Effects of Corn–Soybean Strip Intercropping on Control Efficiency of Insect Pests and Crop Yields
Abstract
1. Introduction
2. Results
2.1. Impacts of the Corn–Soybean Strip Intercropping (CSSI) on Community Components of Insect Pests
2.2. Impacts of the Corn–Soybean Strip Intercropping (CSSI) on Community Diversity Indexes of Insect Pests
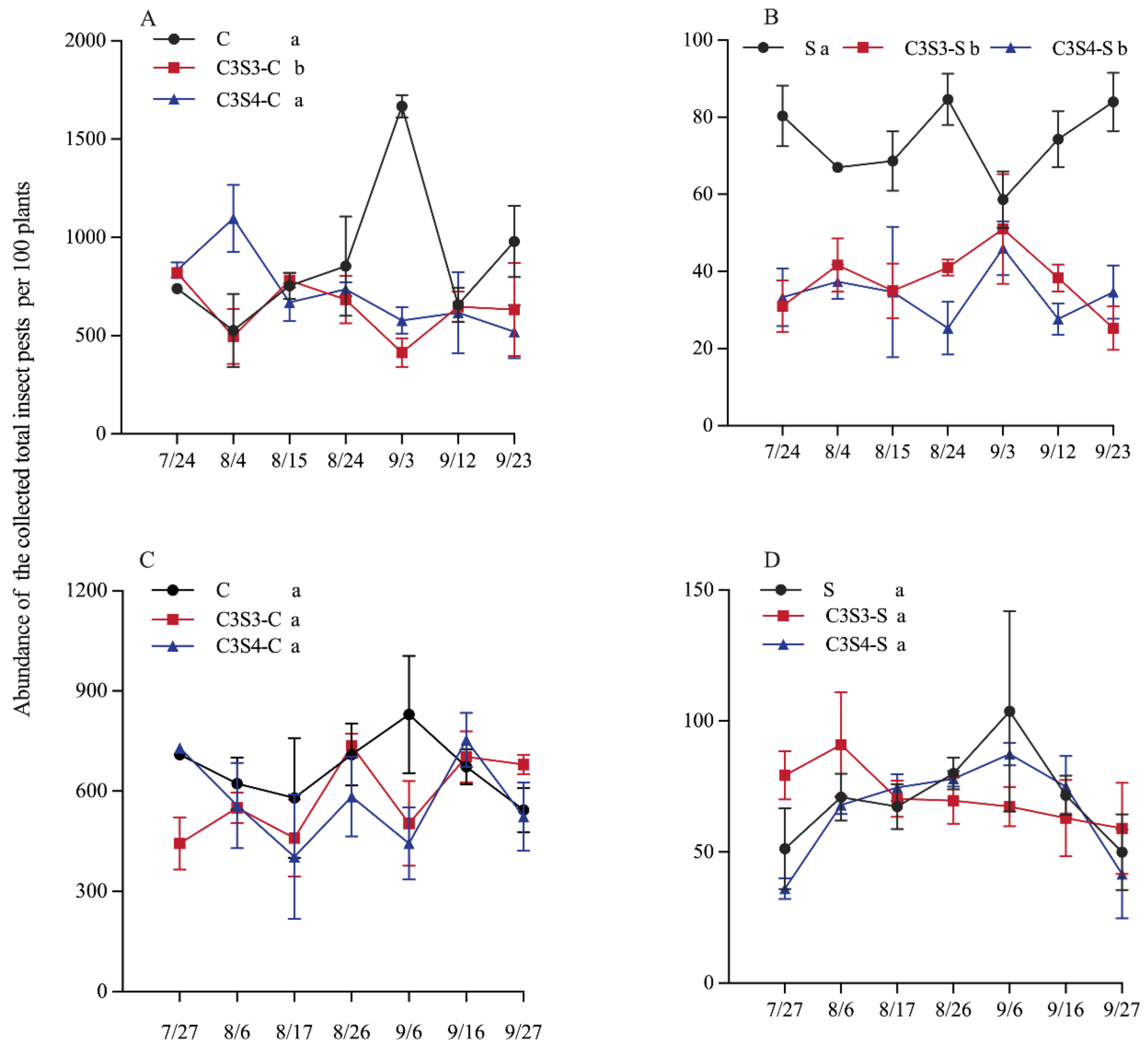
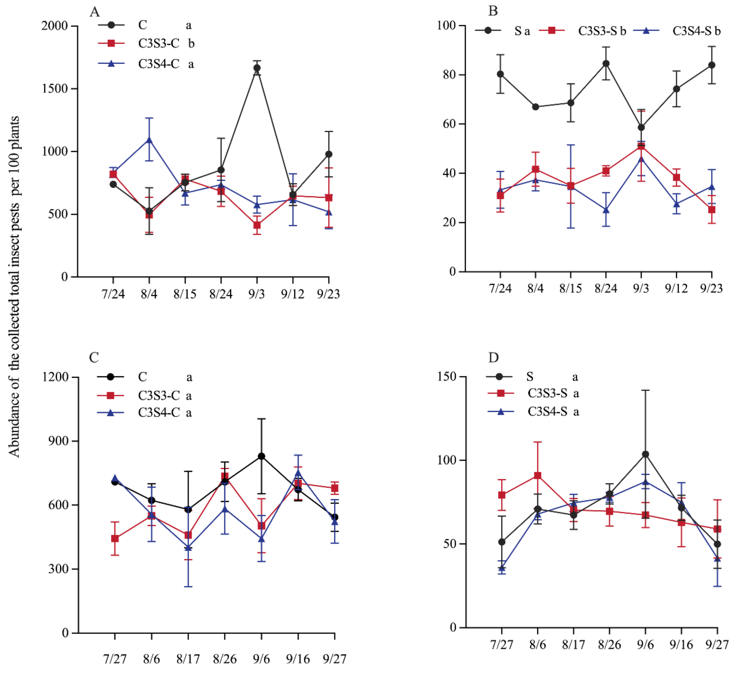
2.3. Effects of the Corn–Soybean Strip Intercropping (CSSI) on Population Dynamics of Total Insect Pests
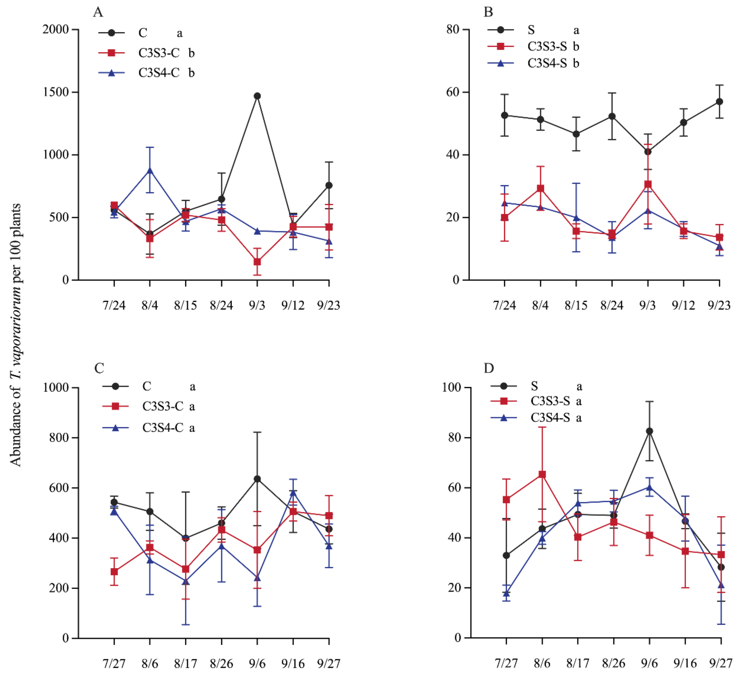
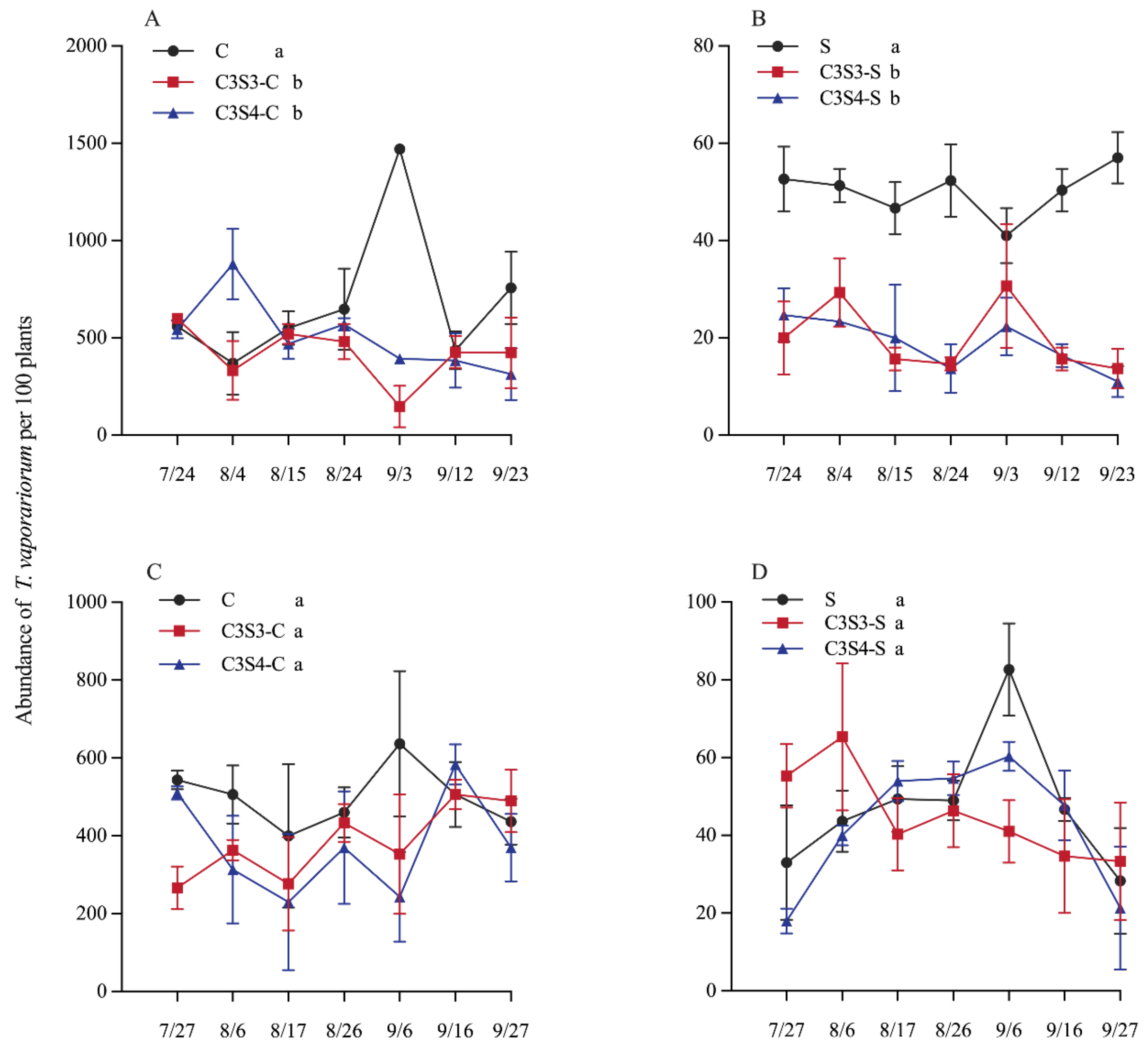
2.4. Influence of the Corn–Soybean Strip Intercropping (CSSI) on Population Dynamics of T. vaporariorum
2.5. Impacts of the Corn–Soybean Strip Intercropping (CSSI) on the Biomass and Yield Indexes of Corn and Soybean Crops
2.6. Impacts of the Corn–Soybean Strip Intercropping (CSSI) on the LER and CR of Corn and Soybean Crops
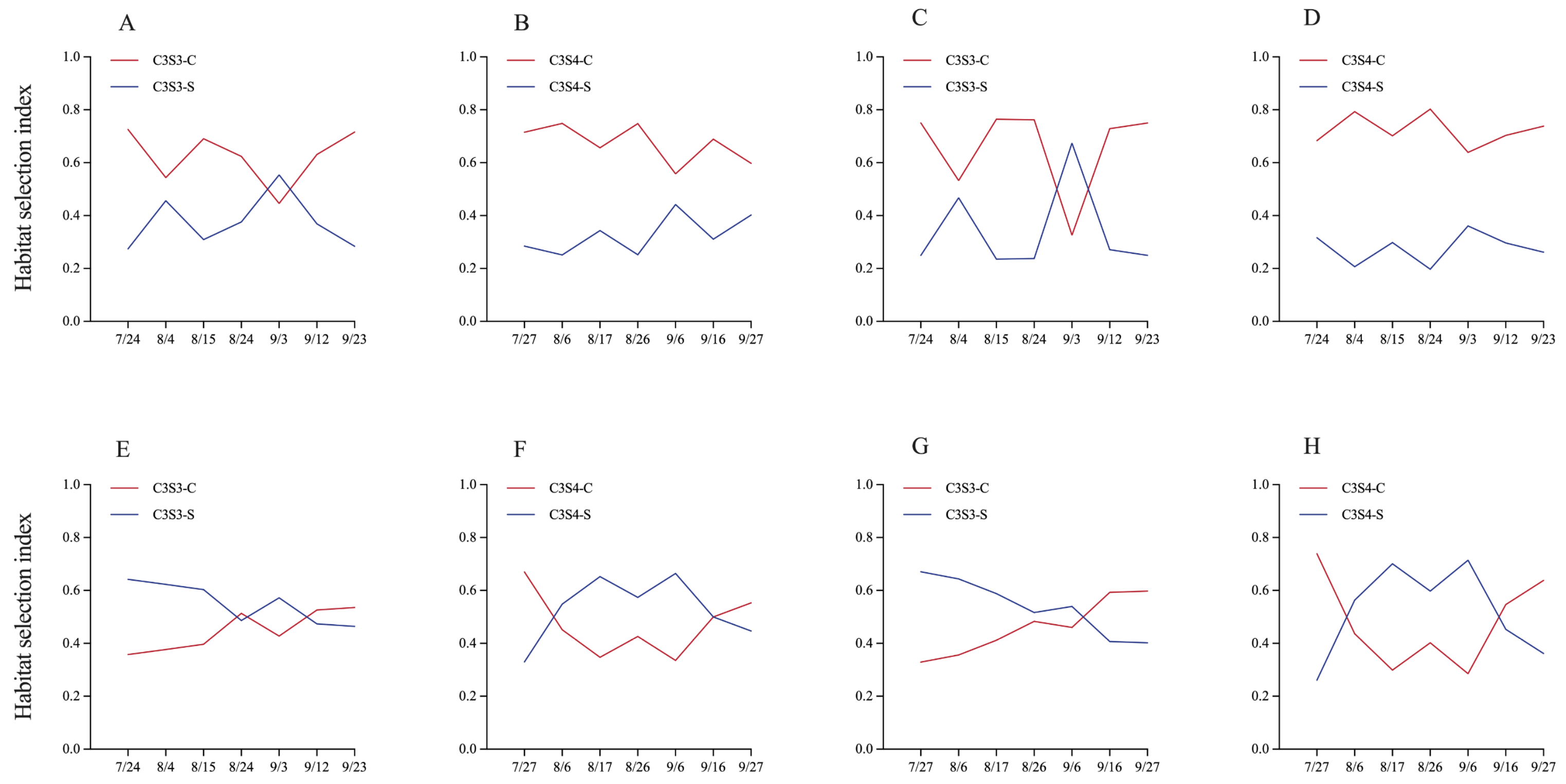
2.7. Habitat Selection Index of Total Insect Pests and T. vaporariorum Between Corn and Soybean Plants in the Corn–Soybean Strip Intercropping (CSSI)
2.8. Relationship Between the Crop Yield and the Average Abundances of Total Insect Pests and T. vaporariorum
3. Discussion
3.1. Impacts of Corn–Soybean Strip Intercropping (CSSI) on Dynamic Value of the Insect Community Diversity Indexes of Insect Pests
3.2. Impacts of Corn–Soybean Strip Intercropping (CSSI) on Population Dynamics of Total Insect Pests
3.3. Impacts of Corn–Soybean Strip Intercropping (CSSI) on Population Dynamics of T. vaporariorum
3.4. Impacts of Corn–Soybean Strip Intercropping (CSSI) on the Yield of Corn and Soybean Crops
4. Materials and Methods
4.1. Experimental Site Description
4.2. Experimental Treatment Setup
4.3. Investigation and Sampling of Insect Pests
4.4. Biomass and Yield of Corn and Soybean Crops
4.5. Measured Indexes of Insect Pests on Corn and Soybean Crops
4.5.1. Community Diversity Indexes of Insect Pests
4.5.2. Habitat Selection of Total Insect Pests and Key Insect Pest T. vaporariorum
plants/(abundances of insect pests on corn and soybean plants)
