MAF-MixNet: Few-Shot Tea Disease Detection Based on Mixed Attention and Multi-Path Feature Fusion
Abstract
1. Introduction
- A mixed attention branch (MA-Branch) is proposed to extract global semantic information, which works in parallel with traditional convolutional layers. It realizes context awareness by coordinating a multi-head self-attention mechanism, a spatial attention mechanism, and a channel attention mechanism;
- A multi-path fusion module (MAFM) is proposed to calibrate and jointly enhance the feature representations of dual paths in a nonlinear adaptive manner. This significantly improves model performance while introducing minimal additional computational parameters;
- We have created a real scene leaf disease detection dataset dedicated to few-shot learning by employing data cleaning and data augmentation strategies. The data augmentation is used for improving the data size and the model’s generalization ability through simulating natural lighting conditions. The dataset supports progressive dataset partitioning and enriches the existing few-shot dataset system based on base class and new class training paradigms.
2. Related Work
2.1. Attention Mechanism
2.2. Feature Fusion
2.3. Few-Shot Object Detection
3. Materials and Methods
3.1. Dataset Collection
3.2. Data Preprocessing
- 1.
- Cleaning of blurred images: The blurring and distortion of leaf disease images are mainly caused by camera shake, focusing errors, or environmental interference (such as wind or lighting changes) during the acquisition process. The artifacts in such images can convey misleading information and cause the model to learn incorrect features during training. Meanwhile, the lack of high-frequency information significantly reduces the model’s ability to distinguish disease edge features, resulting in poor performance in practical applications.To eliminate the ambiguity of the image, we use the Laplacian operator variance method to quantify the clarity of the image. The Laplacian operator can highlight image areas that contain rapid intensity changes by calculating the second derivative of the image. Similar to the Sobel and Scharr operators, it is commonly used for edge detection. A high variance indicates that the image has rich high-frequency details; that is, its edge features and texture details are more significant, corresponding to the frequency domain features of a clear image in a normal focus state. Conversely, a low variance value indicates that the high-frequency information in the image is missing, and its intensity distribution tends to be uniform. Therefore, the lower the Laplacian variance value, the more blurred the image is. Through experiments and analysis, it was found that a threshold of 120 can effectively distinguish clear images from blurred images. The specific calculation formulas are shown in Formulas (3) and (4), where is the gray value of the image at , is the mean value of the Laplacian image, and N is the total number of pixels in the image.
- 2.
- Cleaning of redundant images: Redundant images primarily result from continuous shooting or repeated acquisition, which exhibit high visual similarity and may contain nearly identical disease areas and background information. These redundant images can lead to model overfitting during training and reduce its discriminative capability for disease features. To eliminate redundancy, we employ the Structural Similarity Index (SSIM) to measure inter-image similarity. SSIM evaluates image similarity through three components: luminance similarity, contrast similarity, and structural similarity. Specifically, it uses means to estimate luminance similarity, standard deviations for contrast similarity, and covariance to measure structural similarity. The final similarity score is the product of these three components, ranging from −1 to 1, where an SSIM value of 1 indicates identical images. We set the threshold at 0.85, which is used in many methods. When the structural similarity between two images exceeds 0.85, one of them is randomly deleted. The detailed SSIM calculation formula is shown in the following equation:x and y represent the two images being compared, represents the average brightness of image x, represents the standard deviation of image x, and represents the covariance between images x and y. This formula quantifies the level of structural similarity between the two images.
