Environmental Drivers and Seasonal Dynamics of Spontaneous Plant Communities on Urban Walls: A Case Study in Nanjing, China
Abstract
1. Introduction
- (i)
- How do intrinsic wall attributes, external wall features, joint characteristics, and management practices influence the composition and diversity of spontaneous wall vegetation in urban environments?
- (ii)
- How does seasonal variation (spring vs. autumn) affect these relationships?
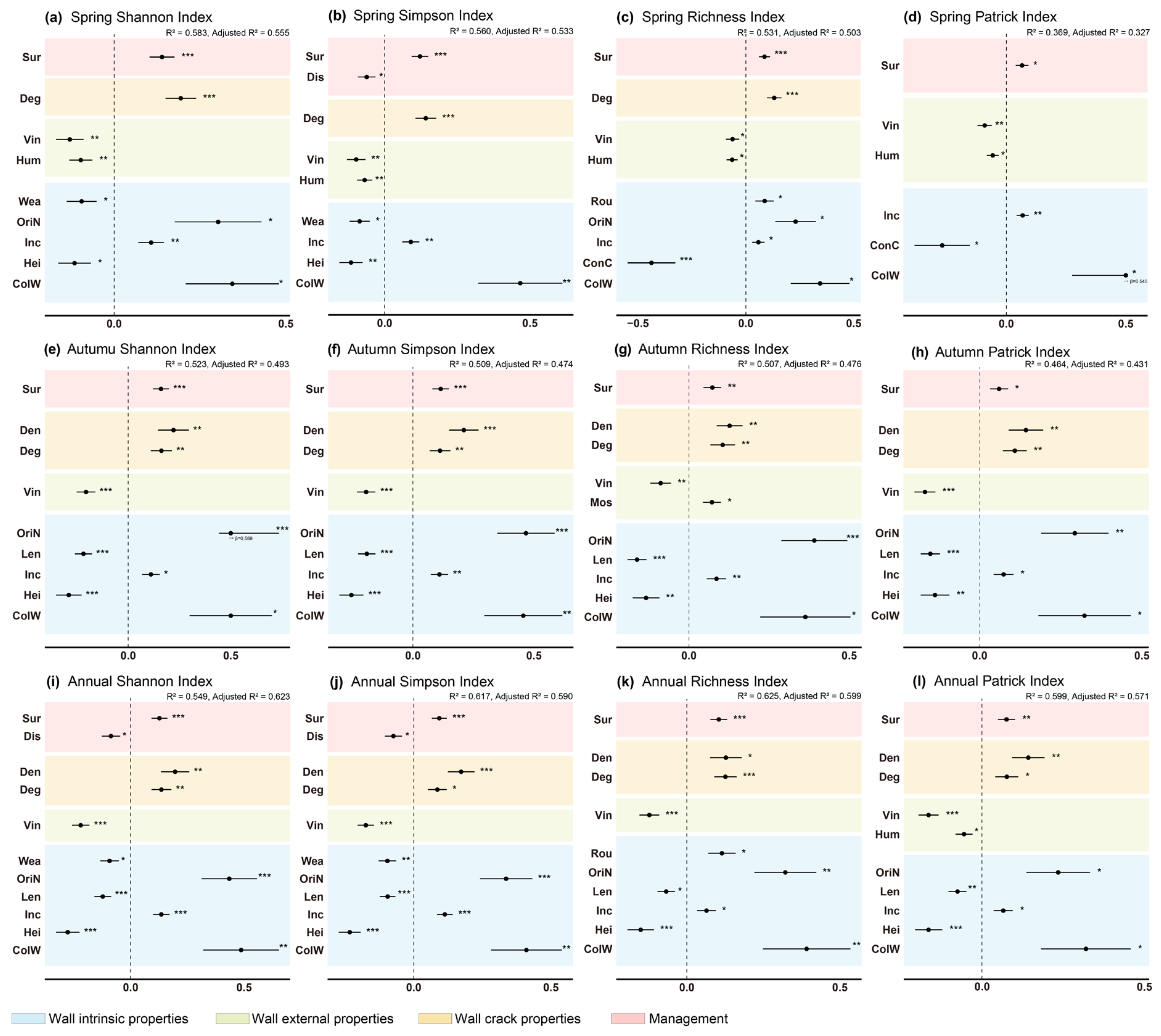
2. Results
2.1. Basic Characteristics of Spontaneous Vegetation
2.1.1. Species Composition and Ecological Traits of Wall-Dwelling Spontaneous Plants
2.1.2. Phylogenetic Structure and Dominance Patterns of Wall Dwelling Plants
2.2. Environmental Drivers of Wall Plant Community Composition
2.2.1. Variation Partitioning Analysis of Environmental Factors and Plant Composition
2.2.2. Seasonal Variation in Wall Plant Composition Revealed by Canonical Correspondence Analysis

| Factor Groups | Factor | Indicator | Range |
|---|---|---|---|
| Wall intrinsic properties | Height | Hei | 1.7–12 m |
| Length | Len | 6–251 m | |
| Inclination | Inc | 1–3 | |
| Color | Col | G = Gray; W = White; Y = Yellow; R = Red | |
| Orientation | Ori | S; SW; SE; W; E; NW; NE; N | |
| Type | Typ | R = Retaining wall; S = Standalone wall; B = Building wall; C = City wall | |
| Construction material | Con | ST = Stone; BR = Brick; CO = Concrete | |
| Weathering | Wea | 1–5 | |
| Roughness | Rou | 1–5 | |
| Wall external properties | Humidity level | Hum | 1–5 |
| Vine coverage | Vin | 1–5 | |
| Moss/lichen coverage | Mos | 1–5 | |
| Wall crack properties | Density of joints | Den | 1–5 |
| Degradation of joints | Deg | 1–5 | |
| Management | Surrounding habitats | Sur | 1–5 |
| Hardening | Har | 1–5 | |
| Disturbance | Dis | 1–5 |
2.3. Diversity Dynamics and Driving Mechanisms
2.3.1. Seasonal Shifts in Wall Plant Diversity
2.3.2. Regression Analysis of Environmental Drivers of Wall Vegetation Diversity
3. Discussion
3.1. Distribution Patterns and Diversity Characteristics of Urban Wall Vegetation
3.2. Influence of Environmental Factors on Urban Wall Plant Community Structure and Diversity
3.3. Ecological Adaptation Mechanisms of Wall Plants and Their Potential for Local Greening
4. Materials and Methods
4.1. Study Area
4.2. Data Collection
4.2.1. Sample Plot and Quadrat Setting
4.2.2. Vegetation and Environmental Variables
4.2.3. Statistical Analysis
5. Conclusions
Supplementary Materials
Author Contributions
Funding
Data Availability Statement
Acknowledgments
Conflicts of Interest