4.6. LER and CR of Corn and Soybean Crops Under the Strip Intercropping
4.6.1. LER Calculation
4.6.2. CR Calculation
4.7. Data Analysis
5. Conclusions
Supplementary Materials
Author Contributions
Funding
Institutional Review Board Statement
Informed Consent Statement
Data Availability Statement
Conflicts of Interest
References
- Brennan, E.B. Agronomic aspects of strip intercropping lettuce with alyssum for biological control of aphids. Biol. Control 2013, 65, 302–311. [Google Scholar] [CrossRef]
- Ju, Q.; Ouyang, F.; Gu, S.; Qiao, F.; Ge, F. Strip intercropping peanut with maize for peanut aphid biological control and yield enhancement. Agric. Ecosyst. Environ. 2019, 286, 106682. [Google Scholar] [CrossRef]
- Rakotomalala, A.A.N.A.; Ficiciyan, A.M.; Tscharntke, T. Intercropping enhances beneficial arthropods and controls pests: A systematic review and meta-analysis. Agric. Ecosyst. Environ. 2023, 356, 108617. [Google Scholar] [CrossRef]
- Ryan, M.R. Crops better when grown together. Nat. Sustain. 2021, 4, 926–927. [Google Scholar] [CrossRef]
- Chen, G.; Jiang, F.; Zhang, S.; Zhang, Q.; Jiang, G.; Gao, B.; Cao, G.; Islam, M.U.I.; Cao, Z.; Zhao, X. Potential crop yield gains under intensive soybean/maize intercropping in China. Plant Soil 2025, 506, 275–290. [Google Scholar] [CrossRef]
- Wagner, D.L.; Grames, E.M.; Forister, M.L.; Berenbaum, M.R.; Stopak, D. Insect decline in the anthropocene: Death by a thousand cuts. Proc. Natl. Acad. Sci. USA 2021, 118, e2023989118. [Google Scholar] [CrossRef] [PubMed]
- Dong, W.X.; Xu, N.; Xiao, C. The effect of diversified cropping on phytophagous insect behavior. Chin. J. Appl. Entomol. 2013, 50, 1133–1140. [Google Scholar]
- Mansion-Vaquié, A.; Ferrer, A.; Ramon-Portugal, F.; Wezel, A.; Magro, A. Intercropping impacts the host location behaviour and population growth of aphids. Entomol. Exp. Appl. 2020, 168, 41–51. [Google Scholar] [CrossRef]
- Li, G.; Ishikawa, Y. Oviposition deterrents from the egg masses of the adzuki bean borer, Ostrinia scapulalis and Asian corn borer, O. furnacalis. Entomol. Exp. Appl. 2005, 115, 401–407. [Google Scholar] [CrossRef]