3.3. Proposed Method
3.3.1. Overall
3.3.2. MA-Branch
3.3.3. MAFM
3.4. Experimental Settings
3.4.1. Evaluation Metric
3.4.2. Hardware and Software Platform
3.4.3. Optimizer and Hyperparameter Settings
3.4.4. Comparison Methods
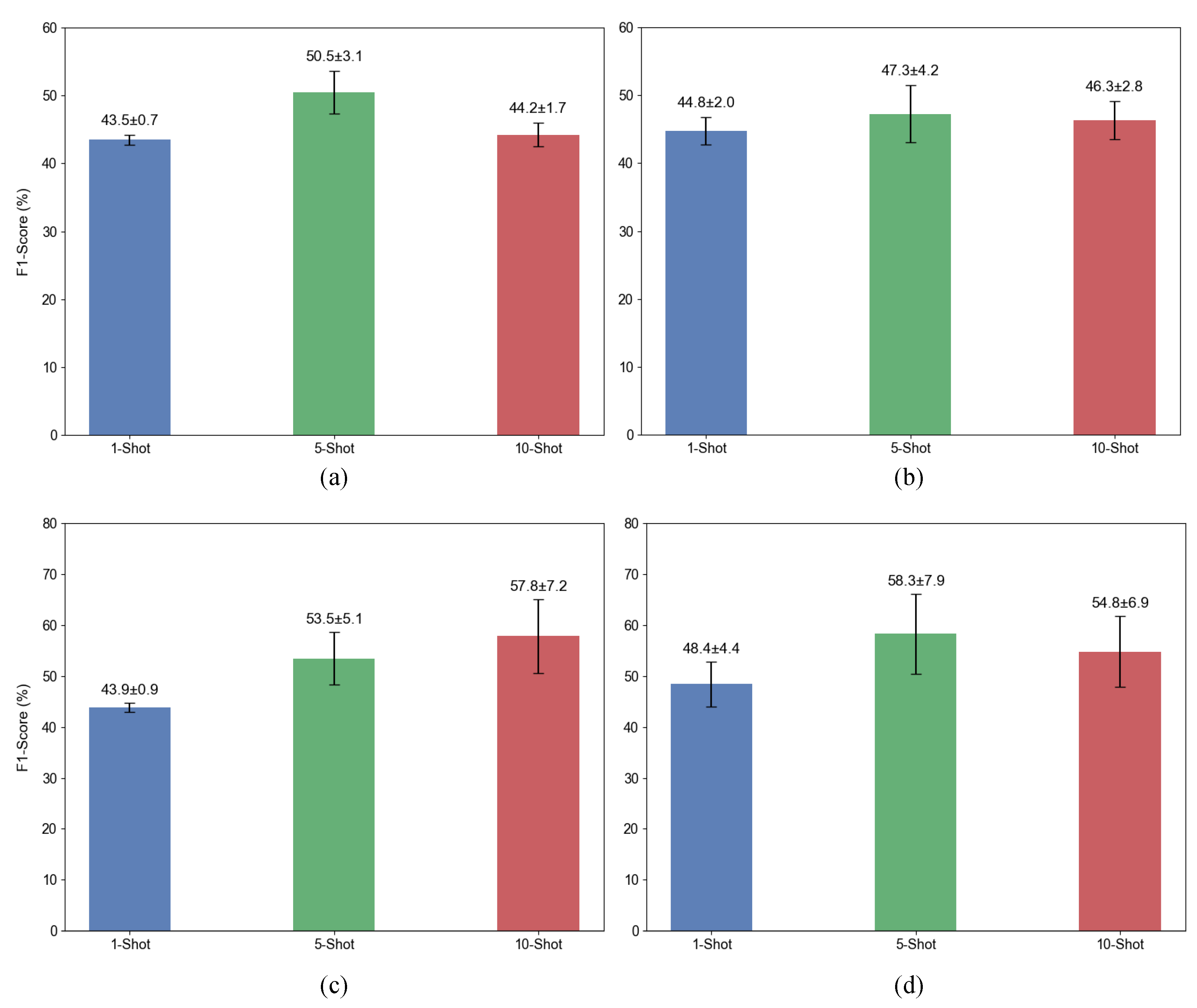
4. Results and Discussion
4.1. Disease Detection Results
4.2. Ablation Experiments
4.3. Validation of Model Robustness
4.4. Computational Efficiency Analysis
4.5. Limitation and Future Work
5. Conclusions
Author Contributions
Funding
Data Availability Statement
Conflicts of Interest
References
- Hazra, A.; Dasgupta, N.; Sengupta, C.; Bera, B.; Das, S. Tea: A Worthwhile, Popular Beverage Crop Since Time Immemorial. In Agronomic Crops; Springer: Singapore, 2019; pp. 507–531. [Google Scholar] [CrossRef]
- Xu, Y.; Mao, Y.; Li, H.; Sun, L.; Wang, S.; Li, X.; Shen, J.; Yin, X.; Fan, K.; Ding, Z.; et al. A deep learning model for rapid classification of tea coal disease. Plant Methods 2023, 19, 98. [Google Scholar] [CrossRef] [PubMed]
- Xue, Z.; Xu, R.; Bai, D.; Lin, H. YOLO-Tea: A Tea Disease Detection Model Improved by YOLOv5. Forests 2023, 14, 415. [Google Scholar] [CrossRef]
- Zhou, H.; Peng, Y.; Zhang, R.; He, Y.; Li, L.; Xiao, W. GS-DeepLabV3+: A mountain tea disease segmentation network based on improved shuffle attention and gated multidimensional feature extraction. Crop Prot. 2024, 183, 106762. [Google Scholar] [CrossRef]
- Soeb, M.J.A.; Jubayer, M.F.; Tarin, T.A.; Mamun, M.R.A.; Ruhad, F.M.; Parven, A.; Mubarak, N.M.; Karri, S.L.; Meftaul, I.M. Tea leaf disease detection and identification based on YOLOv7 (YOLO-T). Sci. Rep. 2023, 13, 6078. [Google Scholar] [CrossRef]
- Li, J.; Liao, C. Tea Disease Recognition Based on Image Segmentation and Data Augmentation. IEEE Access 2025, 13, 19664–19677. [Google Scholar] [CrossRef]
- Hu, G.; Wei, K.; Zhang, Y.; Bao, W.; Liang, D. Estimation of tea leaf blight severity in natural scene images. Precis. Agric. 2021, 22, 1239–1262. [Google Scholar] [CrossRef]
- Rezaei, M.; Diepeveen, D.; Laga, H.; Jones, M.G.K.; Sohel, F. Plant disease recognition in a low data scenario using few-shot learning. Comput. Electron. Agric. 2024, 219, 108812. [Google Scholar] [CrossRef]
- Li, Y.; Chao, X. Semi-supervised few-shot learning approach for plant diseases recognition. Plant Methods 2021, 17, 68. [Google Scholar] [CrossRef]
- Yao, X.; Lin, H.; Bai, D.; Zhou, H. A Small Target Tea Leaf Disease Detection Model Combined with Transfer Learning. Forests 2024, 15, 591. [Google Scholar] [CrossRef]
