Effects on Soil Fertility and Crop Productivity Under Residual Agricultural Gypsum and Azospirillum brasilense in Cover Crops in a Consolidated No-Tillage System
Abstract
1. Introduction
2. Results
2.1. Soil Fertility Results
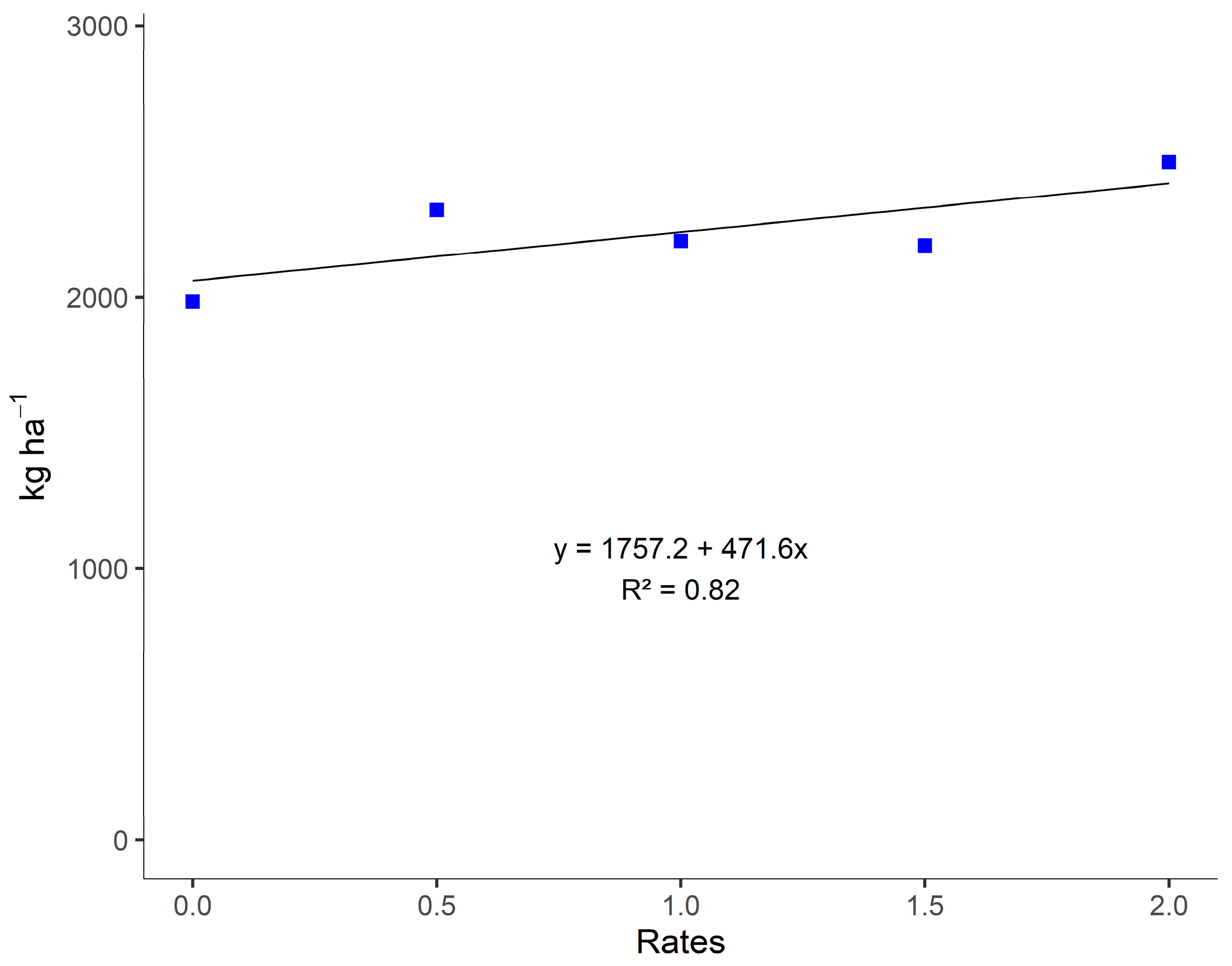
2.2. Crop Yield and Productivity in the Field
3. Discussion
3.1. Soil Fertility
3.2. Crop Productivity
4. Materials and Methods
4.1. Characterization of the Experimental Area

4.2. Experimental Design and Treatment Formulation
4.3. Experimental Management and Handling Throughout the Crop Cycles

4.4. Statistical Analyses
5. Conclusions
Supplementary Materials
Author Contributions
Funding
Data Availability Statement
Acknowledgments
Conflicts of Interest
Abbreviations
| V% | Base saturation |
| NTS | No-tillage systems |
| Ca | Calcium |
| Mg | Magnesium |
| K | Potassium |
| PGPB | Plant growth-promoting bacteria |
| BNF | Biological nitrogen fixation |
| ICLS | Integrated crop–livestock production system |
| S–SO4 | Sulfur |
| H+Al | Potential acidity |
| SB | Sun of bases |
| CEC | Cation exchange capacity |
| OM | Organic matter |
| P | Phosphorus |
| GY | Soybean grain yield |
| SDM | Sorghum dry matter |
| SGY | Sorghum grain yield |
| DM | Forage dry matter |
| MGY | Maize grain yield |
| MDM | Massai grass dry matter production |
| DMBO | Dry matter yield of black oat |
References
- Rossato, O.B.; Foltran, R.; Crusciol, C.A.C.; Martello, J.M.; Rossetto, R.; McCray, J.M. Soil fertility, ratoon sugarcane yield, and post-harvest residues as affected by surface application of lime and gypsum in southeastern Brazil. Biosci. J. 2017, 33, 276–287. [Google Scholar] [CrossRef]
- Caires, E.F. Calagem e uso de gesso em Sistema Plantio Direto. Rev. Plantio Direto 2012, 128, 38–45. [Google Scholar]
- Shruthi; Prakash, N.B.; Dhumgond, P.; Goiba, P.K.; Laxmanarayanan, M. The benefits of gypsum for sustainable management and utilization of acid soils. Plant Soil 2024, 504, 5–28. [Google Scholar] [CrossRef]
- Costa, C.H.M.; Crusciol, C.A.C.; Neto, J.F.; Castro, G.S.A. Residual effects of superficial liming on tropical soil under no-tillage system. PAB 2016, 51, 1633–1642. [Google Scholar] [CrossRef]
- Crusciol, C.A.C.; Foltran, R.; Rossato, O.B.; McCray, M.; Rossetto, R. Effects of surface application of calcium-magnesium silicate and gypsum on soil fertility and sugarcane yield. Rev. Bras. Ciênc. Solo 2014, 38, 1843–1854. [Google Scholar] [CrossRef]
- Minato, E.A.; Brignoli, F.M.; Esper Neto, M.; Besen, M.R.; Cassim, B.M.A.R.; Lima, R.S.; Tormena, C.A.; Inoue, T.T.; Batista, M.A. Lime and gypsum application to low-acidity soils: Changes in soil chemical properties, residual lime content and crop agronomic performance. Soil Tillage Res. 2023, 234, 105860. [Google Scholar] [CrossRef]
- Santos, T.; Gomes, M.I.; Silva, A.S.; Ferraz, E.; Faria, P. Comparison of mineralogical, mechanical and hygroscopic characteristic of earthen, gypsum and cement-based plasters. Constr. Build. Mater. 2020, 254, 119222. [Google Scholar] [CrossRef]