References
- United Nations, Department of Economic and Social Affairs, Population Division. World Urbanization Prospects: The 2018 Revision; United Nations: New York, NY, USA, 2019; Available online: https://population.un.org/wup (accessed on 10 January 2025).
- Nazombe, K.; Nambazo, O. Monitoring and assessment of urban green space loss and fragmentation using remote sensing data in the four cities of Malawi from 1986 to 2021. Sci. Afr. 2023, 20, e01639. [Google Scholar] [CrossRef]
- Elmqvist, T.; Zipperer, W.C.; Güneralp, B. Urbanization, habitat loss and biodiversity decline: Solution pathways to break the cycle. In The Routledge Handbook of Urbanization and Global Environmental Change; Seto, K.C., Solecki, W.D., Griffith, C.A., Eds.; Routledge: London, UK, 2015; pp. 139–151. [Google Scholar]
- Alberti, M. Maintaining ecological integrity and sustaining ecosystem function in urban areas. Curr. Opin. Environ. Sustain. 2010, 2, 178–184. [Google Scholar] [CrossRef]
- Forman, R.T.T. Urban Ecology: Science of Cities; Cambridge University Press: Cambridge, UK, 2014. [Google Scholar]
- Cohen-Shacham, E.; Walters, G.; Janzen, C.; Maginnis, S. Nature-Based Solutions to Address Global Societal Challenges; IUCN: Gland, Switzerland, 2016. [Google Scholar] [CrossRef]
- Prior, J.; Brady, E. Environmental aesthetics and rewilding. Environ. Values 2017, 26, 31–51. [Google Scholar] [CrossRef]
- Kowarik, I. Cities and wilderness. Int. J. Wilderness 2013, 19, 32–36. [Google Scholar]
- Rupprecht, C.D.D.; Byrne, J.A. Informal urban greenspace: A typology and trilingual systematic review of its role for urban residents and trends in the literature. Urban For. Urban Green. 2014, 13, 597–611. [Google Scholar] [CrossRef]
- Kwok, R. Accidental urban oases. Proc. Natl. Acad. Sci. USA 2018, 115, 4800–4804. [Google Scholar] [CrossRef] [PubMed]
- Del Tredici, P. Spontaneous urban vegetation: Reflections of change in a globalized world. Nat. Cult. 2010, 5, 299–315. [Google Scholar] [CrossRef]
- Haaland, C.; Naisbit, R.E.; Bersier, L.F. Sown wildflower strips for insect conservation: A review. Insect Conserv. Divers. 2011, 4, 60–80. [Google Scholar] [CrossRef]
- Deng, H.; Jim, C.Y. Spontaneous plant colonization and bird visits of tropical extensive green roof. Urban Ecosyst. 2017, 20, 337–352. [Google Scholar] [CrossRef]
- Popek, R.; Fornal-Pieniak, B.; Dąbrowski, P.; Chyliński, F. The role of spontaneous flora in the mitigation of particulate matter from traffic roads in an urbanised area. Sustainability 2023, 15, 7568. [Google Scholar] [CrossRef]