- Hu, G.; Wu, H.; Zhang, Y.; Wan, M. A low shot learning method for tea leaf’s disease identification. Comput. Electron. Agric. 2019, 163, 104852. [Google Scholar] [CrossRef]
- Guo, M.H.; Xu, T.; Liu, J.; Liu, Z.N.; Jiang, P.T.; Mu, T.J.; Zhang, S.H.; Martin, R.R.; Cheng, M.M.; Hu, S. Attention mechanisms in computer vision: A survey. Comput. Vis. Media 2021, 8, 331–368. [Google Scholar] [CrossRef]
- Tian, Y.; Ye, Q.; Doermann, D. YOLOv12: Attention-Centric Real-Time Object Detectors. arXiv 2025. [Google Scholar] [CrossRef]
- Devlin, J.; Chang, M.W.; Lee, K.; Toutanova, K. BERT: Pre-training of Deep Bidirectional Transformers for Language Understanding. In Proceedings of the 2019 Conference of the North American Chapter of the Association for Computational Linguistics: Human Language Technologies, Minneapolis, MN, USA, 2–7 June 2019; pp. 4171–4186. [Google Scholar] [CrossRef]
- OpenAI; Achiam, J.; Adler, S.; Agarwal, S.; Ahmad, L.; Akkaya, I.; Aleman, F.L.; Almeida, D.; Altenschmidt, J.; Altman, S.; et al. GPT-4 Technical Report. arXiv 2023, arXiv:2303.08774. [Google Scholar] [CrossRef]
- Liu, Z.; Lin, Y.; Cao, Y.; Hu, H.; Wei, Y.; Zhang, Z.; Lin, S.; Guo, B. Swin Transformer: Hierarchical Vision Transformer using Shifted Windows. In Proceedings of the 2021 IEEE/CVF International Conference on Computer Vision (ICCV), Montreal, QC, Canada, 10–17 October 2021; pp. 9992–10002. [Google Scholar] [CrossRef]
- Carion, N.; Massa, F.; Synnaeve, G.; Usunier, N.; Kirillov, A.; Zagoruyko, S. End-to-End Object Detection with Transformers. In Proceedings of the Computer Vision—ECCV 2020, Glasgow, UK, 23–28 August 2020; pp. 213–229. [Google Scholar] [CrossRef]
- Lin, Z.; Nikishin, E.; He, X.O.; Courville, A. Forgetting Transformer: Softmax Attention with a Forget Gate. arXiv 2025. [Google Scholar] [CrossRef]
- Dutta, D.; Chetia, D.; Sonowal, N.; Kalita, S.K. State-of-the-Art Transformer Models for Image Super-Resolution: Techniques, Challenges, and Applications. arXiv 2025. [Google Scholar] [CrossRef]
- Yang, Y.Q.; Guo, Y.X.; Xiong, J.Y.; Liu, Y.; Pan, H.; Wang, P.S.; Tong, X.; Guo, B. Swin3D: A pretrained transformer backbone for 3D indoor scene understanding. Comput. Vis. Media 2025, 11, 83–101. [Google Scholar] [CrossRef]
- Han, G.; Ma, J.; Huang, S.; Chen, L.; Chang, S.F. Few-Shot Object Detection with Fully Cross-Transformer. In Proceedings of the 2022 IEEE/CVF Conference on Computer Vision and Pattern Recognition (CVPR), New Orleans, LA, USA, 18–24 June 2022; pp. 5311–5320. [Google Scholar] [CrossRef]