- Gonçalo Filho, F.; Dias, N.S.; Suddarth, S.R.P.; Ferreira, J.F.S.; Anderson, R.G.; Fernandes, C.S.; Lira, R.B.; Ferreira Neto, M.; Cosme, C.R. Reclaiming tropical saline-sodic soils with gypsum and cow manure. Water 2019, 12, 57. [Google Scholar] [CrossRef]
- Mahanta, K.K.; Mishra, G.C.; Kansal, M.L. Estimation of the electric double layer thickness in the presence of two types of ions in soil water. Appl. Clay Sci. 2014, 87, 212–218. [Google Scholar] [CrossRef]
- Adane, A.; Gebrekidan, H.; Kibret, K. Effects of treatment application rates (FYM and gypsum) on selected chemical properties of saline sodic soils under water limited condition in eastern lowlands Ethiopia. For. Res. Eng. Int. J. 2019, 3, 106–113. [Google Scholar] [CrossRef]
- Rosa, P.A.L.; Mortinho, E.S.; Jalal, A.; Galindo, F.S.; Buzzetti, S.; Fernandes, G.C.; Neto, M.B.; Pavinato, P.S.; Filho, M.C.M.T. Inoculation with growth-promoting bacteria associated with the reduction of phosphate fertilization in sugarcane. Front. Environ. Sci. 2020, 8, 32. [Google Scholar] [CrossRef]
- Cassan, F.D.; Coniglio, A.; Amavizca, E.; Maroniche, G.; Cascales, E.; Bashan, Y.; de-Bashan, L.E. The Azospirillum brasilense type VI secretion system promotes cell aggregation, biocontrol protection against phytopathogens and attachment to the microalgae Chlorella sorokiniana. Environ. Microbiol. 2021, 23, 6257–6274. [Google Scholar] [CrossRef]
- Rondina, A.B.L.; Sanzovo, A.W.S.; Guimarães, G.S.; Wendling, J.R.; Nogueira, M.A.; Hungria, M. Changes in root morphological traits in soybean co-inoculated with Bradyrhizobium spp. and Azospirillum brasilense or treated with A. brasilense exudates. Biol. Fertil. Soils 2020, 56, 537–554. [Google Scholar] [CrossRef]
- Galindo, F.S.; Rodrigues, W.L.; Fernandes, G.C.; Boleta, E.H.M.; Jalal, A.; Rosa, P.A.L.; Buzetti, S.; Lavres, J.; Teixeira Filho, M.C.M. Enhancing agronomic efficiency and maize grain yield with Azospirillum brasilense inoculation under Brazilian savannah conditions. Eur. J. Agron. 2022, 134, 126471. [Google Scholar] [CrossRef]
- Sun, N.; Huang, L.; Zhao, H.; Zhang, N.; Lin, X.; Sun, C. Beneficial bacterium Azospirillum brasilense induces morphological, physiological and molecular adaptation to phosphorus deficiency in Arabidopsis. Plant Cell Physiol. 2022, 63, 1273–1284. [Google Scholar] [CrossRef]
- Moreira, V.D.A.; Oliveira, C.E.S.; Jalal, A.; Gato, I.M.B.; Oliveira, T.J.S.S.; Boleta, G.H.M.; Giolo, V.M.; Vitória, L.S.; Tamburi, K.V.; Teixeira Filho, M.C.M. Inoculation with Trichoderma harzianum and Azospirillum brasilense increases nutrition and yield of hydroponic lettuce. Arch. Microbiol. 2022, 204, e440. [Google Scholar] [CrossRef] [PubMed]
- da Silva Oliveira, C.E.; Jalal, A.; Vitória, L.S.; Giolo, V.M.; Oliveira, T.J.S.S.; Aguilar, J.V.; de Camargos, L.S.; Brambilla, M.R.; Fernandes, G.C.; Vargas, P.F.; et al. Inoculation with Azospirillum brasilense Strains AbV5 and AbV6 Increases Nutrition, Chlorophyll, and Leaf Yield of Hydroponic Lettuce. Plants 2023, 12, 3107. [Google Scholar] [CrossRef]
