Adequate Boron Supply Modulates Carbohydrate Synthesis and Allocation in Sugarcane
Abstract
1. Introduction
2. Results
2.1. Carbohydrate Concentrations and Allocation
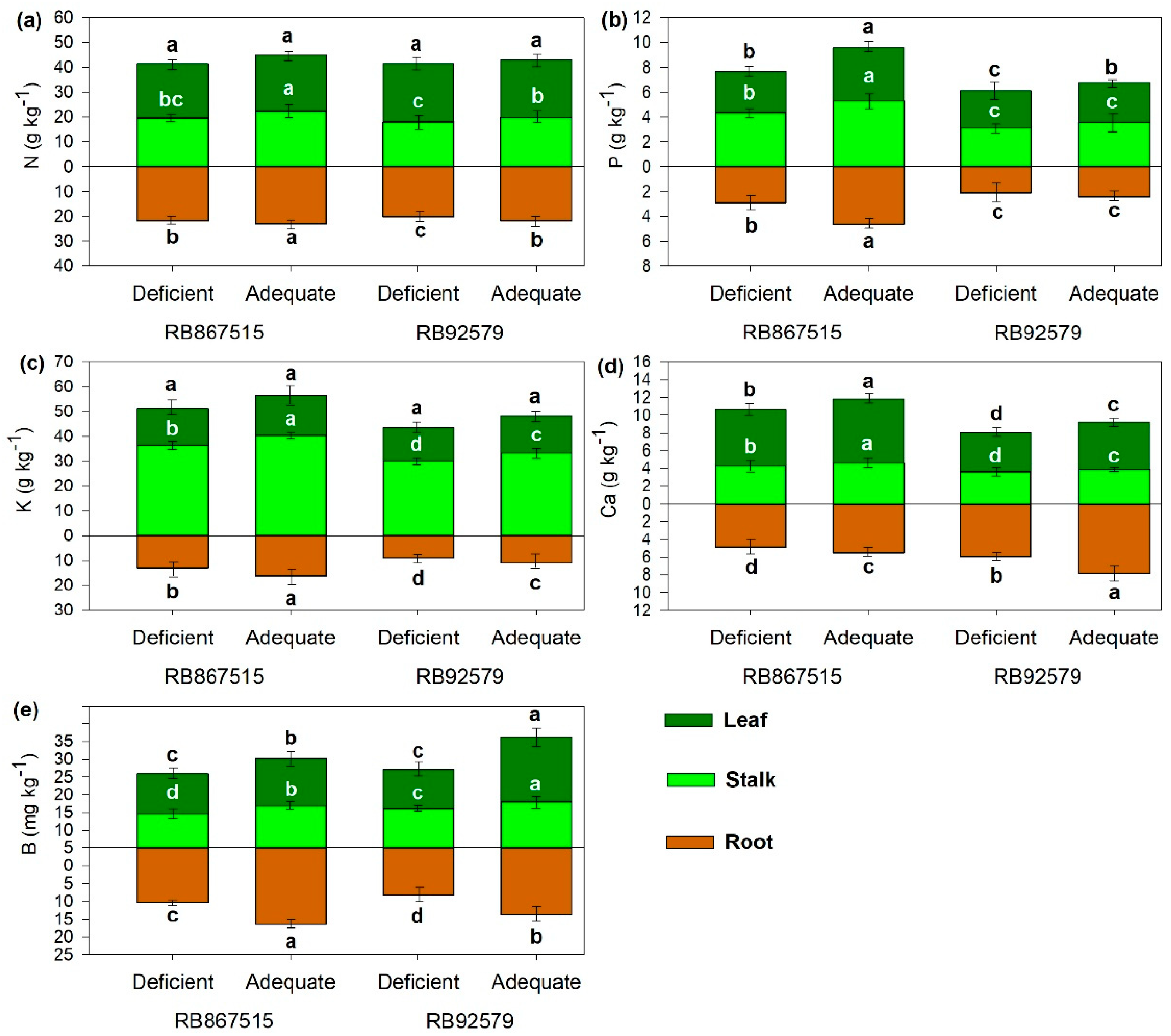
2.2. Nutritional Status
2.3. Plant Growth, Root Morphological Parameters, and Biomass Production
2.4. Varietal Differences
3. Discussion
3.1. Carbohydrate Concentrations and Allocation
3.2. Nutritional Status
3.3. Plant Growth and Morphological Parameters
4. Materials and Methods
4.1. Experimental Design and Varieties
4.2. Seedling Management and Nutrient Solution
4.3. Growth Parameters
4.4. Root Morphological Parameters
4.5. Plant Dry Matter Production
4.6. Nutrient Concentrations
4.7. Carbohydrate Concentrations
Statistical Analysis
5. Conclusions
Author Contributions
Funding
Data Availability Statement
Acknowledgments
Conflicts of Interest
References
- Brown, P.H.; Bellaloui, N.; Wimmer, M.A.; Bassil, E.S.; Ruiz, J.; Hu, H.; Pfeffer, H.; Dannel, F.; Römheld, V. Boron in Plant Biology. Plant Biol. 2002, 4, 205–223. [Google Scholar] [CrossRef]
- Shireen, F.; Nawaz, M.A.; Chen, C.; Zhang, Q.; Zheng, Z.; Sohail, H.; Sun, J.; Cao, H.; Huang, Y.; Bie, Z. Boron: Functions and Approaches to Enhance Its Availability in Plants for Sustainable Agriculture. Int. J. Mol. Sci. 2018, 19, 1856. [Google Scholar] [CrossRef] [PubMed]
- Goli, E.; Hiemstra, T.; Rahnemaie, R. Interaction of Boron with Humic Acid and Natural Organic Matter: Experiments and Modeling. Chem. Geol. 2019, 515, 1–8. [Google Scholar] [CrossRef]
- Das, A.K.; Purkait, A. Boron Dynamics in Soil: Classification, Sources, Factors, Fractions, and Kinetics. Commun. Soil. Sci. Plant Anal. 2020, 51, 2778–2790. [Google Scholar] [CrossRef]
- Algieri, B. The Influence of Biofuels, Economic and Financial Factors on Daily Returns of Commodity Futures Prices. Energy Policy 2014, 69, 227–247. [Google Scholar] [CrossRef]
- Bernardo, R.; Lourenzani, W.L.; Satolo, E.G.; Caldas, M.M. Analysis of the Agricultural Productivity of the Sugarcane Crop in Regions of New Agricultural Expansions of Sugarcane. Gest. Prod. 2019, 26, e3554. [Google Scholar] [CrossRef]
- de Campos, M.; Penn, C.J.; Gonzalez, J.M.; Alexandre Costa Crusciol, C. Effectiveness of Deep Lime Placement and Tillage Systems on Aluminum Fractions and Soil Chemical Attributes in Sugarcane Cultivation. Geoderma 2022, 407, 115545. [Google Scholar] [CrossRef]
