Identification of Wheat Genotypes with High Tolerance to Combined Salt and Waterlogging Stresses Using Biochemical and Morpho-Physiological Insights at the Seedling Stage
Abstract
1. Introduction
2. Results
2.1. Genotypic Differences in Response to Combined Salinity and Waterlogging Stresses
2.2. Ranking of Wheat Genotypes for Combined Salt and Waterlogging Tolerance
2.3. Hydroponic Salinity Validation Experiment
2.4. Further Evaluation of Misr4 (W85) and Sunvale (W73)
2.4.1. Accumulation of Na+ and K+
2.4.2. Photosynthetic Pigments
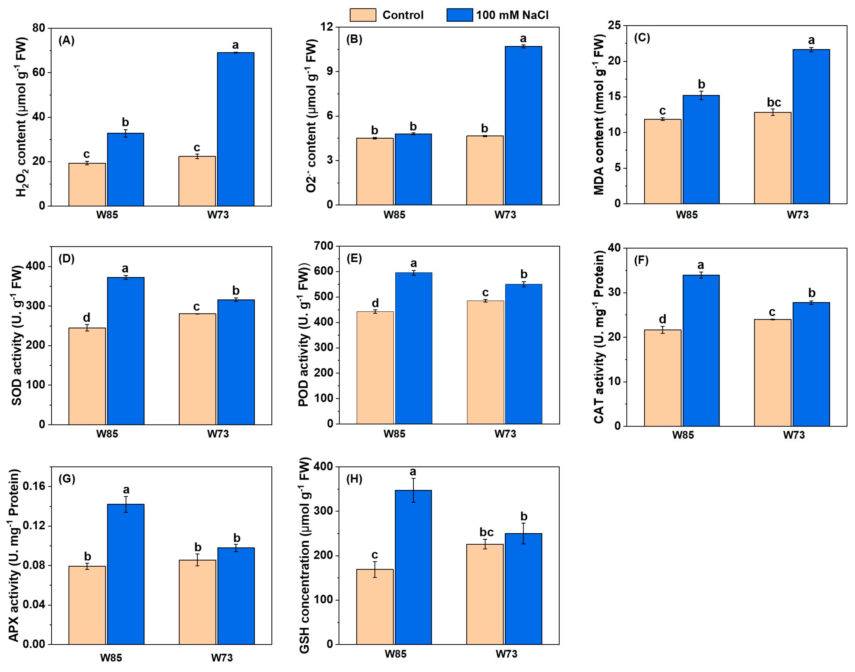
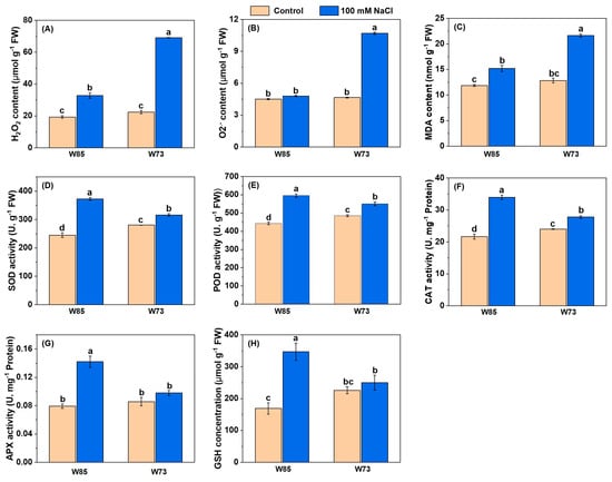
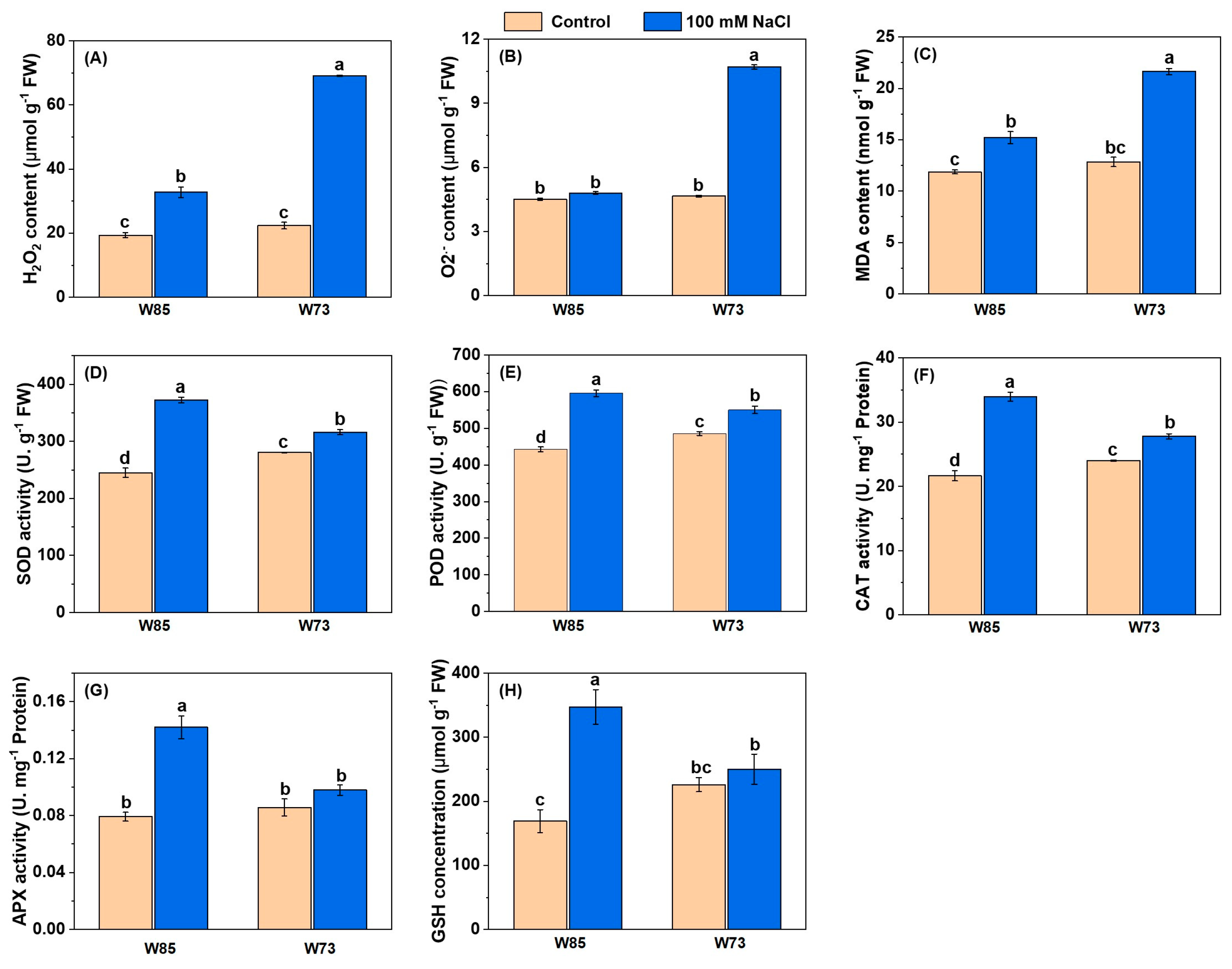
2.4.3. Reactive Oxygen Species, Malondialdehyde and Glutathione Concentrations, and Antioxidant Enzyme Activities
3. Discussion
4. Materials and Methods
4.1. Preliminary Combined Salt and Waterlogging Screen
4.2. Hydroponic Validation Experiment
4.3. Evaluation of Misr4 (W85) and Sunvale (W73)
4.3.1. Estimation of Na+ and K+ Concentrations
4.3.2. Estimation of Photosynthetic Pigments
4.3.3. Determination of Reactive Oxygen Species (H2O2 and O2•−), Lipid Peroxidation, Antioxidant Enzyme Activities, and Reduced Glutathione
4.4. Statistical Analysis
5. Conclusions
Supplementary Materials
Author Contributions
Funding
Data Availability Statement
Conflicts of Interest
References
- Anwar, K.; Joshi, R.; Dhankher, O.P.; Singla-Pareek, S.L.; Pareek, A. Elucidating the Response of Crop Plants towards Individual, Combined, and Sequentially Occurring Abiotic Stresses. Int. J. Mol. Sci. 2021, 22, 6119. [Google Scholar] [CrossRef]
- Hussain, S.; Mehmood, U.; Ashraf, U.; Naseer, M.A. Combined Salinity and Waterlogging Stress in Plants: Limitations and Tolerance Mechanisms. In Climate Change and Crop Stress; Elsevier: Amsterdam, The Netherlands, 2022; pp. 95–112. [Google Scholar]
- Sorokin, L.V.; Mondello, G. Entering the New +2 °C Global Warming Age and the Threat of World Ocean Expansion to Sustainable Economic Development. In Climate Change, Extreme Events and Disaster Risk Reduction: Towards Sustainable Development Goals; Springer: Berlin/Heidelberg, Germany, 2018; pp. 183–201. [Google Scholar] [CrossRef]
- Zaman, M.; Shahid, S.A.; Heng, L.; Shahid, S.A.; Zaman, M.; Heng, L. Soil Salinity: Historical Perspectives and a World Overview of the Problem. Guideline for Salinity Assessment, Mitigation and Adaptation Using Nuclear and Related Techniques; Springer: Berlin/Heidelberg, Germany, 2018; pp. 43–53. [Google Scholar] [CrossRef]
- Sui, Y.; Jiang, R.; Liu, Y.; Zhang, X.; Lin, N.; Zheng, X.; Li, B.; Yu, H. Predicting the Spatial Distribution of Soil Salinity Based on Multi-Temporal Multispectral Images and Environmental Covariates. Comput. Electron. Agric. 2025, 231, 109970. [Google Scholar] [CrossRef]
- Shabala, S. Physiological and Cellular Aspects of Phytotoxicity Tolerance in Plants: The Role of Membrane Transporters and Implications for Crop Breeding for Waterlogging Tolerance. New Phytol. 2011, 190, 289–298. [Google Scholar] [CrossRef] [PubMed]
