Next Article in Journal
Establishment of a Highly Efficient In Vitro Regeneration System for Nandina domestica ‘Firepower’
Previous Article in Journal
Influence of Time of Weed Removal on Maize Yield and Yield Components Based on Different Planting Patterns, the Application of Pre-Emergence Herbicides and Weather Conditions
 
 
Font Type:
Arial Georgia Verdana
Font Size:
Aa Aa Aa
Line Spacing:
Column Width:
Background:
Article

Puccinia triticina and Salicylic Acid Stimulate Resistance Responses in Triticum aestivum Against Diuraphis noxia Infestation

by
Huzaifa Bilal
*,
Willem Hendrik Petrus Boshoff
and
Lintle Mohase
Department of Plant Sciences, University of the Free State, Bloemfontein 9300, South Africa
*
Author to whom correspondence should be addressed.
Plants 2025, 14(3), 420; https://doi.org/10.3390/plants14030420
Submission received: 23 December 2024 / Revised: 23 January 2025 / Accepted: 27 January 2025 / Published: 31 January 2025
(This article belongs to the Special Issue Plant-Pest Interactions)

Abstract

Wheat plants encounter both biotic and abiotic pressure in their surroundings. Among the biotic stress factors, the Russian wheat aphid (RWA: Diuraphis noxia Kurdjumov) decreases grain yield and quality. The current RWA control strategies, including resistance breeding and the application of aphicides, are outpaced and potentially environmentally harmful. Alternatively, priming can stimulate defence responses to RWA infestation. This study investigated the priming potential of two priming agents, avirulent Puccinia triticina (Pt) isolates and salicylic acid (SA), against RWA infestation. The priming effect of Pt isolates and SA in reducing RWA-induced leaf damage and increased antioxidant activities is an indication of defence responses. Selected South African wheat cultivars and Lesotho landraces, grown under greenhouse conditions, were inoculated with Pt isolates (UVPt13: avirulent, UVPt26: virulent) and treated with SA at the seedling or booting stages. The leaf damage rating score was used for phenotyping. The antioxidant-mediated defence responses were evaluated in three selected cultivars for further priming investigation. Our results revealed that the priming agents significantly reduced the leaf damage in most cultivars at both growth stages, and UVPt13 and SA priming significantly (p ≤ 0.05) increased superoxide dismutase, peroxidase, and ascorbate peroxidase activities. However, catalase activity exhibited a more pronounced decline in plants treated with the UVPt13 isolate. The Pt isolate priming was more efficient than the SA application. However, it is crucial to investigate the potential of effectors from the avirulent Pt isolate to prime wheat plants for resistance against RWA infestation. This could contribute to developing strategies to enhance crop protection and relieve pest pressure in wheat production.

1. Introduction

Russian wheat aphid (RWA) is a devastating pest that causes leaf turgor loss, reduces biomass, inhibit growth, and, in severe infestation, causes plant death [1,2]. It has the potential to reduce grain yield by up to 93% in different wheat producing regions [3]. Current control strategies, which predominantly rely on chemical insecticides, are becoming less effective due to the rapid development of insecticide resistance in RWA populations [4]. Furthermore, these chemicals pose environmental risks, including the pollution of soil and water resources, and have been associated with negative impacts on non-target organisms. An alternative strategy is to develop resistant cultivars through breeding. However, this strategy is relatively slower than the evolution of virulent RWA biotypes [5].
Plant priming is an alternative strategy where plants are exposed to a mild, non-lethal stress or stimulus that enhances their resistance or tolerance to future stresses, such as pests, pathogens, or environmental stressors. This pre-physiological condition enables the plants to react more effectively against biotic and abiotic stressors and improve growth and productivity [6]. Plant priming induced by the application of various chemicals, including plant extracts [7], phytohormones [8], and microorganisms [9] to plants, stimulates various defence responses to stress factors through the increase in antioxidant capacity [10], such as superoxide dismutase (SOD), ascorbate peroxidase (APX), glutathione peroxidase (GPX), monodehydroascorbate reductase, and catalase (CAT). The synthesis of metabolites such as tocopherol and carotenoids [11] also increases the antioxidative capacity and protects from toxic reactive oxygen species (ROS). The glutathione reductase (GR), POD, APX, tocopherol, and CAT further work together with SOD to prevent cell metabolites from H2O2 [12].
The ROS crosstalk with abscisic acid, jasmonic acid, and the SA signalling pathways as part of the defence mechanism [13]. Despite this, the overproduction of ROS sources cause photooxidative damage to cell metabolites including nucleic acid, proteins, lipids, and carbohydrates [14]. Therefore, plants activate enzymatic and non-enzymatic antioxidants to detoxify overexpressed ROS. Salicylic acid interacts with the transcriptional factors (nonexpressor of the pathogenesis-related protein) to activate SA-arbitrated gene expression [15]. Applying exogenous SA [16] or plant microbes as priming agents activates plant defence responses and stimulates host resistance to future stressors [17]. Ref. [18] revealed that the pre-inoculation of a resistant (SST 347) and susceptible wheat cultivar (SST 356) primed with Pt isolate 3SA145 induced a resistance (antixenosis) response to RWASA1 infestation, but they did not evaluate the role of antioxidants as part of the resistance mechanism.
We hypothesise that pre-treatment of wheat plants with avirulent Pt isolates or exogenous SA will enhance defence responses against RWA infestation, as evidenced by reduced leaf damage and increased antioxidant enzyme activities. This study aims to evaluate the efficacy of these priming agents in inducing resistance and their potential as part of integrated pest management strategies in wheat production.

2. Materials and Methods

The impact of RWA infestation on wheat cultivars primed with Pt isolates or treated with SA was evaluated. A selection of South African winter wheat cultivars (PAN 3111, PAN 3118, PAN 3133, PAN 3161, PAN 3368, and SST 356; obtained from the Agricultural Research Council-Small Grain, South Africa; ARC-SG [19]) and Lesotho landraces (Bolane, Makalaote, Mapili, and Tsholoha) were evaluated at the seedling and booting stage. The RWA biotypes were obtained from the ARC-SG institute. Experiments were conducted in the greenhouse under a natural photoperiod and day and night temperatures of 24 ± 1 °C and 18 ± 1 °C, respectively. Experiments were performed in a randomised complete block design (RCBD) fashion.

2.1. Phenotyping of Primed and Non-Primed Wheat Plants to RWA Infestation

The plants were raised to the seedling (two-leaf) [20] or booting (Zadoks 45) stages before being inoculated with Pt isolates and treated with SA. Wheat plants were treated with a 1.5 mM SA solution, prepared by initially dissolving in 1 mL ethanol, and sprayed using an atomiser spray bottle until there was runoff on leaves. Isolate UVPt13 of leaf rust race 3SA140 is avirulent to Lr-3a, -3bg, -3ka, -11 -16, -20, and -30, and virulent to Lr-1, -2a, -2b, -2c, -10, -14a, -15, -24, and -26 [21]. UVPt26 race 3SA248 has a wider virulence to most Lr genes available, including Lr-20 and Lr-26 [22], so UVPt13 and UVPt26 were chosen to evaluate the priming effects against RWA infestation. Wheat plants were inoculated with Pt urediniospores stored at −80 °C. Before inoculation, the urediniospores were water bath heat shocked at 46 °C for 6 min. The spore mass of 1 mg was suspended in 0.8 mL Soltrol® 130 isoparaffinic oil (Chevron Phillips Chemical Company, The Woodlands, TX, USA). Plants were inoculated using a pressure pump (Vacuubrand® MZ2, Wertheim, Germany) set at 25 KPa with an attached inoculation nozzle in an enclosed inoculation booth pre-rinsed with filtered water [22]. Two days following treatments, plants were infested with RWASA1 or 4 at the rate of 20 adult apterous aphids per plant at the seedling stage or 150 adult apterous aphids per plant at the booting stage. Aphid-induced leaf damage was evaluated using a damage rating scale after ten days of infestation in the seedling stage and fifteen days of infestation at the booting stage. The scale used for the seedling stage ranged from no infestation symptoms to plant death, where 1 = no damage; 2 = small chlorotic spots; 3 = chlorotic spots; 4 = chlorotic splotches; 5 = mild chlorotic streaks; 6 = prominent chlorotic streaks; 7 = severe chlorotic streaking and conduplicate leaf folding; 8 = severe streaks and convolute leaf rolling; 9 = severe streaks and tight leaf rolling; and 10 = plant dead [23]. The scores 1–2 were categorised as highly resistant, 3–4 as resistant, 5–6 as moderately resistant, 7 as moderately susceptible, and 8–10 as susceptible. At the booting stage, leaf damage was assessed using a score ranging from 1 to 4, where 1 = no damage; 2 = chlorotic spots; 3 = longitudinal striping; and 4 = leaf rolling [24]. The scores 1–2 were categorised as resistant, 3 as moderately susceptible, and 4 as susceptible.
Wheat cultivars, including resistant PAN 3161, and PAN 3118 and PAN 3111 which are susceptible to RWASA1 were selected for further evaluation of the effects of Pt isolates (UVPt13) and 1.5 mM SA exogenous applications. The treatments were assigned using an RCBD and plant growth conditions were maintained as mentioned previously. Wheat seedlings (Zadok 12: seedling stage) were evaluated to measure antioxidants in primed and non-primed plants. Leaf samples were harvested in liquid nitrogen at different hours post-infestation (hpi: 0, 6, 9, 12, 24, 48, 72, and 96).