- Guoqing, L.; Yukio, I. Oviposition deterrents in larval frass of four Ostrinia species fed on an artificial diet. J. Chem. Ecol. 2004, 30, 1445–1456. [Google Scholar] [CrossRef]
- Cook, S.M.; Khan, Z.R.; Pickett, J.A. The use of push-pull strategies in integrated pest management. Annu. Rev. Entomol. 2007, 52, 375–400. [Google Scholar] [CrossRef]
- Letourneau, D.K.; Armbrecht, I.; Rivera, B.S.; Lerma, J.M.; Carmona, E.J.; Daza, M.C.; Escobar, S.; Galindo, V.; Gutiérrez, C.; López, S.D. Does plant diversity benefit agroecosystems? A synthetic review. Ecol. Appl. 2011, 21, 9–21. [Google Scholar] [CrossRef]
- Raza, M.A.; Din, A.M.U.; Zhiqi, W.; Gul, H.; Ur Rehman, S.; Bukhari, B.; Haider, I.; Rahman, M.H.U.; Liang, X.; Luo, S. Spatial differences influence nitrogen uptake, grain yield, and land-use advantage of wheat/soybean relay intercropping systems. Sci. Rep. 2023, 13, 16916. [Google Scholar] [CrossRef]
- Xu, W.; Li, W.; Wang, L.; Pompelli, M.F. Enhancing corn pest and disease recognition through deep learning: A comprehensive analysis. Agronomy 2023, 13, 2242. [Google Scholar] [CrossRef]
- Nasar, J.; Ahmad, M.; Gitari, H.; Tang, L.; Chen, Y.; Zhou, X.B. Maize/soybean intercropping increases nutrient uptake, crop yield and modifies soil physio-chemical characteristics and enzymatic activities in the subtropical humid region based in southwest China. BMC Plant Biol. 2024, 24, 434. [Google Scholar] [CrossRef]
- Kurfess, F. Detection of crop pests and diseases based on deep convolutional neural network and improved algorithm. Comput. Rev. 2021, 62, 78. [Google Scholar]
- Abudulai, M.S.A.B.; Opare-Atakora, D.; Haruna, M.; Denwar, N.N.; Baba, I.I.Y. Yield loss at the different growth stages in soybean due to insect pests in Ghana. Arch. Phytopathol. Plant Prot. 2012, 45, 1796–1809. [Google Scholar] [CrossRef]
- Li, L.K.; Zou, Y.; Wang, Y.H.; Chen, F.J.; Xing, G.N. Effects of corn intercropping with soybean/peanut/millet on the biomass and yield of corn under fertilizer reduction. Agriculture 2022, 12, 151. [Google Scholar] [CrossRef]
