Arabica coffee Intercropped with Urochloa decumbens Improved Nutrient Uptake and Yield in the Brazilian Cerrado
Abstract
1. Introduction
2. Results and Discussion
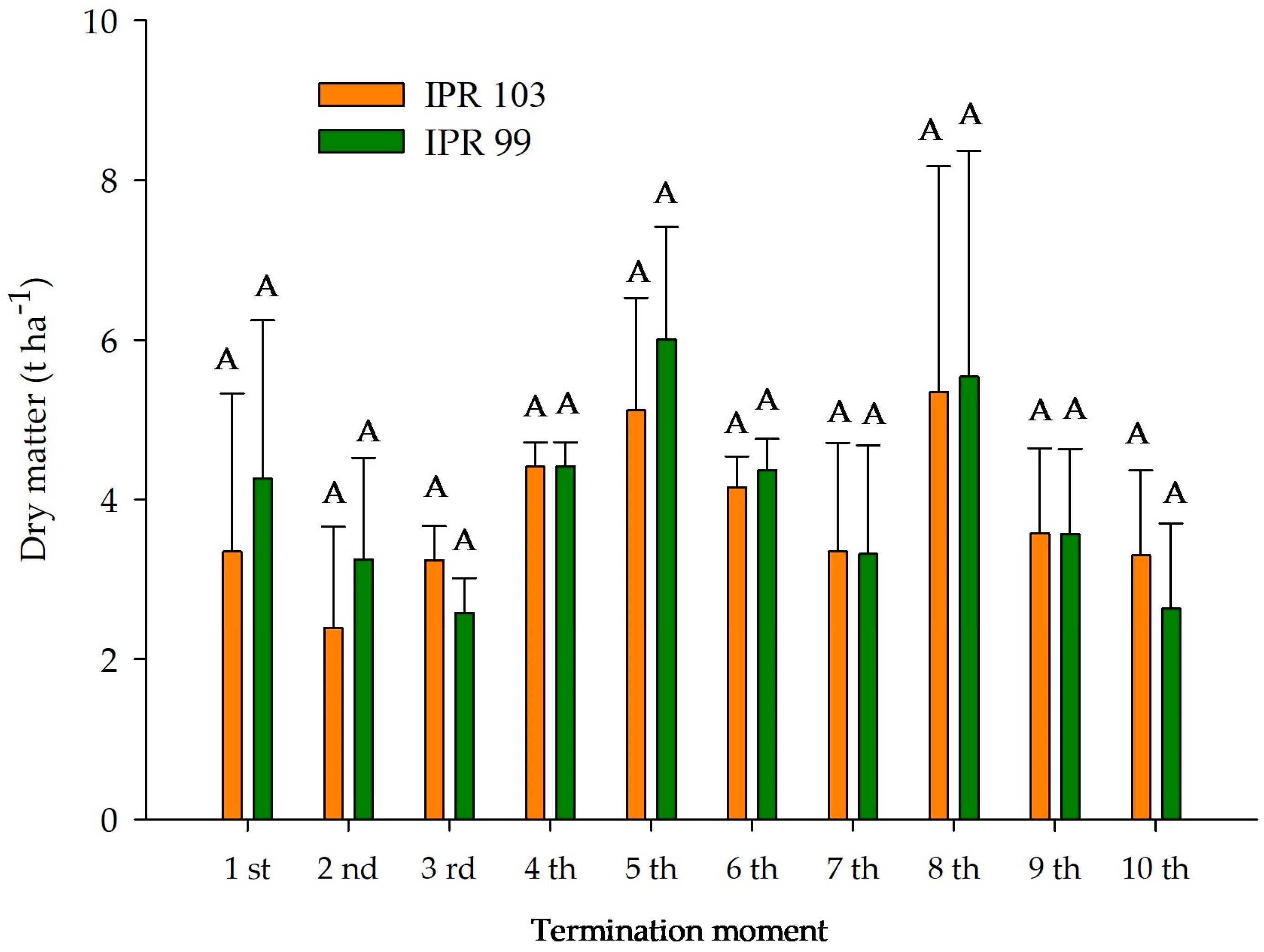
2.1. Chemical Composition of Urochloa Decumbens and Arabica coffee Yield
2.2. Leaf Nutrient Content

3. Materials and Methods
3.1. Experimental Location and Description
3.2. Evaluation of Urochloa Plant Residues and Arabica Coffee Yield
3.3. Determination of Macro- and Micronutrient Concentrations in the Shoots of Two Arabica Coffee cvs. ‘IPR-103’ and ‘IPR-99’, in Different Crop Stages
3.4. Data Processing and Analysis
4. Conclusions
Supplementary Materials
Author Contributions
Funding
Data Availability Statement
Acknowledgments
Conflicts of Interest
References
- Thi Pham, T.; Duong, B.; Bosselmann, A.S. Grafting Coffee for Sustainability: Improving Productivity, Plant Vigour and Soil Microbiome. In Advances in Botanical Research; Academic Press: Cambridge, MA, USA, 2024. [Google Scholar]
- Davis, A.P.; Rakotonasolo, F. Six New Species of Coffee (Coffea) from Northern Madagascar. Kew Bull. 2021, 76, 497–511. [Google Scholar] [CrossRef]
- FAOSTAT. Available online: https://www.fao.org/faostat/en/#home (accessed on 15 November 2024).
- Ferrão, R.G.; Fonseca, A.F.A.d.; Ferrão, M.A.G.; Muner, L.H. de Café Conilon; Incaper: Vitória, ES, Brasil, 2016; ISBN 978-85-89274-26-5. [Google Scholar]
- Conab—Boletim da Safra de Café. Available online: http://www.conab.gov.br/info-agro/safras/cafe/boletim-da-safra-de-cafe (accessed on 8 December 2024).
- Agnoletti, B.Z.; Oliveira, E.C.d.S.; Pinheiro, P.F.; Saraiva, S.H. Discrimination of Arabica and Conilon Coffee from Physicochemical Properties Allied to Chemometrics. Rev. Virtual de Química 2019, 11, 785–805. [Google Scholar] [CrossRef]