- Sachdev, S.; Ansari, S.A.; Ansari, M.I.; Fujita, M.; Hasanuzzaman, M. Abiotic Stress and Reactive Oxygen Species: Generation, Signaling, and Defense Mechanisms. Antioxidants 2021, 10, 277. [Google Scholar] [CrossRef] [PubMed]
- Wu, H.Y.; Zhang, P.; Xu, M.; Zhuang, L. Spatial-Temporal Variations of the Risk of Winter Wheat Loss Suffered from Spring Waterlogging Disaster in the Middle and Lower Yangtze River Reaches. Resour. Environ. Yangtze Basin 2018, 27, 1152–1158. [Google Scholar] [CrossRef]
- Pandey, A.C.; Singh, S.K.; Nathawat, M.S. Waterlogging and Flood Hazards Vulnerability and Risk Assessment in Indo-Gangetic Plain. Nat. Hazards 2010, 55, 273–289. [Google Scholar] [CrossRef]
- Van Der Zee, S.; Stofberg, S.F.; Yang, X.; Liu, Y.; Islam, M.N.; Hu, Y.F. Irrigation and Drainage in Agriculture: A Salinity and Environmental Perspective. In Current Perspective on Irrigation and Drainage; Intechopen: London, UK, 2017; pp. 1–21. [Google Scholar] [CrossRef]
- Bakker, D.; Hamilton, G.; Hetherington, R.; Spann, C. Salinity Dynamics and the Potential for Improvement of Waterlogged and Saline Land in a Mediterranean Climate Using Permanent Raised Beds. Soil Tillage Res. 2010, 110, 8–24. [Google Scholar] [CrossRef]
- Falakboland, Z.; Zhou, M.; Zeng, F.; Kiani-Pouya, A.; Shabala, L.; Shabala, S. Plant Ionic Relation and Whole-Plant Physiological Responses to Waterlogging, Salinity and Their Combination in Barley. Funct. Plant Biol. 2017, 44, 941–953. [Google Scholar] [CrossRef] [PubMed]
- Malik, A.I.; English, J.P.; Colmer, T.D. Tolerance of Hordeum marinum Accessions to O2 Deficiency, Salinity and these Stresses Combined. Ann. Bot. 2009, 103, 237–248. [Google Scholar] [CrossRef]
- Renziehausen, T.; Frings, S.; Schmidt-Schippers, R. “Against All Floods”: Plant Adaptation to Flooding Stress and Combined Abiotic Stresses. Plant J. 2024, 117, 1836–1855. [Google Scholar] [CrossRef] [PubMed]
- Hasegawa, P.M.; Bressan, R.A.; Zhu, J.-K.; Bohnert, H.J. Plant Cellular and Molecular Responses to High Salinity. Annu. Rev. Plant Biol. 2000, 51, 463–499. [Google Scholar] [CrossRef]
- Zhu, J.-K. Plant Salt Tolerance. Trends Plant Sci. 2001, 6, 66–71. [Google Scholar] [CrossRef]
- Munns, R. Comparative Physiology of Salt and Water Stress. Plant Cell Environ. 2002, 25, 239–250. [Google Scholar] [CrossRef]
- Shabala, S.; Shabala, L.; Van Volkenburgh, E.; Newman, I. Effect of Divalent Cations on Ion Fluxes and Leaf Photochemistry in Salinized Barley Leaves. J. Exp. Bot. 2005, 56, 1369–1378. [Google Scholar] [CrossRef]
- McCord, J.M. The Evolution of Free Radicals and Oxidative Stress. Am. J. Med. 2000, 108, 652–659. [Google Scholar] [CrossRef]
- Jena, N. DNA Damage by Reactive Species: Mechanisms, Mutation and Repair. J. Biosci. 2012, 37, 503–517. [Google Scholar] [CrossRef]
- Das, P.; Agarwala, N.; Gill, S.S.; Varshney, R.K. Emerging Role of Plant Long Non-coding RNAs (lncRNAs) in Salinity Stress Response. Plant Stress 2023, 10, 100265. [Google Scholar] [CrossRef]
