Responses of Arbuscular Mycorrhizal Fungi and Plant Communities to Long-Term Mining and Passive Restoration
Abstract
1. Introduction
2. Results
2.1. Soil Properties After Mining and Passive Restoration
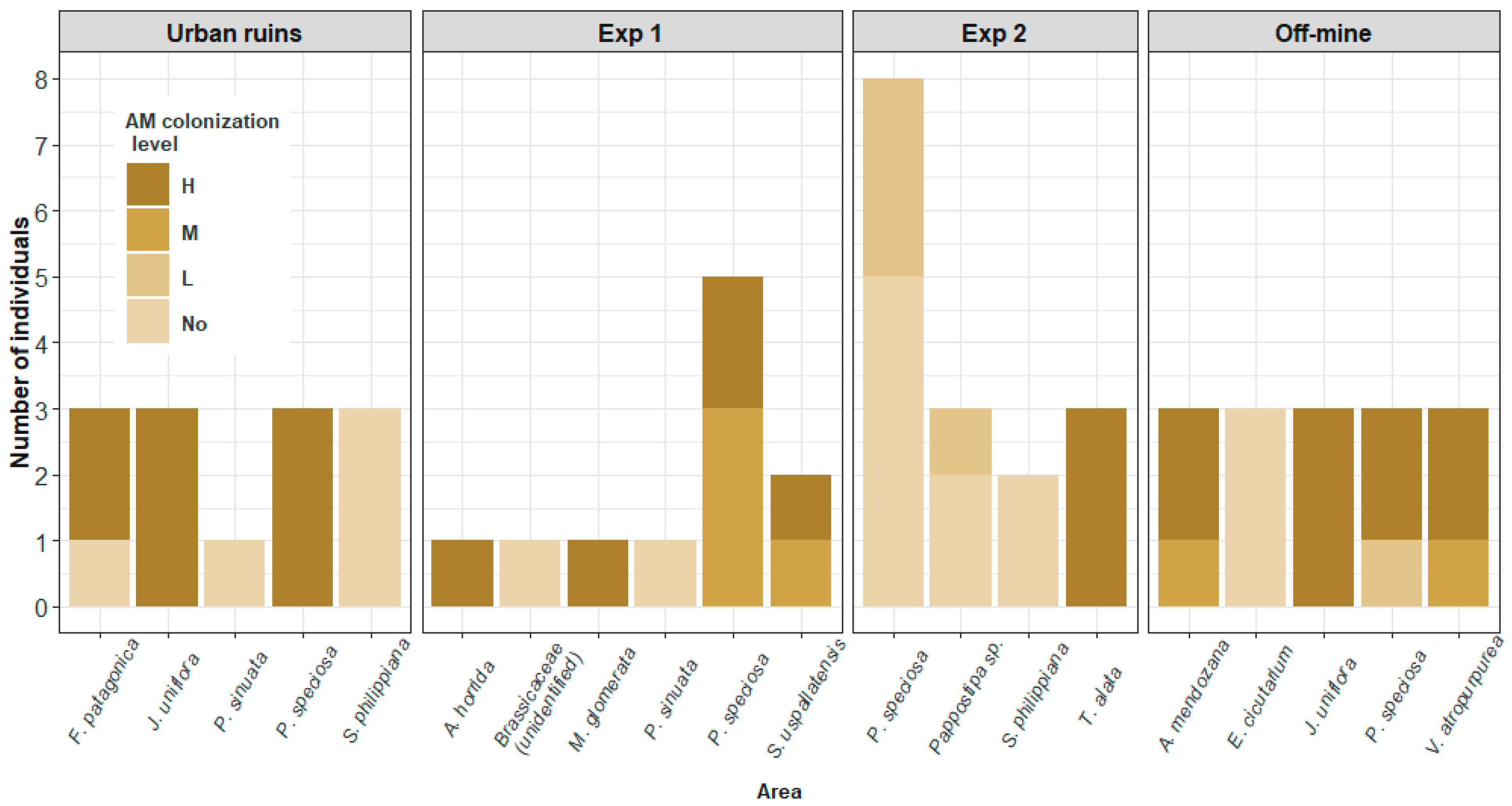
2.2. Plants and Mycorrhizal Status
2.3. AM Fungal Communities
2.4. Relationships Between Soil Parameters and AM Communities
3. Discussion
4. Materials and Methods
4.1. Description of Study Areas and Sampling
4.2. Soil and Substrate Analyses
4.3. Biological Parameters
4.3.1. Plant Traits
4.3.2. Mycorrhizal Status
4.3.3. AM Fungal Communities Analyses
4.4. Data Analysis
5. Conclusions
Supplementary Materials
Author Contributions
Funding
Data Availability Statement
Acknowledgments
Conflicts of Interest
References
- Brundrett, M.C.; Tedersoo, L. Evolutionary History of Mycorrhizal Symbioses and Global Host Plant Diversity. New Phytol. 2018, 220, 1108–1115. [Google Scholar] [CrossRef] [PubMed]
- Smith, S.E.; Read, D. Mycorrhizal Symbiosis, 3rd ed.; Elsevier Ltd.: Amsterdam, The Netherlands, 2008; ISBN 978-0-12-370526-6. [Google Scholar]
- Cornejo, P.; Meier, S.; Borie, F. Utilización de Hongos Micorrícicos Arbusculares Como Alternativa Para La Recuperación de Suelos Contaminados Por Actividades Mineras. Gest. Ambient. 2008, 16, 13–26. [Google Scholar]
- Bompadre, M.J.; Benavidez, M.; Colombo, R.P.; Silvani, V.A.; Godeas, A.M.; Scotti, A.; Pardo, A.G.; Fernández Bidondo, L. Mycorrhizal Stress Alleviation in Senecio Bonariensis Hook & Arn Growing in Urban Polluted Soils. J. Environ. Qual. 2021, 50, 589–597. [Google Scholar] [CrossRef]
- Becerra, A.G.; Menoyo, E.; Faggioli, V.; Cabello, M.; Salazar, M.J. Mycorrhizal Fungal Communities Associated with Three Metal Accumulator Plants Growing in an Abandoned Pb Smelting Factory. Braz. J. Microbiol. 2023, 54, 2979–2990. [Google Scholar] [CrossRef]
- Benavidez, M.E.; de la Fournière, E.M.; Colombo, R.P.; Silvani, V.A.; Debray, M.E.; Scotti, A.; Godeas, A.M. Micro PIXE Mapping Proves a Differential Distribution and Concentration of Trace Elements in Fungal Structures of Rhizophagus intraradices. Fungal Biol. 2024, 128, 2089–2093. [Google Scholar] [CrossRef] [PubMed]
- Shi, W.; Zhang, Y.; Chen, S.; Polle, A.; Rennenberg, H.; Luo, Z.-B. Physiological and Molecular Mechanisms of Heavy Metal Accumulation in Nonmycorrhizal versus Mycorrhizal Plants. Plant Cell Environ. 2019, 42, 1087–1103. [Google Scholar] [CrossRef]
- Al-Maliki, S.; Ebreesum, H. Changes in Soil Carbon Mineralization, Soil Microbes, Roots Density and Soil Structure Following the Application of the Arbuscular Mycorrhizal Fungi and Green Algae in the Arid Saline Soil. Rhizosphere 2020, 14, 100203. [Google Scholar] [CrossRef]
- Vahter, T.; Bueno, C.G.; Davison, J.; Herodes, K.; Hiiesalu, I.; Kasari-Toussaint, L.; Oja, J.; Olsson, P.A.; Sepp, S.-K.; Zobel, M.; et al. Co-Introduction of Native Mycorrhizal Fungi and Plant Seeds Accelerates Restoration of Post-Mining Landscapes. J. Appl. Ecol. 2020, 57, 1741–1751. [Google Scholar] [CrossRef]
