 ± 0.22 a | 145.05 ± 5.37 a | 6.92 ± 0.12 a | 2.29 ± 0.06 a | 61.50 ± 1.73 a | 41.30 ± 1.71 ab |
| P5 | 24.58 ± 0.29 a | 436.63 ± 6.59 bc | 7.18 ± 0.15 a | 135.99 ± 7.38 ab | 6.68 ± 0.44 ab | 2.01 ± 0.10 b | 56.50 ± 2.93 b | 40.93 ± 1.51 ab |
| P6 | 25.44 ± 1.71 a | 393.13 ± 34.97 c | 7.41 ± 0.10 a | 147.43 ± 12.30 a | 5.50 ± 0.18 b | 2.40 ± 0.05 a | 60.37 ± 2.15 ab | 43.57 ± 0.84 a |
Disclaimer/Publisher’s Note: The statements, opinions and data contained in all publications are solely those of the individual author(s) and contributor(s) and not of MDPI and/or the editor(s). MDPI and/or the editor(s) disclaim responsibility for any injury to people or property resulting from any ideas, methods, instructions or products referred to in the content. |
© 2026 by the authors. Licensee MDPI, Basel, Switzerland. This article is an open access article distributed under the terms and conditions of the Creative Commons Attribution (CC BY) license.
Share and Cite
Bao, S.; Cai, Z.; Li, F.; Zhang, H.; Fu, S.; Lv, L.; Liu, Q.; Shi, J. Changes in Soil Nutrients and Bacterial Communities in Perennial Grass Mixtures in Alpine Ecological Zones After 20 Years of Establishment. Plants 2026, 15, 754. https://doi.org/10.3390/plants15050754
Bao S, Cai Z, Li F, Zhang H, Fu S, Lv L, Liu Q, Shi J. Changes in Soil Nutrients and Bacterial Communities in Perennial Grass Mixtures in Alpine Ecological Zones After 20 Years of Establishment. Plants. 2026; 15(5):754. https://doi.org/10.3390/plants15050754
Chicago/Turabian StyleBao, Shancun, Zongcheng Cai, Fayi Li, Hairong Zhang, Shouquan Fu, Liangyu Lv, Qingqing Liu, and Jianjun Shi. 2026. "Changes in Soil Nutrients and Bacterial Communities in Perennial Grass Mixtures in Alpine Ecological Zones After 20 Years of Establishment" Plants 15, no. 5: 754. https://doi.org/10.3390/plants15050754
APA StyleBao, S., Cai, Z., Li, F., Zhang, H., Fu, S., Lv, L., Liu, Q., & Shi, J. (2026). Changes in Soil Nutrients and Bacterial Communities in Perennial Grass Mixtures in Alpine Ecological Zones After 20 Years of Establishment. Plants, 15(5), 754. https://doi.org/10.3390/plants15050754
