A Seasonal Fresh Tea Yield Estimation Method with Machine Learning Algorithms at Field Scale Integrating UAV RGB and Sentinel-2 Imagery
Abstract
1. Introduction
2. Materials and Methods
2.1. Study Area
2.2. Data Acquisition and Processing
2.2.1. Field Survey Data
2.2.2. Sentinel-2 Images
2.2.3. Acquisition and Preprocessing of UAV Images
2.3. Methodology
2.3.1. Feature Selection
2.3.2. Estimation of Fresh Tea Yield Using Regression Models
2.4. Accuracy Assessment of Estimation Models
3. Results
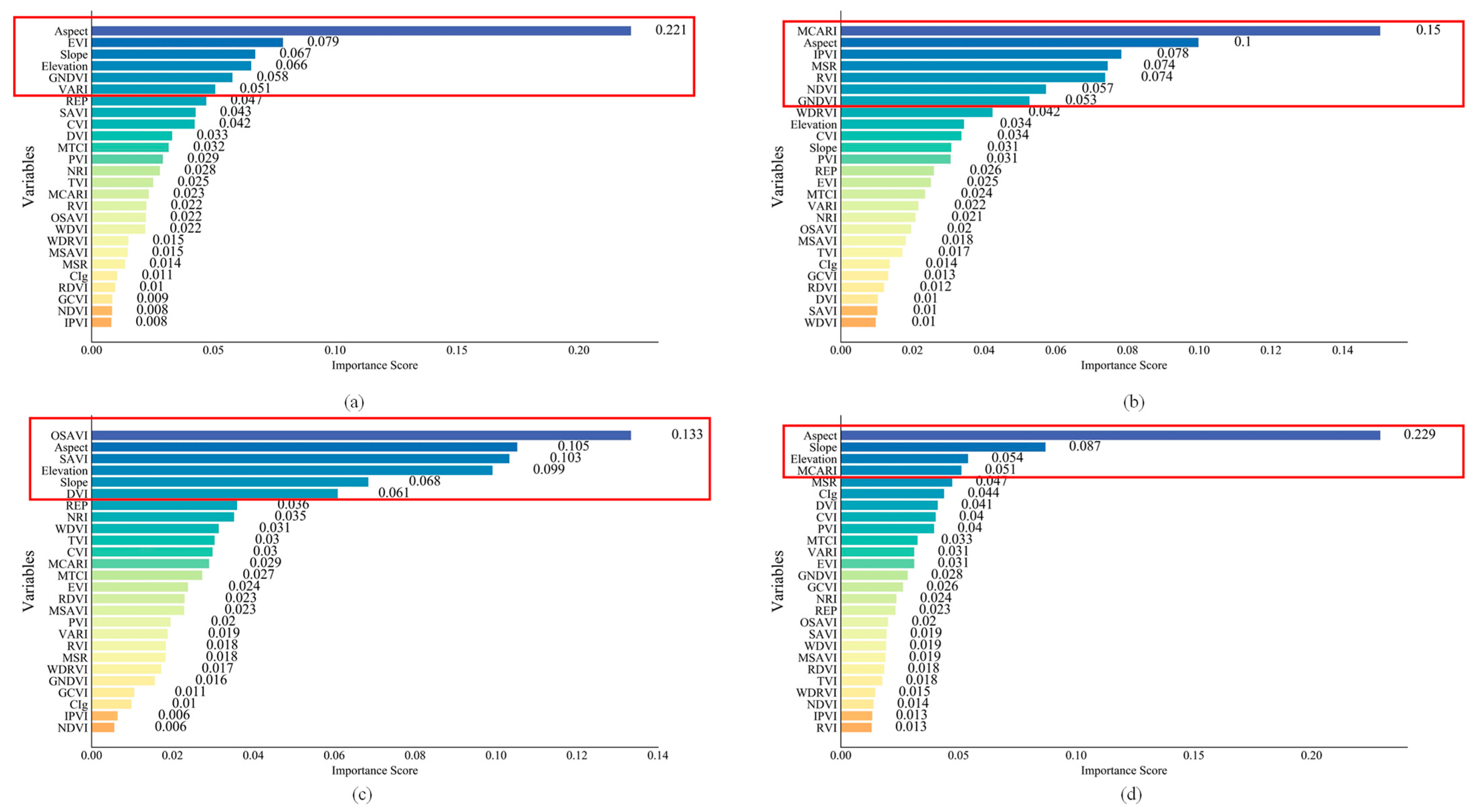
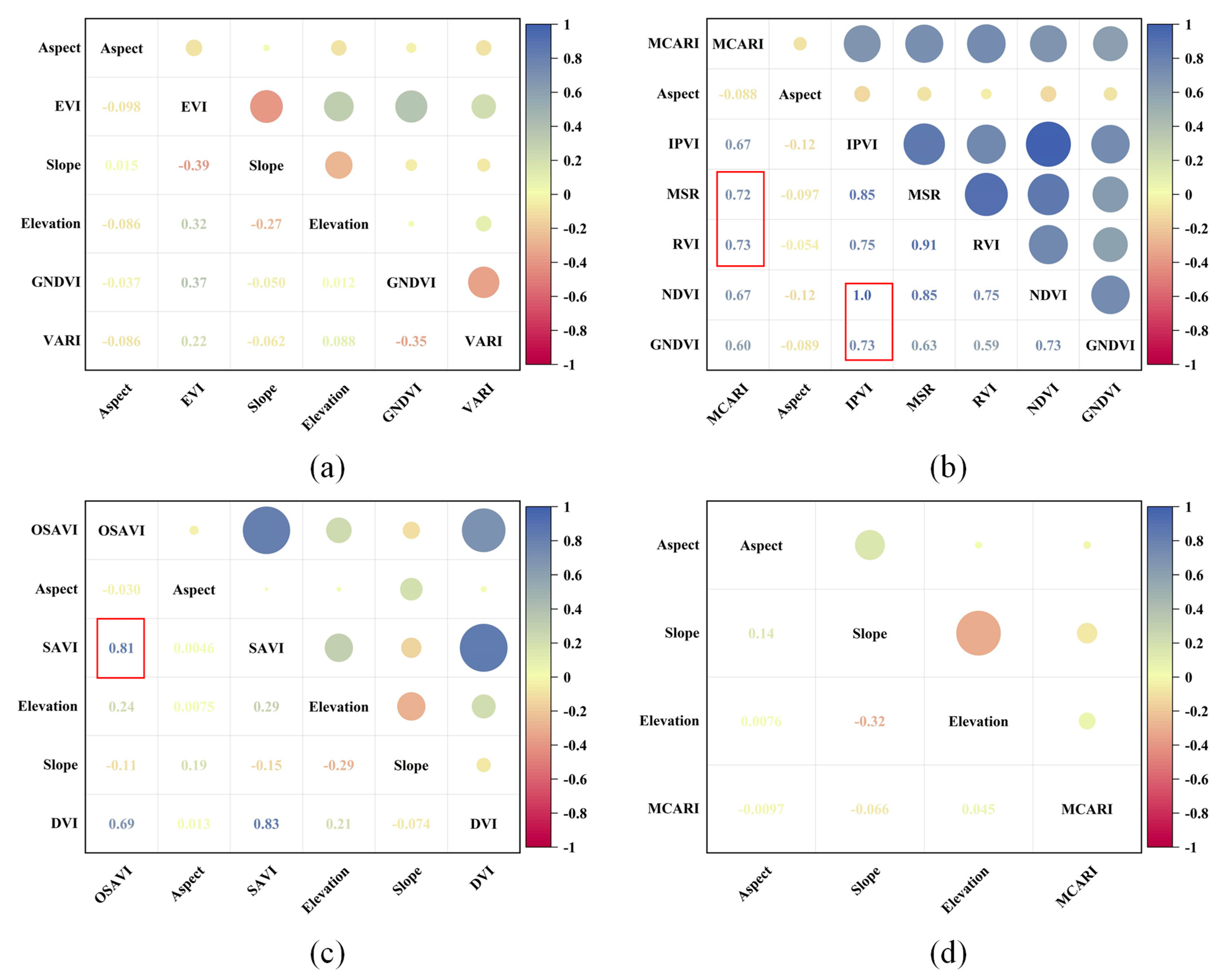
3.1. Optimal Combination of Features
3.2. Performance of Six Regression Methods in Estimating Fresh Tea Yield
4. Discussion
4.1. Comparison of Regression Techniques for Fresh Tea Yield in Different Seasons
4.2. Limitations and Strengths
5. Conclusions
Author Contributions
Funding
Data Availability Statement
Conflicts of Interest
References
- Xu, W.; Qin, Y.; Xiao, X.; Di, G.; Doughty, R.B.; Zhou, Y.; Zou, Z.; Kong, L.; Niu, Q.; Kou, W. Quantifying spatial-temporal changes of tea plantations in complex landscapes through integrative analyses of optical and microwave imagery. Int. J. Appl. Earth Obs. Geoinf. 2018, 73, 697–711. [Google Scholar] [CrossRef]
- Duncan, J.M.; Saikia, S.; Gupta, N.; Biggs, E. Observing climate impacts on tea yield in Assam, India. Appl. Geogr. 2016, 77, 64–71. [Google Scholar] [CrossRef]
- Wang, Y.-C.; Hao, X.-Y.; Wang, L.; Xiao, B.; Wang, X.-C.; Yang, Y.-J. Diverse Colletotrichum species cause anthracnose of tea plants (Camellia sinensis (L.) O. Kuntze) in China. Sci. Rep. 2016, 6, 35287. [Google Scholar] [CrossRef] [PubMed]
- Qu, Z.; Liu, A.; Li, P.; Liu, C.; Xiao, W.; Huang, J.; Liu, Z.; Zhang, S. Advances in physiological functions and mechanisms of (−)-epicatechin. Crit. Rev. Food Sci. Nutr. 2021, 61, 211–233. [Google Scholar] [CrossRef] [PubMed]
- Wang, S.-M.; Yu, C.-P.; Ma, J.-H.; Ouyang, J.-X.; Zhao, Z.-M.; Xuan, Y.-M.; Fan, D.-M.; Yu, J.-F.; Wang, X.-C.; Zheng, X.-Q. Tea yield estimation using UAV images and deep learning. Ind. Crops Prod. 2024, 212, 118358. [Google Scholar] [CrossRef]
- Zhou, J.; Ho, C.-T.; Long, P.; Meng, Q.; Zhang, L.; Wan, X. Preventive efficiency of green tea and its components on nonalcoholic fatty liver disease. J. Agric. Food Chem. 2019, 67, 5306–5317. [Google Scholar] [CrossRef]
- Baruah, R.D.; Roy, S.; Bhagat, R.M.; Sethi, L.N. Use of Data Mining Technique for Prediction of Tea Yield in the Face of Climate Change of Assam, India. In Proceedings of the 2016 International Conference on Information Technology (ICIT), Bhubaneswar, India, 22–24 December 2016; pp. 265–269. [Google Scholar]
- He, Z.; Wu, K.; Wang, F.; Jin, L.; Zhang, R.; Tian, S.; Wu, W.; He, Y.; Huang, R.; Yuan, L.; et al. Fresh Yield Estimation of Spring Tea via Spectral Differences in UAV Hyperspectral Images from Unpicked and Picked Canopies. Remote Sens. 2023, 15, 1100. [Google Scholar] [CrossRef]