- Boorboori, M.R.; Zhang, H.-Y. Arbuscular Mycorrhizal Fungi Are an Influential Factor in Improving the Phytoremediation of Arsenic, Cadmium, Lead, and Chromium. J. Fungi 2022, 8, 176. [Google Scholar] [CrossRef]
- Sánchez-Castro, I.; Gianinazzi-Pearson, V.; Cleyet-Marel, J.C.; Baudoin, E.; van Tuinen, D. Glomeromycota Communities Survive Extreme Levels of Metal Toxicity in an Orphan Mining Site. Sci. Total Environ. 2017, 598, 121–128. [Google Scholar] [CrossRef] [PubMed]
- Wang, L.; Ji, B.; Hu, Y.; Liu, R.; Sun, W. A Review on in Situ Phytoremediation of Mine Tailings. Chemosphere 2017, 184, 594–600. [Google Scholar] [CrossRef] [PubMed]
- Buck, M.T.; Straker, C.J.; Mavri-Damelin, D.; Weiersbye, I.M. Diversity of Arbuscular Mycorrhizal (AM) Fungi Colonising Roots of Indigenous Vachellia and Senegalia Trees on Gold and Uranium Mine Tailings in South Africa. S. Afr. J. Bot. 2019, 121, 34–44. [Google Scholar] [CrossRef]
- Riaz, M.; Kamran, M.; Fang, Y.; Wang, Q.; Cao, H.; Yang, G.; Deng, L.; Wang, Y.; Zhou, Y.; Anastopoulos, I.; et al. Arbuscular Mycorrhizal Fungi-Induced Mitigation of Heavy Metal Phytotoxicity in Metal Contaminated Soils: A Critical Review. J. Hazard. Mater. 2021, 402, 123919. [Google Scholar] [CrossRef] [PubMed]
- Owiny, A.A.; Dusengemungu, L. Mycorrhizae in Mine Wasteland Reclamation. Heliyon 2024, 10, e33141. [Google Scholar] [CrossRef]
- Chaudhary, B.; Holland, E.; Charman-Anderson, S.; Guzman, A.; Bell-Dereske, L.; Cheeke, T.; Corrales, A.; Duchicela, J.; Egan, C.; Gupta, M.; et al. What Are Mycorrhizal Traits? Trends Ecol. Evol. 2022, 37, 573–581. [Google Scholar] [CrossRef]
- Hart, M.M.; Reader, R.J. Taxonomic Basis for Variation in the Colonization Strategy of Arbuscular Mycorrhizal Fungi. New Phytol. 2002, 153, 335–344. [Google Scholar] [CrossRef]
- Chagnon, P.-L.; Bradley, R.L.; Maherali, H.; Klironomos, J.N. A Trait-Based Framework to Understand Life History of Mycorrhizal Fungi. Trends Plant Sci. 2013, 18, 484–491. [Google Scholar] [CrossRef]
- Hart, M.M.; Zaitsoff, P.D.; van der Heyde, M.; Pither, J. Testing Life History and Trait-Based Predictions of AM Fungal Community Assembly. Pedobiologia 2016, 59, 203–213. [Google Scholar] [CrossRef]
- Horsch, C.C.A.; Antunes, P.M.; Kallenbach, C.M. Arbuscular Mycorrhizal Fungal Communities with Contrasting Life-History Traits Influence Host Nutrient Acquisition. Mycorrhiza 2023, 33, 1–14. [Google Scholar] [CrossRef] [PubMed]
- Scotti, A.; Silvani, V.; Milia, S.; Cappai, G.; Ubaldini, S.; Ortega, V.; Colombo, R.; Godeas, A.; Gómez, M. Scale-up of Mycorrhizal-Assisted Phytoremediation System from Technology Readiness Level 6 (Relevant Environment) to 7 (Operational Environment): Cost-Benefits within a Circular Economy Context. In Soil Science—Emerging Technologies, Global Perspectives and Applications; Aide, M.T., Braden, I., Eds.; IntechOpen: London, UK, 2021; ISBN 978-1-83969-521-6. [Google Scholar]