- Galindo, F.S.; Pagliari, P.H.; Buzetti, S.; Rodrigues, W.L.; Fernandes, G.C.; Biagini, A.L.C.; Marega, E.M.R.; Tavanti, R.F.R.; Jalal, A.; Teixeira Filho, M.C.M. Corn shoot and grain nutrient uptake affected by silicon application combined with Azospirillum brasilense inoculation and nitrogen rates. J. Plant Nutr. 2021, 45, 168–184. [Google Scholar] [CrossRef]
- Modesto, V.C.; Andreotti, M.; Nakao, A.H.; Soares, D.A.; Froio, L.L.; Dickmann, L.; Pascoaloto, I.M.; Fernandes, I.M.D.M. Yield and production components of corn under straw of Marandu palisade grass inoculated with Azospirillum brasilense in the low-land Cerrado. Front. Sustain. Food Syst. 2021, 4, 617065. [Google Scholar] [CrossRef]
- Brady, N.C.; Weil, R.R. Elementos da Natureza e Propriedades dos Solos, 3rd ed.; Bookman: Porto Alegre, Brazil, 2013; 790p. [Google Scholar]
- Zaheer, M.S.; Raza, M.A.S.; Saleem, M.F.; Erinle, K.O.; Iqbal, R.; Ahmad, S. Effect of rhizobacteria and cytokinins application on wheat growth and yield under normal vs drought conditions. Commun. Soil Sci. Plant Anal. 2019, 50, 2521–2533. [Google Scholar] [CrossRef]
- Zaheer, M.S.; Raza, M.A.S.; Saleem, M.F.; Khan, I.H.; Ahmad, S.; Iqbal, R.; Manevski, K. Investigating the effect of Azospirillum brasilense and Rhizobium pisi on agronomic traits of wheat (Triticum aestivum L.). Arch. Agron. Soil Sci. 2019, 65, 1554–1564. [Google Scholar] [CrossRef]
- Zaheer, M.S.; Ali, H.H.; Iqbal, M.A.; Erinle, K.O.; Javed, T.; Iqbal, J.; Hashmi, M.I.U.; Mumtaz, M.Z.; Salama, E.A.A.; Kalaji, H.M. Cytokinin Production by Azospirillum brasilense Contributes to Increase in Growth, Yield, Antioxidant, and Physiological Systems of Wheat (Triticum aestivum L.). Front. Microbiol. 2022, 13, 886041. [Google Scholar] [CrossRef]
- Marschner, P.; Hatam, Z.; Cavagnaro, T.R. Soil respiration, microbial biomass and nutrient availability after the second amendment are influenced by legacy effects of prior residue addition. Soil Biol. Biochem. 2015, 88, 169–177. [Google Scholar] [CrossRef]
- Iqbal, R.; Valipour, M.; Ali, B.; Zulfiqar, U.; Aziz, U.; Zaheer, M.S.; Sarfraz, A.; Javed, M.A.; Afridi, M.S.; Ercisli, S. Maximizing wheat yield through soil quality enhancement: A combined approach with Azospirillum brasilense and bentonite. Plant Stress 2024, 11, 100321. [Google Scholar] [CrossRef]
- Hungria, M.; Nogueira, M.A.; Araujo, R.S. Inoculation of Brachiaria spp. with the plant growth-promoting bacterium Azospirillum brasilense: An environment-friendly component in the reclamation of degraded pastures in the tropics. Agric. Ecosyst. Environ. 2016, 221, 125–131. [Google Scholar] [CrossRef]
- Fontoura, S.M.V.; Pias, O.H.C.; Tiecher, T.; Cherubin, M.R.; Moraes, R.P.; Bayer, C. Effect of gypsum rates and lime with different reactivity on soil acidity and crop grain yields in a subtropical Oxisol under no-tillage. Soil Tillage Res. 2019, 193, 27–41. [Google Scholar] [CrossRef]
- Zoca, S.M.; Penn, C. An Important Tool with No Instruction Manual. Adv. Agron. 2017, 146, 1–44. [Google Scholar] [CrossRef]