2.2. Extraction of Superoxide Dismutase, Peroxidase, and Catalase Enzymes

To measure SOD, POD, and CAT activity, total protein was extracted using the method described by [25]. Leaf samples (1 g) were ground and homogenised on ice in a mortar and pestle in a 4 mL extraction buffer. The extraction buffer of 50 mM potassium phosphate (pH 7.0) consisted of 0.004 g of polyvinylpolypyrrolidone (PVPP), 0.1% (v/v) Triton X-100, 0.04% (w/v) sodium metabisulfite, and 10 mM ethylenediaminetetraacetic acid (EDTA). The mixture was centrifuged at 17,000 revolutions per minute (rpm) for 15 min at 4 °C using an Allegra X-30, Beckman Coulter (Brea, CA, USA) centrifuge.

2.3. Extraction of Ascorbate Peroxidase Enzyme

Ascorbate peroxidase was extracted according to [26]. Ground leaf tissue (0.5 g) was homogenised in pre-cold mortar and pestle in a 5 mL 50 mM potassium phosphate (PP) buffer (pH 7.0) containing 2% (w/v) PVPP, 0.1% (v/v) Triton X-100 (Sigma-Aldrich, St. Louis, MO, USA), 1 mM ascorbate, and 1 mM EDTA. The leaf tissue paste was centrifuged at 15,000 rpm for 20 min.

2.4. Superoxide Dismutase Activity

The reaction mixture of 50 mM PP buffer at pH 7.8, containing 75 µM nitro blue tetrazolium, 13 mM methionine, 2 µM riboflavin, and 0.1 mM EDTA was used to measure the SOD activity. The activity was measured as described by [27]. The reaction mixture was prepared in disposable polystyrene cuvettes containing 970 µL reaction mixture and 30 µL sample extract. The reaction cuvettes (control and sample) were irradiated by placing them under a fluorescent lamp (40 watts, 30 cm below) for 30 min. The reaction’s absorbance (Abs) was measured at 560 nm with a spectrophotometer (Cary-100 UV-VIS, Agilent, Santa Clara, CA, USA). The following formula is used to calculate SOD activity:
S O D   s p e c i f i c   a c t i v i t y %   i n h i b i t i o n   o f   N B T = A b s C o n t r o l A b s   ( S a m p l e ) A b s   ( C o n t r o l ) × 1 t i m e m i n u t e s × 1 P r o t × d i l   f a c t o r × 100
D i l u t i o n   f a c t o r = ( T o t a l   v o l u m e   i n   c u v e t t e V o l u m e   o f   e n z y m e   e x t r a c t )
[Prot]: protein concentration (mg mL−1), dil factor: dilution factor.

2.5. Peroxidase Activity

The POD activity was measured using the protocol mentioned by [28]. The 1 mL reaction mixture contained 840 µL of 40 mM PP buffer (pH 5.5), 100 µL of 5 mM guaiacol, 0.2 mM EDTA, 10 µL of enzyme extract, and 50 µL of 8.2 mM H2O2 which initiated the reaction. The change in Abs was recorded at 470 nm using a spectrophotometer for 180 s at 30 °C. The given equation is used to calculate POD activity.
P O D   s p e c i f i c   a c t i v i t y = d i l   f a c t o r × A b s × P r o t   μ m o l   t e t r a g u a i a c o l   m g 1 p r o t   s 1
= tetraguaiacol molar absorptivity (26.6 mM−1 cm−1), ∆Abs = (change in Abs), dil factor: As indicated in Section 2.4.

2.6. Catalase Activity

The CAT activity was assessed by monitoring the breakdown of H2O2 at 25 °C for 1 min, with a spectrophotometer set to 240 nm [29]. The reaction mixture contained 630 µL of deionised water, 330 µL of 59 mM H2O2 in 50 mM PP buffer at pH 7.0, and 40 µL of enzyme extract. The activity was calculated as follows:
C A T   s p e c i f i c   a c t i v i t y = A b s × d i l   f a c t o r P r o t   µ M   H 2 O 2   p e r   m g   p r o t e i n   p e r   m i n u t e
∑ = H2O2 molar absorptivity 39.9 M−1cm−1, dil factor: As indicated in Section 2.4.

2.7. Ascorbate Peroxidase Activity

The modified method by [30] was used to determine APX activity. The reaction mixture of 1 mL contained 500 µL of 100 mM PP buffer at pH 7.0, 200 µL of 4 mM H2O2, 200 µL of 0.68 mM ascorbate, 0.1 mM EDTA and 100 µL of sample extract. A decrease in absorbance resulting from ascorbate oxidation was measured at 290 nm on a spectrophotometer for 1 min. The following equation was used to measure APX activity.
A P X   s p e c i f i c   a c t i v i t y = d i l   f a c t o r × A b s t × 1 P r o t m M   c m   µ g   m L 1
t = reaction time, ∑ = ascorbic acid molar absorptivity (2.8 mM−1 cm−1), dil factor: As indicated in Section 2.4.

3. Results

The analyses of variance (ANOVA) were performed to evaluate the treatment (Pt isolates and SA priming) effects on different cultivars at two plant growth stages. The induced leaf damage and specific antioxidative enzyme activities were analysed, and the grouping of treatments was used to evaluate priming efficacy. The ANOVA indicated that treatments, cultivars, and their interactions were highly significant, while replication was nonsignificant (Table 1). The results showed that RWA-induced damage significantly differed in primed and non-primed plants. Biotype 4 (RWASA4) induced severe leaf damage in all the untreated (control) cultivars, except SST 356 and PAN 3161, and was regarded as more damaging than RWASA1. However, Pt isolates reduced induced leaf damage by RWASA4, indicating shifts to moderately resistant and resistant responses. Similarly, UVPt13 and UVPt26 pre-inoculation enhanced resistance to RWASA1, shifting the response to a resistant reaction. Salicylic acid application before infestation had a minor impact on wheat responses, reducing RWASA4-induced leaf damage only in two cultivars (PAN 3161 and SST 356); however, it significantly reduced RWASA1-induced leaf damage in most of the wheat cultivars. The reaction categories shifted from susceptible to moderately susceptible (PAN 3118 and Mapili), and moderately susceptible/resistant to resistant (PAN 3133, SST 356, and Bolane).

3.1. Phenotyping of Wheat Plants Prepared and Not Prepared for RWA Infestation

3.1.1. Seedling Stage

Phenotyping revealed that RWASA1 infestation caused leaf streaking and leaf rolling at the seedling stage (Figure 1B) in most cultivars. The infestation in SA-primed plants caused leaf streaking and mild chlorosis (Figure 1C). However, SA priming improved the wheat response to RWASA1 from moderately resistant to resistant in cultivars PAN 3133, SST 356, and Bolane (Figure 1A–C; Table 2).
RWASA1 infestation of Pt pre-inoculated wheat cultivars also caused mild leaf damage, evident as scattered chlorosis (Figure 1D,E), especially in the South African cultivars. Pt inoculation reduced RWASA1-induced leaf damage in PAN 3133 and SST 356, improving the resistance categories from moderately resistant to resistant (Figure 1A,B,D,E; Table 2). Although PAN 3368 and PAN 3161 exhibited resistance with moderate chlorosis in response to RWASA1 infestation, inoculation with Pt and SA priming further improved resistance, resulting in only slight chlorosis (Table 2; Figure 1A–E). In contrast, regardless of priming, the Lesotho landraces were severely damaged by RWASA1 infestation (extensive streaking and minor leaf rolling).
All wheat cultivars including Lesotho landraces were susceptible to RWASA4, while SST 356 and PAN 3161 were moderately susceptible (Figure 1F). However, the RWASA4 infestation of Pt (UVPt13)-primed PAN 3111, PAN 3118, PAN 3133, PAN 3161, and SST 356 induced mild symptoms, with a damage rating score categorising the cultivars into having a resistant reaction (Figure 1F–I). In parallel, UVPt26 mediated decreases in RWASA4-induced leaf damage as the mean damage scores recorded were lower and were categorised into moderate resistance (PAN 3118 and SST 356) or resistance (PAN 3161, PAN 3133, and PAN 3111). Even SA treatment reduced leaf damage to RWASA4. The cultivars PAN 3133 and PAN 3368 did not show any priming effects. Landrace Mapili showed the highest induced leaf damage, while PAN 3161 was resistant to infestation of both RWA biotypes (Table 2).