- Fan, Q.; Zhuo, W.; Tai, Y.W. Few-Shot Object Detection With Attention-RPN and Multi-Relation Detector. In Proceedings of the 2020 IEEE/CVF Conference on Computer Vision and Pattern Recognition (CVPR), Seattle, WA, USA, 13–19 June 2019; pp. 4012–4021. [Google Scholar] [CrossRef]
- Rezaei, M.; Diepeveen, D.; Laga, H.; Gupta, S.; Jones, M.G.; Sohel, F. A transformer-based few-shot learning pipeline for barley disease detection from field-collected imagery. Comput. Electron. Agric. 2025, 229, 109751. [Google Scholar] [CrossRef]
- Veesam, S.B.; Satish, A.; Tupakula, S.; Chinnam, Y.; Prakash, K.; Bansal, S.; Faruque, M.R.I. Design of an integrated model with temporal graph attention and transformer-augmented RNNs for enhanced anomaly detection. Sci. Rep. 2025, 15, 2692. [Google Scholar] [CrossRef]
- Liu, W.; Lu, X.; Wei, Y.; Ran, Z. MFECNet: Multi-level feature enhancement and correspondence network for few-shot anomaly detection of high-speed trains. Pattern Recognit. 2025, 161, 111298. [Google Scholar] [CrossRef]
- Dai, Y.; Gieseke, F.; Oehmcke, S.; Wu, Y.; Barnard, K. Attentional Feature Fusion. In Proceedings of the 2021 IEEE Winter Conference on Applications of Computer Vision (WACV), Snowmass Village, CO, USA, 1–5 March 2020; pp. 3559–3568. [Google Scholar] [CrossRef]
- Yu, X.; Huang, Z.; Zhang, Z. Feature Fusion Transferability Aware Transformer for Unsupervised Domain Adaptation. arXiv 2024. [Google Scholar] [CrossRef]
- Ding, J.; Zhou, X. Learning Feature Fusion for Unsupervised Domain Adaptive Person Re-identification. In Proceedings of the 2022 26th International Conference on Pattern Recognition (ICPR), Montreal, QC, Canada, 21–25 August 2022; pp. 2613–2619. [Google Scholar] [CrossRef]
- Morano, J.; Aresta, G.; Grechenig, C.; Schmidt-Erfurth, U.; Bogunović, H. Deep Multimodal Fusion of Data With Heterogeneous Dimensionality via Projective Networks. IEEE J. Biomed. Health Inform. 2024, 28, 2235–2246. [Google Scholar] [CrossRef]
- Li, H.; Wu, X.J. CrossFuse: A novel cross attention mechanism based infrared and visible image fusion approach. Inf. Fusion 2024, 103, 102147. [Google Scholar] [CrossRef]
- Han, G.; Huang, S.; Ma, J.; He, Y.; Chang, S.F. Meta Faster R-CNN: Towards Accurate Few-Shot Object Detection with Attentive Feature Alignment. In Proceedings of the AAAI Conference on Artificial Intelligence, Vancouver, BC, Canada, 22 February–1 March 2021; pp. 780–789. [Google Scholar] [CrossRef]
- Liu, S.; Huang, D.; Wang, Y. Learning Spatial Fusion for Single-Shot Object Detection. arXiv 2019. [Google Scholar] [CrossRef]
- Hussain, I.; Tan, S.; Huang, J. Few-shot based learning recaptured image detection with multi-scale feature fusion and attention. Pattern Recognit. 2025, 161, 111248. [Google Scholar] [CrossRef]