- Pauletti, V.; Pierri, L.d.; Ranzan, T.; Barth, G.; Motta, A.C.V. Efeitos em longo prazo da aplicação de gesso e calcário no sistema de plantio direto. Rev. Bras. Cienc. Solo 2014, 38, 495–505. [Google Scholar] [CrossRef]
- de Souza, I.M.D.; Borges, W.L.B.; Juliano, P.H.G.; Modesto, V.C.; Girardi, V.A.M.; de Souza Júnior, N.C.; Ribeiro, N.A.A.; Matos, A.M.S.; Galindo, F.S.; Andreotti, M. Methodologies for Agricultural Gypsum Application Recommendations in No-Tillage Systems on Tropical Sandy Soils. Agronomy 2025, 15, 416. [Google Scholar] [CrossRef]
- Costa, C.H.M.d.; Crusciol, C.A.C. Long-term effects of lime and phosphogypsum application on tropical no-till soybean–oat–sorghum rotation and soil chemical properties. Eur. J. Agron. 2016, 74, 119–132. [Google Scholar] [CrossRef]
- Nora, D.d.; Amado, T.J.C.; Nicoloso, R.d.S.; Gruhn, E.M. Modern high-yielding maize, wheat and soybean cultivars in response to gypsum and lime application on no-till Oxisol. Rev. Bras. Cienc. Solo 2017, 41, e016054. [Google Scholar] [CrossRef]
- Hungria, M.; Nogueira, M.A.; Araujo, R.S. Tecnologia de coinoculação da soja com Bradyrhizobium e Azospirillum: Incrementos no rendimento com sustentabilidade e baixo custo. In Proceedings of the Resumos da XXXIII Reunião de Pesquisa de Soja da Região Central do Brasil, Londrina, PR, Brasil, 13–14 August 2013. [Google Scholar]
- Nogueira, M.A.; Prando, A.M.; Oliveira, A.B.; Lima, D.; Conte, O.; Harger, N.; Oliveira, F.T.; Hungria, M. Ações de Transferência de Tecnologia em Inoculação/Coinoculação Com Bradyrhizobium e Azospirillum na Cultura da Soja na Safra 2017/18 no Estado do Paraná; Circular Técnica 143; Embrapa: Londrina, PR, Brasil, 2018; Available online: https://www.infoteca.cnptia.embrapa.br/infoteca/bitstream/doc/1095314/1/CT143OL.pdf (accessed on 3 August 2025).
- Prando, A.M.; Oliveira, A.B.; Lima, D.; Possamai, E.J.; Reis, E.A.; Nogueira, M.A.; Hungria, M.; Conte, O. Coinoculação da Soja Com Bradyrhizobium e Azospirillum na Safra 2019/2020 no Paraná; Circular Técnica 166; Embrapa: Londrina, PR, Brasil, 2020; Available online: https://www.infoteca.cnptia.embrapa.br/infoteca/bitstream/doc/1129470/1/CIrc-Tec-166.pdf (accessed on 2 August 2025).
- Veronezi, S.D.F.; Ribeiro, L.M.; Ceccon, G. Uso de Azospirillum brasilense em milho safrinha solteiro e consorciado com Brachiaria ruziziensis. Braz. J. Biosyst. Eng. 2018, 12, 349–360. [Google Scholar] [CrossRef]
- Chibera, A.M.; Guimarães, M.F.; Brito, O.R.; Nogueira, M.A.; Araujo, R.S.; Hungria, M. Co-inoculation of soybean with Bradyrhizobium and Azospirillum promotes early nodulation. Am. J. Plant Sci. 2015, 6, 1641–1649. [Google Scholar] [CrossRef]
- Gitti, D.C.; Arf, O.; Kaneko, F.H.; Rodrigues, R.A.F.; Buzetti, S.; Portugal, J.R.; Corsini, D.C.D.C. Inoculação de Azospirillum brasilense em cultivares de feijões cultivados no inverno. Agrarian 2012, 5, 36–46. [Google Scholar]
- Franchi, L. Bradyrhizobium e Azospirillum: O Que São, Sinergia e Importância. Agroinovadores. 2020. Available online: https://agro.genica.com.br/2020/07/20/bradyrhizobium-e-azospirillum/ (accessed on 1 August 2025).