- Crusciol, C.A.C.; McCray, J.M.; de Campos, M.; do Nascimento, C.A.C.; Rossato, O.B.; Adorna, J.C.; Mellis, E.V. Filter Cake as a Long-Standing Source of Micronutrients for Sugarcane. J. Soil. Sci. Plant Nutr. 2021, 21, 813–823. [Google Scholar] [CrossRef]
- Vale, F.; Araujo, M.; Vitti, G. Avaliação Do Estado Nutricional Dos Micronutrientes Em Áreas Com Cana-de-Açúcar. In Proceedings of the Reunião Brasileira de Fertilidade do Solo e Nutrição de Plantas, Londrina, Brazil, 15–19 September 2008; Embrapa-Soja/SBCS/IAPAR/UEL: Londrina, Brazil, 2008. [Google Scholar]
- Becari, G.R.G. Resposta da Cana-Planta à Aplicação de Micronutrientes; Instituto Agronômico de Campinas: Campinas, Brazil, 2010. [Google Scholar]
- Mellis, E.V.; Quaggio, J.A.; Becari, G.R.G.; Teixeira, L.A.J.; Cantarella, H.; Dias, F.L.F. Effect of Micronutrients Soil Supplementation on Sugarcane in Different Production Environments: Cane Plant Cycle. Agron. J. 2016, 108, 2060–2070. [Google Scholar] [CrossRef]
- González-Fontes, A.; Herrera-Rodríguez, M.B.; Martín-Rejano, E.M.; Navarro-Gochicoa, M.T.; Rexach, J.; Camacho-Cristóbal, J.J. Root Responses to Boron Deficiency Mediated by Ethylene. Front. Plant Sci. 2016, 6, 1103. [Google Scholar] [CrossRef] [PubMed]
- Lu, Y.B.; Yang, L.T.; Li, Y.; Xu, J.; Liao, T.T.; Chen, Y.B.; Chen, L.S. Effects of Boron Deficiency on Major Metabolites, Key Enzymes and Gas Exchange in Leaves and Roots of Citrus Sinensis Seedlings. Tree Physiol. 2014, 34, 608–618. [Google Scholar] [CrossRef] [PubMed]
- Légaré, M.A.; Bélanger-Chabot, G.; Dewhurst, R.D.; Welz, E.; Krummenacher, I.; Engels, B.; Braunschweig, H. Nitrogen Fixation and Reduction at Boron. Science 2018, 359, 896–900. [Google Scholar] [CrossRef]
- Riaz, M.; Yan, L.; Wu, X.; Hussain, S.; Aziz, O.; Jiang, C. Mechanisms of Organic Acids and Boron Induced Tolerance of Aluminum Toxicity: A Review. Ecotoxicol. Environ. Saf. 2018, 165, 25–35. [Google Scholar] [CrossRef]
- Qu, M.; Huang, X.; Shabala, L.; Fuglsang, A.T.; Yu, M.; Shabala, S. Understanding Ameliorating Effects of Boron on Adaptation to Salt Stress in Arabidopsis. Plants 2024, 13, 1960. [Google Scholar] [CrossRef]
- Manzoor, M.; Khan, M.Z.; Ahmad, S.; Alqahtani, M.D.; Shabaan, M.; Sarwar, S.; Hameed, M.A.; Zulfiqar, U.; Hussain, S.; Ali, M.F.; et al. Optimizing Sugarcane Growth, Yield, and Quality in Different Ecological Zones and Irrigation Sources Amidst Environmental Stressors. Plants 2023, 12, 3526. [Google Scholar] [CrossRef]