- Yu, D.; Zhou, M.; Chen, W.; Ding, Z.; Wang, C.; Qian, Y.; Liu, Y.; He, S.; Yang, L. Characterization of Transcriptome Changes in Saline Stress Adaptation on Leuciscus merzbacheri using PacBio Iso-Seq and RNA-Seq. DNA Res. 2024, 31, dsae019. [Google Scholar] [CrossRef]
- Zhao, S.; Zhang, Q.; Liu, M.; Zhou, H.; Ma, C.; Wang, P. Regulation of Plant Responses to Salt Stress. Int. J. Mol. Sci. 2021, 22, 4609. [Google Scholar] [CrossRef]
- Foyer, C.H.; Noctor, G. Redox Sensing and Signalling Associated with Reactive Oxygen in Chloroplasts, Peroxisomes and Mitochondria. Physiol. Plant. 2003, 119, 355–364. [Google Scholar] [CrossRef]
- Bowler, C.; Montagu, M.V.; Inze, D. Superoxide Dismutase and Stress Tolerance. Annu. Rev. Plant Physiol. Plant Mol. Biol. 1992, 43, 83–116. [Google Scholar] [CrossRef]
- Willekens, H.; Inzé, D.; Van Montagu, M.; Van Camp, W. Catalases in Plants. Mol. Breed. 1995, 1, 207–228. [Google Scholar] [CrossRef]
- Caverzan, A.; Passaia, G.; Rosa, S.B.; Ribeiro, C.W.; Lazzarotto, F.; Margis-Pinheiro, M. Plant Responses to Stresses: Role of Ascorbate Peroxidase in the Antioxidant Protection. Genet. Mol. Biol. 2012, 35, 1011–1019. [Google Scholar] [CrossRef]
- Liang, W.; Ma, X.; Wan, P.; Liu, L. Plant Salt-Tolerance Mechanism: A review. Biochem. Biophys. Res. Commun. 2018, 495, 286–291. [Google Scholar] [CrossRef]
- Sharma, P.; Jha, A.B.; Dubey, R.S.; Pessarakli, M. Reactive Oxygen Species, Oxidative Damage, and Antioxidative Defense Mechanism in Plants under Stressful Conditions. J. Bot. 2012, 2012, 217037. [Google Scholar] [CrossRef]
- Dugasa, M.T.; Feng, X.; Wang, N.-H.; Wang, J.; Wu, F. Comparative Transcriptome and Tolerance Mechanism Analysis in the Two Contrasting Wheat (Triticum aestivum L.) Cultivars in Response to Drought and Salinity Stresses. Plant Growth Regul. 2021, 94, 101–114. [Google Scholar] [CrossRef]
- Zeeshan, M.; Lu, M.; Sehar, S.; Holford, P.; Wu, F. Comparison of Biochemical, Anatomical, Morphological, and Physiological Responses to Salinity Stress in Wheat and Barley Genotypes Differing in Salinity Tolerance. Agronomy 2020, 10, 127. [Google Scholar] [CrossRef]
- Barrett-Lennard, E. The Interaction between Waterlogging and Salinity in Higher Plants: Causes, Consequences and Implications. Plant Soil 2003, 253, 35–54. [Google Scholar] [CrossRef]
- Kunika, B.K.; Singh, P.K.; Rani, V.; Pandey, G.C. Salinity Tolerance in Wheat: An Overview. Int. J. Chem. Stud. 2019, 6, 815–820. [Google Scholar]
- Tian, L.; Zhang, Y.; Chen, P.; Zhang, F.; Li, J.; Yan, F.; Dong, Y.; Feng, B. How Does the Waterlogging Regime Affect Crop Yield? A Global Meta–Analysis. Front. Plant Sci. 2021, 12, 634898. [Google Scholar] [CrossRef]
- Erenstein, O.; Jaleta, M.; Mottaleb, K.A.; Sonder, K.; Donovan, J.; Braun, H.-J. Global Trends in Wheat Production, Consumption and Trade. In Wheat Improvement: Food Security in a Changing Climate; Springer International Publishing: Cham, Switzerland, 2022; pp. 47–66. [Google Scholar]