- Cassán, F.; Coniglio, A.; López, G.; Molina, R.; Nievas, S.; de Carlan, C.L.N.; Donadio, F.; Torres, D.; Rosas, S.; Pedrosa, F.O. Everything you must know about Azospirillum and its impact on agriculture and beyond. Biol. Fertil. Soils 2020, 56, 461–479. [Google Scholar] [CrossRef]
- Barbosa, J.Z.; Hungria, M.; Sena, J.V.S.; Poggere, G.; Reis, A.R.; Corrêa, R.S. Meta-analysis reveals benefits of co-inoculation of soybean with Azospirillum brasilense and Bradyrhizobium spp. in Brazil. Appl. Soil Ecol. 2021, 163, 103913. [Google Scholar] [CrossRef]
- Hungria, M.; Nogueira, M.A. Tecnologias de inoculação da cultura da soja: Mitos, verdades e desafios. In Boletim de Pesquisa 2019/2020; Kappes, C., Ed.; Fundação MT. Boletim, 19; Fundação MT: Rondonópolis, MT, Brasil, 2019; pp. 50–62. [Google Scholar]
- Rodrigues, L.N.F.; Nakao, A.H. Avaliação da produção de forrageiras em área de sequeiro após o consórcio de milho com e sem inoculação com Azospirillum brasilense. Rev. Funec Cient.-Multidiscip. 2020, 9, 3603. [Google Scholar] [CrossRef]
- Fukami, J.; Cerezini, P.; Hungria, M. Azospirillum: Benefits that go far beyond biological nitrogen fixation. AMB Express 2018, 8, 73. [Google Scholar] [CrossRef] [PubMed]
- Fukami, J.; Nogueira, M.A.; Araujo, R.S.; Hungria, M. Accessing inoculation methods of maize and wheat with Azospirillum brasilense. AMB Express 2016, 6, 3. [Google Scholar] [CrossRef]
- Moretti, L.G.; Crusciol, C.A.; Kuramae, E.E.; Bossolani, J.W.; Moreira, A.; Costa, N.R.; Alves, C.J.; Pascoaloto, I.M.; Rondina, A.B.; Hungria, M. Effects of growth-promoting bacteria on soybean root activity, plant development, and yield. Agron. J. 2020, 112, 418–428. [Google Scholar] [CrossRef]
- Ribeiro, L.M.; Santos, A.L.; Leite, E.M.; Krolikowski, V.; Fachinelli, R.; Ceccon, G. Produtividade de milho safrinha solteiro e consorciado com braquiária em lavouras de Mato Grosso do Sul. In Anais do 13º Seminário Nacional de Milho Safrinha; Associação Brasileira de Milho e Sorgo: Maringá, Brasil, 2015; pp. 1–5. [Google Scholar]
- Zilli, J.E.; Campo, R.J.; Hungria, M. Eficácia da inoculação de Bradyrhizobium em pré-semeadura da soja. Pesq. Agropec. Bras. 2010, 45, 335–338. [Google Scholar] [CrossRef]
- Caires, E.F.; Blum, J.; Barth, G.; Garbuio, F.J.; Kusman, M.T. Alterações químicas do solo e resposta da soja ao calcário e gesso aplicados na implantação do sistema plantio direto. Rev. Bras. Cienc. Solo 2003, 27, 275–286. [Google Scholar] [CrossRef]
- Nogueira, M.A.; Melo, W.J. Enxofre disponível para a soja e a atividade de arilsulfatase em solo tratado com gesso agrícola. Rev. Bras. Cienc. Solo 2003, 27, 655–663. [Google Scholar] [CrossRef]
- Gelain, E.; Rosa Júnior, E.J.; Mercante, F.M.; Fortes, D.G.; Souza, F.R.; Rosa, Y.B.C.J. Fixação biológica de nitrogênio e teores foliares de nutrientes na soja em função de doses de molibdênio e gesso agrícola. Ciênc. Agrotec. 2011, 35, 259–269. [Google Scholar] [CrossRef]
- Borgmann, C.; Secco, D.; Marins, A.C.; Zanão Júnior, L.A.; Bassegio, D.; Souza, S.N.M.; Zang, F.N.; Silva, T.R.B. Effect of soil compaction and application of lime and gypsum on soil properties and yield of soybean. Commun. Soil Sci. Plant Anal. 2021, 52, 1434–1447. [Google Scholar] [CrossRef]
- Caires, E.F.; Garbuio, F.J.; Churka, S.; Barth, G.; Correa, J.C.L. Effects of soil acidity amelioration by surface liming on no-till corn, soybean, and wheat root growth and yield. Eur. J. Agron. 2008, 28, 57–64. [Google Scholar] [CrossRef]
- Zandoná, R.R.; Beutler, A.N.; Burg, G.M.; Barreto, C.F.; Schmidt, M.R. Gesso e calcário aumentam a produtividade e amenizam o efeito do déficit hídrico em milho e soja. Pesqui. Agropec. Trop. 2015, 45, 128–137. [Google Scholar] [CrossRef]
- Resende, A.V.; Gutiérrez, A.M.; Silva, C.G.M.; Almeida, G.O.; Guimarães, P.E.O.; Moreira, S.G.; Gontijo Neto, M.M. Requerimentos Nutricionais do Milho Para Produção de Silagem; Circular Técnica 221; Embrapa: Sete Lagoas, MG, Brasil, 2016; Available online: https://www.infoteca.cnptia.embrapa.br/infoteca/bitstream/doc/1063399/1/circ221.pdf (accessed on 5 August 2025).