- Li, L.K.; Chen, F.J.; Xing, G.N. Effects of fertilizer level and intercropping planting pattern with corn on the yield-related traits and insect community of soybean. Agronomy 2022, 12, 3080. [Google Scholar] [CrossRef]
- Conny, H.; Freya, Z.; Jens, H.; Maria, M.L. The impact of maize-bean intercropping on insect biodiversity. Basic Appl. Ecol. 2022, 61, 1–9. [Google Scholar] [CrossRef]
- Yang, F.; Liao, D.; Wu, X.; Gao, R.; Fan, Y.; Raza, M.A.; Wang, X.; Yong, T.; Liu, W.; Liu, J. Effect of aboveground and belowground interactions on the intercrop yields in maize-soybean relay intercropping systems. Field Crops Res. 2017, 203, 16–23. [Google Scholar] [CrossRef]
- Fattah, A.; Arrahman, A.; Wahditiya, A.A.; Yasin, M.; Widiarta, N.; Nugraha, Y. Effect of the number of rows and cultivars of soybeans on damage intensity of pest and predator populations in corn- soybean intercropping, South Sulawesi Indonesia. Legume Res. 2023, 46, 1087–1091. [Google Scholar] [CrossRef]
- Yang, S.; Zhao, Y.; Xu, Y.; Cui, J.; Li, T.; Hu, Y.; Qian, X.; Li, Z.; Sui, P.; Chen, Y. Yield performance response to field configuration of maize and soybean intercropping in China: A meta-analysis. Field Crops Res. 2024, 306, 109235. [Google Scholar] [CrossRef]
- Xu, Y.H.; Wang, C.; Zheng, D.F.; Feng, N.J.; Liang, X.Y.; Liu, Y. Effects of the strip compound planting system on photosynthetic characteristics and grain yield of maize and soybean. Soybean Sci. 2017, 36, 540–546. [Google Scholar]
- Zeng, T.; Wu, Y.; Xin, Y.; Chen, C.; Du, Z.; Li, X.; Zhong, J.; Tahir, M.; Kang, B.; Jiang, D.; et al. Silage quality and output of different maize–soybean strip intercropping patterns. Fermentation 2022, 8, 174. [Google Scholar] [CrossRef]
- Udayakumar, A.; Shivalingaswamy, T.M.; Bakthavatsalam, N. Legume-based intercropping for the management of fall armyworm, Spodoptera frugiperda L. in maize. J. Plant Dis. Prot. 2021, 128, 775–779. [Google Scholar] [CrossRef]
- Li, Q.; Li, Q.; Zhang, X.M. Effects of soybean/maize intercropping densities on the arthropod diversity and stability in soybean field. J. South. Agric. 2019, 50, 1247–1255. [Google Scholar]