- Köhler, M.; Eisenbach, M.; Groß, H. Few-Shot Object Detection: A Comprehensive Survey. IEEE Trans. Neural Netw. Learn. Syst. 2021, 35, 11958–11978. [Google Scholar] [CrossRef]
- Sun, B.; Li, B.; Cai, S.; Yuan, Y.; Zhang, C. FSCE: Few-Shot Object Detection via Contrastive Proposal Encoding. In Proceedings of the 2021 IEEE/CVF Conference on Computer Vision and Pattern Recognition (CVPR), Nashville, TN, USA, 20–25 June 2021; pp. 7348–7358. [Google Scholar] [CrossRef]
- Wang, X.; Huang, T.E.; Darrell, T.; Gonzalez, J.E.; Yu, F. Frustratingly Simple Few-Shot Object Detection. arXiv 2020. [Google Scholar] [CrossRef]
- Zhang, W.; Wang, Y.X. Hallucination Improves Few-Shot Object Detection. In Proceedings of the 2021 IEEE/CVF Conference on Computer Vision and Pattern Recognition (CVPR), Nashville, TN, USA, 20–25 June 2021; pp. 13003–13012. [Google Scholar] [CrossRef]
- Zhu, C.; Chen, F.; Ahmed, U.; Shen, Z.; Savvides, M. Semantic Relation Reasoning for Shot-Stable Few-Shot Object Detection. In Proceedings of the 2021 IEEE/CVF Conference on Computer Vision and Pattern Recognition (CVPR), Nashville, TN, USA, 20–25 June 2021; pp. 8778–8787. [Google Scholar] [CrossRef]
- Han, G.; He, Y.; Huang, S.; Ma, J.; Chang, S.F. Query Adaptive Few-Shot Object Detection with Heterogeneous Graph Convolutional Networks. In Proceedings of the 2021 IEEE/CVF International Conference on Computer Vision (ICCV), Montreal, QC, Canada, 10–17 October 2021; pp. 3243–3252. [Google Scholar] [CrossRef]
- Huang, G.; Laradji, I.; Vázquez, D.; Lacoste-Julien, S.; López, P.R. A Survey of Self-Supervised and Few-Shot Object Detection. IEEE Trans. Pattern Anal. Mach. Intell. 2021, 45, 4071–4089. [Google Scholar] [CrossRef]
- Bar, A.; Wang, X.; Kantorov, V.; Reed, C.J.; Herzig, R.; Chechik, G.; Rohrbach, A.; Darrell, T.; Globerson, A. DETReg: Unsupervised Pretraining with Region Priors for Object Detection. In Proceedings of the 2022 IEEE/CVF Conference on Computer Vision and Pattern Recognition (CVPR), New Orleans, LA, USA, 18–24 June 2022; pp. 14585–14595. [Google Scholar] [CrossRef]
- Dong, N.; Zhang, Y.; Ding, M.; Lee, G.H. Incremental-DETR: Incremental Few-Shot Object Detection via Self-Supervised Learning. Proc. AAAI Conf. Artif. Intell. 2023, 37, 543–551. [Google Scholar] [CrossRef]
- Xiong, W.; Cui, Y.; Liu, L. Semi-Supervised Few-Shot Object Detection with a Teacher-Student Network. In Proceedings of the 32th British Machine Vision Conference, Online, 22–25 November 2021; p. 290. [Google Scholar]