- Batool, D.; Shahbaz, M.; Shahzad Asif, H.; Shaukat, K.; Alam, T.M.; Hameed, I.A.; Ramzan, Z.; Waheed, A.; Aljuaid, H.; Luo, S. A Hybrid Approach to Tea Crop Yield Prediction Using Simulation Models and Machine Learning. Plants 2022, 11, 1925. [Google Scholar] [CrossRef] [PubMed]
- Seidel, S.J.; Palosuo, T.; Thorburn, P.; Wallach, D. Towards improved calibration of crop models–Where are we now and where should we go? Eur. J. Agron. 2018, 94, 25–35. [Google Scholar] [CrossRef]
- Anastasiou, E.; Balafoutis, A.; Darra, N.; Psiroukis, V.; Biniari, A.; Xanthopoulos, G.; Fountas, S. Satellite and proximal sensing to estimate the yield and quality of table grapes. Agriculture 2018, 8, 94. [Google Scholar] [CrossRef]
- Bognár, P.; Kern, A.; Pásztor, S.; Lichtenberger, J.; Koronczay, D.; Ferencz, C. Yield estimation and forecasting for winter wheat in Hungary using time series of MODIS data. Int. J. Remote Sens. 2017, 38, 3394–3414. [Google Scholar] [CrossRef]
- Gómez, D.; Salvador, P.; Sanz, J.; Casanova, J.L. Potato yield prediction using machine learning techniques and sentinel 2 data. Remote Sens. 2019, 11, 1745. [Google Scholar] [CrossRef]
- Phan, P.; Chen, N.; Xu, L.; Chen, Z. Using Multi-Temporal MODIS NDVI Data to Monitor Tea Status and Forecast Yield: A Case Study at Tanuyen, Laichau, Vietnam. Remote Sens. 2020, 12, 1814. [Google Scholar] [CrossRef]
- Ramzan, Z.; Asif, H.S.; Yousuf, I.; Shahbaz, M. A Multimodal Data Fusion and Deep Neural Networks Based Technique for Tea Yield Estimation in Pakistan Using Satellite Imagery. IEEE Access 2023, 11, 42578–42594. [Google Scholar] [CrossRef]
- Fauziana, F.; Danoedoro, P.; Heru Murti, S. Linear Spectral Mixture Analysis of SPOT-7 for Tea Yield Estimation in Pagilaran Estate, Batang Central Java. IOP Conf. Ser. Earth Environ. Sci. 2016, 47, 012034. [Google Scholar] [CrossRef]
- Ramadanningrum, D.P.; Kamal, M.; Murti, S.H. Image-based tea yield estimation using Landsat-8 OLI and Sentinel-2B images. Remote Sens. Appl. Soc. Environ. 2020, 20, 100424. [Google Scholar] [CrossRef]
- Raj, E.E.; Ramesh, K.V.; Rajkumar, R. Modelling the impact of agrometeorological variables on regional tea yield variability in South Indian tea-growing regions: 1981–2015. Cogent Food Agric. 2019, 5, 1581457. [Google Scholar] [CrossRef]
- Nuraeni, D.; Manessa, M.D.M. SPATIAL MACHINE LEARNING FOR MONITORING TEA LEAVES AND CROP YIELD ESTIMATION USING SENTINEL-2 IMAGERY, (A Case of Gunung Mas Plantation, Bogor). Int. J. Remote Sens. Earth Sci. (IJReSES) 2023, 19, 133–142. [Google Scholar] [CrossRef]
- Al Ryan, A.; Shuvessa, S.K.; Mamun, S.; Arpita, H.D.; Ahamed, M.S. Forecasting Tea Production in the Context of Bangladesh Utilizing Machine Learning. In Proceedings of the 2023 14th International Conference on Computing Communication and Networking Technologies (ICCCNT), Delhi, India, 6–8 July 2023; pp. 1–5. [Google Scholar]