- Hafid, H.; Syaiful, S.; Fattah, A.; Djufry, F. The effect of the number of rows and varieties of soybean on growth and yield in intercropping with corn. In Proceedings of the IOP Conference Series: Earth and Environmental Science; IOP Publishing: Bristol, UK, 2021; p. 012204. [Google Scholar]
- Lisdayanti, H.; Nurkomar, I. Diversity of natural enemies in corn-soybean intercropping with different plant compositions. In Proceedings of the IOP Conference Series: Earth and Environmental Science; IOP Publishing: Bristol, UK, 2022; p. 012051. [Google Scholar]
- Deng, H.L.; Pan, X.F.; Lan, X.M.; Wang, Q.L.; Xiao, R. Rational maize-soybean strip intercropping planting system improves interspecific relationships and increases crop yield and income in the China Hexi oasis irrigation area. Agronomy 2024, 14, 1220. [Google Scholar] [CrossRef]
- Azizi, A.S.; Kobayashi, I.; Chuuka, J.; Ishigaki, G. Evaluation of corn-soybean inter-cropping systems in southwestern Japan. Trop. Grassl.-Forrajes Trop. 2021, 9, 307–314. [Google Scholar] [CrossRef]
- Saied, S.M.; Abdel-Wahab, E.I.; Naroz, M.H.; Abdel-Wahab, S.I. Impact of intercropping soybean cultivars with maize on Soybean Mosaic Virus incidence and population dynamics of Aphis gossypii (Homoptera: Aphididae). Egypt. J. Agric. Res. 2024, 102, 751–769. [Google Scholar] [CrossRef]
- Xu, Z.; Li, C.J.; Zhang, C.C.; Yu, Y.; Wopke, V.D.W. Intercropping maize and soybean increases efficiency of land and fertilizer nitrogen use; A meta-analysis. Field Crops Res. 2020, 246, 107661. [Google Scholar] [CrossRef]
- Li, H.; Zhang, T.; Hui, S.X. Effects of different zone patterens on the growth and yield of soybean and maize plants under the soybean and corn strip compound planting mode. Qinghai Agro-Technol. Ext. 2024, 2, 28–40. [Google Scholar]
- Wang, J.L. Study on Responses of Photosynthetic Characteristics and Yield of Different Maize Soybean Varieties to Intercropping Patterns. Master’s Thesis, Inner Mongolia Agricultural University, Hohhot, China, 2022. [Google Scholar]
- Huss, C.P.; Holmes, K.D.; Blubaugh, C.K. Benefits and risks of intercropping for crop resilience and pest management. J. Econ. Entomol. 2022, 115, 1350–1362. [Google Scholar] [CrossRef] [PubMed]