- Castaño, A.R.; Scotti, A.; Silvani, V.A.; Ubaldini, S.; Trapasso, F.; Tempesta, E.; Plá, R.R.; Giuffré, M.; Juarez, N.A.; Guglietta, D. Remote Sensing and Mycorrhizal-Assisted Phytoremediation for the Management of Mining Waste: Opportunities and Challenges to Raw Materials Supply. Minerals 2023, 13, 765. [Google Scholar] [CrossRef]
- Sironi, O. El Impacto de Los Medios de Producción Minera En Los Paramillos de Uspallata (Mendoza, Argentina): Un Acercamiento Histórico En La Larga Duración (Siglos XVII-XIX). Rev. Hist. Am. Argent. 2013, 48, 57–97. [Google Scholar]
- Becerra, A.G.; Menoyo, E.; Cornejo, P.; Cabello, M. Metal Soil Contamination, Metallophytes, and Arbuscular Mycorrhizal Fungi From South America. In Mycorrhizal Fungi in South America: Biodiversity, Conservation, and Sustainable Food Production; Lugo, M.A., Pagano, M.C., Eds.; Springer International Publishing: Cham, Switzerland, 2022; pp. 219–236. ISBN 978-3-031-12994-0. [Google Scholar]
- Suárez, J.P.; Herrera, P.; Kalinhoff, C.; Vivanco-Galván, O.; Thangaswamy, S. Generalist Arbuscular Mycorrhizal Fungi Dominated Heavy Metal Polluted Soils at Two Artisanal and Small—Scale Gold Mining Sites in Southeastern Ecuador. BMC Microbiol. 2023, 23, 42. [Google Scholar] [CrossRef] [PubMed]
- García De León, D.; Moora, M.; Öpik, M.; Neuenkamp, L.; Gerz, M.; Jairus, T.; Vasar, M.; Bueno, C.G.; Davison, J.; Zobel, M. Symbiont Dynamics during Ecosystem Succession: Co-Occurring Plant and Arbuscular Mycorrhizal Fungal Communities. FEMS Microbiol. Ecol. 2016, 92, fiw097. [Google Scholar] [CrossRef] [PubMed]
- Yang, Y.; Song, Y.; Scheller, H.V.; Ghosh, A.; Ban, Y.; Chen, H.; Tang, M. Community Structure of Arbuscular Mycorrhizal Fungi Associated with Robinia pseudoacacia in Uncontaminated and Heavy Metal Contaminated Soils. Soil Biol. Biochem. 2015, 86, 146–158. [Google Scholar] [CrossRef]
- Rodríguez-Rodríguez, R.M.; Kemmelmeier, K.; Pedroso, D.d.F.; Pinto, F.A.; dos Santos, J.V.; Gastauer, M.; Caldeira, C.F.; Ramos, S.J.; Siqueira, J.O.; Carneiro, M.A.C. Native Arbuscular Mycorrhizal Fungi Respond to Rehabilitation in Iron Ore Mining Areas from the Eastern Brazilian Amazon. Pedobiologia 2021, 89, 150768. [Google Scholar] [CrossRef]
- Hopkins, J.R.; Bennett, A.E. Spore Traits Mediate Disturbance Effects on Arbuscular Mycorrhizal Fungal Community Composition and Mutualisms. Ecology 2023, 104, e4016. [Google Scholar] [CrossRef] [PubMed]
- Olker, J.H.; Elonen, C.M.; Pilli, A.; Anderson, A.; Kinziger, B.; Erickson, S.; Skopinski, M.; Pomplun, A.; LaLone, C.A.; Russom, C.L.; et al. The ECOTOXicology Knowledgebase: A Curated Database of Ecologically Relevant Toxicity Tests to Support Environmental Research and Risk Assessment. Environ. Toxicol. Chem. 2022, 41, 1520–1539. [Google Scholar] [CrossRef] [PubMed]
- Lavandaio, E.O.L. Elementos de Geología, Minera y Materias Primas Minerales; Servicio Geológico Minero Argentino: Mendoza, Argentina, 2008.