- Rocha, O.C.; Guerra, A.F.; Ramos, M.L.G.; Oliveira, A.d.S.; Bartholo, G.F. Qualidade físico-hídrica de um latossolo sob irrigação e braquiária em lavoura de café no cerrado. Coffee Sci. 2014, 9, 516–526. [Google Scholar]
- de Sousa, T.R.; de Carvalho, A.M.; Ramos, M.L.G.; de Oliveira, A.D.; de Jesus, D.R.; da Fonseca, A.C.P.; da Costa Silva, F.R.; Delvico, F.M.d.S.; Junior, F.B.d.R.; Marchão, R.L. Dynamics of Carbon and Soil Enzyme Activities under Arabica Coffee Intercropped with Brachiaria Decumbens in the Brazilian Cerrado. Plants 2024, 13, 835. [Google Scholar] [CrossRef]
- Castro, G.S.A.; Crusciol, C.A.C. Effects of Superficial Liming and Silicate Application on Soil Fertility and Crop Yield under Rotation. Geoderma 2013, 195–196, 234–242. [Google Scholar] [CrossRef]
- Cramer, M.D.; Hawkins, H.-J.; Verboom, G.A. The Importance of Nutritional Regulation of Plant Water Flux. Oecologia 2009, 161, 15–24. [Google Scholar] [CrossRef] [PubMed]
- Martins*, L.D.; Rodrigues, W.N.; Machado, L.S.; Brinate, S.V.B.; Colodetti, T.V.; Ferreira, D.S.; Cogo, A.D.; Apostolico, M.A.; Teodoro, P.E.; Tomaz, M.A.; et al. Genotypes of Conilon Coffee Can Be Simultaneously Clustered for Efficiencies of Absorption and Utilization of N, P and K. AJAR 2016, 11, 3633–3642. [Google Scholar] [CrossRef]
- Oliosi, G.; Partelli, F.L.; da Silva, C.A.; Dubberstein, D.; Gontijo, I.; Tomaz, M.A. Seasonal Variation in Leaf Nutrient Concentration of Conilon Coffee Genotypes. J. Plant Nutr. 2020, 44, 74–85. [Google Scholar] [CrossRef]
- Rocha, O.C.; Ramos, M.L.G.; Veiga, A.D.; Guerra, A.F.; Bartholo, G.F.; Rodrigues, G.C.; Silva, J.E. da Chemical and Hydrophysical Attributes of an Oxisol under Coffee Intercropped with Brachiaria in the Cerrado. Pesq. Agropec. Bras. 2016, 51, 1476–1483. [Google Scholar] [CrossRef][Green Version]
- Raseduzzaman, M.; Jensen, E.S. Does Intercropping Enhance Yield Stability in Arable Crop Production? A Meta-Analysis. Eur. J. Agron. 2017, 91, 25–33. [Google Scholar] [CrossRef]