- Jui, S.J.J.; Ahmed, A.A.M.; Bose, A.; Raj, N.; Sharma, E.; Soar, J.; Chowdhury, M.W.I. Spatiotemporal Hybrid Random Forest Model for Tea Yield Prediction Using Satellite-Derived Variables. Remote Sens. 2022, 14, 805. [Google Scholar] [CrossRef]
- Phan, P.; Chen, N.; Xu, L.; Dao, D.M.; Dang, D. NDVI Variation and Yield Prediction in Growing Season: A Case Study with Tea in Tanuyen Vietnam. Atmosphere 2021, 12, 962. [Google Scholar] [CrossRef]
- Hong, Z.; Xu, W.; Liu, Y.; Wang, L.; Ou, G.; Lu, N.; Dai, Q. Retrieval of Three-Dimensional Green Volume in Urban Green Space from Multi-Source Remote Sensing Data. Remote Sens. 2023, 15, 5364. [Google Scholar] [CrossRef]
- Chen, C.; Zhang, Q.; Yu, B.; Yu, Z.; Lawrence, P.J.; Ma, Q.; Zhang, Y. Improving protein-protein interactions prediction accuracy using XGBoost feature selection and stacked ensemble classifier. Comput. Biol. Med. 2020, 123, 103899. [Google Scholar] [CrossRef]
- Amani, M.; Ghorbanian, A.; Ahmadi, S.A.; Kakooei, M.; Moghimi, A.; Mirmazloumi, S.M.; Moghaddam, S.H.A.; Mahdavi, S.; Ghahremanloo, M.; Parsian, S. Google earth engine cloud computing platform for remote sensing big data applications: A comprehensive review. IEEE J. Sel. Top. Appl. Earth Obs. Remote Sens. 2020, 13, 5326–5350. [Google Scholar] [CrossRef]
- Xiong, Y.; Kang, Q.; Xu, W.; Huang, S.; Dai, F.; Wang, L.; Lu, N.; Kou, W. The dynamics of tea plantation encroachment into forests and effect on forest landscape pattern during 1991–2021 through time series Landsat images. Ecol. Indic. 2022, 141, 109132. [Google Scholar] [CrossRef]
- Guan, K.; Wu, J.; Kimball, J.S.; Anderson, M.C.; Frolking, S.; Li, B.; Hain, C.R.; Lobell, D.B. The shared and unique values of optical, fluorescence, thermal and microwave satellite data for estimating large-scale crop yields. Remote Sens. Environ. 2017, 199, 333–349. [Google Scholar] [CrossRef]
- Drusch, M.; Del Bello, U.; Carlier, S.; Colin, O.; Fernandez, V.; Gascon, F.; Hoersch, B.; Isola, C.; Laberinti, P.; Martimort, P. Sentinel-2: ESA’s optical high-resolution mission for GMES operational services. Remote Sens. Environ. 2012, 120, 25–36. [Google Scholar] [CrossRef]
- Richardson, A.J.; Wiegand, C. Distinguishing vegetation from soil background information. Photogramm. Eng. Remote Sens. 1977, 43, 1541–1552. [Google Scholar]
- Huete, A.; Didan, K.; Miura, T.; Rodriguez, E.P.; Gao, X.; Ferreira, L.G. Overview of the radiometric and biophysical performance of the MODIS vegetation indices. Remote Sens. Environ. 2002, 83, 195–213. [Google Scholar] [CrossRef]
- Rouse, J.W., Jr.; Haas, R.H.; Deering, D.; Schell, J.; Harlan, J.C. Monitoring the Vernal Advancement and Retrogradation (Green Wave Effect) of Natural Vegetation; Remote Sensing Center, Texas A&M University: College Station, TX, USA, 1974. [Google Scholar]