- Liu, X.; Feng, Z.; Zhao, Z.; Zhu, H.; Yao, Q. Acidic Soil Inhibits the Functionality of Arbuscular Mycorrhizal Fungi by Reducing Arbuscule Formation in Tomato Roots. Soil Sci. Plant Nutr. 2020, 66, 275–284. [Google Scholar] [CrossRef]
- Silvani, V.A.; Rothen, C.; Rodríguez, M.A.; Cisneros, G.; Godeas, A.M.; Aranda-Rickert, A.; Fracchia, S. Fungal Root Colonization of Puccinellia frigida (Phil.) Johnston, a Dominant Grass Species Inhabiting the Margins of High-Altitude Hypersaline Andean Wetlands. Aquat. Bot. 2013, 108, 26–32. [Google Scholar] [CrossRef]
- Silvani, V.A.; Colombo, R.P.; Scorza, M.V.; Fernández Bidondo, L.; Rothen, C.P.; Scotti, A.; Fracchia, S.; Godeas, A. Arbuscular Mycorrhizal Fungal Diversity in High-Altitude Hypersaline Andean Wetlands Studied by 454-Sequencing and Morphological Approaches. Symbiosis 2016, 72, 143–152. [Google Scholar] [CrossRef]
- Emam, T. Local Soil, but Not Commercial AMF Inoculum, Increases Native and Non-Native Grass Growth at a Mine Restoration Site. Restor. Ecol. 2016, 24, 35–44. [Google Scholar] [CrossRef]
- Koziol, L.; Bauer, J.T.; Duell, E.B.; Hickman, K.; House, G.L.; Schultz, P.A.; Tipton, A.G.; Wilson, G.W.T.; Bever, J.D. Manipulating Plant Microbiomes in the Field: Native Mycorrhizae Advance Plant Succession and Improve Native Plant Restoration. J. Appl. Ecol. 2022, 59, 1976–1985. [Google Scholar] [CrossRef]
- de Moura, M.A.; Oki, Y.; Arantes-Garcia, L.; Cornelissen, T.; Nunes, Y.R.F.; Fernandes, G.W. Mycorrhiza Fungi Application as a Successful Tool for Worldwide Mine Land Restoration: Current State of Knowledge and the Way Forward. Ecol. Eng. 2022, 178, 106580. [Google Scholar] [CrossRef]
- Lugo, M.A.; Reinhart, K.O.; Menoyo, E.; Crespo, E.M.; Urcelay, C. Plant Functional Traits and Phylogenetic Relatedness Explain Variation in Associations with Root Fungal Endophytes in an Extreme Arid Environment. Mycorrhiza 2015, 25, 85–95. [Google Scholar] [CrossRef]
- Giesemann, P.; Rasmussen, H.N.; Gebauer, G. Partial Mycoheterotrophy Is Common among Chlorophyllous Plants with Paris-Type Arbuscular Mycorrhiza. Ann. Bot. 2021, 127, 645–653. [Google Scholar] [CrossRef] [PubMed]
- Huo, L.; Gao, R.; Hou, X.; Yu, X.; Yang, X. Arbuscular Mycorrhizal and Dark Septate Endophyte Colonization in Artemisia Roots Responds Differently to Environmental Gradients in Eastern and Central China. Sci. Total Environ. 2021, 795, 148808. [Google Scholar] [CrossRef]
- Dickson, S.; Smith, F.A.; Smith, S.E. Structural Differences in Arbuscular Mycorrhizal Symbioses: More than 100 Years after Gallaud, Where Next? Mycorrhiza 2007, 17, 375–393. [Google Scholar] [CrossRef] [PubMed]
- Matekwor Ahulu, E.; Nakata, M.; Nonaka, M. Arum- and Paris-Type Arbuscular Mycorrhizas in a Mixed Pine Forest on Sand Dune Soil in Niigata Prefecture, Central Honshu, Japan. Mycorrhiza 2005, 15, 129–136. [Google Scholar] [CrossRef] [PubMed]
- Yamato, M.; Iwasaki, M. Morphological Types of Arbuscular Mycorrhizal Fungi in Roots of Understory Plants in Japanese Deciduous Broadleaved Forests. Mycorrhiza 2002, 12, 291–296. [Google Scholar] [CrossRef] [PubMed]
- Zarei, M.; König, S.; Hempel, S.; Nekouei, M.K.; Savaghebi, G.; Buscot, F. Community Structure of Arbuscular Mycorrhizal Fungi Associated to Veronica Rechingeri at the Anguran Zinc and Lead Mining Region. Environ. Pollut. 2008, 156, 1277–1283. [Google Scholar] [CrossRef]