3.1.2. Booting Stage

The ANOVA indicated that treatments, cultivars, and their interactions were highly significant. Like the seedling stage, priming and non-priming treatments significantly influenced induced leaf damage at the booting stage. According to the analysis, Pt isolates or SA treatment before infestation in the different wheat cultivars lowered the intensity of RWA-induced leaf damage (Table 3).
Russian wheat aphid infestation caused mild chlorosis, striping, and leaf rolling in wheat plants during the booting stage (Figure 2 and Figure 3). Four cultivars (PAN 3111, Makalaote, Bolane, and Tsholoha) expressed longitudinal striping on leaves, showing moderate susceptibility to RWASA1. On the other hand, RWASA4 induced severe streaks and leaf rolling in PAN 3118, indicating susceptibility. Even though Mapili did not show extensive streaking, chlorosis was severe and brown patches indicating dead tissues were evident, showing susceptibility to RWASA4. Salicylic acid application reduced the leaf damage intensity and the damage scores, improving the reaction category to reflect a stronger resistance to RWASA1 (Table 4). PAN 3111 improved from longitudinal striping (moderately susceptible, MS) to chlorotic spots (resistant, R), while Tsholoha, Makalaote, and Mapili did not change their reaction to RWASA1. Salicylic acid also mediated a change in PAN 3118 from leaf rolling (susceptible, S) to longitudinal striping (MS), reducing RWASA4-induced leaf damage. In this instance, Mapili did not change from longitudinal striping but remained moderately susceptible (Table 4).
Similarly, RWA infestation of wheat cultivars pre-inoculated with Pt isolates induced less damage on almost all the cultivars. The infestation (RWASA1) of UVPt13 pre-inoculated wheat maintained the resistant reaction in six cultivars. Additionally, aphid-induced damage was less severe in PAN 3111, Tsholoha, and Makalaote, where instead of longitudinal streaks, the leaves displayed chlorotic spots, indicating an improved resistant category (Figure 3). Only Mapili was unresponsive and remained moderately susceptible to RWASA1. In parallel, UVPt13 pre-inoculation reduced RWASA4-induced damage symptoms and scores in almost all cultivars except PAN 3118, where the symptoms improved from leaf rolling to longitudinal striping, indicating moderate susceptibility. All the cultivars primed with UVPt26 maintained their resistance reaction or improved their resistance to RWASA1, except PAN 3111, which remained moderately susceptible. Likewise, all cultivars became resistant to RWASA4, except PAN 3118, which improved to moderate susceptibility.
The landraces, except Mapili, and the cultivars, except PAN 3118, were resistant to RWASA4 during the booting stage. PAN 3118 remained moderately susceptible to RWASA4 infestation despite the prior treatments, while the response of Mapili improved to resistant after pre-inoculation with the Pt isolates (Figure 3).
Pre-inoculation with Pt isolates reduced the intensity of leaf damage more than SA application at both growth stages. On the flag leaves, the Pt isolates reduced infestation damage in most cultivars tested. The two Pt isolates could not significantly reduce RWASA4-induced leaf damage in PAN 3118.

3.2. Growth Stage Correlation Analysis of Treatments

The growth stage correlation analyses of the priming and infestation treatments of wheat were moderately positive (r = 0.57). The priming and control infestation treatments showed generally strong positive and significant correlations, with the exceptions of 1.5 mM SA + RWASA4 (0.43), UVPt13 + RWASA4 (0.06), and UVPt26 + RWASA4 (0.125). Wheat plants primed by UVPt13 and infested with RWASA1 resulted in the highest positive and significant correlation (0.74).
Hence, correlation analysis revealed that wheat cultivars showed correlated responses at both growth stages. Further evaluation of antioxidant capacity was performed at the seedling stage using UVPt13 as a priming agent and RWASA1 biotype infestation for further evaluation.

3.3. Superoxide Dismutase

The ANOVA for SOD showed that primed infested and control plants expressed significantly different activity (Table 5). The SOD activity at different hpi (time) was also significantly different. The replications were nonsignificant. The grouping of means showed that priming agents influenced SOD activity. Priming by UVPt13 induced the highest SOD activity in the wheat cultivars under study, than priming by SA and positive control (RWASA1 infestation). PAN 3111 had a higher SOD activity than the other cultivars, and the grouping of treatments mean values did not show different groups (Table 6). Wheat cultivar PAN 3161 (resistant) showed a gradual increase in SOD activity. However, PAN 3111 showed variant responses over time. A steady peak of SOD activity at 12 and 24 hpi was noticed in PAN 3118 and PAN 3111 (Figure 4).

3.4. Peroxidase

The ANOVA showed that priming treatments significantly influenced the POD activity in the wheat cultivars, except PAN 3111 (Table 7). UVPt13 priming induced the highest POD activity of all other treatments. The effect of the duration of infestation (time) was significantly different as well. However, biological repeats did not show significantly different activity. The grouping of means revealed that infestation of wheat cultivars primed with either UVPt13 or SA induced a higher POD activity than in plants infested without priming treatments (Table 8). Among the priming agents, UVPt13 showed more efficiency than SA priming, as POD activity was higher. Plants primed with UVPt13 and infested with RWASA1 exhibited higher POD activity than the controls (without priming). Primed (UVPt13) PAN 3161 showed pronounced activity in the later hours of infestation (72 and 96 hpi; Figure 5).

3.5. Catalase

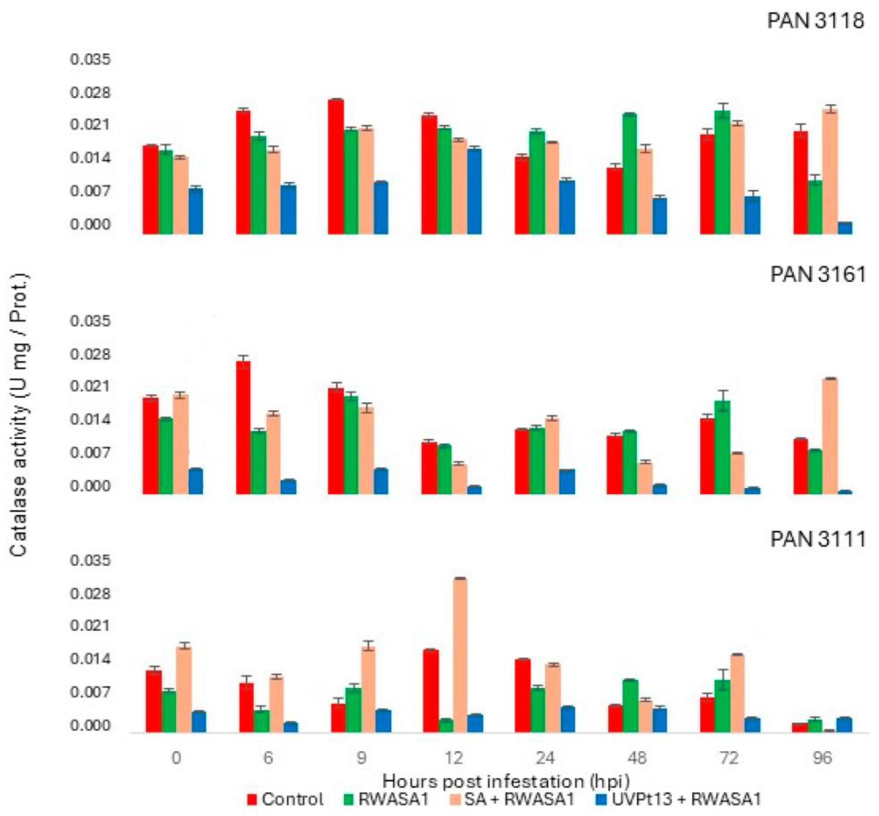
Like SOD, POD, and APX, CAT also showed significantly different activities in wheat plants under different treatments. Biological repeats also showed significantly different CAT activity in PAN 3111 (Table 9). The wheat cultivar PAN 3118 had little variation throughout the sampling times. Strangely, UVPt13 reduced CAT activity to even lower than the positive control without infestation (Table 10). However, SA priming induced higher CAT activity in PAN 3111 during early hours of infestation (Table 10, Figure 6).
Throughout the trial, the RWASA1 infestation of UVPt13-primed plants suppressed CAT activity in all the cultivars. UVPt13 priming induced the steepest decline in CAT activity, while an infestation of SA-primed wheat induced a significant increase at 96 h after infestation in PAN 3161 and 3118, somewhat delaying effective resistance to infestation (Figure 6).

3.6. Ascorbate Peroxidase

Like SOD and POD, APX was significantly different in wheat cultivars under different treatments. Biological repeat showed consistency of APX activity (Table 11). Wheat plants without priming and infestation showed the lowest APX activity, while plants primed by UVPt13 showed the highest activity (Table 12). Infestation of SA-primed plants showed the highest APX activity, followed by UVPt13 priming in PAN 3161 and PAN 3111. UVPt13-primed plants increased in APX activity to reach a peak at 6 hpi, which dropped at 9 hpi and was maintained in the later hours of sampling (Figure 7). PAN 3118 showed similar APX activity in infested and primed (UVPt13) infested plants in the later hours. Infestation of UVPt13-primed plants induced higher activity in the wheat cultivars under study than those primed by SA (Table 12, Figure 7).