- Schuerger, A.C.; Capelle, G.A.; Di Benedetto, J.A.; Mao, C.; Thai, C.N.; Evans, M.D.; Richards, J.T.; Blank, T.A.; Stryjewski, E.C. Comparison of two hyperspectral imaging and two laser-induced fluorescence instruments for the detection of zinc stress and chlorophyll concentration in bahia grass (Paspalum notatum Flugge.). Remote Sens. Environ. 2003, 84, 572–588. [Google Scholar] [CrossRef]
- Huete, A.R. A soil-adjusted vegetation index (SAVI). Remote Sens. Environ. 1988, 25, 295–309. [Google Scholar] [CrossRef]
- Dash, J. The MERIS Terrestrial Chlorophyll Index; University of Southampton: Southampton, UK, 2005. [Google Scholar]
- Gitelson, A.A.; Viña, A.; Arkebauer, T.J.; Rundquist, D.C.; Keydan, G.; Leavitt, B. Remote estimation of leaf area index and green leaf biomass in maize canopies. Geophys. Res. Lett. 2003, 30, 1248. [Google Scholar] [CrossRef]
- Danson, F.; Plummer, S. Red-edge response to forest leaf area index. Remote Sens. 1995, 16, 183–188. [Google Scholar] [CrossRef]
- Haboudane, D.; Miller, J.R.; Tremblay, N.; Zarco-Tejada, P.J.; Dextraze, L. Integrated narrow-band vegetation indices for prediction of crop chlorophyll content for application to precision agriculture. Remote Sens. Environ. 2002, 81, 416–426. [Google Scholar] [CrossRef]
- Rondeaux, G.; Steven, M.; Baret, F. Optimization of soil-adjusted vegetation indices. Remote Sens. Environ. 1996, 55, 95–107. [Google Scholar] [CrossRef]
- Tucker, C.J. Red and photographic infrared linear combinations for monitoring vegetation. Remote Sens. Environ. 1979, 8, 127–150. [Google Scholar] [CrossRef]
- Gitelson, A.A.; Kaufman, Y.J.; Stark, R.; Rundquist, D. Novel algorithms for remote estimation of vegetation fraction. Remote Sens. Environ. 2002, 80, 76–87. [Google Scholar] [CrossRef]
- Gitelson, A.A.; Gritz, Y.; Merzlyak, M.N. Relationships between leaf chlorophyll content and spectral reflectance and algorithms for non-destructive chlorophyll assessment in higher plant leaves. J. Plant Physiol. 2003, 160, 271–282. [Google Scholar] [CrossRef]
- Vincini, M.; Frazzi, E.; D’Alessio, P. A broad-band leaf chlorophyll vegetation index at the canopy scale. Precis. Agric. 2008, 9, 303–319. [Google Scholar] [CrossRef]
- Clevers, J. Application of a weighted infrared-red vegetation index for estimating leaf area index by correcting for soil moisture. Remote Sens. Environ. 1989, 29, 25–37. [Google Scholar] [CrossRef]
- Gitelson, A.A.; Kaufman, Y.J.; Merzlyak, M.N. Use of a green channel in remote sensing of global vegetation from EOS-MODIS. Remote Sens. Environ. 1996, 58, 289–298. [Google Scholar] [CrossRef]
- Crippen, R.E. Calculating the vegetation index faster. Remote Sens. Environ. 1990, 34, 71–73. [Google Scholar] [CrossRef]
- Chen, J.M. Evaluation of vegetation indices and a modified simple ratio for boreal applications. Can. J. Remote Sens. 1996, 22, 229–242. [Google Scholar] [CrossRef]
- Qi, J.; Chehbouni, A.; Huete, A.R.; Kerr, Y.H.; Sorooshian, S. A modified soil adjusted vegetation index. Remote Sens. Environ. 1994, 48, 119–126. [Google Scholar] [CrossRef]