- Liu, K.; Harrison, M.T.; Shabala, S.; Meinke, H.; Ahmed, I.; Zhang, Y.; Tian, X.; Zhou, M. The State of the Art in Modeling Waterlogging Impacts on Plants: What Do We Know and What Do We Need to Know. Earth’s Future 2020, 8, e2020EF001801. [Google Scholar] [CrossRef]
- Loutfy, N.; Sakuma, Y.; Gupta, D.K.; Inouhe, M. Modifications of Water Status, Growth Rate and Antioxidant System in Two Wheat Cultivars as Affected by Salinity Stress and Salicylic Acid. J. Plant Res. 2020, 133, 549–570. [Google Scholar] [CrossRef]
- Trnka, M.; Rötter, R.P.; Ruiz-Ramos, M.; Kersebaum, K.C.; Olesen, J.E.; Žalud, Z.; Semenov, M.A. Adverse Weather Conditions for European Wheat Production Will Become More Frequent with Climate Change. Nat. Clim. Change 2014, 4, 637–643. [Google Scholar] [CrossRef]
- El-Hendawy, S.E.; Hu, Y.; Yakout, G.M.; Awad, A.M.; Hafiz, S.E.; Schmidhalter, U. Evaluating Salt Tolerance of Wheat Genotypes Using Multiple Parameters. Eur. J. Agron. 2005, 22, 243–253. [Google Scholar] [CrossRef]
- Hasan, A.; Hafiz, H.R.; Siddiqui, N.; Khatun, M.; Islam, R.; Mamun, A.-A. Evaluation of Wheat Genotypes for Salt Tolerance Based on Some Physiological Traits. J. Crop Sci. Biotechnol. 2015, 18, 333–340. [Google Scholar] [CrossRef]
- Chaurasia, S.; Kumar, A.; Singh, A.K. Comprehensive Evaluation of Morpho-Physiological and Ionic Traits in Wheat (Triticum aestivum L.) Genotypes under Salinity Stress. Agriculture 2022, 12, 1765. [Google Scholar] [CrossRef]
- Khan, M.M.; Rahman, M.M.; Hasan, M.M.; Amin, M.F.; Matin, M.Q.I.; Faruq, G.; Alkeridis, L.A.; Gaber, A.; Hossain, A. Assessment of the Salt Tolerance of Diverse Bread Wheat (Triticum aestivum L.) Genotypes during the Early Growth Stage under Hydroponic Culture Conditions. Heliyon 2024, 10, e29042. [Google Scholar] [CrossRef]
- Kononenko, N.V.; Lazareva, E.M.; Fedoreyeva, L.I. Mechanisms of Antioxidant Resistance in Different Wheat Genotypes under Salt Stress and Hypoxia. Int. J. Mol. Sci. 2023, 24, 16878. [Google Scholar] [CrossRef]
- Saqib, M.; Akhatar, J.; Qureshi, R.H. Na+ Exclusion and Salt Resistance of Wheat (Triticum aestivum) in Saline-Waterlogged Conditions Are Improved by the Development of Adventitious Nodal Roots and Cortical Root Aerenchyma. Plant Sci. 2005, 169, 125–130. [Google Scholar] [CrossRef]
- Singh, G.; Kulshreshtha, N.; Singh, B.; Setter, T.L.; Singh, M.; Saharan, M.; Tyagi, B.; Verma, A.; Sharma, I. Germplasm Characterization, Association and Clustering for Salinity and Waterlogging Tolerance in Bread Wheat (Triticum aestivum). Indian J. Agric. Sci. 2014, 84, 1102–1110. [Google Scholar] [CrossRef]
- Choudhury, F.K.; Rivero, R.M.; Blumwald, E.; Mittler, R. Reactive Oxygen Species, Abiotic Stress and Stress Combination. Plant J. 2017, 90, 856–867. [Google Scholar] [CrossRef]
- Gerona, M.E.B.; Deocampo, M.P.; Egdane, J.A.; Ismail, A.M.; Dionisio-Sese, M.L. Physiological Responses of Contrasting Rice Genotypes to Salt Stress at Reproductive Stage. Rice Sci. 2019, 26, 207–219. [Google Scholar] [CrossRef]
- Ali, Z.; Salam, A.; Azhar, F.M.; Khan, I.A.; Khan, A.A.; Bahadur, S.; Mahmood, T.; Ahmad, A.; Trethowan, R. The Response of Genetically Distinct Bread Wheat Genotypes to Salinity Stress. Plant Breed. 2012, 131, 707–715. [Google Scholar] [CrossRef]