- Qiu, Y.; Chen, B.J.W.; Song, Y.; Huang, Z.Y.X.; Wan, L.; Huang, C.; Liu, M.; Xu, C. Composition, distribution and habitat effects of vascular plants on the vertical surfaces of an ancient city wall. Urban Ecosyst. 2016, 19, 939–948. [Google Scholar] [CrossRef]
- Mayrand, F.; Clergeau, P. Green roofs and green walls for biodiversity conservation: A contribution to urban connectivity? Sustainability 2018, 10, 985. [Google Scholar] [CrossRef]
- Payne, R. The flora of walls and buildings in the Isle of Ely. In Nature in Cambridgeshire; Arnold, H.R., Ed.; Cambridge Natural History Society: Cambridge, UK, 2005; pp. 43–58. [Google Scholar]
- Lundholm, J.T.; Marlin, A. Habitat origins and microhabitat preferences of urban plant species. Urban Ecosyst. 2006, 9, 139–159. [Google Scholar] [CrossRef]
- Jim, C.Y. Old stone walls as an ecological habitat for urban trees in Hong Kong. Landsc. Urban Plan. 1998, 42, 29–43. [Google Scholar] [CrossRef]
- Francis, R.A. Wall ecology: A frontier for urban biodiversity and ecological engineering. Prog. Phys. Geogr. 2011, 35, 43–63. [Google Scholar] [CrossRef]
- Chen, C.; Mao, L.; Qiu, Y.; Cui, J.; Wang, Y. Walls offer potential to improve urban biodiversity. Sci. Rep. 2020, 10, 9905. [Google Scholar] [CrossRef] [PubMed]
- Chen, C.; Wang, R.; Chen, M.; Zhao, J.; Li, H.; Ignatieva, M.; Zhou, W. The post-effects of landscape practices on spontaneous plants in urban parks. Urban For. Urban Green. 2025, 107, 128744. [Google Scholar] [CrossRef]
- Fischer, L.K.; von der Lippe, M.; Rillig, M.C.; Kowarik, I. Creating novel urban grasslands by reintroducing native species in wasteland vegetation. Biol. Conserv. 2013, 159, 119–126. [Google Scholar] [CrossRef]
- Bonthoux, S.; Voisin, L.; Bouché-Pillon, S.; Chollet, S. More than weeds: Spontaneous vegetation in streets as a neglected element of urban biodiversity. Landsc. Urban Plan. 2019, 185, 163–172. [Google Scholar] [CrossRef]
- Li, X.; Yin, X.; Wang, Y. Diversity and ecology of vascular plants established on the extant world-longest ancient city wall of Nanjing, China. Urban For. Urban Green. 2016, 18, 41–52. [Google Scholar] [CrossRef]
- Compilation Committee of the Flora of China. Flora of China [Online]; Science Press: Beijing, China, 2004; Available online: https://www.iplant.cn/focg (accessed on 21 June 2025).
- Ter Braak, C.J.F.; Smilauer, P. CANOCO Reference Manual and CanoDraw for Windows User’s Guide: Software for Canonical Community Ordination (Version 4.5) [Software Manual]. 2002. Available online: www.canoco.com (accessed on 20 September 2024).