- Tran, P.V. LEDetection: A Simple Framework for Semi-Supervised Few-Shot Object Detection. arXiv 2023. [Google Scholar] [CrossRef]
- Ren, S.; He, K.; Girshick, R.B.; Sun, J. Faster R-CNN: Towards Real-Time Object Detection with Region Proposal Networks. IEEE Trans. Pattern Anal. Mach. Intell. 2015, 39, 1137–1149. [Google Scholar] [CrossRef]
- Dosovitskiy, A.; Beyer, L.; Kolesnikov, A.; Weissenborn, D.; Zhai, X.; Unterthiner, T.; Dehghani, M.; Minderer, M.; Heigold, G.; Gelly, S.; et al. An Image is Worth 16x16 Words: Transformers for Image Recognition at Scale. arXiv 2020. [Google Scholar] [CrossRef]
- Chollet, F. Xception: Deep Learning with Depthwise Separable Convolutions. In Proceedings of the 2017 IEEE Conference on Computer Vision and Pattern Recognition (CVPR), Honolulu, HI, USA, 21–26 July 2017; pp. 1800–1807. [Google Scholar] [CrossRef]
- Kang, B.; Liu, Z.; Wang, X.; Yu, F.; Feng, J.; Darrell, T. Few-Shot Object Detection via Feature Reweighting. In Proceedings of the 2019 IEEE/CVF International Conference on Computer Vision (ICCV), Seoul, Republic of Korea, 27 October–2 November 2019; pp. 8419–8428. [Google Scholar] [CrossRef]
- Fu, Y.; Wang, Y.; Pan, Y.; Huai, L.; Qiu, X.; Shangguan, Z.; Liu, T.; Fu, Y.; Van Gool, L.; Jiang, X. Cross-Domain Few-Shot Object Detection via Enhanced Open-Set Object Detector. In Computer Vision—ECCV 2024; Springer: Cham, Switzerland, 2024; pp. 247–264. [Google Scholar] [CrossRef]
- Qiao, L.; Zhao, Y.; Li, Z.; Qiu, X.; Wu, J.; Zhang, C. DeFRCN: Decoupled Faster R-CNN for Few-Shot Object Detection. In Proceedings of the 2021 IEEE/CVF International Conference on Computer Vision (ICCV), Montreal, QC, Canada, 10–17 October 2021; pp. 8661–8670. [Google Scholar] [CrossRef]
- Zhu, X.; Su, W.; Lu, L.; Li, B.; Wang, X.; Dai, J. Deformable DETR: Deformable Transformers for End-to-End Object Detection. arXiv 2020. [Google Scholar] [CrossRef]
- Wu, X.; Zhan, C.; Lai, Y.K.; Cheng, M.M.; Yang, J. IP102: A Large-Scale Benchmark Dataset for Insect Pest Recognition. In Proceedings of the 2019 IEEE/CVF Conference on Computer Vision and Pattern Recognition (CVPR), Long Beach, CA, USA, 15–20 June 2019; pp. 8779–8788. [Google Scholar] [CrossRef]
- Zainab, A.; Syed, D. Deployment of Deep Learning Models on Resource-Deficient Devices for Object Detection. In Proceedings of the 2020 IEEE International Conference on Informatics, IoT, and Enabling Technologies (ICIoT), Doha, Qatar, 2–5 February 2020; pp. 73–78. [Google Scholar] [CrossRef]
- Mehta, S.; Rastegari, M. MobileViT: Light-weight, General-purpose, and Mobile-friendly Vision Transformer. arXiv 2021. [Google Scholar] [CrossRef]