- Baloglu, M.C.; Oz, M.T.; Oktem, H.A.; Yucel, M. Expression Analysis of TaNAC69-1 and TtNAMB-2, Wheat NAC family Transcription Factor Genes Under Abiotic Stress Conditions in Durum Wheat (Triticum turgidum). Plant Mol. Biol. Rep. 2012, 30, 1246–1252. [Google Scholar] [CrossRef]
- Barghi, N.; Hermisson, J.; Schlötterer, C. Polygenic Adaptation: A Unifying Framework to Understand Positive Selection. Nat. Rev. Genet. 2020, 21, 769–781. [Google Scholar] [CrossRef]
- Sisodia, B.; Rai, V. An Application of Principal Component Analysis for Pre-Harvest Forecast Model for Wheat Crop Based on Biometrical Characters. Int. Res. J. Agric. Econ. 2017, 8, 83–87. [Google Scholar] [CrossRef]
- Hussain, S.; Khaliq, A.; Matloob, A.; Wahid, M.A.; Afzal, I. Germination and Growth Response of Three Wheat Cultivars to NaCl Salinity. Soil Environ. 2013, 32, 36–43. [Google Scholar]
- Uzair, M.; Ali, M.; Fiaz, S.; Attia, K.; Khan, N.; Al-Doss, A.A.; Khan, M.R.; Ali, Z. The Characterization of Wheat Genotypes for Salinity Tolerance Using Morpho-Physiological Indices under Hydroponic Conditions. Saudi J. Biol. Sci. 2022, 29, 103299. [Google Scholar] [CrossRef]
- Neill, S.J.; Desikan, R.; Clarke, A.; Hurst, R.D.; Hancock, J.T. Hydrogen Peroxide and Nitric Oxide as Signalling Molecules in Plants. J. Exp. Bot. 2002, 53, 1237–1247. [Google Scholar] [CrossRef]
- Kronzucker, H.J.; Coskun, D.; Schulze, L.M.; Wong, J.R.; Britto, D.T. Sodium as Nutrient and Toxicant. Plant Soil 2013, 369, 1–23. [Google Scholar] [CrossRef]
- Sreesaeng, J.; Qiu, C.-W.; Zhang, S.; Shi, S.-H.; Luo, L.; Holford, P.; Wu, F. Identification and Characterization of Hull-less Barley (Hordeum vulgare L.) Germplasms for Salt Tolerance. Plant Growth Regul. 2024, 104, 975–989. [Google Scholar] [CrossRef]
- Box, S.; Schachtman, D.P. The Effect of Low Concentrations of Sodium on Potassium Uptake and Growth of Wheat. Funct. Plant Biol. 2000, 27, 175–182. [Google Scholar] [CrossRef]
- Krishnasamy, K.; Bell, R.; Ma, Q. Wheat Responses to Sodium Vary with Potassium Use Efficiency of Cultivars. Front. Plant Sci. 2014, 5, 631. [Google Scholar] [CrossRef] [PubMed]
- Subbarao, G.; Ito, O.; Berry, W.; Wheeler, R. Sodium-A Functional Plant Nutrient. Crit. Rev. Plant Sci. 2003, 22, 391–416. [Google Scholar] [CrossRef]
- Murata, S.; Kobayashi, M.; Matoh, T.; Sekiya, J. Sodium Stimulates Regeneration of Phospho Enol Pyruvate in Mesophyll Chloroplasts of Amaranthus tricolor. Plant Cell Physiol. 1992, 33, 1247–1250. [Google Scholar] [CrossRef]
- Li, X.; Zhang, W.; Niu, D.; Liu, X. Effects of Abiotic Stress on Chlorophyll Metabolism. Plant Sci. 2024, 342, 112030. [Google Scholar] [CrossRef]
- Herzog, M.; Striker, G.G.; Colmer, T.D.; Pedersen, O. Mechanisms of Waterlogging Tolerance in Wheat–A Review of Root and Shoot Physiology. Plant Cell Environ. 2016, 39, 1068–1086. [Google Scholar] [CrossRef]