- Wei, X.; Long, Y.; Yi, C.; Pu, A.; Hou, Q.; Liu, C.; Jiang, Y.; Wu, S.; Wan, X. Bibliometric Analysis of Functional Crops and Nutritional Quality: Identification of Gene Resources to Improve Crop Nutritional Quality through Gene Editing Technology. Nutrients 2023, 15, 373. [Google Scholar] [CrossRef] [PubMed]
- dos Santos, D.G.; Coelho, C.C.d.S.; Ferreira, A.B.R.; Freitas-Silva, O. Brazilian Coffee Production and the Future Microbiome and Mycotoxin Profile Considering the Climate Change Scenario. Microorganisms 2021, 9, 858. [Google Scholar] [CrossRef] [PubMed]
- Moda, L.R.; dos Santos, C.L.R.; Flores, R.A.; Borges, B.M.M.N.; Andrioli, I.; Prado, R.d.M. Resposta do milho cultivado em sistema de plantio direto à aplicação de doses de nitrogênio e cultivo de plantas de cobertura em pré-safra. Biosci. J. 2014, 30, 178–187. [Google Scholar]
- de Deus, J.A.L.; Neves, J.C.L.; de Medeiros Corrêa, M.C.; Parent, S.-É.; Natale, W.; Parent, L.E. Balance Design for Robust Foliar Nutrient Diagnosis of “Prata” Banana (Musa spp.). Sci. Rep. 2018, 8, 15040. [Google Scholar] [CrossRef] [PubMed]
- Nowaki, R.H.D.; Parent, S.-É.; Cecílio Filho, A.B.; Rozane, D.E.; Meneses, N.B.; Silva, J.A.d.S.d.; Natale, W.; Parent, L.E. Phosphorus Over-Fertilization and Nutrient Misbalance of Irrigated Tomato Crops in Brazil. Front. Plant Sci. 2017, 8, 825. [Google Scholar] [CrossRef] [PubMed]
- Ragozo, C.R.A.; Leonel, S.; Tecchio, M.A. Nutritional Balance and Yield for Green Manure Orange Trees. Cienc. Rural. 2014, 44, 616–621. [Google Scholar] [CrossRef]
- Andrade, L.R.M.; de Sousa, D.M.G.; Lobato, E. Cerrado—Correção Do Solo e Adubação. 2004|PDF|Fertilizante|Micronutriente. Available online: https://pt.scribd.com/document/509728683/SOUSA-D-M-G-de-LOBATO-E-Cerrado-Correcao-Do-Solo-e-Adubacao-2004 (accessed on 8 December 2024).