- Richards, L.A.; Dyer, L.A.; Forister, M.L.; Smilanich, A.M.; Dodson, C.D.; Leonard, M.D.; Jeffrey, C.S. Phytochemical diversity drives plant–insect community diversity. Proc. Natl. Acad. Sci. USA 2015, 112, 10973–10978. [Google Scholar] [CrossRef]
- Fyie, J.Q.; Stratton, C.A.; Morrison Iii, W.R.; Murrell, E.G. Intercropping alters phytochemicals associated with insect herbivory. J. Chem. Ecol. 2025, 51, 46. [Google Scholar] [CrossRef]
- Zou, Y.; Shen, F.S.; Zhong, Y.N.; Lv, C.N.; Pokharel, S.S.; Fang, W.P.; Chen, F.J. Impacts of intercropped maize ecological shading on tea foliar and functional components, insect pest diversity and soil microbes. Plants 2022, 11, 1883. [Google Scholar] [CrossRef]
- Rao, M.S.; Prasad, T.V.; Gayatri, D.L.A.; Rao, C.A.R.; Srinivas, K.; Pratibha, G.; Timmanna; Prabhakar, M. Impact of intercropping and low-external input integrated pest management on Spodoptera frugiperda (J. E. Smith) in maize. Field Crops Res. 2025, 326, 109868. [Google Scholar]
- Echarte, L.; Maggiora, A.D.; Cerrudo, D.; Gonzalez, V.; Abbate, P.; Cerrudo, A.; Sadras, V.; Calviño, P. Yield response to plant density of maize and sunflower intercropped with soybean. Field Crops Res. 2011, 121, 423–429. [Google Scholar] [CrossRef]
- Liu, X.; Rahman, T.; Song, C.; Yang, F.; Yang, W. Relationships among light distribution, radiation use efficiency and land equivalent ratio in maize-soybean strip intercropping. Field Crops Res. 2018, 224, 91–101. [Google Scholar] [CrossRef]







| Year | Insects | Subplots | |||||
|---|---|---|---|---|---|---|---|
| C | C3S3-C | C3S4-C | S | C3S3-S | C3S4-S | ||
| 2022 | T. vaporariorum | 73.4% | 60.4% | 65.5% | 68.2% | 50.2% | 52.0% |
| C. viridis | 6.0% | 8.8% | 9.2% | 7.2% | 7.8% | 9.2% | |
| H. halys | 4.8% | 6.0% | 6.0% | 4.3% | 6.3% | 4.1% | |
| R. pedestris | 4.4% | 6.3% | 4.1% | 7.2% | 10.8% | 8.7% | |
| L. migratoria manilensis | 2.0% | 5.5% | 4.1% | 4.1% | 9.1% | 7.5% | |
| S. litura | 3.4% | 4.5% | 3.4% | 3.3% | 9.0% | 7.9% | |
| P. nubilalis | 2.8% | 2.1% | 3.3% | 2.0% | 4.0% | 3.0% | |
| A. fasciaticollis | 1.6% | 2.8% | 2.0% | 2.0% | 0.8% | 1.7% | |