- Haboudane, D.; Miller, J.R.; Pattey, E.; Zarco-Tejada, P.J.; Strachan, I.B. Hyperspectral vegetation indices and novel algorithms for predicting green LAI of crop canopies: Modeling and validation in the context of precision agriculture. Remote Sens. Environ. 2004, 90, 337–352. [Google Scholar] [CrossRef]
- Gitelson, A.A. Wide dynamic range vegetation index for remote quantification of biophysical characteristics of vegetation. J. Plant Physiol. 2004, 161, 165–173. [Google Scholar] [CrossRef] [PubMed]
- Breiman, L. Random forests. Mach. Learn. 2001, 45, 5–32. [Google Scholar] [CrossRef]
- Shataee, S.; Kalbi, S.; Fallah, A.; Pelz, D. Forest attribute imputation using machine-learning methods and ASTER data: Comparison of k-NN, SVR and random forest regression algorithms. Int. J. Remote Sens. 2012, 33, 6254–6280. [Google Scholar] [CrossRef]
- Shehab, M.; Abualigah, L.; Shambour, Q.; Abu-Hashem, M.A.; Shambour, M.K.Y.; Alsalibi, A.I.; Gandomi, A.H. Machine learning in medical applications: A review of state-of-the-art methods. Comput. Biol. Med. 2022, 145, 105458. [Google Scholar] [CrossRef] [PubMed]
- Padmanabhan, J.; Johnson Premkumar, M.J. Machine learning in automatic speech recognition: A survey. IETE Tech. Rev. 2015, 32, 240–251. [Google Scholar] [CrossRef]
- Garcia Cuenca, L.; Sanchez-Soriano, J.; Puertas, E.; Fernandez Andres, J.; Aliane, N. Machine learning techniques for undertaking roundabouts in autonomous driving. Sensors 2019, 19, 2386. [Google Scholar] [CrossRef] [PubMed]
- Cheng, M.; Jiao, X.; Shi, L.; Penuelas, J.; Kumar, L.; Nie, C.; Wu, T.; Liu, K.; Wu, W.; Jin, X. High-resolution crop yield and water productivity dataset generated using random forest and remote sensing. Sci. Data 2022, 9, 641. [Google Scholar] [CrossRef] [PubMed]
- Raj, S.; Patle, S.; Rajendran, S. Predicting Crop Yield Using Decision Tree Regressor. In Proceedings of the 2022 International Conference on Knowledge Engineering and Communication Systems (ICKES), Chickballapur, India, 28–29 December 2022; pp. 1–5. [Google Scholar]
- Didari, S.; Talebnejad, R.; Bahrami, M.; Mahmoudi, M.R. Dryland farming wheat yield prediction using the Lasso regression model and meteorological variables in dry and semi-dry region. Stoch. Environ. Res. Risk Assess. 2023, 37, 3967–3985. [Google Scholar] [CrossRef]
- Arumugam, P.; Chemura, A.; Schauberger, B.; Gornott, C. Remote sensing based yield estimation of rice (Oryza sativa L.) using gradient boosted regression in India. Remote Sens. 2021, 13, 2379. [Google Scholar] [CrossRef]
- Torkashvand, A.M.; Ahmadi, A.; Nikravesh, N.L. Prediction of kiwifruit firmness using fruit mineral nutrient concentration by artificial neural network (ANN) and multiple linear regressions (MLR). J. Integr. Agric. 2017, 16, 1634–1644. [Google Scholar] [CrossRef]
- Gonzalez-Sanchez, A.; Frausto-Solis, J.; Ojeda-Bustamante, W. Attribute selection impact on linear and nonlinear regression models for crop yield prediction. Sci. World J. 2014, 2014, 509429. [Google Scholar] [CrossRef]