- Hawkesford, M.; Horst, W.; Kichey, T.; Lambers, H.; Schjoerring, J.; Møller, I.S.; White, P. Functions of macronutrients. In Marschner’s Mineral Nutrition of Higher Plants, 3rd ed.; Marschner, P., Ed.; Elsevier: San Diego, CA, USA, 2012; pp. 135–190. [Google Scholar] [CrossRef]
- Lade, S.B.; Román, C.; Cueto-Ginzo, A.I.; Serrano, L.; Sin, E.; Achón, M.A.; Medina, V. Host-specific proteomic and growth analysis of maize and tomato seedlings inoculated with Azospirillum brasilense Sp7. Plant Physiol. Biochem. 2018, 129, 381–393. [Google Scholar] [CrossRef]
- Pires, B.; Cogo, F.D.; Silva, F.D.P.; Colleti, G. Contribution of Azospirillum brasilense to nitrogen fertilization for maize crops planted successively to soybean crops. Revista Agrogeoambient. 2023, 15, e20231789. [Google Scholar] [CrossRef]
- Vidotti, M.S.; Lyra, D.H.; Morosini, J.S.; Granato, Í.S.C.; Quecine, M.C.; Azevedo, J.L.; Fritsche-Neto, R. Additive and heterozygous (dis)advantage GWAS models reveal candidate genes involved in the genotypic variation of maize hybrids to Azospirillum brasilense. PLoS ONE 2019, 14, e0222788. [Google Scholar] [CrossRef] [PubMed]
- El-Sayed, M.M.; Amin, A.H.; Abdel-Mawgoud, A.S.A. Agricultural practices for maize crop water production under pivot irrigation in Toshka, Egypt. Arch. Agric. Sci. J. 2023, 6, 113–124. [Google Scholar] [CrossRef]
- Amer, M.M.; Elbagory, M.; El-Nahrawy, S.; Omara, A.E.-D. Impact of Gypsum and Bio-Priming of Maize Grains on Soil Properties, Physiological Attributes and Yield under Saline–Sodic Soil Conditions. Agronomy 2022, 12, 2550. [Google Scholar] [CrossRef]
- Custódio, D.P.; Oliveira, I.P.; Costa, K.A.P.; Santos, R.S.M.; Faria, C.D. Avaliação do gesso no desenvolvimento e produção do capim-tanzânia. Ciênc. Anim. Bras. 2005, 6, 27–34. [Google Scholar]
- Malobane, M.E.; Nciizah, A.D.; Mudau, F.N.; Wakindiki, I.I.C. Efeitos do preparo do solo, rotação de culturas e manejo de resíduos agrícolas na disponibilidade de nutrientes em um sistema de cultivo à base de sorgo sacarino em solos marginais da África do Sul. Agronomy 2020, 10, 776. [Google Scholar] [CrossRef]
- Topa, D.; Cara, I.G.; Jităreanu, G. Long term impact of different tillage systems on carbon pools and stocks, soil bulk density, aggregation and nutrients: A field meta-analysis. Catena 2021, 199, 105102. [Google Scholar] [CrossRef]
- Aula, L.; Easterly, A.C.; Mikha, M.M.; Creech, C.F. Tillage practices affect soil fertility of a long-term winter wheat–fallow rotation. Soil Sci. Soc. Am. J. 2024, 88, 498–509. [Google Scholar] [CrossRef]
- Liu, C.; Liu, G.; Gao, H.; Xie, Y. Effect of No-Tillage on Soil Bacterial Community Structure in the Black Soil Region of Northeast China. Sustainability 2025, 17, 2114. [Google Scholar] [CrossRef]
- Yang, H.; Wang, G.; Wang, J.; Xiao, Q.; Li, Z.; de Clerck, C.; Meersmans, J.; Colinet, G.; Zhang, W. No-tillage facilitates soil organic carbon sequestration by enhancing arbuscular mycorrhizal fungi-related soil proteins accumulation and aggregation. Catena 2024, 245, 108323. [Google Scholar] [CrossRef]
- Alvares, C.A.; Stape, J.L.; Sentelhas, P.C.; Gonçalves, J.L.M.; Sparovek, G. Köppen’s climate classification map for Brazil. Meteorol. Z. 2014, 22, 711–728. [Google Scholar] [CrossRef] [PubMed]
- Dos Santos, H.G.; Jacomine, P.K.T.; dos Anjos, L.H.C.; de Oliveira, V.A.; Lumbreras, J.F.; Coelho, M.R.; de Almeida, J.A.; Cunha, T.J.F.; de Oliveira, J.B. Sistema Brasileiro de Classificação de Solos, 3rd ed.; Embrapa: Brasília, DF, Brazil, 2018; 354p. [Google Scholar]
- Raij, B.V.; Andrade, J.C.; Cantarella, H.; Quaggio, J.A. Análise Química Para Avaliação da Fertilidade de Solos Tropicais; Boletim técnico, 100; Instituto Agronômico: Campinas, Brazil, 2001; p. 284. [Google Scholar]