- Yang, J.; Wei, H.; Lei, P.; Qin, J.; Tian, H.; Fan, D.; Zhang, J.; Qin, Z.; Huang, X.; Liu, X. Effects of Exogenous Boron on Salt Stress Responses of Three Mangrove Species. Plants 2024, 14, 79. [Google Scholar] [CrossRef]
- Wang, S.; Cheng, H.; Wei, Y. Supplemental Silicon and Boron Alleviates Aluminum-Induced Oxidative Damage in Soybean Roots. Plants 2024, 13, 821. [Google Scholar] [CrossRef]
- Reyes-Díaz, M.; Cárcamo-Fincheira, P.; Tighe-Neira, R.; Nunes-Nesi, A.; Savouré, A.; Inostroza-Blancheteau, C. Effects of Foliar Boron Application on Physiological and Antioxidants Responses in Highbush Blueberry (Vaccinium corymbosum L.) Cultivars. Plants 2024, 13, 1553. [Google Scholar] [CrossRef]
- Ahmad, W.; Zia, M.H.; Malhi, S.S.; Niaz, A.; Ullah, S. Boron Deficiency in Soils and Crops: A Review. In Crop Plant; IntechOpen: London, UK, 2012; ISBN 978-953-51-0527-5. [Google Scholar]
- Ryden, P.; Sugimoto-Shirasu, K.; Smith, A.C.; Findlay, K.; Reiter, W.D.; McCann, M.C. Tensile Properties of Arabidopsis Cell Walls Depend on Both a Xyloglucan Cross-Linked Microfibrillar Network and Rhamnogalacturonan II-Borate Complexes. Plant Physiol. 2003, 132, 1033–1040. [Google Scholar] [CrossRef]
- Alves, F.V.; Polesi, L.F.; Aguiar, C.L.; Sarmento, S.B.S. Structural and Physicochemical Characteristics of Starch from Sugar Cane and Sweet Sorghum Stalks. Carbohydr. Polym. 2014, 111, 592–597. [Google Scholar] [CrossRef] [PubMed]
- Wang, J.; Nayak, S.; Koch, K.; Ming, R. Carbon Partitioning in Sugarcane (Saccharum Species). Front. Plant Sci. 2013, 4, 201. [Google Scholar] [CrossRef] [PubMed]
- Camacho-Cristóbal, J.J.; González-Fontes, A. Boron Deficiency Decreases Plasmalemma H+-ATPase Expression and Nitrate Uptake, and Promotes Ammonium Assimilation into Asparagine in Tobacco Roots. Planta 2007, 226, 443–451. [Google Scholar] [CrossRef]
- Hu, H.; Brown, P.H.; Labavitch, J.M. Species Variability in Boron Requirement Is Correlated with Cell Wall Pectin. J. Exp. Bot. 1996, 47, 227–232. [Google Scholar] [CrossRef]
- Daros, E.; de Oliveira, R.A.; Zambon, J.L.C.; Bespalhok Filho, J.C. De Variedades “RB” de Cana-de-Açúcar; Embrapa: Curitiba, Brazil, 2010. [Google Scholar]
- Bossolani, J.W.; Crusciol, C.A.C.; Garcia, A.; Moretti, L.G.; Portugal, J.R.; Rodrigues, V.A.; Fonseca, M.d.C.d.; Calonego, J.C.; Caires, E.F.; Amado, T.J.C.; et al. Long-Term Lime and Phosphogypsum Amended-Soils Alleviates the Field Drought Effects on Carbon and Antioxidative Metabolism of Maize by Improving Soil Fertility and Root Growth. Front. Plant Sci. 2021, 12, 1437. [Google Scholar] [CrossRef] [PubMed]