| Gryllulus | 1.2% | 2.8% | 1.2% | 1.0% | 1.4% | 2.5% | |
| A. cinerea | 0.3% | 0.1% | 1.2% | 0.5% | 0.6% | 1.8% | |
| O. infernalis sauss | 0 | 0.6% | 0.1% | 0.1% | 0 | 0.5% | |
| 2023 | T. vaporariorum | 65.7% | 64.7% | 68.9% | 65.6% | 61.8% | 59.4% |
| C. viridis | 7.7% | 7.2% | 8.2% | 6.6% | 8.7% | 6.6% | |
| H. halys | 3.5% | 7.4% | 5.7% | 4.9% | 2.0% | 6.5% | |
| R. pedestris | 6.4% | 6.6% | 4.5% | 6.4% | 10.2% | 7.0% | |
| L. migratoria manilensis | 4.5% | 5.0% | 4.3% | 5.3% | 4.2% | 5.9% | |
| S. litura | 3.1% | 5.0% | 3.6% | 4.0% | 3.3% | 5.0% | |
| P. nubilalis | 4.7% | 1.6% | 2.8% | 2.8% | 1.5% | 3.7% | |
| A. fasciaticollis | 2.1% | 1.1% | 1.4% | 2.2% | 0.9% | 3.3% | |
| Gryllulus | 1.3% | 1.4% | 0.3% | 0.6% | 0.3% | 0.8% | |
| A. cinerea | 0.8% | 0.1% | 0.3% | 1.1% | 0 | 0.7% | |
| O. infernalis sauss | 0.2% | 0 | 0 | 0.4% | 0 | 1.1% | |
| Measured Indexes | Crop | Sampling Year (Y) | Planting Pattern (p) | Y × p |
|---|---|---|---|---|
| Abundance of total insect pests | Corn | 1.63/0.15 | 5.05/<0.001 *** | 2.83/0.003 ** |
| Soybean | 1.58/0.17 | 0.61/0.83 | 1.56/0.12 | |
| Shannon–Wiener index (H) | Corn | 16.60/0.002 ** | 7.90/0.006 ** | 1.66/0.23 |
| Soybean | 1.06/0.32 | 3.56/0.061 | 1.98/0.18 | |
| Pielou’s evenness index (E) | Corn | 0.42/0.53 | 8.58/0.005 ** | 1.15/0.35 |
| Soybean | 4.56/0.054 | 12.00/<0.001 *** | 0.34/0.72 | |
| Margalef’s richness index (D) | Corn | 0.01/0.93 | 2.01/0.18 | 2.16/0.16 |
| Soybean | 2.72/0.13 | 2.30/0.14 | 6.17/0.014 * | |
| Simpson’s dominance index (C) | Corn | 0.46/0.51 | 6.79/0.011 * | 1.05/0.38 |
| Soybean | 1.71/0.22 | 6.14/0.015 * | 1.95/0.18 | |
| Abundance of T. vaporariorum | Corn | 8.44/0.013 * | 8.15/0.006 ** | 1.20/0.34 |
| Soybean | 29.60/<0.001 *** | 16.90/<0.001 *** | 10.2/0.003 ** | |
| Biomass (g/plant) | Corn | 0.70/0.41 | 12.50/<0.001 *** | 14.80/<0.001 *** |
| Soybean | 11.40/<0.001 *** | 35.80/<0.001 *** | 0.96/0.39 | |
| 1000-seed weight (g) | Corn | 5.71/0.019 * | 13.30/<0.001 *** | 9.28/<0.001 *** |
| Soybean | 5.22/0.025 * | 11.10/<0.001 *** | 1.39/0.25 | |
| Yield (kg/ha) | Corn | 6.68/0.011 * | 18.60/<0.001 ** | 4.59/0.013 * |