- Saunders, L.J.; Russell, R.A.; Crabb, D.P. The coefficient of determination: What determines a useful R2 statistic? Investig. Ophthalmol. Vis. Sci. 2012, 53, 6830–6832. [Google Scholar] [CrossRef]
- Jacovides, C.; Kontoyiannis, H. Statistical procedures for the evaluation of evapotranspiration computing models. Agric. Water Manag. 1995, 27, 365–371. [Google Scholar] [CrossRef]
- Cheng, M.; Penuelas, J.; McCabe, M.F.; Atzberger, C.; Jiao, X.; Wu, W.; Jin, X. Combining multi-indicators with machine-learning algorithms for maize yield early prediction at the county-level in China. Agric. For. Meteorol. 2022, 323, 109057. [Google Scholar] [CrossRef]
- Wang, F.; Yao, X.; Xie, L.; Zheng, J.; Xu, T. Rice yield estimation based on vegetation index and florescence spectral information from UAV hyperspectral remote sensing. Remote Sens. 2021, 13, 3390. [Google Scholar] [CrossRef]
- Segarra, J.; González-Torralba, J.; Aranjuelo, Í.; Araus, J.L.; Kefauver, S.C. Estimating wheat grain yield using Sentinel-2 imagery and exploring topographic features and rainfall effects on wheat performance in Navarre, Spain. Remote Sens. 2020, 12, 2278. [Google Scholar] [CrossRef]
- Adekanmbi, T.; Wang, X.; Basheer, S.; Nawaz, R.A.; Pang, T.; Hu, Y.; Liu, S. Assessing future climate change impacts on potato yields—A case study for Prince Edward Island, Canada. Foods 2023, 12, 1176. [Google Scholar] [CrossRef] [PubMed]
- Zarco-Tejada, P.J.; Ustin, S.; Whiting, M. Temporal and spatial relationships between within-field yield variability in cotton and high-spatial hyperspectral remote sensing imagery. Agron. J. 2005, 97, 641–653. [Google Scholar] [CrossRef]
- Shammi, S.A.; Meng, Q. Use time series NDVI and EVI to develop dynamic crop growth metrics for yield modeling. Ecol. Indic. 2021, 121, 107124. [Google Scholar] [CrossRef]
- Wahab, I.; Hall, O.; Jirström, M. Remote sensing of yields: Application of uav imagery-derived ndvi for estimating maize vigor and yields in complex farming systems in sub-saharan africa. Drones 2018, 2, 28. [Google Scholar] [CrossRef]
- Wu, D.; Yang, H.; Chen, X.; He, Y.; Li, X. Application of image texture for the sorting of tea categories using multi-spectral imaging technique and support vector machine. J. Food Eng. 2008, 88, 474–483. [Google Scholar] [CrossRef]
- İrdem, C. Effects of Temperature and Precipitation on Tea Yield in Turkey. Black Sea J. Agric. 2022, 5, 126–136. [Google Scholar] [CrossRef]
- Jeong, J.H.; Resop, J.P.; Mueller, N.D.; Fleisher, D.H.; Yun, K.; Butler, E.E.; Timlin, D.J.; Shim, K.-M.; Gerber, J.S.; Reddy, V.R. Random forests for global and regional crop yield predictions. PLoS ONE 2016, 11, e0156571. [Google Scholar] [CrossRef]
- Belgiu, M.; Drăguţ, L. Random forest in remote sensing: A review of applications and future directions. ISPRS J. Photogramm. Remote Sens. 2016, 114, 24–31. [Google Scholar] [CrossRef]