4. Discussion

Eight out of ten wheat cultivars were susceptible to RWASA4, showing severe induced leaf damage at the seedling stage, while the remaining were susceptible to RWASA1. Unexpectedly, at the booting stage, more cultivars were resistant (six and eight) to RWASA1 and -4, respectively. Even though stage-related resistance to RWA has not been reported for the cultivars used in this study, we cannot exclude adult-stage resistance, as it occurs in some wheat–pathogen interactions [31]. The main differences in responses to infestation at both growth stages were evident in the primed treatments. Cultivars primed with Pt isolates or with SA improved their defence responses to RWA infestation, evidenced by reduced leaf damage symptoms (Table 2 and Table 4). The correlation analysis showed positive correlations of the priming effect at both plant growth stages. This suggests that plants can be primed at either the seedling or booting stage against RWA infestation.
Pre-inoculation with Pt isolates changed wheat cultivars’ reaction to the two aphid biotypes at the different growth stages. In another study, inoculation with four different endophytic fungi increased resistance in wheat plants against the take-all disease (Gaeumannomyces graminis var. tritici) [32]. The current findings support the hypothesis that priming with avirulent Pt isolates can enhance host resistance to RWA infestation. Likewise, [18] revealed that Pt isolates can activate antibiotic responses in wheat plants to protect against RWA infestation. The literature also reports that plant growth-promoting fungi (Penicillium chrysogenum, Aspergillus falvus, A. niger, P. citrinum, and T. koningiopsis) induce systemic resistance [33], evidenced by minor physical damage in wilt disease (Rhizoctonia solani; [34]. Priming by avirulent Pt isolates (UVPt13) suppressed RWA-induced damage in more wheat cultivars than SA, indicating more substantial priming effects by avirulent Pt isolates.
Plant hormones like SA mediate defence responses [35] and decrease aphid (Lipaphis erysimi) infestations and populations on mustard plants [36]. Furthermore, another study has revealed that SA application induced resistance in wheat plants and ultimately reduced the aphid population size [37]. Jasmonic acid [38] and SA [16] activate defence responses in wheat plants, which seemingly deterred Sitobian avenae colonisation and inhibited feeding. Exogenous SA application in rice disrupted Oebalus pugnax nymphal development and reduced the rice stink bug population [39]. In this study, the foliar application of SA reduced damage inflicted by RWA infestation at both growth stages, apparently through mediating the expression of host defence responses. The susceptible cultivars became moderately resistant or resistant.
Previously, Fusarium, Trichoderma [33], and Piriformospora fungi have been introduced as endo-fungi to activate induced systemic resistance in crops against pests and pathogens [40]. Trichoderma is commercially available as a defence activator with different brand names [41]. Russian wheat aphid infestation in wheat production has been managed by host plant resistance, where specific Diuraphis noxia resistance genes were incorporated as sources of resistance. This strategy succeeded until resistance-breaking biotypes were discovered [42]. There are currently limited wheat sources in South Africa with resistance to the most damaging RWASA5, except the Dn7 gene [42]. This study contributes to the search for alternative strategies to manage RWA infestation in wheat. This study revealed that wheat cultivars can be primed using avirulent Pt isolates or SA to stimulate defence responses and reduce the induced RWA feeding effects. The results, nonetheless, require further studies to establish the biocontrol effects on wheat yield under field conditions.
The priming agents SA and avirulent Pt isolates enhanced antioxidant activities in wheat plants infested by RWA. Furthermore, Pt isolates showed improved priming effects by enhancing stronger antioxidant activities than exogenous SA. UVPt13-primed wheat cultivars induced higher activities of SOD, POD, and APX and reduced CAT activity. Induced antioxidant activities indicated an enhanced defence response in wheat plants against RWA infestation.
SA is a plant hormone and phenolic compound and contributes as a signalling molecule to initiate defence responses [13], such as systemic acquired resistance (SAR). It also contributes as an antioxidant to detoxify ROS [43] and activates other antioxidants as well. Likewise, SA application induces SAR in plants and reduces the devastating effects of biotic stressors [44,45]. The foliar application of SA induced the high antioxidant activities in wheat plants infested by RWASA1. Likewise, [45] reported that SA application induced SOD and inhibited CAT activity in wheat plants infected by F. graminearum. Activated antioxidant activities are an indication of ROS regulation; ROS are important signalling molecules that activate some defence responses [46]. Our results agree with [47], who revealed that wheat seed priming by SA enhances resistance to F. graminearum infection in plants. Furthermore, they examined an increase in polyphenol oxidase, POD, and SOD, and the accumulation of a high level of phenylalanine ammonia-lyase (PAL) mRNA, chitinase, and β-1,3-glucanase. Their findings align with certain results of this study, indicating that the POD and APX activities in PAN 3111 and PAN 3161 (Table 8 and Table 12) were elevated in plants treated with SA. The scavenging of ROS helps protect plants from oxidative stress caused by pests [25].
Puccinia triticina, on the other hand, severely reduces wheat plant growth and yield [48], though avirulent pathotypes such as the UVPt13 isolate have minor effects on wheat. Wheat plants primed with avirulent Pt isolates (UVPt13) boost their resistance to RWA infestation by significantly increasing their enzymatic antioxidant levels compared to infested controls. Likewise, [49] reported that Pt inoculation of resistant wheat cultivars induced antioxidant activities, and increased the concentrations of flavonoid and phenolic compounds. In [50], the authors conducted a comparison of resistant and susceptible wheat genotypes inoculated with Pt isolates, revealing that the resistant genotypes exhibited significantly enhanced enzymatic antioxidative activities after inoculation, including SOD, CAT, and PAL, when contrasted with their non-inoculated cultivars. The augmented activity of SOD serves as a resistance marker to biotic stresses. Likewise, resistant wheat plants infected with Puccinia striiformis demonstrated a notable increase in the levels of enzymatic antioxidants (GR, GPX, and APX) in comparison to the susceptible plants [51]. Thus, the incompatible interaction between Pt isolates and wheat plants elevates antioxidant activities and strengthens defence responses. However, the incompatible interaction of avirulent Pt isolates and wheat plants could enhance defence responses and be exploited to counter RWA infestation. Comparable results have been stated by [18], who found that avirulent Pt isolates (3SA145) enhanced antixenosis and proteomic expression in wheat cultivars to RWASA1 infestation. The authors of [52] also reported that plant growth-promoting bacteria and arbuscular mycorrhizal fungi increase phenotypic and proteomic responses upon leaf pathogen infection.
At high concentrations of H2O2, CAT functions catalytically, with H2O2 acting as a donor and acceptor. The scavenging of H2O2 by CAT enzymes at intracellular or intracellular organelles is specific to genotypes and stress, influencing the processing of defence signals in plants. Antioxidants such as CAT play dire roles in plant defence against different stress factors, including aphid infestation [53]. Even though CAT contributes to the resistance mechanism, our results showed a significant reduction in plants primed by Pt isolates [54]. In contrast to our results, CAT activity increased in Vigna mungo plants infested by white fly (Bemisia tabaci) [55]. A possible reason for the reduced CAT activity during the Pyricularia oryzae infection of wheat could be the high induction of H2O2 [56]. The decrease in CAT activity may be attributed to increased proteolysis induced by oxidative stress [57]. Additionalsly, it was reported that many peroxisomal proteins, including CAT, glucose-6-phosphate dehydrogenase, and glycolate oxidase, underwent endoproteolytic degradation. In this study, the high production of H2O2 may lead to the proteolysis of CAT activity in plants primed by Pt isolates, with evidence of high production with increased SOD, POD, and APX activities.
The findings, grounded on enzymatic antioxidative (SOD, POD, and APX) activities, demonstrated that avirulent Pt isolate inoculation and the exogenous application of SA could effectively prime wheat plants, boosting host resistance and mitigating the severity of RWASA1-induced effects. This study highlighted that the avirulent Pt isolate (UVPt13) was a superior priming agent compared to SA. Although only one RWA biotype was examined thoroughly, priming wheat plants with avirulent Pt isolates and SA presents a promising alternative strategy for managing RWA. However, supplementary research is essential to explore the broader applicability of priming across various RWA biotypes, intending to stimulate both horizontal and vertical resistance.

5. Conclusions

Puccinia triticina and salicylic acid priming significantly enhanced the defence response in wheat plants infested with RWA infestation. Comparatively, the priming agents showed that Pt isolates were more effective than SA in conferring resistance to the aphid biotypes. Notably, the Pt isolate demonstrated superior antioxidant potential compared to SA priming. These findings underscore the pivotal role of enzymatic antioxidants in mediating tolerance to RWA infestation. Given the varied responses among wheat cultivars, future investigations should delve into the specificity of priming mechanisms and their impact on antioxidant expression in wheat. Nevertheless, this study reveals crucial insights into the priming-mediated mechanisms against RWA infestation. Furthermore, there is a pressing need to assess the efficacy of avirulent Pt isolate priming against different RWA biotypes under field conditions or priming with effectors from avirulent Pt isolates to ascertain its practical applicability.