| Soybean | 11.30/<0.001 *** | 28.00/<0.001 *** | 0.48/0.62 |
| Year | Planting Pattern | Corn | Soybean | Corn + Soybean | ||
|---|---|---|---|---|---|---|
| LERc | CRc | LERs | CRs | LER | ||
| 2022 | C3S3 | 0.47 ± 0.03 | 1.33 ± 0.43 | 0.38 ± 0.11 | 0.80 ± 0.22 | 0.85 ± 0.13 |
| C3S4 | 0.49 ± 0.01 | 1.42 ± 0.38 | 0.48 ± 0.11 | 0.73 ± 0.17 | 0.96 ± 0.10 | |
| 2023 | C3S3 | 0.55 ± 0.05 | 1.61 ± 0.16 | 0.34 ± 0.01 | 0.63 ± 0.06 | 0.89 ± 0.50 |
| C3S4 | 0.50 ± 0.02 | 1.36 ± 0.11 | 0.49 ± 0.05 | 0.74 ± 0.06 | 0.99 ± 0.06 | |
Disclaimer/Publisher’s Note: The statements, opinions and data contained in all publications are solely those of the individual author(s) and contributor(s) and not of MDPI and/or the editor(s). MDPI and/or the editor(s) disclaim responsibility for any injury to people or property resulting from any ideas, methods, instructions or products referred to in the content. |
© 2025 by the authors. Licensee MDPI, Basel, Switzerland. This article is an open access article distributed under the terms and conditions of the Creative Commons Attribution (CC BY) license (https://creativecommons.org/licenses/by/4.0/).
Share and Cite
Wei, X.; Cheng, Z.; Wang, J.; Liu, C.; Yang, S.; Chen, F. Effects of Corn–Soybean Strip Intercropping on Control Efficiency of Insect Pests and Crop Yields. Plants 2025, 14, 3358. https://doi.org/10.3390/plants14213358
Wei X, Cheng Z, Wang J, Liu C, Yang S, Chen F. Effects of Corn–Soybean Strip Intercropping on Control Efficiency of Insect Pests and Crop Yields. Plants. 2025; 14(21):3358. https://doi.org/10.3390/plants14213358
Chicago/Turabian StyleWei, Xiping, Zhoulong Cheng, Junjie Wang, Chongyi Liu, Shanglin Yang, and Fajun Chen. 2025. "Effects of Corn–Soybean Strip Intercropping on Control Efficiency of Insect Pests and Crop Yields" Plants 14, no. 21: 3358. https://doi.org/10.3390/plants14213358
APA StyleWei, X., Cheng, Z., Wang, J., Liu, C., Yang, S., & Chen, F. (2025). Effects of Corn–Soybean Strip Intercropping on Control Efficiency of Insect Pests and Crop Yields. Plants, 14(21), 3358. https://doi.org/10.3390/plants14213358