- Rodrigues, V.A.; Crusciol, C.A.C.; Bossolani, J.W.; Moretti, L.G.; Portugal, J.R.; Mundt, T.T.; de Oliveira, S.L.; Garcia, A.; Calonego, J.C.; Lollato, R.P. Magnesium Foliar Supplementation Increases Grain Yield of Soybean and Maize by Improving Photosynthetic Carbon Metabolism and Antioxidant Metabolism. Plants 2021, 10, 797. [Google Scholar] [CrossRef] [PubMed]
- Yang, L.-T.; Pan, J.-F.; Hu, N.-J.; Chen, H.-H.; Jiang, H.-X.; Lu, Y.; Camacho-Cristóbal, J.J.; Reguera, M.; Yang, L.-T.; Pan, J.-F.; et al. Citrus Physiological and Molecular Response to Boron Stresses. Plants 2021, 11, 40. [Google Scholar] [CrossRef]
- Lu, Y.B.; Qi, Y.P.; Yang, L.T.; Lee, J.; Guo, P.; Ye, X.; Jia, M.Y.; Li, M.L.; Chen, L.S. Long-Term Boron-Deficiency-Responsive Genes Revealed by CDNA-AFLP Differ between Citrus sinensis Roots and Leaves. Front. Plant Sci. 2015, 6, 147557. [Google Scholar] [CrossRef]
- Ferreira, G.A.; Hippler, F.W.R.; dos S. Prado, L.A.; Rima, J.A.H.; Boaretto, R.M.; Quaggio, J.A.; Façanha, A.R.; Mattos-Jr, D. Boron Modulates the Plasma Membrane H+-ATPase Activity Affecting Nutrient Uptake of Citrus Trees. Ann. Appl. Biol. 2021, 178, 293–303. [Google Scholar] [CrossRef]
- Kabu, M.; Akosman, M.S. Biological Effects of Boron. In Reviews of Environmental Contamination and Toxicology; Springer: New York, NY, YSA, 2013; pp. 57–75. [Google Scholar]
- Liu, G.; Dong, X.; Liu, L.; Wu, L.; Peng, S.; Jiang, C. Metabolic Profiling Reveals Altered Pattern of Central Metabolism in Navel Orange Plants as a Result of Boron Deficiency. Physiol. Plant 2015, 153, 513–524. [Google Scholar] [CrossRef] [PubMed]
- Li, W.; Johnson, C.E. Relationships among PH, Aluminum Solubility and Aluminum Complexation with Organic Matter in Acid Forest Soils of the Northeastern United States. Geoderma 2016, 271, 234–242. [Google Scholar] [CrossRef]
- Fageria, V.D. Nutrient Interactions in Crop Plants. J. Plant Nutr. 2001, 24, 1269–1290. [Google Scholar] [CrossRef]
- Eggert, K.; von Wirén, N. Response of the Plant Hormone Network to Boron Deficiency. New Phytol. 2017, 216, 868–881. [Google Scholar] [CrossRef]
- Camacho-Cristóbal, J.J.; Rexach, J.; Herrera-Rodríguez, M.B.; Navarro-Gochicoa, M.T.; González-Fontes, A. Boron Deficiency and Transcript Level Changes. Plant Sci. 2011, 181, 85–89. [Google Scholar] [CrossRef]