Author Contributions

Conceptualization, W.H.P.B., L.M. and H.B; Methodology, H.B.; Software, H.B.; Validation, W.H.P.B.; Formal analysis, H.B.; Investigation, H.B.; Resources, W.H.P.B.; Data curation, H.B.; Writing—original draft, H.B.; Supervision, W.H.P.B. and L.M.; Project administration, L.M.; Funding acquisition, L.M. All authors have read and agreed to the published version of the manuscript.

Funding

This research was funded by University of the Free State, South African National Research Foundation (NRF) and TWAS, Italy (grant number 110860).

Data Availability Statement

Data are contained within the article.

Conflicts of Interest

The authors declare no conflict of interest.

References

  1. Turanlı, F.; Ilker, E.; Dogan, F.E.; Askan, L.; Istıplıler, D. Inheritance of Resistance to Russian Wheat Aphid (Diuraphis noxia Kurdjumov) in Bread Wheat (Triticum aestivum L.). Turk. J. Field Crops 2012, 17, 171–176. [Google Scholar]
  2. De Wet, L.R.; Botha, C.E. Resistance or Tolerance: An Examination of Aphid (Sitobion Yakini) Phloem Feeding on Betta and Betta-Dn Wheat (Triticum aestivum). S. Afr. J. Bot. 2007, 73, 35–39. [Google Scholar] [CrossRef]
  3. Damte, T.; Mitiku, G. Field Resistance in Bread Wheat to Russian Wheat Aphid, Diuraphis noxia Under Flood Irrigation. Ethiop. J. Agric. Sci. 2018, 28, 85–98. [Google Scholar]
  4. Jankielsohn, A. Development of a Protocol to Determine and Mitigate the Evolution of Insecticide Resistance in Russian Wheat Aphid Populations in Wheat Production Areas of South Africa; IntechOpen: London, UK, 2024. [Google Scholar]
  5. Jankielsohn, A. Influence of Environmental Fluctuation on the Russian Wheat Aphid Biotype Distribution in South Africa. Acta Sci. Agric. 2017, 1, 1–6. [Google Scholar]
  6. Gohari, G.; Jiang, M.; Manganaris, G.A.; Zhou, J.; Fotopoulos, V. Next Generation Chemical Priming: With a Little Help from Our Nanocarrier Friends. Trends Plant Sci. 2024, 29, 150–166. [Google Scholar] [CrossRef]
  7. Balestrini, R.; Chitarra, W.; Antoniou, C.; Ruocco, M.; Fotopoulos, V. Improvement of Plant Performance under Water Deficit with the Employment of Biological and Chemical Priming Agents. J. Agric. Sci. 2018, 156, 680–688. [Google Scholar] [CrossRef]
  8. Ulfat, A.; Majid, S.A.; Hameed, A. Hormonal Seed Priming Improves Wheat (Triticum aestivum L.) Field Performance Under Drought and Non-Stress Conditions. Pak. J. Bot 2017, 49, 1239–1253. [Google Scholar]
  9. Lastochkina, O.; Yakupova, A.; Avtushenko, I.; Lastochkin, A.; Yuldashev, R. Effect of Seed Priming with Endophytic Bacillus Subtilis on Some Physio-Biochemical Parameters of Two Wheat Varieties Exposed to Drought after Selective Herbicide Application. Plants 2023, 12, 1724. [Google Scholar] [CrossRef]
  10. Ali, M.; Hayat, S.; Ahmad, H.; Ghani, M.I.; Amin, B.; Atif, M.J.; Cheng, Z. Priming of Solanum melongena L. Seeds Enhances Germination, Alters Antioxidant Enzymes, Modulates ROS, and Improves Early Seedling Growth: Indicating Aqueous Garlic Extract as Seed-Priming Bio-Stimulant for Eggplant Production. Appl. Sci. 2019, 9, 2203. [Google Scholar] [CrossRef]
  11. Kumudini, B.S.; Patil, S.V. Antioxidant-Mediated Defense in Triggering Resistance against Biotic Stress in Plants. In Biocontrol Agents and Secondary Metabolites; Woodhead Publishing: Sawston, UK, 2021; pp. 383–399. [Google Scholar]
  12. Getzoff, E.D.; Cabelli, D.E.; Fisher, C.L.; Parge, H.E.; Viezzoli, M.S.; Banci, L.; Hallewell, R.A. Faster Superoxide Dismutase Mutants Designed by Enhancing Electrostatic Guidance. Nature 1992, 358, 347–351. [Google Scholar] [CrossRef] [PubMed]
  13. Kachroo, A.; Kachroo, P. Salicylic Acid-, Jasmonic Acid- and Ethylenemediated Regulation of Plant Defense Signaling. In Genetic Engineering; Setlow, J.K., Ed.; Springer: Boston, MA, USA, 2007; pp. 55–83. ISBN 978-0-387-33840-8. [Google Scholar]
  14. Mansoor, S.; Ali Wani, O.; Lone, J.K.; Manhas, S.; Kour, N.; Alam, P.; Ahmad, A.; Ahmad, P. Reactive Oxygen Species in Plants: From Source to Sink. Antioxidants 2022, 11, 225. [Google Scholar] [CrossRef] [PubMed]
  15. Pokotylo, I.; Kravets, V.; Ruelland, E. Salicylic Acid Binding Proteins (SABPs): The Hidden Forefront of Salicylic Acid Signalling. Int. J. Mol. Sci. 2019, 20, 4377. [Google Scholar] [CrossRef]
  16. Feng, J.-L.; Zhang, J.; Yang, J.; Zou, L.-P.; Fang, T.-T.; Xu, H.-L.; Cai, Q.-N. Exogenous Salicylic Acid Improves Resistance of Aphid-Susceptible Wheat to the Grain Aphid, Sitobion avenae (F.) (Hemiptera: Aphididae). Bull. Entomol. Res. 2021, 111, 544–552. [Google Scholar] [CrossRef]
  17. Worrall, D.; Paul, N.D.; Croft, P.; Moore, J.P.; Taylor, J.E.; Roberts, M.R.; Glowacz, M.; Holroyd, G.H. Treating Seeds with Activators of Plant Defence Generates Long-Lasting Priming of Resistance to Pests and Pathogens. New Phytol. 2011, 193, 770–778. [Google Scholar] [CrossRef] [PubMed]
  18. Njom, H.A. Mechanism and Synchronicity of Wheat (Triticum aestivum) Resistance to Leaf Rust (Puccinia triticina) and Russian Wheat Aphid (Duiraphis noxia) SA1. Ph.D. Thesis, University of Fort Hare, South Africa, 2016. [Google Scholar]
  19. 2020 Guideline for the Production of Small Grains in the Winter Rainfall Area. Available online: https://www.arc.agric.za (accessed on 30 November 2024).
  20. Zadoks, J.C.; Chang, T.T.; Konzak, C.F. A Decimal Code for the Growth Stages of Cereals. Weed Res. 1974, 14, 415–421. [Google Scholar] [CrossRef]
  21. Pretorius, Z.A.; le Roux, J. Occurrence and Pathogenicity of Puccinia recondita f. sp. Tritici on Wheat in South Africa during 1986 and 1987. Phytophylactica 1988, 20, 349–352. [Google Scholar]
  22. Boshoff, W.H.P.; Labuschagne, R.; Terefe, T.; Pretorius, Z.A.; Visser, B. New Puccinia triticina Races on Wheat in South Africa. Australas. Plant Pathol. 2018, 47, 325–334. [Google Scholar] [CrossRef]
  23. Bapela, T.M.; Tolmay, V.L. Evaluation of Russian Wheat Resistance Sources with the Spectrum of South African Diuraphis noxia Biotypes. Crop Sci. 2022, 62, 564–574. [Google Scholar] [CrossRef]
  24. Jankielsohn, A.; Masupha, P.; Mohase, L. Field Screening of Lesotho and South African Wheat Cultivars for Russian Wheat Aphid Resistance. Adv. Entomol. 2016, 4, 268–278. [Google Scholar] [CrossRef][Green Version]
  25. Moloi, M.J.; Van Der Westhuizen, A.J. Antioxidative Enzymes and the Russian Wheat Aphid (Diuraphis noxia) Resistance Response in Wheat (Triticum aestivum). Plant Biol. 2008, 10, 403–407. [Google Scholar] [CrossRef]
  26. Moloi, M.J.; Mwenye, O.J.; Van Der Merwe, R. Differential Involvement of Ascorbate and Guaiacol Peroxidases in Soybean Drought Resistance. S. Afr. J. Sci. 2016, 112, 9–12. [Google Scholar] [CrossRef][Green Version]
  27. Keppler, L.D.; Novacky, A. The Initiation of Membrane Lipid Peroxidation during Bacteria-Induced Hypersensitive Reaction. Physiol. Mol. Plant Pathol. 1987, 30, 233–245. [Google Scholar] [CrossRef]
  28. Zieslin, N.; Ben-Zaken, R. Peroxidases, Phenylalanine Ammonia-Lyase and Lignification in Peduncles of Rose Flowers. Plant Physiol and Biochem. 1991, 29, 147–151. [Google Scholar]
  29. Beers, R.F.; Sizer, I.W. A Spectrophotometric Method for Measuring the Breakdown of Hydrogen Peroxide by Catalase. J. Biol. Chem. 1952, 195, 133–140. [Google Scholar] [CrossRef] [PubMed]
  30. Pukacka, S.; Ratajczak, E. Production and Scavenging of Reactive Oxygen Species in Fagus Sylvatica Seeds during Storage at Varied Temperature and Humidity. J. Plant Physiol. 2005, 162, 873–885. [Google Scholar] [CrossRef]
  31. Dinglasan, E.G.; Godwin, I.D.; Phan, H.T.T.; Tan, K.-C.; Platz, G.J.; Hickey, L.T. Vavilov Wheat Accessions Provide Useful Sources of Resistance to Tan Spot (Syn. Yellow Spot) of Wheat. Plant Pathol. 2018, 67, 1076–1087. [Google Scholar] [CrossRef]
  32. Gholami, M.; Amini, J.; Abdollahzadeh, J.; Ashengroph, M. Basidiomycetes Fungi as Biocontrol Agents against Take-All Disease of Wheat. Biol. Control 2019, 130, 34–43. [Google Scholar] [CrossRef]
  33. Abdullah, N.S.; Doni, F.; Mispan, M.S.; Saiman, M.Z.; Yusuf, Y.M.; Oke, M.A.; Suhaimi, N.S.M. Harnessing Trichoderma in Agriculture for Productivity and Sustainability. Agronomy 2021, 11, 2559. [Google Scholar] [CrossRef]
  34. El-Maraghy, S.S.; Tohamy, T.A.; Hussein, K.A. Role of Plant-Growth Promoting Fungi (PGPF) in Defensive Genes Expression of Triticum Aestivum against Wilt Disease. Rhizosphere 2020, 15, 100223. [Google Scholar] [CrossRef]
  35. Lu, H.; Greenberg, J.T.; Holuigue, L. Salicylic Acid Signaling Networks. Front. Plant Sci. 2016, 7, 238. [Google Scholar] [CrossRef]
  36. Mony, F.T.Z.; Ali, M.S.; Islam, M.N.; Choudhury, S.; Hossain, M.S. Effect of Salicylic Acid and Varieties on Incidence of Aphid and Yield of Mustard. J. Multidiscip. Eng. Sci. Stud. 2017, 3, 1331–1340. [Google Scholar]
  37. Mahfouz, H.M. Effects of Salicylic Acid Elicitor against Aphids on Wheat and Detection of Infestation Using Infrared Thermal Imaging Technique in Ismailia, Egypt. Pestic. Phytomed./Pestic. Fitomed. 2015, 30, 91–97. [Google Scholar]