- Sapkota, R.; Qureshi, R.; Calero, M.F.; Badjugar, C.; Nepal, U.; Poulose, A.; Zeno, P.; Vaddevolu, U.B.P.; Khan, S.; Shoman, M.; et al. YOLOv12 to Its Genesis: A Decadal and Comprehensive Review of The You Only Look Once (YOLO) Series. arXiv 2024. [Google Scholar] [CrossRef]
- Liu, W.; Anguelov, D.; Erhan, D.; Szegedy, C.; Reed, S.E.; Fu, C.Y.; Berg, A. SSD: Single Shot MultiBox Detector. In Proceedings of the Computer Vision—ECCV 2016, Amsterdam, The Netherlands, 11–14 October 2016; pp. 21–37. [Google Scholar] [CrossRef]
- Howard, A.; Sandler, M.; Chen, B.; Wang, W.; Chen, L.C.; Tan, M.; Chu, G.; Vasudevan, V.; Zhu, Y.; Pang, R.; et al. Searching for MobileNetV3. In Proceedings of the 2019 IEEE/CVF International Conference on Computer Vision (ICCV), Seoul, Republic of Korea, 27 October–2 November 2019; pp. 1314–1324. [Google Scholar] [CrossRef]









| Category | Number |
|---|---|
| Tea anthracnose disease | 25 |
| Tea brown blight disease | 28 |
| Cotton fusarium wilt disease | 185 |
| Cotton powdery mildew | 258 |
| Category | Number (Before Data Cleaning) | Number of Blurred Images | Number of Redundant Images | Number (After Data Cleaning) |
|---|---|---|---|---|
| Fusarium wilt disease | 185 | 63 | 37 | 68 |
| Powdery mildew | 258 | 182 | 0 | 64 |
| Anthracnose disease | 25 | 4 | 2 | 19 |
| Brown blight disease | 28 | 4 | 3 | 21 |
| Category | Number (Before Augmentation) | Number (After Augmentation) |
|---|---|---|
| Fusarium wilt disease | 68 | 408 |
| Powdery mildew | 45 | 270 |
| Components | Version |
|---|---|
| Detectron2 | 0.3 |
| PyTorch | 1.7.0 |
| Python | 3.8 |
| Numpy | 1.21.2 |
| CUDA | 11.0 |
| TensorBoard | 2.6.0 |
| Model | Backbone | Recall | Precision | nAP50 | F1 score |
|---|---|---|---|---|---|
| FsDet | ResNet101 | 84.0 | 34.2 | 40.4 | 48.6 |
| Meta Faster RCNN | ResNet101 | 73.9 | 35.9 | 53.4 | 48.3 |
| DeFRCN | ResNet101 | 81.0 | 33.0 | 47.9 | 46.9 |
| CD-ViTO | ViT-L | 83.1 | 40.4 | 40.3 | 54.3 |
| Deformable DETR | ResNeXt-101+DCN | 83.9 | 41.5 | 44.7 | 55.5 |
| DETReg | ResNet50 | 79.2 | 28.0 | 32.7 | 41.4 |
| MAF-MixNet (ours) | ResNet101+ViT-L | 70.2 | 62.0 | 60.1 | 65.9 |
| Model | Backbone | Recall | Precision | nAP50 | F1 score |
|---|---|---|---|---|---|
| FsDet | ResNet101 | 80.3 | 32.6 | 14.3 | 46.4 |
| Meta Faster RCNN | ResNet101 | 84.9 | 43.8 | 52.6 | 57.8 |
| DeFRCN | ResNet101 | 49.3 | 37.3 | 33.4 | 42.5 |
| CD-ViTO | ViT-L | 81.9 | 43.5 | 43.5 | 56.8 |
| Deformable DETR | ResNeXt-101+DCN | 83.9 | 48.6 | 54.1 | 61.7 |
