Photosynthetic Homeostasis Mechanism and Configuration Application of Woody Plants in Green Wall Under Light Gradients of Building Facades with Different Orientations
Abstract
1. Introduction
2. Results
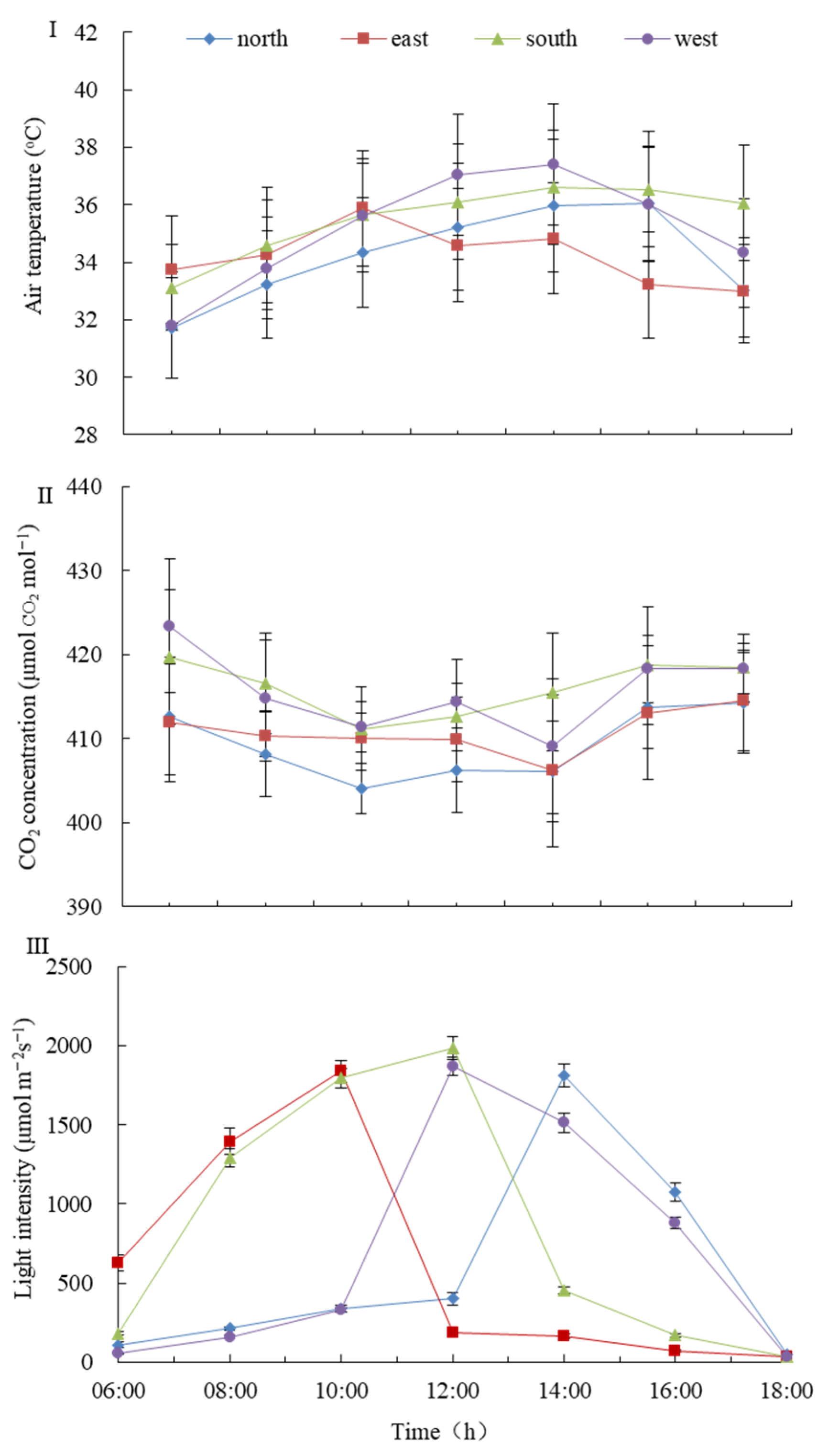
2.1. Patterns of Microclimate Differentiation in Facade Light Gradient Environments Across Building Orientations
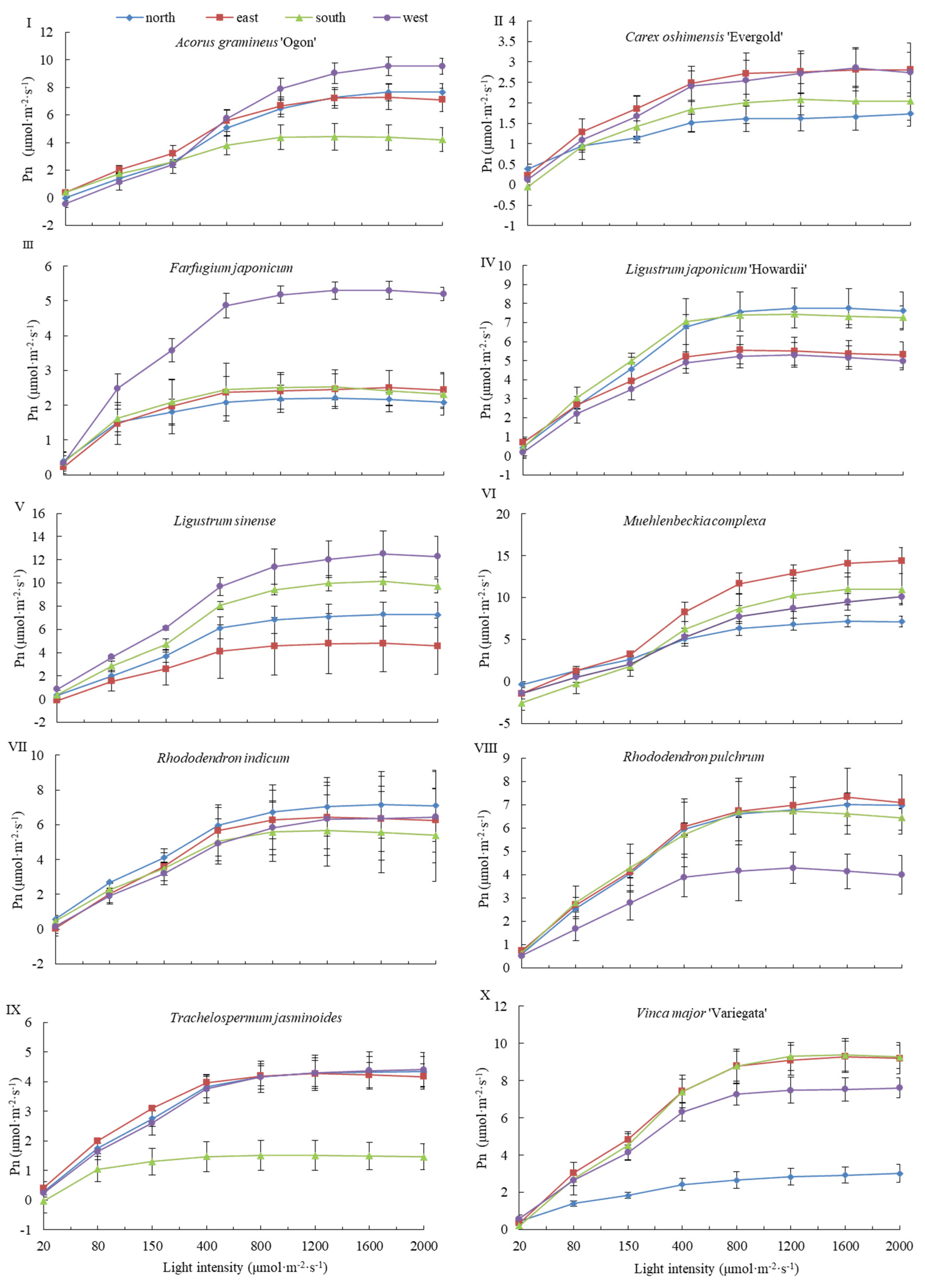
2.2. Light Response Characteristics of Green Wall Plants in Buildings with Different Orientations
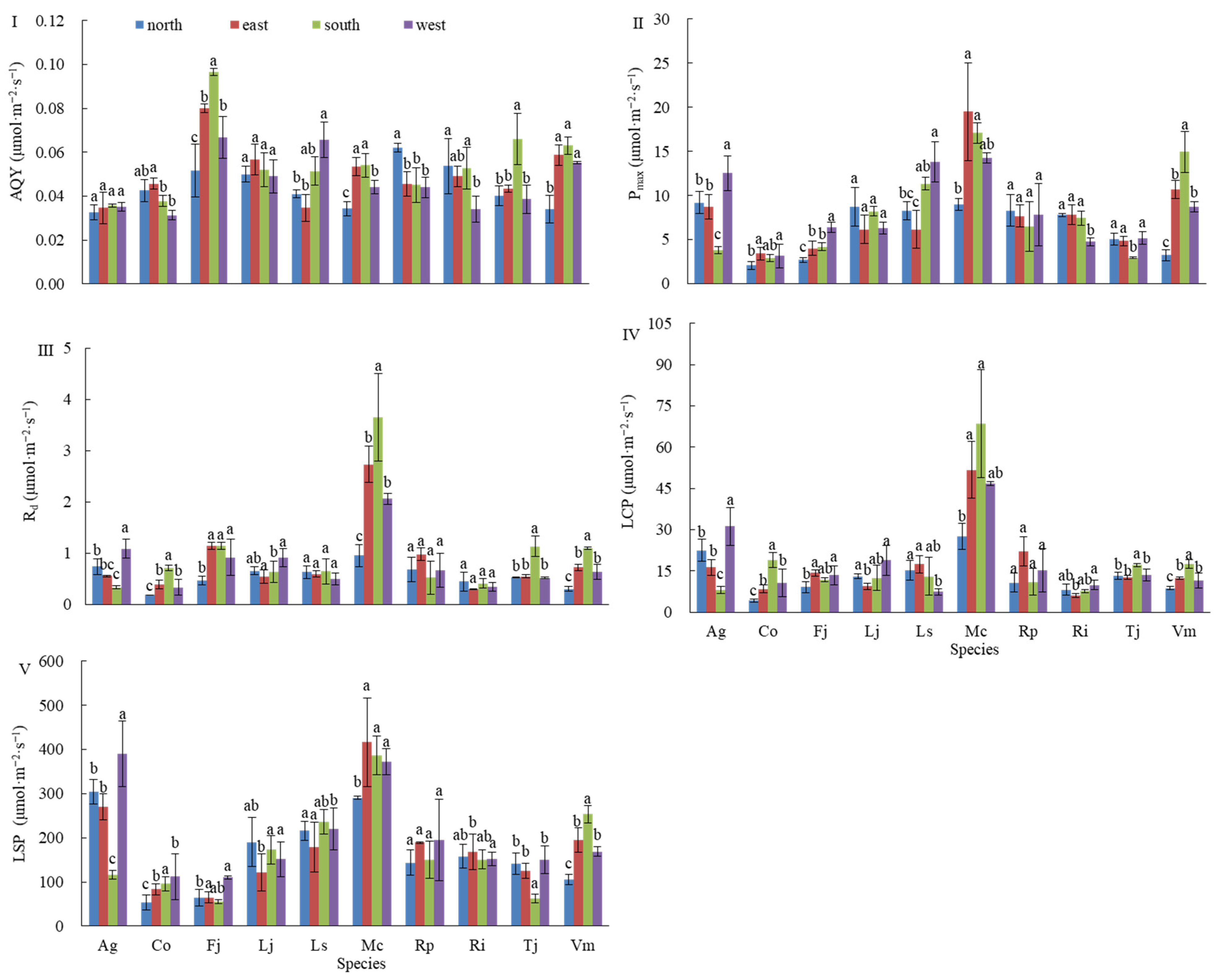
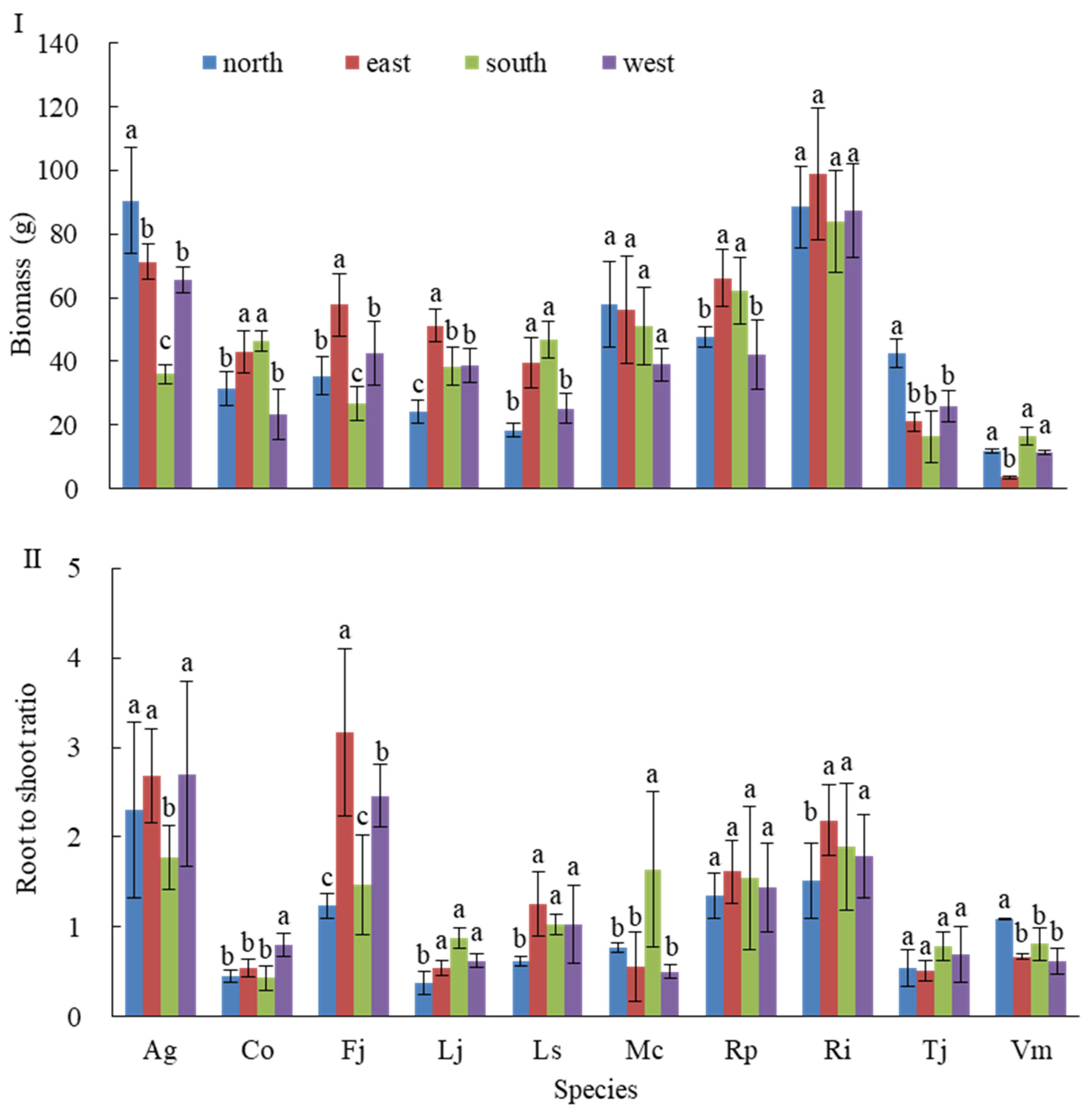