- Qin, G.; Wu, J.; Zheng, X.; Zhou, R.; Wei, Z. Phosphorus Forms and Associated Properties along an Urban–Rural Gradient in Southern China. Water 2019, 11, 2504. [Google Scholar] [CrossRef]
- Chairul, Z.A.N.; Suwirmen, S. Reini Exploration of Indigenous Arbuscular Mycorrhizal Fungi on Post Mining Soil as Rehabilitation Strategy. J. Biol. Sci. 2019, 19, 218–223. [Google Scholar] [CrossRef]
- Krishnamoorthy, R.; Kim, C.-G.; Subramanian, P.; Kim, K.-Y.; Selvakumar, G.; Sa, T.-M. Arbuscular Mycorrhizal Fungi Community Structure, Abundance and Species Richness Changes in Soil by Different Levels of Heavy Metal and Metalloid Concentration. PLoS ONE 2015, 10, e0128784. [Google Scholar] [CrossRef] [PubMed]
- Teixeira, A.F.d.S.; Kemmelmeier, K.; Marascalchi, M.N.; Stürmer, S.L.; Carneiro, M.A.C.; Moreira, F.M.d.S. Arbuscular Mycorrhizal Fungal Communities in an Iron Mining Area and Its Surroundings: Inoculum Potential, Density, and Diversity of Spores Related to Soil Properties. Ciênc. Agrotecnologia 2017, 41, 511–525. [Google Scholar] [CrossRef]
- Colombo, R.P.; Benavidez, M.E.; Fernandez Bidondo, L.; Silvani, V.A.; Bompadre, M.J.; Statello, M.; Scorza, M.V.; Scotti, A.; Godeas, A.M. Arbuscular Mycorrhizal Fungi in Heavy Metal Highly Polluted Soil in the Riachuelo River Basin. Rev. Argent. Microbiol. 2020, 52, 145–149. [Google Scholar] [CrossRef]
- Han, Y.; Zveushe, O.K.; Dong, F.; Ling, Q.; Chen, Y.; Sajid, S.; Zhou, L.; Resco de Dios, V. Unraveling the Effects of Arbuscular Mycorrhizal Fungi on Cadmium Uptake and Detoxification Mechanisms in Perennial Ryegrass (Lolium perenne). Sci. Total Environ. 2021, 798, 149222. [Google Scholar] [CrossRef] [PubMed]
- Khalid, M.; Ur-Rahman, S.; Hassani, D.; Hayat, K.; Zhou, P.; Hui, N. Advances in Fungal-Assisted Phytoremediation of Heavy Metals: A Review. Pedosphere 2021, 31, 475–495. [Google Scholar] [CrossRef]
- Lugo, M.A.; Anton, A.M.; Domínguez de Toledo, L. Sclerocystis sinuosa (Glomales, Zycomycetes) En Cuatro Poaceae Argentinas. Kurtziana 1995, 24, 145. [Google Scholar]
- Sujkowska-Rybkowska, M.; Lisek, A.; Sumorok, B.; Derkowska, E.; Szymańska, M.; Sas-Paszt, L. Arbuscular Mycorrhizal Fungi as an Important Factor Enabling the Adaptation of Anthyllis vulneraria L. to Zn-Pb-Polluted Tailings. Plants 2023, 12, 2092. [Google Scholar] [CrossRef]
- Camargo-Ricalde, S.L. Some Biological Aspects of the Arbuscular Mycorrhizal Fungi (AMF). Bol. Soc. Botánica México 2001, 68, 15–32. [Google Scholar] [CrossRef]
- Hopkins, J.R.; Bever, J.D. Arbuscular Mycorrhizal Fungal Spore Communities and Co-Occurrence Networks Demonstrate Host-Specific Variation throughout the Growing Season. Mycorrhiza 2024, 34, 463–475. [Google Scholar] [CrossRef] [PubMed]
- Bencherif, K.; Boutekrabt, A.; Fontaine, J.; Laruelle, F.; Dalpè, Y.; Lounès-Hadj Sahraoui, A. Impact of Soil Salinity on Arbuscular Mycorrhizal Fungi Biodiversity and Microflora Biomass Associated with Tamarix articulata Vahll Rhizosphere in Arid and Semi-Arid Algerian Areas. Sci. Total Environ. 2015, 533, 488–494. [Google Scholar] [CrossRef] [PubMed]
- Santander, C.; García, S.; Moreira, J.; Aponte, H.; Araneda, P.; Olave, J.; Vidal, G.; Cornejo, P. Arbuscular Mycorrhizal Fungal Abundance in Elevation Belts of the Hyperarid Atacama Desert. Fungal Ecol. 2021, 51, 101060. [Google Scholar] [CrossRef]