| DETReg | ResNet50 | 83.4 | 34.2 | 50.9 | 48.5 |
| MAF-MixNet (ours) | ResNet101+ViT-L | 63.5 | 63.6 | 73.8 | 63.6 |
| Model | MA-Branch | MAFM | 1-Shot nAP50 | 3-Shot nAP50 | 5-Shot nAP50 | 10-Shot nAP50 |
|---|---|---|---|---|---|---|
| Baseline | ✗ | ✗ | 14.0 | 21.1 | 40.4 | 14.3 |
| ✓ | ✗ | 23.5 | 26.4 | 41.4 | 30.3 | |
| ✗ | ✓ | 27.2 | 40.3 | 57.0 | 69.6 | |
| Ours | ✓ | ✓ | 34.1 | 53.5 | 60.1 | 73.8 |
| Model | Recall | Precision | AP50 | F1 score |
|---|---|---|---|---|
| FsDet | 78.9 | 19.9 | 45.9 | 31.8 |
| Meta Faster RCNN | 90.3 | 18.6 | 53.8 | 30.8 |
| DeFRCN | 75.6 | 15.0 | 31.9 | 25.1 |
| Deformable DETR | 62.0 | 23.3 | 23.3 | 33.9 |
| DETReg | 53.8 | 23.8 | 32.4 | 33.0 |
| MAF-MixNet (ours) | 51.6 | 26.9 | 56.3 | 34.1 |
| Model | FLOPs(G) | Params | Inference Speed (FPS) |
|---|---|---|---|
| FsDet | 34.51 | 14.50 | 7.75 |
| Meta Faster RCNN | 169.00 | 39.81 | 5.24 |
| DeFRCN | 83.90 | 51.93 | 2.44 |
| Deformable DETR | 86.05 | 32.54 | 18.46 |
| CD-ViTO | 94.90 | 51.93 | 5.88 |
| DETReg | 158.84 | 39.83 | 4.29 |
| MAF-MixNet (ours) | 87.22 | 241.40 | 11.63 |
Disclaimer/Publisher’s Note: The statements, opinions and data contained in all publications are solely those of the individual author(s) and contributor(s) and not of MDPI and/or the editor(s). MDPI and/or the editor(s) disclaim responsibility for any injury to people or property resulting from any ideas, methods, instructions or products referred to in the content. |
© 2025 by the authors. Licensee MDPI, Basel, Switzerland. This article is an open access article distributed under the terms and conditions of the Creative Commons Attribution (CC BY) license (https://creativecommons.org/licenses/by/4.0/).
Share and Cite
Zhang, W.; Tan, K.; Wang, H.; Hu, D.; Pu, H. MAF-MixNet: Few-Shot Tea Disease Detection Based on Mixed Attention and Multi-Path Feature Fusion. Plants 2025, 14, 1259. https://doi.org/10.3390/plants14081259
Zhang W, Tan K, Wang H, Hu D, Pu H. MAF-MixNet: Few-Shot Tea Disease Detection Based on Mixed Attention and Multi-Path Feature Fusion. Plants. 2025; 14(8):1259. https://doi.org/10.3390/plants14081259
Chicago/Turabian StyleZhang, Wenjing, Ke Tan, Han Wang, Di Hu, and Haibo Pu. 2025. "MAF-MixNet: Few-Shot Tea Disease Detection Based on Mixed Attention and Multi-Path Feature Fusion" Plants 14, no. 8: 1259. https://doi.org/10.3390/plants14081259
APA StyleZhang, W., Tan, K., Wang, H., Hu, D., & Pu, H. (2025). MAF-MixNet: Few-Shot Tea Disease Detection Based on Mixed Attention and Multi-Path Feature Fusion. Plants, 14(8), 1259. https://doi.org/10.3390/plants14081259