2.3. Photosynthetic Parameters and Biomass Characteristics of 10 Green Wall Plants Under Different Orientations
2.4. PCA Results of Photosynthetic Parameter Variation Rates in 10 Green Wall Plants Across Different Orientations
2.5. “Photosensitivity-Growth Type-Ecological Function” Correlation Model and Plant Configuration
3. Discussion
3.1. Structural and Biochemical Basis of Light Adaptation Mechanisms
3.2. Species-Specific Light Adaptation and Ecological Applications
3.3. Research Limitations and Future Directions
4. Materials and Methods
4.1. Study Sites
4.2. Green Wall Systems and Plant Materials
4.3. Experimental Design and Data Collection
4.4. Statistical Analyses
5. Conclusions
- South-facing walls: Replacing traditional Crassula species with Mc vines, combined with a Lj woody framework, enhances summer cooling efficiency.
- North-facing walls: A cost-effective solution employs an Ag + Fj combination, maintaining 86% coverage under low-light conditions (<500 μmol·m−2·s−1) and achieving 32% water savings compared to pure herbaceous systems, with a root-to-crown ratio as high as 0.51.
- East- and west-facing walls: Mixed woody-vine configurations are recommended to balance carbon sequestration and shading benefits.
Author Contributions
Funding
Data Availability Statement
Conflicts of Interest
References
- Khatri, A.; Bustamante, D.; Ruta, M.; Lazo, D.; Dorta, C.; Espinoza, L.; Helfand, L.; Hecht, S. BiodiverCities by 2030: Transforming Cities’ Relationship with Nature; The World Economic Forum, the Republic of Colombia: Cologny, Switzerland, 2022; Available online: https://www.weforum.org/reports/biodivercities-by-2030-transforming-cities-relationship-with-nature/ (accessed on 13 November 2025).