- de Carvalho, A.M.; Coelho, M.C.; Dantas, R.A.; Fonseca, O.P.; Júnior, R.G.; Figueiredo, C.C. Chemical Composition of Cover Plants and Its Effect on Maize Yield in No-Tillage Systems in the Brazilian Savanna. Crop Pasture Sci. 2013, 63, 1075–1081. [Google Scholar] [CrossRef]
- Talbot, J.M.; Treseder, K.K. Interactions among Lignin, Cellulose, and Nitrogen Drive Litter Chemistry-Decay Relationships. Ecology 2012, 93, 345–354. [Google Scholar] [CrossRef]
- Fialho, C.M.T.; Silva, A.A.; Faria, A.T.; Torres, L.G.; Rocha, P.R.R.; Santos, J.B. Teor foliar de nutrientes em plantas daninhas e de café cultivadas em competição. Planta Daninha 2012, 30, 65–73. [Google Scholar] [CrossRef]
- de Carvalho, A.M.; Ribeiro, L.R.P.; Marchão, R.L.; de Oliveira, A.D.; Pulrolnik, K.; de Figueiredo, C.C. Chemical Composition of Cover Crops and Soil Organic Matter Pools in No-Tillage Systems in the Cerrado. Soil Use Manag. 2022, 38, 940–952. [Google Scholar] [CrossRef]
- Quaggio, J.A.; Alcântara, P.B.; Cantarella, H.; Paulino, V.T.; Voçça, M.R. Tabelas de recomendação de calagem do Boletim 100. In Boletim 100: Recomendações de adubação e calagem para o Estado de São Paulo; Instituto Agronômo (IAC): Campinas, Brazil, 2022; pp. 248–436. [Google Scholar]
- Baptistella, J.L.C.; de Andrade, S.A.L.; Favarin, J.L.; Mazzafera, P. Urochloa in Tropical Agroecosystems. Front. Sustain. Food Syst. 2020, 4, 119. [Google Scholar] [CrossRef]
- Echer, F.R.; Peres, V.J.S.; Rosolem, C.A. Potassium Application to the Cover Crop Prior to Cotton Planting as a Fertilization Strategy in Sandy Soils. Sci. Rep. 2020, 10, 20404. [Google Scholar] [CrossRef]
- Silgram, M.; Shepherd, M.A. The Effects of Cultivation on Soil Nitrogen Mineralization. In Advances in Agronomy; Sparks, D.L., Ed.; Academic Press: Cambridge, MA, USA, 1999; Volume 65, pp. 267–311. [Google Scholar]
- Veiga, A.D.; Rodrigues, G.C.; Rocha, O.C.; Bartholo, G.F.; Guerra, A.F.; da Silva, T.P. Arabica Coffee Cultivars in Different Water Regimes in the Central Cerrado Region. Coffee Sci. 2019, 14, 349–358. [Google Scholar] [CrossRef]
- Martins, A.N.; Turco, P.H.N.; de Araújo, H.S.; Firetti, R. Productivity and Physical Quality of Grains from Coffea Arabica L. in a Tropical High-Altitude Climate in Brazil. Coffee Sci. 2023, 18, e182167. [Google Scholar] [CrossRef]
- Qiao, L.; Wang, X.; Smith, P.; Fan, J.; Lu, Y.; Emmett, B.; Li, R.; Dorling, S.; Chen, H.; Liu, S.; et al. Soil Quality Both Increases Crop Production and Improves Resilience to Climate Change. Nat. Clim. Chang. 2022, 12, 574–580. [Google Scholar] [CrossRef]
- dos Santos Soares, D.; Ramos, M.L.G.; Marchão, R.L.; Maciel, G.A.; de Oliveira, A.D.; Malaquias, J.V.; de Carvalho, A.M. How Diversity of Crop Residues in Long-Term No-Tillage Systems Affect Chemical and Microbiological Soil Properties. Soil Tillage Res. 2019, 194, 104316. [Google Scholar] [CrossRef]