- Herrera-Rodríguez, M.; González-Fontes, A.; Rexach, J.; Camacho-Cristóbal, J.; Maldonado, J.; Navarro-Gochicoa, M. Role of Boron in Vascular Plants and Response Mechanisms to Boron Stresses. Plant Stress 2010, 4, 115–122. [Google Scholar]
- Quaggio, J.A.; Cantarella, H.; van Raij, B.; Otto, R.; Penatti, C.P.; Rossetto, R.; Vitti, G.C.; Korndõrfer, G.H.; Trivelin, P.C.O.; Mellis, E.V.; et al. CANA-DE-AÇÚCAR. In Boletim 100: Recomendações de Adubação e Calagem para o Estado de São Paulo; Cantarella, H., Quaggio, J.A., Mattos, D., Jr., Boaretto, R.M., van Raij, B., Eds.; Instituto Agronômico de Campinas: Campinas, Brazil, 2022; pp. 1–489. [Google Scholar]
- Spironello, A.; van Raij, B.; Penatti, C.P.; Cantarella, H.; Morelli, J.L.; Orlando Filho, J.; Landell, M.G.d.A.; Rossetto, R. 61 Cana de Açúcar. In Recomendações de Adubação e Calagem para o Estado de São Paulo; Instituto Agronômico de Campinas: Campinas, Brazil, 1996; pp. 59–61. [Google Scholar]
- Fageria, N.K.; Moreira, A. The Role of Mineral Nutrition on Root Growth of Crop Plants; Academic Press: Cambridge, MA, USA, 2011; Volume 110, ISBN 978-0-12-385531-2. [Google Scholar]
- Carvalho, P.; Foulkes, M.J. Roots and Uptake of Water and Nutrients. In Encyclopedia of Sustainability Science and Technology; Springer: New York, NY, USA, 2018; pp. 1–24. [Google Scholar]
- Orlando Filho, J.; Rosseto, R.; Casagrande, A.A.; Ferreira, M.E.; Cruz, M.C.P.; Raij, B.V.; Abreu, C.A. Micronutrientes e Elementos Tóxicos Na Agricultura. In Cana-de-Açúcar; Instituto Agronômico de Campinas: Campinas, Brazil, 2001; pp. 355–373. [Google Scholar]
- Furlani, A.M.C.; Furlani, P.R. Composição e PH de Soluções Nutritivas para Estudos Fisiológicos e Seleção de Plantas em Condições Nutricionais Adversas; Instituto Agronômico de Campinas: Campinas, Brazil, 1988. [Google Scholar]
- Van Dillewijn, C. Botany of Sugarcane; Chronica Botanica: New York, NY, USA, 1952. [Google Scholar]
- Machado, R.S.; Ribeiro, R.V.; Ribeiro Marchiori, P.E.; Pedro Machado, D.F.S.; Machado, E.C.; de Andrade Landell, M.G. Biometric and Physiological Responses to Water Deficit in Sugarcane at Different Phenological Stages. Pesqui. Agropecu. Bras. 2009, 44, 1575–1582. [Google Scholar] [CrossRef]
- Tennant, D. A Test of a Modified Line Intersect Method of Estimating Root Length. J. Ecol. 1975, 63, 995. [Google Scholar] [CrossRef]