- Caires, E.F.; Guimarães, A.M. A novel phosphogypsum application recommendation method under continuous no-till management in Brazil. Agron. J. 2018, 110, 1987–1995. [Google Scholar]
- R Core Team. R: A Language and Environment for Statistical Computing; R Foundation for Statistical Computing: Vienna, Austria, 2025. [Google Scholar]






| 18 Months | 40 Months | 18 Months | 40 Months | 18 Months | 40 Months | |||||||||||||
|---|---|---|---|---|---|---|---|---|---|---|---|---|---|---|---|---|---|---|
| 0.00–0.20 m | 0.20–0.40 m | 0.40–0.60 m | ||||||||||||||||
| TRET | SB | CEC | V | SB | CEC | V | SB | CEC | V | SB | CEC | V | SB | CEC | V | SB | CEC | V |
| mmolc dm−3 | % | mmolc dm−3 | % | mmolc dm−3 | % | mmolc dm−3 | % | mmolc dm−3 | % | mmolc dm−3 | % | |||||||
| without | 25.8 b | 67.6 b | 39.8 b | 55.3 | 93.8 | 56.6 | 22.7 b | 52.7 b | 42.9 b | 23.1 b | 60.0 b | 38.7 b | 18.7 b | 41.2 b | 45.1 b | 21.9 b | 54.1 | 40.6 b |
| with | 41.9 a | 76.0 a | 53.2 a | 64.8 | 99.8 | 61.8 | 31.3 a | 58.3 a | 53.3 a | 33.0 a | 64.3 a | 50.7 a | 26.3 a | 48.1 a | 53.6 a | 28.7 a | 55.8 | 51.0 a |
| 0 | 29.0 | 71.1 | 38.9 | 71.4 | 107.8 | 61.4 | 21.4 | 52.4 | 41.0 | 26.7 | 58.2 | 41.9 | 17.9 | 40.6 | 43.6 | 22.6 1 | 52.4 | 43.1 2 |
| 2.9 | 33.3 | 66.7 | 43.4 | 61.8 | 96.1 | 63.4 | 25.5 | 50.7 | 50.1 | 27.2 | 62.8 | 46.0 | 22.4 | 43.1 | 50.9 | 24.4 | 52.4 | 46.0 |
| 5.7 | 37.3 | 74.8 | 49.0 | 58.8 | 96.0 | 58.0 | 30.5 | 60.5 | 50.1 | 27.7 | 65.0 | 42.8 | 25.1 | 48.3 | 51.5 | 25.9 | 57.4 | 45.0 |
| 8.5 | 30.6 | 65.0 | 43.4 | 46.2 | 89.3 | 51.0 | 26.6 | 54.6 | 47.6 | 28.8 | 63.1 | 46.9 | 22.9 | 45.4 | 49.9 | 27.1 | 56.8 | 47.3 |
| 11.4 | 31.9 | 81.5 | 58.9 | 62.1 | 95.0 | 62.1 | 31.0 | 59.3 | 51.6 | 29.8 | 61.9 | 45.9 | 24.1 | 45.9 | 50.9 | 26.5 | 55.6 | 47.5 |
| Pr > Fc (I) | 0.001 * | 0.001 * | 0.02 * | 0.31 ns | 0.35 ns | 0.36 ns | 0.01 * | 0.02 * | 0.001 * | 0.0001 * | 0.04 * | 0.001 * | 0.0001 * | 0.001 * | 0.001 * | 0.01 * | 0.35 ns | 0.001 * |
| Pr > Fc (G) | 0.26 ns | 0.20 ns | 0.33 ns | 0.56 ns | 0.48 ns | 0.65 ns | 0.07 ns | 0.41 ns | 0.18 ns | 0.40 ns | 0.32 ns | 0.53 ns | 0.30 ns | 0.38 ns | 0.40 ns | 0.26 ns | 0.28 ns | 0.35 ns |
| Pr > Fc (I × G) | 0.42 ns | 0.33 ns | 0.68 ns | 0.26 ns | 0.22 ns | 0.31 ns | 0.08 ns | 0.43 ns | 0.39 ns | 0.53 ns | 0.19 ns | 0.66 ns | 0.25 ns | 0.52 ns | 0.88 ns | 0.38 ns | 0.48 ns | 0.56 ns |
| CV(%) | 11.9 | 12.7 | 23.0 | 24.7 | 20.8 | 24.6 | 24.9 | 13.1 | 20.1 | 21.9 | 10.2 | 15.71 | 26.9 | 15.9 | 14.1 | 17.2 | 10.6 | 10.3 |
| Treatments | GY 1 | GY 2 | GY 3 |
|---|---|---|---|
| kg ha−1 | |||
| Gypsum rates (G) (t ha−1) | |||
| 0 | 3728 | 3696 | 5170 |
| 2.9 5.7 | 3836 3902 | 3756 3883 | 5401 5302 |
| 8.5 | 3829 | 3458 | 5113 |
| 11.4 | 3768 | 3921 | 5259 |
| Inoculation (I) | |||
| with | 3790 | 4030 a | 5733 |
| without | 3835 | 3455 b | 4765 |
| Pr > Fc (G) | 0.849 ns | 0.714 ns | 0.840 ns |
| Pr > Fc (I) | 0.663 ns | 0.011 * | 0.001 * |
| Pr > Fc (G × I) | 0.837 ns | 0.823 ns | 0.001 * |
| DMS | 211 | 462 | 348 |
| CV (%) | 8.54 | 19.12 | 10.22 |
| Treatments | SDM | SGY | DM |
|---|---|---|---|
| kg ha−1 | |||
| Gypsum rates (G) (t ha−1) | |||
| 0 | 102,315 | 1919 | 3203 |
| 2.9 | 95,833 | 1720 | 2904 |
| 5.7 | 95,833 | 1779 | 2596 |
| 8.5 | 91,667 | 1700 | 2663 |
| 11.4 | 105,093 | 1768 | 2979 |
| Inoculation (I) | |||
| with | 5721 a | 1950 a | 3138 a |
| without | 3120 b | 1630 b | 2600 b |
| Pr > Fc (G) | 0.8221 ns | 0.2354 ns | 0.9483 ns |
| Pr > Fc (I) | 0.0001 * | 0.0001 * | 0.0001 * |
| Pr > Fc (G × I) | 0.3554 ns | 0.5412 ns | 0.3895 ns |
| DMS | 1123 | 120 | 515 |