- Ozcubukcu, S.; Ergun, N. Effects of Waterlogging and Nitric Oxide on Chlorophyll and Carotenoid Pigments of Wheat. J. Food Agric. Environ. 2013, 11, 2319–2323. [Google Scholar]
- Khan, A.M.; Shirazi, M.U.; Khan, M.A.; Mujtaba, S.M.; Islam, E.; Mumtaz, S.; Shereen, A.; Ansari, R.U.; Ashraf, M.Y. Role of Proline, K/Na Ratio and Chlorophyll Content in Salt Tolerance of Wheat (Triticum aestivum L.). Pak. J. Bot. 2009, 41, 633–638. [Google Scholar]
- Saddiq, M.S.; Iqbal, S.; Hafeez, M.B.; Ibrahim, A.M.; Raza, A.; Fatima, E.M.; Baloch, H.; Jahanzaib; Woodrow, P.; Ciarmiello, L.F. Effect of Salinity Stress on Physiological Changes in Winter and Spring Wheat. Agronomy 2021, 11, 1193. [Google Scholar] [CrossRef]
- Tsai, Y.-C.; Chen, K.-C.; Cheng, T.-S.; Lee, C.; Lin, S.-H.; Tung, C.-W. Chlorophyll Fluorescence Analysis in Diverse Rice Varieties Reveals the Positive Correlation between the Seedlings’ Salt Tolerance and Photosynthetic Efficiency. BMC Plant Biol. 2019, 19, 403. [Google Scholar] [CrossRef] [PubMed]
- Ramel, F.; Mialoundama, A.S.; Havaux, M. Nonenzymic Carotenoid Oxidation and Photooxidative Stress Signalling in Plants. J. Exp. Bot. 2013, 64, 799–805. [Google Scholar] [CrossRef] [PubMed]
- Agathokleous, E.; Feng, Z.; Peñuelas, J. Chlorophyll Hormesis: Are Chlorophylls Major Components of Stress Biology in Higher Plants? Sci. Total Environ. 2020, 726, 138637. [Google Scholar] [CrossRef] [PubMed]
- Barrett-Lennard, E.G.; Shabala, S.N. The Waterlogging/Salinity Interaction in Higher Plants Revisited-Focusing on the Hypoxia-Induced Disturbance to K+ Homeostasis. Funct. Plant Biol. 2013, 40, 872–882. [Google Scholar] [CrossRef] [PubMed]
- Kotula, L.; Clode, P.L.; Striker, G.G.; Pedersen, O.; Läuchli, A.; Shabala, S.; Colmer, T.D. Oxygen Deficiency and Salinity Affect Cell-Specific Ion Concentrations in Adventitious Roots of Barley (Hordeum vulgare). New Phytol. 2015, 208, 1114–1125. [Google Scholar] [CrossRef] [PubMed]
- Ibrahimova, U.; Kumari, P.; Yadav, S.; Rastogi, A.; Antala, M.; Suleymanova, Z.; Zivcak, M.; Tahjib-Ul-Arif, M.; Hussain, S.; Abdelhamid, M. Progress in Understanding Salt Stress Response in Plants Using Biotechnological Tools. J. Biotechnol. 2021, 329, 180–191. [Google Scholar] [CrossRef] [PubMed]
- Schachtman, D.; Munns, R. Sodium Accumulation in Leaves of Triticum Species That Differ in Salt Tolerance. Funct. Plant Biol. 1992, 19, 331–340. [Google Scholar] [CrossRef]
- Saqib, M.; Akhtar, J.; Qureshi, R.H.; Nasim, M. Selection and Characterization of Wheat Genotypes for Saline Soils Prone to Waterlogging. J. Plant Nutr. Soil Sci. 2013, 176, 131–137. [Google Scholar] [CrossRef]
- Assaha, D.V.; Ueda, A.; Saneoka, H.; Al-Yahyai, R.; Yaish, M.W. The Role of Na+ and K+ Transporters in Salt Stress Adaptation in Glycophytes. Front. Physiol. 2017, 8, 509. [Google Scholar] [CrossRef] [PubMed]
- Katschnig, D.; Bliek, T.; Rozema, J.; Schat, H. Constitutive High-Level SOS1 Expression and Absence of HKT1; 1 Expression in the Salt-Accumulating Halophyte Salicornia dolichostachya. Plant Sci. 2015, 234, 144–154. [Google Scholar] [CrossRef]