- European Commission, Directorate-General for Research and Innovation. Evaluating the Impact of Nature-Based Solutions: A Summary for Policy Makers; Publications Office of the European Union: Brussels, Belgium, 2021. [CrossRef]
- Eggermont, H.; Balian, E.; Azevedo, J.M.N.; Beumer, V.; Brodin, T.; Claudet, J.; Fady, B.; Grube, M.; Keune, H.; La-marque, P.; et al. Nature-based solutions: New influence for environmental management and research in Europe. GAIA—Ecol. Perspect. Sci. Soc. 2015, 24, 243–248. [Google Scholar] [CrossRef]
- International Union for Conservation of Nature. Global Standard for Nature-Based Solutions: A User-Friendly Frame-Work for the Verification, Design and Scaling up of NbS; IUCN: Gland, Switzerland, 2020; Available online: https://portals.iucn.org/library/sites/library/files/documents/2020-020-En.pdf (accessed on 13 November 2025).
- Mexia, T.; Vieira, J.; Principe, A.; Oen, A.M.P.; Ramos, I.; Faria, S.; Silva, O.; Azeda, C.; Correia, L.; Silva, J.M.; et al. Ecosystem services: Urban parks under a magnifying glass. Environ. Res. 2018, 160, 469–478. [Google Scholar] [CrossRef] [PubMed]
- Sowińska-Świerkosz, B.; Wójcik-Madej, J.; Michalik-Śnieżek, M. An assessment of the ecological landscape quality (ELQ) of nature-based solutions (NBS) based on existing elements of green and blue infrastructure (GBI). Sustainability 2021, 13, 11674. [Google Scholar] [CrossRef]
- Perini, K.; Ottelé, M.; Haas, E.; Raiteri, R. Greening the building envelope, façade greening and living wall systems. In Proceedings of the CISBAT 2011 International Conference on Energy Efficiency and Sustainability in Architecture and Civil Engineering, Lausanne, Switzerland, 14–16 September 2011; pp. 111–116. [Google Scholar] [CrossRef]
- Perini, K.; Rosasco, P. Cost-benefit analysis for green façades and living wall systems. Build. Environ. 2013, 70, 110–121. [Google Scholar] [CrossRef]
- Rosasco, P.; Perini, K. Evaluating the economic sustainability of a vertical greening system: A cost-benefit analysis of a pilot project in mediterranean area. Build. Environ. 2018, 142, 524–533. [Google Scholar] [CrossRef]
- Veisten, K.; Smyrnova, Y.; Klæboe, R.; Oltedal, S. Valuation of green walls and green roofs as soundscape measures: Including monetised amenity values together with noise-attenuation values in a cost-benefit analysis of a green wall affecting courtyards. Int. J. Environ. Res. Public Health 2012, 9, 3770–3788. [Google Scholar] [CrossRef] [PubMed]
- Chung, P.-W.; Livesley, S.J.; Farrell, C. Leaf trait plasticity means green facades are a flexible nature-based solution for vertical greening under full-sun and heavy shade conditions. Nat.-Based Solut. 2023, 4, 100078. [Google Scholar] [CrossRef]
- Mårtensson, L.-M.; Wuolo, A.; Fransson, A.-M.; Emilsson, T. Plant performance in living wall systems in the Scandi-navian climate. Ecol. Eng. 2014, 71, 610–614. [Google Scholar] [CrossRef]
- Jørgensen, L.; Dresbøll, D.B.; Thorup-Kristensen, K. Root growth of perennials in vertical growing media for use in green walls. Sci. Hortic. 2014, 166, 31–41. [Google Scholar] [CrossRef]
- Gifford, R.M.; Evans, L.T. Photosynthesis, carbon partitioning, and yield. Annu. Rev. Plant Physiol. 1981, 32, 485–509. [Google Scholar] [CrossRef]
- Van De Weg, M.J.; Meir, P.; Grace, J.; Ramos, G.D. Photosynthetic parameters, dark respiration and leaf traits in the canopy of a Peruvian tropical montane cloud forest. Oecologia 2012, 168, 23–34. [Google Scholar] [CrossRef] [PubMed]
- Niinemets, Ü. Optimization of foliage photosynthetic capacity in tree canopies: Towards identifying missing constraints. Tree Physiol. 2012, 32, 505–509. [Google Scholar] [CrossRef]
- Yamori, W.; Hikosaka, K.; Way, D.A. Temperature response of photosynthesis in C3, C4, and CAM plants: Temperature acclimation and temperature adaptation. Photosynth. Res. 2014, 119, 101–117. [Google Scholar] [CrossRef]
- Wu, G.L.; Du, G.Z. Advances in plant morphological growth strategy. World Sci.–Tech R D 2007, 29, 47–51. (In Chinese) [Google Scholar] [CrossRef]