  38. Cao, H.; Wang, S.; Liu, T. Jasmonate- and Salicylate-induced Defenses in Wheat Affect Host Preference and Probing Behavior but Not Performance of the Grain Aphid, Sitobion avenae. Insect Sci. 2014, 21, 47–55. [Google Scholar] [CrossRef] [PubMed]
  39. Stella De Freitas, T.F.; Stout, M.J.; Sant’Ana, J. Effects of Exogenous Methyl Jasmonate and Salicylic Acid on Rice Resistance to Oebalus Pugnax. Pest Manag. Sci. 2019, 75, 744–752. [Google Scholar] [CrossRef]
  40. Guzmán-Guzmán, P.; Kumar, A.; de Los Santos-Villalobos, S.; Parra-Cota, F.I.; Orozco-Mosqueda, M.d.C.; Fadiji, A.E.; Hyder, S.; Babalola, O.O.; Santoyo, G. Trichoderma Species: Our Best Fungal Allies in the Biocontrol of Plant Diseases—A Review. Plants 2023, 12, 432. [Google Scholar] [CrossRef]
  41. Modrzewska, M.; Bryła, M.; Kanabus, J.; Pierzgalski, A. Trichoderma as a Biostimulator and Biocontrol Agent against Fusarium in the Production of Cereal Crops: Opportunities and Possibilities. Plant Pathol. 2022, 71, 1471–1485. [Google Scholar] [CrossRef]
  42. Jankielsohn, A. Russian Wheat Aphid Distribution in Wheat Production Areas: Consequences of Management Practices. In Current Trends in Wheat Research; IntechOpen: London, UK, 2021; pp. 103–114. [Google Scholar]
  43. Saleem, M.; Fariduddin, Q.; Castroverde, C.D.M. Salicylic Acid: A Key Regulator of Redox Signalling and Plant Immunity. Plant Physiol. Biochem. 2021, 168, 381–397. [Google Scholar] [CrossRef] [PubMed]
  44. Wani, A.B.; Chadar, H.; Wani, A.H.; Singh, S.; Upadhyay, N. Salicylic Acid to Decrease Plant Stress. Environ. Chem. Lett. 2017, 15, 101–123. [Google Scholar] [CrossRef]
  45. Sorahinobar, M.; Niknam, V.; Ebrahimzadeh, H.; Soltanloo, H.; Behmanesh, M.; Enferadi, S.T. Central Role of Salicylic Acid in Resistance of Wheat Against Fusarium Graminearum. J. Plant Growth Regul. 2016, 35, 477–491. [Google Scholar] [CrossRef]
  46. Khan, M.; Ali, S.; Al Azzawi, T.N.I.; Saqib, S.; Ullah, F.; Ayaz, A.; Zaman, W. The Key Roles of ROS and RNS as a Signaling Molecule in Plant–Microbe Interactions. Antioxidants 2023, 12, 268. [Google Scholar] [CrossRef]
  47. Sorahinobar, M.; Safaie, N.; Moradi, B. Salicylic Acid Seed Priming Enhanced Resistance in Wheat Against Fusarium Graminearum Seedling Blight. J. Plant Biol. 2022, 65, 423–434. [Google Scholar] [CrossRef]
  48. Kaur, J.; Fellers, J.; Adholeya, A.; Velivelli, S.L.S.; El-Mounadi, K.; Nersesian, N.; Clemente, T.; Shah, D. Expression of Apoplast-Targeted Plant Defensin MtDef4.2 Confers Resistance to Leaf Rust Pathogen Puccinia triticina but Does not Affect Mycorrhizal Symbiosis in Transgenic Wheat. Transgenic Res. 2017, 26, 37–49. [Google Scholar] [CrossRef] [PubMed]
  49. Rashmi, D.; Sharma, S.; Soni, K.K.; Patel, S.I. Biochemical Responses in Wheat Due to Puccinia triticina Infection. Indian Phytopathol. 2023, 76, 429–436. [Google Scholar] [CrossRef]
  50. Kiran, K.M.; Pavithra, K.; Suma, S.B. A Study of Defensive Enzymes against Leaf Rust (Puccinia triticina Eriks) Infection and Molecular Screening for Leaf Rust Resistant Genes in Dicoccum Wheat (Triticum dicoccum) Genotypes. Int. J. Agric. Sci. Res. (IJASR) 2019, 9, 69–84. [Google Scholar]
  51. Mishra, N.; Jiang, C.; Chen, L.; Paul, A.; Chatterjee, A.; Shen, G. Achieving Abiotic Stress Tolerance in Plants through Antioxidative Defense Mechanisms. Front. Plant Sci. 2023, 14, 1110622. [Google Scholar] [CrossRef] [PubMed]
  52. Vannini, C.; Domingo, G.; Fiorilli, V.; Seco, D.G.; Novero, M.; Marsoni, M.; Wisniewski-Dye, F.; Bracale, M.; Moulin, L.; Bonfante, P. Proteomic Analysis Reveals How Pairing of a Mycorrhizal Fungus with Plant Growth-Promoting Bacteria Modulates Growth and Defense in Wheat. Plant Cell Environ. 2021, 44, 1946–1960. [Google Scholar] [CrossRef] [PubMed]
  53. Zhao, H.; Sun, X.; Xue, M.; Zhang, X.; Li, Q. Antioxidant Enzyme Responses Induced by Whiteflies in Tobacco Plants in Defense against Aphids: Catalase May Play a Dominant Role. PLoS ONE 2016, 11, e0165454. [Google Scholar] [CrossRef]
  54. Lintle, M.; Westhuizen, A.J.V.D. Glycoproteins from Russian Wheat Aphid Infested Wheat Induce Defence Responses. Z. Naturforschung C 2002, 57, 867–873. [Google Scholar] [CrossRef] [PubMed]
  55. Taggar, G.K.; Gill, R.S.; Gupta, A.K.; Sandhu, J.S. Fluctuations in Peroxidase and Catalase Activities of Resistant and Susceptible Black Gram (Vigna mungo (L.) Hepper) Genotypes Elicited by Bemisia tabaci (Gennadius) Feeding. Plant Signal. Behav. 2012, 7, 1321–1329. [Google Scholar] [CrossRef] [PubMed]
  56. Debona, D.; Rodrigues, F.Á.; Rios, J.A.; Nascimento, K.J.T. Biochemical Changes in the Leaves of Wheat Plants Infected by Pyricularia oryzae. Phytopathology® 2012, 102, 1121–1129. [Google Scholar] [CrossRef] [PubMed]
  57. Palma, J.M.; Sandalio, L.M.; Corpas, F.J.; Romero-Puertas, M.C.; McCarthy, I.; del Río, L.A. Plant Proteases, Protein Degradation, and Oxidative Stress: Role of Peroxisomes. Plant Physiol. Biochem. 2002, 40, 521–530. [Google Scholar] [CrossRef]
Figure 1. Russian wheat aphid infestation on primed [Puccinia triticina isolates and salicylic acid] and non-primed cultivars at the seedling stage. The images represent the second leaf 10 days after infestation. (A) Control (without priming and infestation); (B) RWASA1 (without priming); (C) 1.5 mM SA + RWASA1; (D) UVPt13 + RWASA1; (E) UVPt26 + RWASA1; (F) RWASA4 (without priming); (G) 1.5 mM SA + RWASA4; (H) UVPt13 + RWASA4; and (I) UVPt26 + RWASA4.
Figure 1. Russian wheat aphid infestation on primed [Puccinia triticina isolates and salicylic acid] and non-primed cultivars at the seedling stage. The images represent the second leaf 10 days after infestation. (A) Control (without priming and infestation); (B) RWASA1 (without priming); (C) 1.5 mM SA + RWASA1; (D) UVPt13 + RWASA1; (E) UVPt26 + RWASA1; (F) RWASA4 (without priming); (G) 1.5 mM SA + RWASA4; (H) UVPt13 + RWASA4; and (I) UVPt26 + RWASA4.
Plants 14 00420 g001
Figure 2. Russian wheat aphid biotype 1 infestation on primed [Puccinia triticina isolates and salicylic acid] and non-primed wheat cultivars at the booting stage. The images represent flag leaves 15 days after infestation. (A) RWASA1; (B) 1.5 mM SA + RWASA1; (C) UVPt13 + RWASA1; and (D) UVPt26 + RWASA1.
Figure 2. Russian wheat aphid biotype 1 infestation on primed [Puccinia triticina isolates and salicylic acid] and non-primed wheat cultivars at the booting stage. The images represent flag leaves 15 days after infestation. (A) RWASA1; (B) 1.5 mM SA + RWASA1; (C) UVPt13 + RWASA1; and (D) UVPt26 + RWASA1.
Plants 14 00420 g002
Figure 3. Russian wheat aphid biotype 4 infestation on primed [Puccinia triticina isolates and salicylic acid] and non-primed wheat cultivars at the booting stage. The images represent flag leaves 15 days after infestation. (A) RWASA4; (B) 1.5 mM SA + RWASA4; (C) UVPt13 + RWASA4; and (D) UVPt26 + RWASA4.
Figure 3. Russian wheat aphid biotype 4 infestation on primed [Puccinia triticina isolates and salicylic acid] and non-primed wheat cultivars at the booting stage. The images represent flag leaves 15 days after infestation. (A) RWASA4; (B) 1.5 mM SA + RWASA4; (C) UVPt13 + RWASA4; and (D) UVPt26 + RWASA4.
Plants 14 00420 g003
Figure 4. Russian wheat aphid biotype 1 infestation effects on superoxide dismutase activity in primed [UVPt13 and SA] and non-primed plants at the seedling stage. The graph represents means ± standard errors.
Figure 4. Russian wheat aphid biotype 1 infestation effects on superoxide dismutase activity in primed [UVPt13 and SA] and non-primed plants at the seedling stage. The graph represents means ± standard errors.
Plants 14 00420 g004
Figure 5. Russian wheat aphid biotype 1 infestation effects on peroxidase activity in primed [UVPt13 and SA] and non-primed plants at the seedling stage. The graph represents means ± standard errors.
Figure 5. Russian wheat aphid biotype 1 infestation effects on peroxidase activity in primed [UVPt13 and SA] and non-primed plants at the seedling stage. The graph represents means ± standard errors.
Plants 14 00420 g005
Figure 6. Russian wheat aphid biotype 1 infestation effects on catalase activity in primed [UVPt13 and SA] and non-primed plants at the seedling stage. The graph represents means ± standard errors.
Figure 6. Russian wheat aphid biotype 1 infestation effects on catalase activity in primed [UVPt13 and SA] and non-primed plants at the seedling stage. The graph represents means ± standard errors.
Plants 14 00420 g006
Figure 7. Russian wheat aphid biotype 1 infestation effects on ascorbate peroxidase activity in primed [UVPt13 and SA] and non-primed plants at the seedling stage. The graph represents means ± standard errors.
Figure 7. Russian wheat aphid biotype 1 infestation effects on ascorbate peroxidase activity in primed [UVPt13 and SA] and non-primed plants at the seedling stage. The graph represents means ± standard errors.
Plants 14 00420 g007