- Xu, W.; Dai, W.; Ding, Y.; Song, S.; Liu, Q.; Yang, W. Drivers of spontaneous plant communities in urban parks: A case from Nanjing, China. Sustainability 2024, 16, 3841. [Google Scholar] [CrossRef]
- Dahmani, J.; Benharbit, M.; Fassar, M.; Hajila, R.; Zidane, L.; Magri, N.; Belahbib, N. Vascular plants census linked to the biodeterioration process of the Portuguese city of Mazagan in El Jadida, Morocco. J. King Saud Univ. Sci. 2020, 32, 682–689. [Google Scholar] [CrossRef]
- McDonnell, M.J.; Hahs, A.K. Adaptation and adaptedness of organisms to urban environments. Annu. Rev. Ecol. Evol. Syst. 2015, 46, 261–280. [Google Scholar] [CrossRef]
- Aronson, M.F.J.; La Sorte, F.A.; Nilon, C.H.; Katti, M.; Goddard, M.A.; Lepczyk, C.A.; Warren, P.S.; Williams, N.S.G.; Clilliers, S.; Clarkson, B.; et al. A global analysis of the impacts of urbanization on bird and plant diversity reveals key anthropogenic drivers. Proc. R. Soc. B Biol. Sci. 2014, 281, 20133330. [Google Scholar] [CrossRef]
- Odling-Smee, F.J.; Laland, K.N.; Feldman, M.W. Niche Construction: The Neglected Process in Evolution; Princeton University Press: Princeton, NJ, USA, 2003. [Google Scholar]
- D’Orazio, M.; Cursio, G.; Graziani, L.; Aquilanti, L.; Osimani, A.; Clementi, F.; Yéprémian, C.; Lariccia, V.; Amoroso, S. Effects of water absorption and surface roughness on the bioreceptivity of ETICS compared to clay bricks. Build. Environ. 2014, 77, 20–28. [Google Scholar] [CrossRef]
- Callaway, R.M. Positive interactions among plants. Bot. Rev. 1995, 61, 306–349. [Google Scholar] [CrossRef]
- Rishbeth, J. The flora of Cambridge walls. J. Ecol. 1948, 36, 136–148. [Google Scholar] [CrossRef]
- Jim, C.Y. Ecology and conservation of strangler figs in urban wall habitats. Urban Ecosyst. 2014, 17, 405–426. [Google Scholar] [CrossRef]
- Manso Blanco, S.; Calvo-Torras, M.A.; De Belie, N.; Segura, I.; Aguado, A. Evaluation of natural colonisation of cementitious materials: Effect of bioreceptivity and environmental conditions. Sci. Total Environ. 2015, 512, 444–453. [Google Scholar] [CrossRef]
- Cant, J.; Schiettekatte, N.; Madin, E.M.P.; Madin, J.S.; Dornelas, M. Habitat complexity defines global biological and societal landscapes. bioRxiv 2024. bioRxiv:12.28.630608. [Google Scholar] [CrossRef]
- Yalcinalp, E.; Meral, A. Wall vegetation characteristics of urban and sub-urban areas. Sustainability 2017, 9, 1691. [Google Scholar] [CrossRef]
- Norton, B.A.; Evans, K.L.; Warren, P.H. Urban biodiversity and landscape ecology: Patterns, processes and planning. Curr. Landsc. Ecol. Rep. 2016, 1, 178–192. [Google Scholar] [CrossRef]
- Van der Pijl, L. Principles of Dispersal; Springer: Berlin, Germany, 1982. [Google Scholar]
- Grime, J.P. Evidence for the existence of three primary strategies in plants and its relevance to ecological and evolutionary theory. Am. Nat. 1977, 111, 1169–1194. [Google Scholar] [CrossRef]
- Westoby, M.; Falster, D.S.; Moles, A.T.; Vesk, P.A.; Wright, I.J. Plant ecological strategies: Some leading dimensions of variation between species. Annu. Rev. Ecol. Syst. 2002, 33, 125–159. [Google Scholar] [CrossRef]
- Maria, I.; Marcus, H. An alternative urban green carpet. Science 2018, 362, 147–148. [Google Scholar] [CrossRef]
- Chen, M.; Huang, S.; Chen, Z.; Xing, Y.; Xing, F.; Leong, K.; Yang, Y.; Qiu, Y.; Qin, X. Species characteristics and cultural value of stone wall trees in the urban area of Macao. Sci. Rep. 2022, 12, 1562. [Google Scholar] [CrossRef]
- Pettorelli, N.; Schulte to Bühne, H.; Cunningham, A.A.; Dancer, A.; Debney, A.; Durant, S.M.; Hoffmann, M.; Laughlin, B.; Pilkington, J.; Pecorelli, J.; et al. Rewilding Our Cities; United Nations Environment Programme: Nairobi, Kenya, 2022. [Google Scholar]
- Nanjing Local Chronicles Compilation Committee. Physical Geography: Nanjing Annals Series; Nanjing Press: Nanjing, China, 1992; pp. 1–5. [Google Scholar]
- Apfelbeck, B.; Snep, R.P.H.; Hauck, T.E.; Ferguson, J.; Holy, M.; Jakoby, C.; MacIvor, J.S.; Schär, L.; Taylor, M.; Weisser, W.W. Designing wildlife-inclusive cities that support human-animal co-existence. Landsc. Urban Plan. 2020, 200, 103817. [Google Scholar] [CrossRef]
- de Neef, D.; Stewart, G.H.; Meubk, C.D. Urban biotopes of Aotearoa New Zealand (URBANZ)(III): Spontaneous urban wall vegetation in Christchurch and Dunedin. Phyton 2008, 48, 133–154. [Google Scholar]
- Segal, S. Ecological notes on wall vegetation. Wentia 1969, 22, 1–94. [Google Scholar]
- ESRI. ArcGIS Pro: Release 10.8 [Software]; Environmental Systems Research Institute: Redlands, CA, USA, 2020; Available online: https://pro.arcgis.com/en/pro-app/latest/get-started/download-arcgis-pro.htmArcGIS Pro (accessed on 15 December 2025).