- Relf, D.; Appleton, B.L. Selecting Landscape Plants: Ornamental Vines; Publication 426–601; Virginia Cooperative Extension: Blacksburg, VA, USA, 2001. [Google Scholar]
- Lundholm, J.T.; Weddle, B.M.; MacIvor, J.S. Snow depth and vegetation type affect green roof thermal performance in winter. Energy Build. 2014, 84, 299–307. [Google Scholar] [CrossRef]
- Kröber, W.; Heklau, H.; Bruelheide, H. Leaf morphology of 40 evergreen and deciduous broadleaved subtropical tree species and relationships to functional ecophysiological traits. Plant Biol. 2015, 17, 373–383. [Google Scholar] [CrossRef]
- Asada, K. Production and scavenging of reactive oxygen species in chloroplasts. Plant Physiol. 2006, 141, 391–396. [Google Scholar] [CrossRef]
- Nishiyama, Y.; Allakhverdiev, S.I.; Murata, N. A new paradigm for the action of reactive oxygen species in the photoinhibition of photosystem II. Biochim. Biophys. Acta (BBA)—Bioenerg. 2006, 1757, 742–749. [Google Scholar] [CrossRef]
- Melis, A. Photosystem-II damage and repair cycle in chloroplasts: What modulates the rate of photodamage in vivo? Trends Plant Sci. 1999, 4, 130–135. [Google Scholar] [CrossRef]
- Valladares, F.; Niinemets, Ü. Shade tolerance, a key plant feature of complex nature and consequences. Annu. Rev. Ecol. Evol. Syst. 2008, 39, 237–257. [Google Scholar] [CrossRef]
- Murchie, E.H.; Lawson, T. Chlorophyll fluorescence analysis: A guide to good practice and understanding some new applications. J. Exp. Bot. 2013, 64, 3983–3998. [Google Scholar] [CrossRef]
- Niyogi, K.K. Photoprotection revisited: Genetic and molecular approaches. Annu. Rev. Plant Biol. 1999, 50, 333–359. [Google Scholar] [CrossRef]
- Susorova, I.; Angulo, M.; Bahrami, P.; Wozny, M. A model of vegetated exterior facades for evaluation of wall thermal performance. Build. Environ. 2013, 67, 1–13. [Google Scholar] [CrossRef]
- Pérez-Harguindeguy, N.; Díaz, S.; Garnier, E.; Lavorel, S.; Poorter, H.; Jaureguiberry, P.; Bret-Harte, M.S.; Cornwell, W.K.; Craine, J.M.; Gurvich, D.E.; et al. New Handbook for Standardised Measurement of Plant Functional Traits Worldwide. Aust. J. Bot. 2013, 61, 167–234. [Google Scholar] [CrossRef]
- Konôpka, B.; Tsukhara, H.; Netsu, A. Biomass distribution in 40–year–old trees of Japanese black pine. J. For. Res. 2000, 5, 163–168. [Google Scholar] [CrossRef]
- Bollman, M.A.; DeSantis, G.E.; Waschmann, R.S.; Mayer, P.M. Effects of Shading and Composition on Green Roof Media Temperature and Moisture. J. Environ. Manag. 2021, 281, 111882. [Google Scholar] [CrossRef]
- Widmoser, P. A discussion on and alternative to the Penman–Monteith equation. Agric. Water Manag. 2009, 96, 711–721. [Google Scholar] [CrossRef]
- Pielichowska, K.; Pielichowski, K. Phase change materials for thermal energy storage. Prog. Mater. Sci. 2014, 65, 67–123. [Google Scholar] [CrossRef]
- Vallejo-Gomez, D.; Osorio, M.; Hincapie, C.A. Smart Irrigation Systems in Agriculture: A Systematic Review. Agronomy 2023, 13, 342. [Google Scholar] [CrossRef]
- Tang, Y.; Gao, F.; Wang, C.; Huang, M.M.; Wu, M.; Li, H.; Li, Z. Vertical Greenery System (VGS) Renovation for Sustainable Arcade-Housing: Building Energy Efficiency Analysis Based on Digital Twin. Sustainability 2023, 15, 2310. [Google Scholar] [CrossRef]
- Pandey, B.K.; Huang, G.; Bhosale, R.; Hartman, S.; Sturrock, C.J.; Jose, L.; Martin, O.C.; Karady, M.; Voesenek, L.A.C.J.; Ljung, K.; et al. Plant roots sense soil compaction through restricted ethylene diffusion. Science 2021, 371, 276–280. [Google Scholar] [CrossRef] [PubMed]
- Köhler, M. Green facades—A view back and some visions. Urban Ecosyst. 2008, 11, 423–436. [Google Scholar] [CrossRef]
- Medl, A.; Stangl, R.; Florineth, F. Vertical greening systems—A review on recent technologies and research advancement. Build. Environ. 2017, 125, 227–239. [Google Scholar] [CrossRef]
- Editorial Board of “Flora of China”. iPlant.cn Plant Intelligence—China Plant Species Information System; State Key Laboratory of Systematic and Evolutionary Botany, Institute of Botany, Chinese Academy of Sciences: Beijing, China, 2024; Available online: https://www.iplant.cn/info/Stewartiamicrantha (accessed on 13 November 2025).