- Silva-Flores, P.; Bueno, C.G.; Neira, J.; Palfner, G. Factors Affecting Arbuscular Mycorrhizal Fungi Spore Density in the Chilean Mediterranean-Type Ecosystem. J. Soil Sci. Plant Nutr. 2019, 19, 42–50. [Google Scholar] [CrossRef]
- Montaño, N.M.; Camargo Ricalde, S.L.; García-Sánchez, R.; Monroy Ata, A. Micorrizas Arbusculares En Ecosistemas Áridos y Semiáridos (Arbuscular Mycorrhizae in Arid and Semiarid Ecosystems), 1st ed.; Instituto Nacional de Ecología-SEMARNAT, Mundi-Prensa SA de CV, UAM-Iztapalapa, FES Zaragoza, UNAM: Distrito Federal, Mexico, 2007; ISBN 978-968-7462-56-1. [Google Scholar]
- Egan, C.; Li, D.-W.; Klironomos, J. Detection of Arbuscular Mycorrhizal Fungal Spores in the Air across Different Biomes and Ecoregions. Fungal Ecol. 2014, 12, 26–31. [Google Scholar] [CrossRef]
- Silva, J.A.d.; Assis, D.M.A.d.; Passos, J.H.d.; Oehl, F.; Maia, L.C. Succession Stages and Soil Attributes Influence the Structure of Arbuscular Mycorrhizal Fungi Communities in the Atlantic Forest. Acta Bot. Bras. 2023, 37, e20230015. [Google Scholar] [CrossRef]
- Cabrera, A.L. Fitogeografía de la República Argentina. Bol. Soc. Argent. Botánica 1971, XIV, 50. [Google Scholar]
- Alessandro, M.B.; Codes, M.I.; Pucciarelli, N.; Sari, G.; Soler, F.; Cabanillas, J. La Complejidad de los Ecosistemas del Norte de la Provincia de Mendoza; Universidad Nacional de Cuyo. Facultad de Filosofía y Letras: Mendoza, Argentina, 2009; p. 206. [Google Scholar]
- Soil Survey Staff. Keys to Soil Taxonomy, 13th ed.; USDA-Natural Resources Conservation Service: Washington, DC, USA, 2022.
- Raunkiær, C. The Life Forms of Plants and Statistical Plant Geography; The Clarendon Press: Oxford, UK, 1934. [Google Scholar]
- Zuloaga, F.O.; Morrone, O.; Belgrano, M.J. Catálogo de las Plantas Vasculares del Cono Sur (Argentina, Sur de Brasil, Chile, Paraguay y Uruguay); Monographs in Systematic Botany from the Missouri Botanical Garden, 2008th ed.; Missouri Botanical Garden Press: St. Louis, MI, USA, 2008; Volume 2, ISBN 978-1-930723-75-7. [Google Scholar]
- Zuloaga, F.O.; Belgrano, M.J.; Zanotti, C.A. Actualización del Catálogo de las Plantas Vasculares del Cono Sur. Darwiniana Nueva Ser. 2019, 7, 208–278. [Google Scholar] [CrossRef]
- Phillips, J.M.; Hayman, D.S. Improved Procedures for Clearing Roots and Staining Parasitic and Vesicular-Arbuscular Mycorrhizal Fungi for Rapid Assessment of Infection. Trans. Br. Mycol. Soc. 1970, 55, 158-IN18. [Google Scholar] [CrossRef]
- Dickson, S. The Arum–Paris Continuum of Mycorrhizal Symbioses. New Phytol. 2004, 163, 187–200. [Google Scholar] [CrossRef] [PubMed]
- Gerdemann, J.W.; Nicolson, T.H. Spores of Mycorrhizal Endogone Species Extracted from Soil by Wet Sieving and Decanting. Trans. Br. Mycol. Soc. 1963, 46, 235–244. [Google Scholar] [CrossRef]
- Daniels, B.A.; Skipper, H.A. Methods for the Recovery and Quantitative Estimation of Propagules from Soil. In Methods & Principles of Mycorrhizal Research; Schenck, N.C., Ed.; American Phytopathological Society: St. Paul, MN, USA, 1982; ISBN 0890540462. [Google Scholar]
- Doncaster, C.C. A Counting Dish for Nematodes. Nematologica 1962, 7, 334–336. [Google Scholar] [CrossRef]
- Blaszkowski, J. Glomeromycota; W. Szafer Institute of Botany, Polish Academy of Sciences: Kraków, Poland, 2012; ISBN 978-83-89648-82-2. [Google Scholar]
- Fungi—INVAM. Available online: https://invam.ku.edu/species-descriptions (accessed on 17 May 2021).