- Munns, R.; Tester, M. Mechanisms of Aalinity Tolerance. Annu. Rev. Plant Biol. 2008, 59, 651–681. [Google Scholar] [CrossRef] [PubMed]
- Fortmeier, R.; Schubert, S. Salt Tolerance of Maize (Zea mays L.): The Role of Sodium Exclusion. Plant Cell Environ. 1995, 18, 1041–1047. [Google Scholar] [CrossRef]
- SüMER, A.; Zörb, C.; Yan Feng, Y.F.; Schubert, S. Evidence of Sodium Toxicity for the Vegetative Growth of Maize (Zea mays L.) during the First Phase of Salt Stress. J. Appl. Bot. Food Qual. 2004, 78, 135–139. [Google Scholar]
- Tester, M.; Davenport, R. Na+ Tolerance and Na+ Transport in Higher Plants. Ann. Bot. 2003, 91, 503–527. [Google Scholar] [CrossRef] [PubMed]
- Drew, M.; Guenther, J.; Läuchli, A. The Combined Effects of Salinity and Root Anoxia on Growth and Net Na+ and K+-Accumulation in Zea mays Grown in Solution Culture. Ann. Bot. 1988, 61, 41–53. [Google Scholar] [CrossRef]
- Gill, M.B.; Zeng, F.; Shabala, L.; Böhm, J.; Zhang, G.; Zhou, M.; Shabala, S. The Ability to Regulate Voltage-Gated K+-Permeable Channels in the Mature Root Epidermis Is Essential for Waterlogging Tolerance in Barley. J. Exp. Bot. 2018, 69, 667–680. [Google Scholar] [CrossRef]
- Temel, A.; Gozukirmizi, N. Physiological and Molecular Changes in Barley and Wheat Under Salinity. J. Appl. Biochem. Biotechnol. 2015, 175, 2950–2960. [Google Scholar] [CrossRef]
- Feki, K.; Tounsi, S.; Masmoudi, K.; Brini, F. The Durum Wheat Plasma Membrane Na+/H+ Antiporter SOS1 Is Involved in Oxidative Stress Response. Protoplasma 2017, 254, 1725–1734. [Google Scholar] [CrossRef]
- Wu, F.; Zhang, G.; Yu, J. Interaction of Cadmium and Four Microelements for Uptake and Translocation in Different Barley Genotypes. Commun. Soil Sci. Plant Anal. 2003, 34, 2003–2020. [Google Scholar] [CrossRef]
- Wu, F.; Wu, L.; Xu, F. The Chlorophyll Meter to Predicting Nitrogen Sidedress Requirements for Short-Season Cotton (Gossypium hirsutum L.). Field Crops Res. 1998, 56, 309–314. [Google Scholar] [CrossRef]
- Foysal, M.R.A.; Qiu, C.W.; Sreesaeng, J.; Elhabashy, S.; Akhter, D.; Zhang, S.; Shi, S.H.; Wu, F. Comprehensive Physio-Biochemical Evaluation Reveals Promising Genotypes and Mechanisms for Cadmium Tolerance in Tibetan Hull-Less Barley. Plants 2024, 13, 3594. [Google Scholar] [CrossRef]
- Shannon, C.E.; Weaver, W. The Mathematical Theory of Communication; University of Illinois Press: Champaign, IL, USA, 1949. [Google Scholar]
- Nxele, X.; Klein, A.; Ndimba, B. Drought and Salinity Stress Alters ROS Accumulation, Water Retention, and Osmolyte Content in Sorghum Plants. S. Afr. J. Bot. 2017, 108, 261–266. [Google Scholar] [CrossRef]
- Saeed, M.; Zhao, H.; Chen, Z.; Ju, P.; Wang, G.; Zhou, C.; Jia, H.; Zhu, C.; Jia, H.; Jiao, Y. Wax Bayberry as a Suitable Rootstock for Chinese Red Bayberry in Saline-Alkali Soil. Sci. Hortic. 2024, 323, 112463. [Google Scholar] [CrossRef]
- Arnon, D.I. Copper Enzymes in Isolated Chloroplasts. Polyphenoloxidase in Beta vulgaris. Plant Physiol. 1949, 24, 1–15. [Google Scholar] [CrossRef]