| Species | The Coefficient of Variation of Photosynthetic Parameters | Component | ||||||
|---|---|---|---|---|---|---|---|---|
| AQY | Pmax | Rd | LCP | LSP | Factor1 | Factor2 | Factor | |
| Ag | 0.037 | 0.420 | 0.472 | 0.504 | 0.424 | 1.781 | −0.647 | 1.285 |
| Co | 0.159 | 0.205 | 0.557 | 0.586 | 0.286 | 1.071 | −1.073 | 0.435 |
| Fj | 0.259 | 0.358 | 0.350 | 0.186 | 0.338 | 0.006 | 1.254 | 0.625 |
| Lj | 0.066 | 0.179 | 0.229 | 0.295 | 0.187 | −0.478 | −1.182 | −1.015 |
| Ls | 0.281 | 0.341 | 0.117 | 0.325 | 0.112 | −1.081 | 0.431 | −0.761 |
| Mc | 0.199 | 0.301 | 0.484 | 0.346 | 0.147 | 0.088 | −0.042 | 0.058 |
| Rp | 0.193 | 0.211 | 0.185 | 0.200 | 0.050 | −1.402 | −0.253 | −1.388 |
| Ri | 0.175 | 0.102 | 0.270 | 0.359 | 0.154 | −0.725 | −0.996 | −1.145 |
| Tj | 0.272 | 0.234 | 0.443 | 0.145 | 0.328 | −0.133 | 1.061 | 0.405 |
| Vm | 0.244 | 0.516 | 0.479 | 0.293 | 0.341 | 0.874 | 1.446 | 1.501 |
| Classification | AQY (μmol·m−2·s−1) | Pmax (μmol·m−2·s−1) | Rd (μmol·m−2·s−1) | LCP (μmol·m−2·s−1) | LSP (μmol·m−2·s−1) | Factor |
|---|---|---|---|---|---|---|
| I | 0.098 ± 0.086 b | 0.313 ± 0.152 a | 0.515 ± 0.060 a | 0.545 ± 0.058 a | 0.355 ± 0.098 a | 0.860 ± 0.601 a |
| II | 0.244 ± 0.032 a | 0.352 ± 0.120 a | 0.439 ± 0.062 a | 0.243 ± 0.093 b | 0.289 ± 0.094 a | 0.647 ± 0.615 a |
| III | 0.179 ± 0.088 ab | 0.208 ± 0.100 a | 0.200 ± 0.065 b | 0.295 ± 0.068 b | 0.126 ± 0.059 b | 1.077 ± 0.261 b |
| F | 4.289 | 1.817 | 28.114 | 15.884 | 8.608 | 19.909 |
| p | 0.054 | 0.224 | <0.001 | 0.002 | 0.001 | 0.001 |
| Building Orientation | Lighting Environment Characteristics | Recommended Plant Combinations | Ecological Function Advantages |
|---|---|---|---|
| South Wall | Intense light (PAR peak 1500 μmol·m−2·s−1, duration 5 h) | Woody framework + sun-loving vines (Lj/Ls + Mc) | Carbon sequestration (Mc—LSP ↑32%) + Cooling effect (Transpiration rate 12 μmol·m−2·s−1) |
| East Wall | Morning high-intensity light (PAR > 1500 μmol·m−2·s−1, 3 h) | Woody + Vigorously Climbing Vine (Rp + Vm) | Shading Effectiveness (Vm: Canopy Cover 86%) |
| West Wall | Afternoon high light (PAR > 1500 μmol·m−2·s−1, 2 h) | Woody + Drought-tolerant herbaceous plants (Ri + Fj) | Increase water use efficiency (Fj root-to-shoot ratio 0.51) |
| North Wall | Low light (PAR peak < 800 μmol·m−2·s−1) | Shade-loving herbaceous plants (Ag + Co) | Low maintenance (Water savings 32%+; Replanting costs ↓ 73%) |
| Serial Number | Latin Name | Abbreviation | Seedling Specifications | Planting Area (m2) | Image | Photoperiodism/Growth Type |
|---|---|---|---|---|---|---|
| 1 | Acorus gramineus ‘Ogon’ | Ag | Crown width: 25 cm, Height: 25 cm, 4 buds | 389.34 | ![]() | shade-tolerant/herbaceous |
| 2 | Carex oshimensis ‘Evergold’ | Co | Crown width: 20 cm, height: 15 cm, 4 buds | 183.39 | ![]() | light-demanding/herbaceous |