- Silvani, V.A.; Godeas, A.M.; Colombo, R.P.; Pérgola, M.; Statello, M.; Scorza, M.V.; Cabello, M.; Cuenca, G. BGIV | Banco de Glomeromycota In Vitro~About. Available online: https://bgiv.com.ar/ (accessed on 18 March 2024).
- Chao, A.; Gotelli, N.J.; Hsieh, T.C.; Sander, E.L.; Ma, K.H.; Colwell, R.K.; Ellison, A.M. Rarefaction and Extrapolation with Hill Numbers: A Framework for Sampling and Estimation in Species Diversity Studies. Ecol. Monogr. 2014, 84, 45–67. [Google Scholar] [CrossRef]
- Anderson, M.J.; Walsh, D.C.I. PERMANOVA, ANOSIM, and the Mantel Test in the Face of Heterogeneous Dispersions: What Null Hypothesis Are You Testing? Ecol. Monogr. 2013, 83, 557–574. [Google Scholar] [CrossRef]








| Area | Urban Ruins | Exp 1 | Exp 2 | Exp 2-Dump | Off-Mine |
|---|---|---|---|---|---|
| % H | 2.64 ± 0.14 a | 2.57 ± 0.60 a | 2.40 ± 0.10 a | 2.33 ± 0.20 a | 2.53 ± 0.19 a |
| pH (H2O) | 8.4 ± 0.2 a | 8.3 ± 0.1 a | 7.8 ± 0.4 b | 5.5 ± 0.1 c | 8.3 ± 0.1 a |
| EC (mS/cm) | 0.59 ± 0.1 a | 1.33 ± 0.4 a | 5.46 ± 2.5 b | 3.57 ± 0.2 a,b | 0.48 ± 0.2 a |
| TDS (ppt) | 0.29 ± 0.1 a,b | 0.67 ± 0.2 b | 1.49 ± 0.4 c | 1.78 ± 0.1 c | 0.21 ± 0.1 a |
| TC (%) | 7.18 ± 0.47 a | 7.31 ± 0.60 a | 7.10 ± 0.25 a | 6.69 ± 0.42 a | 5.47 ± 0.79 a |
| TP (%) | 0.43 ± 0.04 | 0.18 ± 0.02 | 0.16 ± 0.02 | 0.12 ± 0.01 | 0.12 ± 0.01 |
| Ca (%) | 6.20 ± 0.30 | 3.20 ± 0.20 | 2.10 ± 0.10 | 2.40 ± 0.10 | 5.40 ± 0.30 |
| Mg (%) | 1.37 ± 0.07 | 1.52 ± 0.08 | 0.78 ± 0.08 | 0.35 ± 0.04 | 1.65 ± 0.08 |
| Na (%) | 0.81 ± 0.08 | 1.10 ± 0.06 | 0.97 ± 0.07 | 0.27 ± 0.03 | 0.89 ± 0.09 |
| K (%) | 2.40 ± 0.10 | 2.45 ± 0.10 | 2.60 ± 0.10 | 2.00 ± 0.10 | 2.30 ± 0.10 |
| S (%) | 0.31 ± 0.03 | 0.71 ± 0.07 | 2.80 ± 0.10 | 8.40 ± 0.40 | 0.15 ± 0.02 |
| Mn (%) | 0.46 ± 0.05 | 0.53 ± 0.05 | 1.85 ± 0.12 | 2.00 ± 0.10 | 0.11 ± 0.10 |
| Fe (%) | 5.20 ± 0.30 | 5.70 ± 0.30 | 8.15 ± 0.30 | 7.30 ± 0.40 | 4.20 ± 0.20 |
| Zn (%) | 0.16 ± 0.02 | 0.79 ± 0.08 | 2.47 ± 0.08 | 2.80 ± 0.10 | 0.020 ± 0.002 |
| Pb (%) | 0.43 ± 0.04 | 0.53 ± 0.05 | 1.17 ± 0.75 | 1.00 ± 0.10 | Det < 0.005 |
| Cu (mg Kg−1) | 182 ± 18 | 248 ± 25 | 726 ± 68 | 239 ± 24 | 51 ± 10 |
| Ag (mg Kg−1) | 101 ± 14 | 117 ± 15 | 339 ± 34 | 388 ± 39 | ND < 50 |
| Cd (mg Kg−1) | ND < 50 | ND < 50 | Det < 100 | Det < 100 | ND < 50 |
| Cr (mg Kg−1) | 70 ± 14 | 64 ± 13 | ND < 50 | ND < 50 | ND < 50 |
| Au (mg Kg−1) | ND < 50 | ND < 50 | ND < 50 | ND < 50 | ND < 50 |
| Sr (mg Kg−1) | 267 ± 27 | 253 ± 26 | 106 ± 15 | 81 ± 16 | 301 ± 30 |
| Ba (mg Kg−1) | 446 ± 45 | 550 ± 55 | 483 ± 49 | 1300 ± 100 | 622 ± 62 |
| Ni (mg Kg−1) | 57 ± 11 | 49 ± 10 | 39 ± 8 | 48 ± 8 | 32 ± 6 |
| Sb (mg Kg−1) | ND < 50 | 180 ± 18 | 187 ± 19 | 214 ± 21 | ND < 50 |
| V (mg Kg−1) | ND < 50 | 173 ± 26 | ND < 50 | ND < 50 | 138 ± 21 |
| Family/Species of Plants | Area (Number of Plants) | Plant Traits | Mycorrhizal Colonization Type | ||
|---|---|---|---|---|---|
| Functional Type | Life Cycle | Phenology State | |||
| Poaceae Pappostipa speciosa (n) | Urban (3) Exp 1 (5) Exp 2 (8) Off-mine (3) | H | PH | v | A-P, A |
| Pappostipa sp. (n) | Exp 2 (3) | H | PH | fl, v | A |