- Kaufman, R.C.; Wilson, J.D.; Bean, S.R.; Presley, D.R.; Blanco-Canqui, H.; Mikha, M. Effect of Nitrogen Fertilization and Cover Cropping Systems on Sorghum Grain Characteristics. J. Agric. Food Chem. 2013, 61, 5715–5719. [Google Scholar] [CrossRef]
- Alves de Castro Lopes, A.; Gomes de Sousa, D.M.; Chaer, G.M.; Bueno dos Reis Junior, F.; Goedert, W.J.; de Carvalho Mendes, I. Interpretation of Microbial Soil Indicators as a Function of Crop Yield and Organic Carbon. Soil Sci. Soc. Am. J. 2013, 77, 461–472. [Google Scholar] [CrossRef]
- Rosolem, C.A.; Li, Y.; Garcia, R.A. Soil Carbon as Affected by Cover Crops under No-till under Tropical Climate. Soil Use Manag. 2016, 32, 495–503. [Google Scholar] [CrossRef]
- Carvalho Mendes, I.; Martinhão Gomes Sousa, D.; Dario Dantas, O.; Alves Castro Lopes, A.; Bueno Reis Junior, F.; Ines Oliveira, M.; Montandon Chaer, G. Soil Quality and Grain Yield: A Win–Win Combination in Clayey Tropical Oxisols. Geoderma 2021, 388, 114880. [Google Scholar] [CrossRef]
- Cantarella, H. Boletim 100 Recomendações de Adubação e Calagem para o Estado|PDF|Fertilizante|Agricultura. Available online: https://pt.scribd.com/document/599705478/Boletim-100-Recomendac-o-es-de-Adubac-a-o-e-Calagem-para-o-Estado (accessed on 8 December 2024).
- Ferreira, G.F.P.; Lemos, O.L.; Soratto, R.P.; Perdoná, M.J. Spatial Variability of Leaf Macronutrient Concentration and Fruit Production of an Arabica Coffee Plantation Using Two Sampling Densities. Precis. Agric. 2022, 23, 1473–1488. [Google Scholar] [CrossRef]
- Salamanca-Jimenez, A.; Doane, T.A.; Horwath, W.R. Coffee Response to Nitrogen and Soil Water Content during the Early Growth Stage. J. Plant Nutr. Soil Sci. 2017, 180, 614–623. [Google Scholar] [CrossRef]
- Busato, C.; dos Reis, E.F.; Oliveira, M.G.; Garcia, G.d.O.; Busato, C.C.M.; Partelli, F.L. Different Nitrogen Levels on Vegetative Growth and Yield of Conilon Coffee (Coffea Canephora). Cienc. Rural. 2022, 52, e20200770. [Google Scholar] [CrossRef]
- Hörtensteiner, S.; Feller, U. Nitrogen Metabolism and Remobilization during Senescence. J. Exp. Bot. 2002, 53, 927–937. [Google Scholar] [CrossRef] [PubMed]
- Ramírez-Builes, V.H.; Küsters, J.; de Souza, T.R.; Simmes, C. Calcium Nutrition in Coffee and Its Influence on Growth, Stress Tolerance, Cations Uptake, and Productivity. Front. Agron. 2020, 2, 590892. [Google Scholar] [CrossRef]
- Martinez, H.E.P.; Neves, J.C.L. Café Arábica do Plantio à Colheita. Available online: https://www.editoraufv.com.br/produto/cafe-arabica-do-plantio-a-colheita/1112686?srsltid=AfmBOopgUxdjWlLQAUf3LGKSxx0-WMQAagwggA1wUxEBhuRRezwYD1M- (accessed on 8 December 2024).
- Silva, F.M.A.; Evangelista, B.A.; Malaquias, J.V.; de Oliveira, A.D.; Muller, A.G. Análise Temporal de Variáveis Climáticas Monitoradas Entre 1974 e 2013 Na Estação Principal Da Embrapa Cerrados. Portal Embrapa. Available online: https://www.embrapa.br/en/busca-de-publicacoes/-/publicacao/1104580/analise-temporal-de-variaveis-climaticas-monitoradas-entre-1974-e-2013-na-estacao-principal-da-embrapa-cerrados (accessed on 8 December 2024).