Table 1. Analysis of variance of primed [Puccinia triticina race isolates (UVPt13 and UVPt26) and salicylic acid] wheat cultivars infested by the South African Russian wheat aphid biotypes (RWASA1 and RWASA4) at the seedling stage.
Table 1. Analysis of variance of primed [Puccinia triticina race isolates (UVPt13 and UVPt26) and salicylic acid] wheat cultivars infested by the South African Russian wheat aphid biotypes (RWASA1 and RWASA4) at the seedling stage.
SOVDfp-ValueSOVDfp-Value
Treatment 7<0.0001 Replication10.3171
Cultivar 9<0.0001 Treatment × Cultivar63<0.0001
p ≤ 0.01 = highly significant, p ≤ 0.05 = significant, SOV = source of variation, Df = degree of freedom.
Table 2. Homogeneous grouping of wheat cultivars and treatments at the seedling stage. Values represent induced leaf damage scores.
Table 2. Homogeneous grouping of wheat cultivars and treatments at the seedling stage. Values represent induced leaf damage scores.
Homogeneous Grouping of Cultivars
CultivarsMean ValuesGroupsCultivarsMean ValuesGroups
Mapili7.85APAN 33685.13EF
Makalaote7.69PAN 31335.01FG
Tsholoha7.33BPAN 31114.76GH
Bolane6.80CSST 3564.05I
PAN 31185.56DPAN 31613.33J
Homogeneous Grouping of Treatments
TreatmentsMean valuesGroupsTreatmentsMean valuesGroups
RWAS48.76AUVPt13 + RWASA45.84D
SA + RWASA47.97BSA + RWASA14.93E
UVPt26 + RWASA46.37CUVPt13 + RWASA13.35F
RWASA16.06DUVPt26 + RWASA12.74G
n for cultivars = 16, n for treatments = 20. Mean values: 1–4 = resistant; 5–6 = moderately resistant; 7 = moderately susceptible; and 8–10 = susceptible.
Table 3. Analysis of variance in primed [Puccinia triticina isolates (UVPt13 and UVPt26) and salicylic acid (1.5 mM)] wheat cultivars infested by the South African Russian wheat aphid biotypes RWASA1 and RWASA4 at the booting stage.
Table 3. Analysis of variance in primed [Puccinia triticina isolates (UVPt13 and UVPt26) and salicylic acid (1.5 mM)] wheat cultivars infested by the South African Russian wheat aphid biotypes RWASA1 and RWASA4 at the booting stage.
SOVDfp-ValueSOVDfp-Value
Treatment7<0.0001 Replication10.3568
Cultivar9<0.0001 Treatment × Cultivar63<0.0001
p ≤ 0.01 = highly significant, p ≤ 0.05 = significant, SOV = source of variation, Df = degree of freedom.
Table 4. Homogeneous grouping of wheat cultivars and treatments at the booting stage. Values represent induced leaf damage scores.
Table 4. Homogeneous grouping of wheat cultivars and treatments at the booting stage. Values represent induced leaf damage scores.
Homogeneous Grouping of Cultivars
CultivarsMean ValuesGroupsCultivarsMean ValuesGroups
Mapili2.56ABolane2.10C
Tshaloha2.31BSST 3561.53D
PAN 31182.16CPAN 31331.35E
Makalaoti2.13PAN 31111.33
PAN 33682.13PAN 31611.00F
Homogeneous Grouping of Treatments
TreatmentsMean valuesGroupsTreatmentsMean valuesGroups
RWASA42.21ASA + RWASA11.80D
SA + RWASA42.08BUVPt13 + RWASA41.80
UVPt26 + RWASA41.99CUVPt26 + RWASA41.54E
RWASA11.97UVPt13 + RWASA11.52
n for cultivars = 16, n for treatments = 20. Mean values: 1–2 = resistant; 3 = moderately susceptible; and 4 = susceptible.
Table 5. Analysis of variance of superoxide dismutase activity in primed [Puccinia triticina (UVPt13) and salicylic acid (1.5 mM)] and non-primed wheat cultivars infested by the South African Russian wheat aphid biotype 1 (RWASA1).
Table 5. Analysis of variance of superoxide dismutase activity in primed [Puccinia triticina (UVPt13) and salicylic acid (1.5 mM)] and non-primed wheat cultivars infested by the South African Russian wheat aphid biotype 1 (RWASA1).
SOVDfp-Values
PAN 3118PAN 3161PAN 3111
Treatment30.00350.058 0.0213
Replication20.4000.2050.4890
Time (hpi)7<0.0001 <0.0001 <0.0001
Treatment × Time210.24010.94320.0072
p ≤ 0.01 = highly significant, p ≤ 0.05 = significant, SOV = source of variation, Df = degree of freedom.
Table 6. Homogeneous grouping of the South African Russian wheat aphid (RWASA1)-induced superoxide dismutase activity in salicylic acid-treated and Puccinia triticina-inoculated wheat seedlings.
Table 6. Homogeneous grouping of the South African Russian wheat aphid (RWASA1)-induced superoxide dismutase activity in salicylic acid-treated and Puccinia triticina-inoculated wheat seedlings.
PAN 3118PAN 3161PAN 3111
TreatmentsMeansGroupTreatmentsMeansGroupTreatmentsMeansGroup
UVPt13 + RWASA15.91AUVPt13 + RWASA17.78AUVPt13 + RWASA116.50A
RWASA14.51BRWASA16.42BCRWASA116.34
SA + RWASA14.19SA + RWASA16.34SA + RWASA115.35
Control3.73Control5.16DControl12.31B
n = 24, means grouping at p ≤ 0.05.
Table 7. Analysis of variance of the South African Russian wheat aphid (RWASA1)-induced peroxidase activity in primed [Puccinia triticina (UVPt13) and salicylic acid (1.5 mM)] wheat cultivars.
Table 7. Analysis of variance of the South African Russian wheat aphid (RWASA1)-induced peroxidase activity in primed [Puccinia triticina (UVPt13) and salicylic acid (1.5 mM)] wheat cultivars.
SOVDfp-Values
PAN 3118PAN 3161PAN 3111
Treatment3<0.0001<0.00010.8041
Replication20.58210.00620.2106
Time (hpi)7<0.0001<0.0001 <0.0001
Treatment × Time 210.19700.24730.9731
p ≤ 0.01 = highly significant, p ≤ 0.05 = significant, SoV = source of variation, Df = degree of freedom.
Table 8. Homogeneous grouping of South African Russian wheat aphid (RWASA1)-induced peroxidase activity in salicylic acid and Puccinia triticina pre-inoculated wheat cultivars.
Table 8. Homogeneous grouping of South African Russian wheat aphid (RWASA1)-induced peroxidase activity in salicylic acid and Puccinia triticina pre-inoculated wheat cultivars.
PAN 3118PAN 3161PAN 3111
TreatmentsMeansGroupTreatmentsMeansGroupTreatmentsMeansGroup
UVPt13 + RWASA10.689AUVPt13 + RWASA10.829AUVPt13 + RWASA12.10A
RWASA10.540BCSA + RWASA10.642BSA + RWASA11.90
SA + RWASA10.488BCDRWASA10.630RWASA11.72
Control0.449CDControl0.498CControl1.67
n = 24, means grouping at p ≤ 0.05.
Table 9. Analysis of variance of catalase activity induced by South African Russian wheat aphid biotype 1 (RWASA1) infestation in primed [Puccinia triticina race isolate (UVPt13) and salicylic acid (1.5 mM)] and non-primed wheat cultivars.
Table 9. Analysis of variance of catalase activity induced by South African Russian wheat aphid biotype 1 (RWASA1) infestation in primed [Puccinia triticina race isolate (UVPt13) and salicylic acid (1.5 mM)] and non-primed wheat cultivars.
SOVDfp-Values
PAN 3118PAN 3161PAN 3111
Treatment3<0.0001<0.0001 <0.0001
Replication20.42200.0199 0.6143
Time (hpi)70.17860.0011 0.0022
Treatment × Time210.23060.05500.0289
p ≤ 0.01 = highly significant, p ≤ 0.05 = significant, SOV = source of variation, Df = degree of freedom.
Table 10. Homogeneous grouping of Russian wheat aphid (RWASA1)-induced catalase activity of wheat cultivars pre-treated with salicylic acid or inoculated with Puccinia triticina isolate UVPt13.
Table 10. Homogeneous grouping of Russian wheat aphid (RWASA1)-induced catalase activity of wheat cultivars pre-treated with salicylic acid or inoculated with Puccinia triticina isolate UVPt13.
PAN 3118PAN 3161PAN 3111
TreatmentsMeansGroupTreatmentsMeansGroupTreatmentsMeansGroup
Control0.0195AControl0.017ASA + RWASA10.014A
RWASA10.0190SA + RWASA10.015Control0.009BC
SA + RWASA10.0186RWASA10.014RWASA10.007CD
UVPt13 + RWASA10.008BUVPt13 + RWASA10.003BUVPt13 + RWASA10.004D
n = 24, means grouping at p ≤ 0.05.
Table 11. Analysis of variance of South African Russian wheat aphid biotype (RWASA1)-induced ascorbate peroxidase activity in primed [Puccinia triticina race isolate (UVPt13) and salicylic acid (1.5 mM)] wheat cultivars.
Table 11. Analysis of variance of South African Russian wheat aphid biotype (RWASA1)-induced ascorbate peroxidase activity in primed [Puccinia triticina race isolate (UVPt13) and salicylic acid (1.5 mM)] wheat cultivars.
SOVDfp-Values
PAN 3118PAN 3161PAN 3111
Treatment3<0.0001 <0.0001 <0.0001
Replication20.06190.42720.4092
Time (hpi)70.0021<0.0001 <0.0001
Treatment × Time210.69280.68390.6712
p ≤ 0.01 = highly significant, p ≤ 0.05 = significant, SOV = source of variation, Df = degree of freedom.
Table 12. Homogeneous grouping of South African Russian wheat aphid (RWASA1)-induced ascorbate peroxidase activity in salicylic acid-treated and Puccinia triticina-inoculated wheat cultivars.
Table 12. Homogeneous grouping of South African Russian wheat aphid (RWASA1)-induced ascorbate peroxidase activity in salicylic acid-treated and Puccinia triticina-inoculated wheat cultivars.
PAN 3118PAN 3161PAN 3111
TreatmentsMeansGroupTreatmentsMeansGroupTreatmentsMeansGroup
UVPt13 + RWASA10.051AUVPt13 + RWASA10.06AUVPt13 + RWASA10.1156A
RWASA10.033BCSA + RWASA10.030BCSA + RWASA10.0672B
SA + RWASA10.025CDRWASA10.024CDRWASA10.0667
Control0.022DControl0.018DEControl0.0567
n = 24, means grouping at p ≤ 0.05.
Disclaimer/Publisher’s Note: The statements, opinions and data contained in all publications are solely those of the individual author(s) and contributor(s) and not of MDPI and/or the editor(s). MDPI and/or the editor(s) disclaim responsibility for any injury to people or property resulting from any ideas, methods, instructions or products referred to in the content.