- Panigrahi, B.; Kathala, K.C.R.; Sujatha, M. A machine learning-based comparative approach to predict the crop yield using supervised learning with regression models. Procedia Comput. Sci. 2023, 218, 2684–2693. [Google Scholar] [CrossRef]
- Lou, Z.; Lu, X.; Li, S. Yield Prediction of Winter Wheat at Different Growth Stages Based on Machine Learning. Agronomy 2024, 14, 1834. [Google Scholar] [CrossRef]
- Zaefizadeh, M.; Jalili, A.; Khayatnezhad, M.; Gholamin, R.; Mokhtari, T. Comparison of multiple linear regressions (MLR) and artificial neural network (ANN) in predicting the yield using its components in the hulless barley. Adv. Environ. Biol. 2011, 5, 109–114. [Google Scholar]
- Moslem, A.; Mehdi, Y.-H.; Seyyed, H.; Amir, H. Artificial neural networks and multiple linear regression as potential methods for modeling seed yield of safflower (Carthamus tinctorius L.). Ind. Crops Prod. 2019, 127, 185–194. [Google Scholar] [CrossRef]
- Sitienei, B.J.; Juma, S.G.; Opere, E. On the use of regression models to predict tea crop yield responses to climate change: A case of Nandi East, sub-county of Nandi county, Kenya. Climate 2017, 5, 54. [Google Scholar] [CrossRef]
- Nemec-Boehm, R.L.; Cash, S.B.; Anderson, B.T.; Ahmed, S.; Griffin, T.S.; Orians, C.M.; Robbat, A.; Stepp, R.A.; Han, W. Climate change, the monsoon, and tea yields in China. In Proceedings of the Agricultural and Applied Economics Association’s Annual Meeting, Minneapolis, MN, USA, 27–29 July 2014; pp. 27–29. [Google Scholar]
- Merker, C.; Geppert, G.; Clemens, M.; Ament, F. Estimating the uncertainty of areal precipitation using data assimilation. Tellus A Dyn. Meteorol. Oceanogr. 2019, 71, 1606666. [Google Scholar] [CrossRef]
- Filippi, P.; Jones, E.J.; Wimalathunge, N.S.; Somarathna, P.D.; Pozza, L.E.; Ugbaje, S.U.; Jephcott, T.G.; Paterson, S.E.; Whelan, B.M.; Bishop, T.F. An approach to forecast grain crop yield using multi-layered, multi-farm data sets and machine learning. Precis. Agric. 2019, 20, 1015–1029. [Google Scholar] [CrossRef]
- Han, J.; Zhang, Z.; Cao, J.; Luo, Y.; Zhang, L.; Li, Z.; Zhang, J. Prediction of winter wheat yield based on multi-source data and machine learning in China. Remote Sens. 2020, 12, 236. [Google Scholar] [CrossRef]







| VI | Name | Formula | Reference |
|---|---|---|---|
| DVI | Difference Vegetation Index | [29] | |
| EVI | Enhanced Vegetation Index | [30] | |
| NDVI | Normalized Difference Vegetation Index | [31] | |
| RVI | Ratio Vegetation Index | [32] | |
| SAVI | Soil-Adjusted Vegetation Index | [33] | |
| MTCI | MERIS Terrestrial Chlorophyll Index | [34] | |
| GCVI | Green Chlorophyll Vegetation Index | [35] | |
| REP | Red-Edge Position Index | [36] | |
| PVI | Perpendicular Vegetation Index | [29] | |
| MCARI | Modified Chlorophyll Absorption Ratio Index | [37] | |
| OSAVI | Optimization Soil-Adjusted Vegetation Index | [38] | |
| NRI | Nitrogen Reflectance Index | [39] | |