- Maia, G.M.; Conte, A.M. Manejo nas entre linhas do cafeeiro, a influência nos teores nutricionais e produtividade. Rev. Cultiv. O Saber 2019, 12, 20–36. [Google Scholar]
- Ranjbar, F.; Jalali, M. Calcium, Magnesium, Sodium, and Potassium Release during Decomposition of Some Organic Residues. Commun. Soil Sci. Plant Anal. 2012, 43, 645–659. [Google Scholar] [CrossRef]
- Malavolta, E. Manual de Nutrição Mineral de Plantas. Ed. Agronômica Ceres, São Paulo. 2006, p. 631. Available online: https://pt.scribd.com/document/538767604/nutricao-mineral-de-plantas-malavolta (accessed on 20 January 2025).
- Cantarella, H. Nitrogênio. In Fertilidade Do Solo. Sociedade Brasileira de Ciência Do Solo. 2007|PDF|Agricultura|Solo. Available online: https://pt.scribd.com/document/509728817/NOVAIS-RF-Et-Al-Fertilidade-Do-Solo-Sociedade-Brasileira-de-Ciencia-Do-Solo-2007 (accessed on 8 December 2024).
- Soil Survey Staff. Keys to Soil Taxonomy, 13th ed.; U.S. Department of Agriculture, Natural Resources Conservation Service: Washington, DC, USA, 2022.
- Alvares, C.A.; Stape, J.L.; Sentelhas, P.C.; De Moraes Gonçalves, J.L.; Sparovek, G. Köppen’s Climate Classification Map for Brazil. Int. J. Sports Physiol. Perform. 2013, 22, 711–728. [Google Scholar] [CrossRef] [PubMed]






| Hemicellulose | g kg−1 | 263.9 (±10.9) |
| Cellulose | 314.8 (±10.1) | |
| Lignin | 30.6 (±22) | |
| Lignin/N | 1.6 (±0.02) | |
| N | g kg−1 | 18.96 (±2.92) |
| P | 6.5 (±0.42) | |
| K | 27.9 (±2.73) | |
| Ca | 4.9 (±0.76) | |
| Mg | 4.4 (±0.66) | |
| S | 1.8 (±0.12) | |
| B | 78.5 (±6.85) | |
| Cu | mg kg−1 | 5.0 (±0.44) |
| Fe | 1602.3 (±1103) | |
| Mn | 30.5 (±7.66) |
| IPR103WB | IPR99WB | IPR103 NB | IPR99NB | IPR103 WB | IPR99 WB | IPR103 NB | IPR99NB | ||
|---|---|---|---|---|---|---|---|---|---|
| Property | Measurement Unit | Soil Depth 0–10 cm | Soil Depth 10–20 cm | ||||||
| Organic matter | mg kg–1 | 34 | 35 | 32 | 33 | 26 | 27 | 28 | 26 |
| pH | (H2O) | 5.3 | 5.3 | 5.2 | 5.3 | 5.6 | 5.6 | 5.5 | 5.6 |
| P | mg dm–3 | 13.9 | 14.2 | 25.5 | 23.3 | 11.7 | 13.2 | 18.3 | 16.0 |
| H + Al | mg dm–3 | 7.4 | 7.8 | 7.7 | 7.2 | 6.5 | 6.4 | 5.7 | 5.5 |
| SB | mg dm–3 | 7.1 | 7.4 | 7.5 | 8.1 | 6.5 | 6,7 | 7.0 | 6.8 |
| CEC | mg dm–3 | 7.3 | 7.6 | 7.6 | 8.2 | 6.6 | 6.8 | 7.1 | 6.8 |
| V | % | 49 | 49 | 49 | 52 | 50 | 51 | 54 | 55 |
| Soil density | g cm–3 | 1.39 | 1.39 | 1.4 | 1.4 | 1.36 | 1.36 | 1.36 | 1.36 |
| Al | mg dm–3 | 0.14 | 0.19 | 0.11 | 0.06 | 0.04 | 0.07 | 0.03 | 0.03 |
| Ca | mg dm–3 | 4.38 | 4.54 | 4.70 | 5.18 | 4.56 | 4.66 | 4.85 | 4.61 |
| Cu | mg dm–3 | 4.66 | 4.78 | 4.93 | 5.54 | 2.15 | 2.37 | 2.58 | 2.47 |
| K | mg dm–3 | 447 | 504 | 437 | 489 | 194 | 208 | 240 | 272 |
| Mg | mg dm–3 | 1.63 | 1.65 | 1.68 | 1.70 | 1.53 | 1.57 | 1.58 | 1.52 |