Share and Cite

MDPI and ACS Style

Bilal, H.; Boshoff, W.H.P.; Mohase, L. Puccinia triticina and Salicylic Acid Stimulate Resistance Responses in Triticum aestivum Against Diuraphis noxia Infestation. Plants 2025, 14, 420. https://doi.org/10.3390/plants14030420

AMA Style

Bilal H, Boshoff WHP, Mohase L. Puccinia triticina and Salicylic Acid Stimulate Resistance Responses in Triticum aestivum Against Diuraphis noxia Infestation. Plants. 2025; 14(3):420. https://doi.org/10.3390/plants14030420

Chicago/Turabian Style

Bilal, Huzaifa, Willem Hendrik Petrus Boshoff, and Lintle Mohase. 2025. "Puccinia triticina and Salicylic Acid Stimulate Resistance Responses in Triticum aestivum Against Diuraphis noxia Infestation" Plants 14, no. 3: 420. https://doi.org/10.3390/plants14030420

APA Style

Bilal, H., Boshoff, W. H. P., & Mohase, L. (2025). Puccinia triticina and Salicylic Acid Stimulate Resistance Responses in Triticum aestivum Against Diuraphis noxia Infestation. Plants, 14(3), 420. https://doi.org/10.3390/plants14030420

Note that from the first issue of 2016, this journal uses article numbers instead of page numbers. See further details here.

Article Metrics

Back to TopTop