- Malavolta, E.; Vitti, G.C.; Oliveira, S.A. Avaliação do Estado Nutricional das Plantas: Princípios e Aplicações, 2nd ed.; POTAFOS: Piracicaba, Brazil, 1997. [Google Scholar]
- Nelson, N. A Photometric Adaptation of the Somogyi Method for the Determination of Glucose. J. Biol. Chem. 1944, 153, 375–380. [Google Scholar] [CrossRef]
- Somogyi, M. Notes on Sugar Determination. J. Biol. Chem. 1952, 195, 19–23. [Google Scholar] [CrossRef]
- Jolliffe, I. Principal Component Analysis. In International Encyclopedia of Statistical Science; Lovric, M., Ed.; Springer: Berlin/Heidelberg, Germany, 2011; pp. 1094–1096. [Google Scholar] [CrossRef]




Disclaimer/Publisher’s Note: The statements, opinions and data contained in all publications are solely those of the individual author(s) and contributor(s) and not of MDPI and/or the editor(s). MDPI and/or the editor(s) disclaim responsibility for any injury to people or property resulting from any ideas, methods, instructions or products referred to in the content. |
© 2025 by the authors. Licensee MDPI, Basel, Switzerland. This article is an open access article distributed under the terms and conditions of the Creative Commons Attribution (CC BY) license (https://creativecommons.org/licenses/by/4.0/).
Share and Cite
Martello, J.M.; Campos, M.d.; Nascimento, C.A.C.d.; Garcia, A.; Tarumoto, M.B.; Siqueira, G.F.d.; Brown, P.H.; Crusciol, C.A.C. Adequate Boron Supply Modulates Carbohydrate Synthesis and Allocation in Sugarcane. Plants 2025, 14, 657. https://doi.org/10.3390/plants14050657
Martello JM, Campos Md, Nascimento CACd, Garcia A, Tarumoto MB, Siqueira GFd, Brown PH, Crusciol CAC. Adequate Boron Supply Modulates Carbohydrate Synthesis and Allocation in Sugarcane. Plants. 2025; 14(5):657. https://doi.org/10.3390/plants14050657
Chicago/Turabian StyleMartello, Jorge Martinelli, Murilo de Campos, Carlos Antônio Costa do Nascimento, Ariani Garcia, Miriam Büchler Tarumoto, Gabriela Ferraz de Siqueira, Patrick H. Brown, and Carlos Alexandre Costa Crusciol. 2025. "Adequate Boron Supply Modulates Carbohydrate Synthesis and Allocation in Sugarcane" Plants 14, no. 5: 657. https://doi.org/10.3390/plants14050657
APA StyleMartello, J. M., Campos, M. d., Nascimento, C. A. C. d., Garcia, A., Tarumoto, M. B., Siqueira, G. F. d., Brown, P. H., & Crusciol, C. A. C. (2025). Adequate Boron Supply Modulates Carbohydrate Synthesis and Allocation in Sugarcane. Plants, 14(5), 657. https://doi.org/10.3390/plants14050657