| VARI | Visible Atmospherically Resistant Index | [40] | |
| Green Chlorophyll Index | [41] | ||
| CVI | Chlorophyll Vegetation Index | [42] | |
| WDVI | Weighted Difference Vegetation Index | [43] | |
| TVI | Transform Vegetation Index | [44] | |
| GNDVI | Green Normalized Difference Vegetation Index | [44] | |
| IPVI | Infrared Percentage Vegetation Index | [45] | |
| MSR | Modified Simple Ratio | [46] | |
| MSAVI | Modified Soil-Adjusted Vegetation Index | [47] | |
| RDVI | Renormalized Difference Vegetation Index | [48] | |
| WDRVI | Wide Dynamic Range Vegetation Index | [49] |
| Algorithm | Hyperparameters | Parameter Sets of Candidate Values |
|---|---|---|
| AdaBoost | n_estimators | 50, 100, 200, 300, 400 |
| learning_rate | 0.01, 0.05, 0.1, 0.2, 0.5, 1.0 | |
| Lasso-LARS | alpha | 0.01, 0.1, 1.0, 10, 100 |
| max_iter | 100, 500, 1000, 2000 | |
| RF | n_estimators | 50, 100, 200, 300, 400 |
| max_depth | 10, 20, 30, 40, 50 | |
| min_samples_split | 2, 5, 10, 15, 20 | |
| min_samples_leaf | 1, 2, 4, 6, 8 | |
| Gradient Boosting Regressor | n_estimators | 50, 100, 200, 300 |
| learning_rate | 0.01, 0.05, 0.1, 0.2 | |
| max_depth | 3, 5, 7, 10 | |
| min_samples_split | 2, 5, 10 | |
| min_samples_leaf | 1, 2, 4 |
Disclaimer/Publisher’s Note: The statements, opinions and data contained in all publications are solely those of the individual author(s) and contributor(s) and not of MDPI and/or the editor(s). MDPI and/or the editor(s) disclaim responsibility for any injury to people or property resulting from any ideas, methods, instructions or products referred to in the content. |
© 2025 by the authors. Licensee MDPI, Basel, Switzerland. This article is an open access article distributed under the terms and conditions of the Creative Commons Attribution (CC BY) license (https://creativecommons.org/licenses/by/4.0/).
Share and Cite
Liu, H.; Liu, Y.; Xu, W.; Wu, M.; Wang, L.; Lu, N.; Ou, G. A Seasonal Fresh Tea Yield Estimation Method with Machine Learning Algorithms at Field Scale Integrating UAV RGB and Sentinel-2 Imagery. Plants 2025, 14, 373. https://doi.org/10.3390/plants14030373
Liu H, Liu Y, Xu W, Wu M, Wang L, Lu N, Ou G. A Seasonal Fresh Tea Yield Estimation Method with Machine Learning Algorithms at Field Scale Integrating UAV RGB and Sentinel-2 Imagery. Plants. 2025; 14(3):373. https://doi.org/10.3390/plants14030373
Chicago/Turabian StyleLiu, Huimei, Yun Liu, Weiheng Xu, Mei Wu, Leiguang Wang, Ning Lu, and Guanglong Ou. 2025. "A Seasonal Fresh Tea Yield Estimation Method with Machine Learning Algorithms at Field Scale Integrating UAV RGB and Sentinel-2 Imagery" Plants 14, no. 3: 373. https://doi.org/10.3390/plants14030373
APA StyleLiu, H., Liu, Y., Xu, W., Wu, M., Wang, L., Lu, N., & Ou, G. (2025). A Seasonal Fresh Tea Yield Estimation Method with Machine Learning Algorithms at Field Scale Integrating UAV RGB and Sentinel-2 Imagery. Plants, 14(3), 373. https://doi.org/10.3390/plants14030373