| 3 | Farfugium japonicum | Fj | Crown width: 25 cm, height: 15 cm, with 7 or more leaves | 288.13 | ![]() | intermediate/herbaceous |
| 4 | Ligustrum japonicum ‘Howardii’ | Lj | Crown width: 20 cm, height: 25 cm | 216.71 | ![]() | intermediate/woody |
| 5 | Ligustrum sinense | Ls | Crown width: 20 cm, height: 15 cm | 150.52 | ![]() | intermediate/woody |
| 6 | Muehlenbeckia complexa | Mc | Crown width: 25 cm, height: 5–10 cm, Lush foliage | 270.33 | ![]() | light-demanding/liana |
| 7 | Rhododendron × pulchrum | Rp | Crown width: 25 cm, height: 20–25 cm | 249.19 | ![]() | intermediate/woody |
| 8 | Rhododendron indicum | Ri | Crown width: 25 cm, height: 20–25 cm | 270.29 | ![]() | intermediate/woody |
| 9 | Trachelospermum jasminoides ‘Flame’ | Tj | Crown width: 25 cm, height: 5–10 cm, Branch 7 | 260 | ![]() | intermediate/liana |
| 10 | Vinca major ‘Variegata’ | Vm | Crown width: 20 cm, height: 20 cm, Branch 7 | 584.42 | ![]() | intermediate/liana |
Disclaimer/Publisher’s Note: The statements, opinions and data contained in all publications are solely those of the individual author(s) and contributor(s) and not of MDPI and/or the editor(s). MDPI and/or the editor(s) disclaim responsibility for any injury to people or property resulting from any ideas, methods, instructions or products referred to in the content. |
© 2025 by the authors. Licensee MDPI, Basel, Switzerland. This article is an open access article distributed under the terms and conditions of the Creative Commons Attribution (CC BY) license (https://creativecommons.org/licenses/by/4.0/).
Share and Cite
Xing, Q.; Xu, D.; Wang, H.; Qin, J.; Dong, N.; Zhao, B.; Hu, Y. Photosynthetic Homeostasis Mechanism and Configuration Application of Woody Plants in Green Wall Under Light Gradients of Building Facades with Different Orientations. Plants 2025, 14, 3570. https://doi.org/10.3390/plants14233570
Xing Q, Xu D, Wang H, Qin J, Dong N, Zhao B, Hu Y. Photosynthetic Homeostasis Mechanism and Configuration Application of Woody Plants in Green Wall Under Light Gradients of Building Facades with Different Orientations. Plants. 2025; 14(23):3570. https://doi.org/10.3390/plants14233570
Chicago/Turabian StyleXing, Qiang, Dongfan Xu, Hongbing Wang, Jun Qin, Nannan Dong, Bin Zhao, and Yonghong Hu. 2025. "Photosynthetic Homeostasis Mechanism and Configuration Application of Woody Plants in Green Wall Under Light Gradients of Building Facades with Different Orientations" Plants 14, no. 23: 3570. https://doi.org/10.3390/plants14233570
APA StyleXing, Q., Xu, D., Wang, H., Qin, J., Dong, N., Zhao, B., & Hu, Y. (2025). Photosynthetic Homeostasis Mechanism and Configuration Application of Woody Plants in Green Wall Under Light Gradients of Building Facades with Different Orientations. Plants, 14(23), 3570. https://doi.org/10.3390/plants14233570