- Gong, P.; Chen, B.; Li, X.; Liu, H.; Wang, J.; Bai, Y.; Chen, J.; Chen, X.; Fang, L.; Feng, S.; et al. Mapping essential urban land use categories in China (EULUC-China): Preliminary results for 2018. Sci. Bull. 2020, 65, 182–187. [Google Scholar] [CrossRef]
- Liu, Q. Flora of Jiangsu; Phoenix Science Press Ltd.: Nanjing, China, 2015. [Google Scholar]
- Yu, S.; Liu, H.; Gao, J. Catalogue of Invasive and Naturalized Plants in China [Online]; China Customs Press: Beijing, China, 2024; Available online: https://www.cvh.ac.cn/iapc/ (accessed on 14 June 2025).
- Qian, H.; Jin, Y.V. PhyloMaker2: An updated and enlarged R package that can generate very large phylogenies for vascular plants. Plant Divers. 2023, 45, 159–163. [Google Scholar] [CrossRef]
- Letunic, I.; Bork, P. Interactive Tree Of Life (iTOL) v5: An online tool for phylogenetic tree display and annotation. Nucleic Acids Res. 2021, 49, W293–W296. [Google Scholar] [CrossRef] [PubMed]






| Statistic | Axis 1 | Axis 2 | Axis 3 | Axis 4 |
|---|---|---|---|---|
| Eigenvalues | 0.6813 | 0.4703 | 0.3551 | 0.3296 |
| Explained variation (cumulative) | 4.19 | 7.07 | 9.26 | 11.27 |
| Gradient length | 3.23 | 5.06 | 4.34 | 3.71 |
| Pseudo-canonical correlation | 0.4061 | 0.6267 | 0.492 | 0.3416 |
Disclaimer/Publisher’s Note: The statements, opinions and data contained in all publications are solely those of the individual author(s) and contributor(s) and not of MDPI and/or the editor(s). MDPI and/or the editor(s) disclaim responsibility for any injury to people or property resulting from any ideas, methods, instructions or products referred to in the content. |
© 2026 by the authors. Licensee MDPI, Basel, Switzerland. This article is an open access article distributed under the terms and conditions of the Creative Commons Attribution (CC BY) license.
Share and Cite
Yu, W.; Wang, K.; Yang, Y.; Li, S.; Xiong, Y. Environmental Drivers and Seasonal Dynamics of Spontaneous Plant Communities on Urban Walls: A Case Study in Nanjing, China. Plants 2026, 15, 541. https://doi.org/10.3390/plants15040541
Yu W, Wang K, Yang Y, Li S, Xiong Y. Environmental Drivers and Seasonal Dynamics of Spontaneous Plant Communities on Urban Walls: A Case Study in Nanjing, China. Plants. 2026; 15(4):541. https://doi.org/10.3390/plants15040541
Chicago/Turabian StyleYu, Wenxin, Kaidi Wang, Yunfeng Yang, Sha Li, and Yao Xiong. 2026. "Environmental Drivers and Seasonal Dynamics of Spontaneous Plant Communities on Urban Walls: A Case Study in Nanjing, China" Plants 15, no. 4: 541. https://doi.org/10.3390/plants15040541
APA StyleYu, W., Wang, K., Yang, Y., Li, S., & Xiong, Y. (2026). Environmental Drivers and Seasonal Dynamics of Spontaneous Plant Communities on Urban Walls: A Case Study in Nanjing, China. Plants, 15(4), 541. https://doi.org/10.3390/plants15040541