| CV (%) | 20.7 | 18.8 | 16.1 |
| Treatments | MGY | MDM |
|---|---|---|
| kg ha−1 | ||
| Gypsum rates (G) (t ha−1) | ||
| 0 | 3738 | 1984 |
| 2.9 | 5617 | 2321 |
| 5.7 | 4063 | 2207 |
| 8.5 | 4289 | 2190 |
| 11.4 | 3597 | 2498 |
| Inoculation (I) | ||
| with | 3990 | 2251 |
| without | 4531 | 2229 |
| Pr > Fc (G) | 0.001 * | 0.002 * |
| Pr > Fc (I) | 0.050 * | 0.762 ns |
| Pr > Fc (G × I) | 0.016 * | 0.002 * |
| DMS | 541.27 | 149.51 |
| CV (%) | 19.58 | 10.28 |
| Treatments | DMBO 1 | DMBO 2 |
|---|---|---|
| kg ha−1 | ||
| Gypsum rates (G) (t ha−1) | ||
| 0 | 2045 | 10,095 |
| 2.9 | 1898 | 10,449 |
| 5.7 | 2361 | 9436 |
| 8.5 | 1925 | 9727 |
| 11.4 | 1911 | 9496 |
| Inoculation (I) | ||
| With | 2270 a | 10,228 |
| Without | 1786 b | 9453 |
| Pr > Fc (G) | 0.440 ns | 0.518 ns |
| Pr > Fc (I) | 0.001 * | 0.075 ns |
| Pr > Fc (G × I) | 0.115 ns | 0.235 ns |
| DMS | 466 | 1025 |
| CV (%) | 16.19 | 13.48 |
| Soil Depth | P-Resin | S-SO4− | OM | pH | K | Ca | Mg | H+Al | Al | SB | CEC | V | m |
|---|---|---|---|---|---|---|---|---|---|---|---|---|---|
| m | mg dm−3 | g dm−3 | mmolc dm−3 | % | |||||||||
| 0.00–0.20 | 37 | 7.0 | 27 | 4.6 | 2.5 | 29 | 19 | 42 | 2.0 | 50.5 | 92.5 | 55 | 4 |
| 0.20–0.40 | 17 | 4.0 | 20 | 4.6 | 0.8 | 18 | 12 | 34 | 2.0 | 30.8 | 64.8 | 48 | 6 |
Disclaimer/Publisher’s Note: The statements, opinions and data contained in all publications are solely those of the individual author(s) and contributor(s) and not of MDPI and/or the editor(s). MDPI and/or the editor(s) disclaim responsibility for any injury to people or property resulting from any ideas, methods, instructions or products referred to in the content. |
© 2025 by the authors. Licensee MDPI, Basel, Switzerland. This article is an open access article distributed under the terms and conditions of the Creative Commons Attribution (CC BY) license (https://creativecommons.org/licenses/by/4.0/).
Share and Cite
Souza, I.N.d.; Cristovam, M.E.P.; Moraes, E.L.; Modesto, V.C.; Ribeiro, N.A.A.; Girardi, V.A.M.; de Souza Júnior, N.C.; Matos, A.M.S.; Salles, J.S.; Gasparini, C.S.; et al. Effects on Soil Fertility and Crop Productivity Under Residual Agricultural Gypsum and Azospirillum brasilense in Cover Crops in a Consolidated No-Tillage System. Plants 2025, 14, 3230. https://doi.org/10.3390/plants14203230
Souza INd, Cristovam MEP, Moraes EL, Modesto VC, Ribeiro NAA, Girardi VAM, de Souza Júnior NC, Matos AMS, Salles JS, Gasparini CS, et al. Effects on Soil Fertility and Crop Productivity Under Residual Agricultural Gypsum and Azospirillum brasilense in Cover Crops in a Consolidated No-Tillage System. Plants. 2025; 14(20):3230. https://doi.org/10.3390/plants14203230
Chicago/Turabian StyleSouza, Isadora Nicolielo de, Maria Eduarda Pafetti Cristovam, Eduardo Leandro Moraes, Viviane Cristina Modesto, Naiane Antunes Alves Ribeiro, Vitória Almeida Moreira Girardi, Nelson Câmara de Souza Júnior, Aline Marchetti Silva Matos, Jussara Souza Salles, Camili Sardinha Gasparini, and et al. 2025. "Effects on Soil Fertility and Crop Productivity Under Residual Agricultural Gypsum and Azospirillum brasilense in Cover Crops in a Consolidated No-Tillage System" Plants 14, no. 20: 3230. https://doi.org/10.3390/plants14203230
APA StyleSouza, I. N. d., Cristovam, M. E. P., Moraes, E. L., Modesto, V. C., Ribeiro, N. A. A., Girardi, V. A. M., de Souza Júnior, N. C., Matos, A. M. S., Salles, J. S., Gasparini, C. S., Borges, W. L. B., & Andreotti, M. (2025). Effects on Soil Fertility and Crop Productivity Under Residual Agricultural Gypsum and Azospirillum brasilense in Cover Crops in a Consolidated No-Tillage System. Plants, 14(20), 3230. https://doi.org/10.3390/plants14203230