| Mn | mg dm–3 | 14.0 | 13.2 | 11.9 | 11.3 | 4.22 | 4.09 | 4.13 | 3.97 |
| Urochloa decumbens Cuttings | |
|---|---|
| 1st Cutting | Accessed on 19 October 2021 |
| 2nd Cutting | Accessed on 16 November 2021 |
| 3rd Cutting | Accessed on 13 January 2022 |
| 4th Cutting | Accessed on 22 February 2022 |
| 5th Cutting | Accessed on 30 March 2022 |
| 6th Cutting | Accessed on 18 July 2022 |
| 7th Cutting | Accessed on 18 November 2022 |
| 8th Cutting | Accessed on 14 December 2022 |
| 9th Cutting | Accessed on 12 January 2023 |
| 10th Cutting | Accessed on 14 February 2023 |
Disclaimer/Publisher’s Note: The statements, opinions and data contained in all publications are solely those of the individual author(s) and contributor(s) and not of MDPI and/or the editor(s). MDPI and/or the editor(s) disclaim responsibility for any injury to people or property resulting from any ideas, methods, instructions or products referred to in the content. |
© 2025 by the authors. Licensee MDPI, Basel, Switzerland. This article is an open access article distributed under the terms and conditions of the Creative Commons Attribution (CC BY) license (https://creativecommons.org/licenses/by/4.0/).
Share and Cite
Sousa, T.R.d.; Carvalho, A.M.d.; Ramos, M.L.G.; Jesus, D.R.d.; da Fonseca, A.C.P.; Silva, F.R.d.C.; Oliveira, A.D.d.; Ribeiro, H.C.; Veiga, A.D.; Marchão, R.L.; et al. Arabica coffee Intercropped with Urochloa decumbens Improved Nutrient Uptake and Yield in the Brazilian Cerrado. Plants 2025, 14, 496. https://doi.org/10.3390/plants14040496
Sousa TRd, Carvalho AMd, Ramos MLG, Jesus DRd, da Fonseca ACP, Silva FRdC, Oliveira ADd, Ribeiro HC, Veiga AD, Marchão RL, et al. Arabica coffee Intercropped with Urochloa decumbens Improved Nutrient Uptake and Yield in the Brazilian Cerrado. Plants. 2025; 14(4):496. https://doi.org/10.3390/plants14040496
Chicago/Turabian StyleSousa, Thais Rodrigues de, Arminda Moreira de Carvalho, Maria Lucrecia Gerosa Ramos, Douglas Rodrigues de Jesus, Ana Caroline Pereira da Fonseca, Fernanda Rodrigues da Costa Silva, Alexsandra Duarte de Oliveira, Heloisa Carvalho Ribeiro, Adriano Delly Veiga, Robélio Leandro Marchão, and et al. 2025. "Arabica coffee Intercropped with Urochloa decumbens Improved Nutrient Uptake and Yield in the Brazilian Cerrado" Plants 14, no. 4: 496. https://doi.org/10.3390/plants14040496
APA StyleSousa, T. R. d., Carvalho, A. M. d., Ramos, M. L. G., Jesus, D. R. d., da Fonseca, A. C. P., Silva, F. R. d. C., Oliveira, A. D. d., Ribeiro, H. C., Veiga, A. D., Marchão, R. L., Dantas, R. d. A., & Ribeiro, F. P. (2025). Arabica coffee Intercropped with Urochloa decumbens Improved Nutrient Uptake and Yield in the Brazilian Cerrado. Plants, 14(4), 496. https://doi.org/10.3390/plants14040496