- Knight, S.L.; Mitchell, C.A. Enhancement of Lettuce Yield by Manipulation of Light and Nitrogen Nutrition. J. Am. Soc. Hortic. Sci. 1983, 108, 750–754. [Google Scholar] [CrossRef]
- Elstner, E.F.; Heupel, A. Inhibition of Nitrite Formation from Hydroxylammonium Chloride: A Simple Assay for Superoxide Dismutase. Anal. Biochem. 1976, 70, 616–620. [Google Scholar] [CrossRef]
- Yu, C.-W.; Murphy, T.M.; Lin, C.-H. Hydrogen Peroxide-Induced Chilling Tolerance in Mung Beans Mediated through ABA-Independent Glutathione Accumulation. Funct. Plant Biol. 2003, 30, 955–963. [Google Scholar] [CrossRef]






| Reduction Percentage | SPAD Value | Leaves per Plant | Plant Height | Shoot FW | Shoot DW | Integrated Score a |
|---|---|---|---|---|---|---|
| Maximum | −2.21 | 4.12 | 7.49 | 1.40 | 6.74 | −0.22 |
| Minimum | −32.95 | −18.87 | −18.24 | −43.82 | −49.89 | −26.32 |
| Mean | −14.45 | −7.35 | −4.93 | −21.65 | −23.08 | −14.30 |
| CM72 | −10.87 | −1.75 | 2.82 | 8.33 | 4.89 | 1.28 |
| CV | 24.31 | 42.15 | 44.52 | 36.27 | 33.98 | 24.94 |
| Diversity index | 2.05 | 1.93 | 2.06 | 1.94 | 2.04 | 2.05 |
| Between genotypes | ** | ** | ** | ** | ** | ** |
Disclaimer/Publisher’s Note: The statements, opinions and data contained in all publications are solely those of the individual author(s) and contributor(s) and not of MDPI and/or the editor(s). MDPI and/or the editor(s) disclaim responsibility for any injury to people or property resulting from any ideas, methods, instructions or products referred to in the content. |
© 2025 by the authors. Licensee MDPI, Basel, Switzerland. This article is an open access article distributed under the terms and conditions of the Creative Commons Attribution (CC BY) license (https://creativecommons.org/licenses/by/4.0/).
Share and Cite
Elhabashy, S.; Zhang, S.; Qiu, C.-W.; Shi, S.-H.; Holford, P.; Wu, F. Identification of Wheat Genotypes with High Tolerance to Combined Salt and Waterlogging Stresses Using Biochemical and Morpho-Physiological Insights at the Seedling Stage. Plants 2025, 14, 1268. https://doi.org/10.3390/plants14091268
Elhabashy S, Zhang S, Qiu C-W, Shi S-H, Holford P, Wu F. Identification of Wheat Genotypes with High Tolerance to Combined Salt and Waterlogging Stresses Using Biochemical and Morpho-Physiological Insights at the Seedling Stage. Plants. 2025; 14(9):1268. https://doi.org/10.3390/plants14091268
Chicago/Turabian StyleElhabashy, Saad, Shuo Zhang, Cheng-Wei Qiu, Shou-Heng Shi, Paul Holford, and Feibo Wu. 2025. "Identification of Wheat Genotypes with High Tolerance to Combined Salt and Waterlogging Stresses Using Biochemical and Morpho-Physiological Insights at the Seedling Stage" Plants 14, no. 9: 1268. https://doi.org/10.3390/plants14091268
APA StyleElhabashy, S., Zhang, S., Qiu, C.-W., Shi, S.-H., Holford, P., & Wu, F. (2025). Identification of Wheat Genotypes with High Tolerance to Combined Salt and Waterlogging Stresses Using Biochemical and Morpho-Physiological Insights at the Seedling Stage. Plants, 14(9), 1268. https://doi.org/10.3390/plants14091268