| Boraginaceae Phacelia sinuata (en) | Urban (1) Exp 1 (1) | C | PH | fl | - |
| Solanaceae Fabiana patagonica (n) | Urban (3) | N | PS | v | A |
| Verbenaceae Junellia uniflora (en) | Urban (3) Off-mine (3) | C | PSS | fl | A-P, A |
| Malvaceae Sphaeralcea philippiana (en) | Urban (3) Exp 2 (2) | C | PH | fl v | - |
| Asteraceae Senecio uspallatensis (en *) Artemisia mendozana var. paramilloensis (en *) | Exp 1 (2) Off-mine (3) | N N | PS PSS | fl v | A A-P, A |
| Brassicaceae Unidentified species (ex) | Exp 1 (1) | T | AH | v | - |
| Fabaceae Adesmia horrida (n) | Exp 1 (1) | N | PS | fl | A |
| Cactaceae Maihueniopsis glomerata (n) | Exp 1 (1) | SC | PSS | fl | A |
| Rosaceae Tetraglochin alata (n) | Exp 2 (3) | C | PSS | v | A-P |
| Geraniaceae Erodium cicutarium (ex) | Off-mine (3) | T | AH | fl | - |
| Violaceae Viola atropurpurea (en) | Off-mine (3) | H | PH | v | A |
| Area | S Value | H Index | D Index |
|---|---|---|---|
| Urban Ruins | 10.67 ± 1.86 | 1.90 ± 0.22 | 0.18 ± 0.03 |
| Exp 1 | 12.67 ± 2.02 | 1.98 ± 0.13 | 0.17 ± 0.02 |
| Exp 2 | 7.33 ± 1.45 | 1.28 ± 0.54 | 0.44 ± 0.23 |
| Off-mine | 11.25 ± 0.75 | 1.84 ± 0.18 | 0.24 ± 0.07 |
Disclaimer/Publisher’s Note: The statements, opinions and data contained in all publications are solely those of the individual author(s) and contributor(s) and not of MDPI and/or the editor(s). MDPI and/or the editor(s) disclaim responsibility for any injury to people or property resulting from any ideas, methods, instructions or products referred to in the content. |
© 2025 by the authors. Licensee MDPI, Basel, Switzerland. This article is an open access article distributed under the terms and conditions of the Creative Commons Attribution (CC BY) license (https://creativecommons.org/licenses/by/4.0/).
Share and Cite
Utge Perri, S.Y.; Valerga Fernández, M.V.; Scotti, A.; Colombo, R.P.; González, F.; Valenzuela, L.; Godeas, A.M.; Silvani, V.A. Responses of Arbuscular Mycorrhizal Fungi and Plant Communities to Long-Term Mining and Passive Restoration. Plants 2025, 14, 580. https://doi.org/10.3390/plants14040580
Utge Perri SY, Valerga Fernández MV, Scotti A, Colombo RP, González F, Valenzuela L, Godeas AM, Silvani VA. Responses of Arbuscular Mycorrhizal Fungi and Plant Communities to Long-Term Mining and Passive Restoration. Plants. 2025; 14(4):580. https://doi.org/10.3390/plants14040580
Chicago/Turabian StyleUtge Perri, Sofía Yasmín, María Victoria Valerga Fernández, Adalgisa Scotti, Roxana Paula Colombo, Florencia González, Lautaro Valenzuela, Alicia Margarita Godeas, and Vanesa Analía Silvani. 2025. "Responses of Arbuscular Mycorrhizal Fungi and Plant Communities to Long-Term Mining and Passive Restoration" Plants 14, no. 4: 580. https://doi.org/10.3390/plants14040580
APA StyleUtge Perri, S. Y., Valerga Fernández, M. V., Scotti, A., Colombo, R. P., González, F., Valenzuela, L., Godeas, A. M., & Silvani, V. A. (2025). Responses of Arbuscular Mycorrhizal Fungi and Plant Communities to Long-Term Mining and Passive Restoration. Plants, 14(4), 580. https://doi.org/10.3390/plants14040580

