Identification of Sulfate Transporter Genes in Broussonetia papyrifera and Analysis of Their Functions in Regulating Selenium Metabolism
Abstract
1. Introduction
2. Materials and Methods
2.1. Plant Material and Selenium Treatments
2.2. Identification of the SULTR Gene Family in B. papyrifera
2.3. Bioinformatics Analysis of SULTR Gene Family in B. papyrifera
2.4. Multiple Sequence Alignment and Phylogenetic Analysis
2.5. RNA Extraction and RT-qPCR Analysis
2.6. Subcellular Localization of BpSULTR3;1 and BpSULTR3;4 Proteins
2.7. Construction and Transformation of BpSULTR3;1 and BpSULTR3;4 in A. thaliana
2.8. Determination of Total Selenium Content
2.9. Determination of Selenium Speciation
2.10. Statistical Analysis
3. Results
3.1. Identification and Chromosomal Localization of BpSULTR Gene Family
3.2. Classification and Phylogenetic Analysis of the BpSULTRs
3.3. Cis-Acting Element Analysis of BpSULTR Gene Promoters
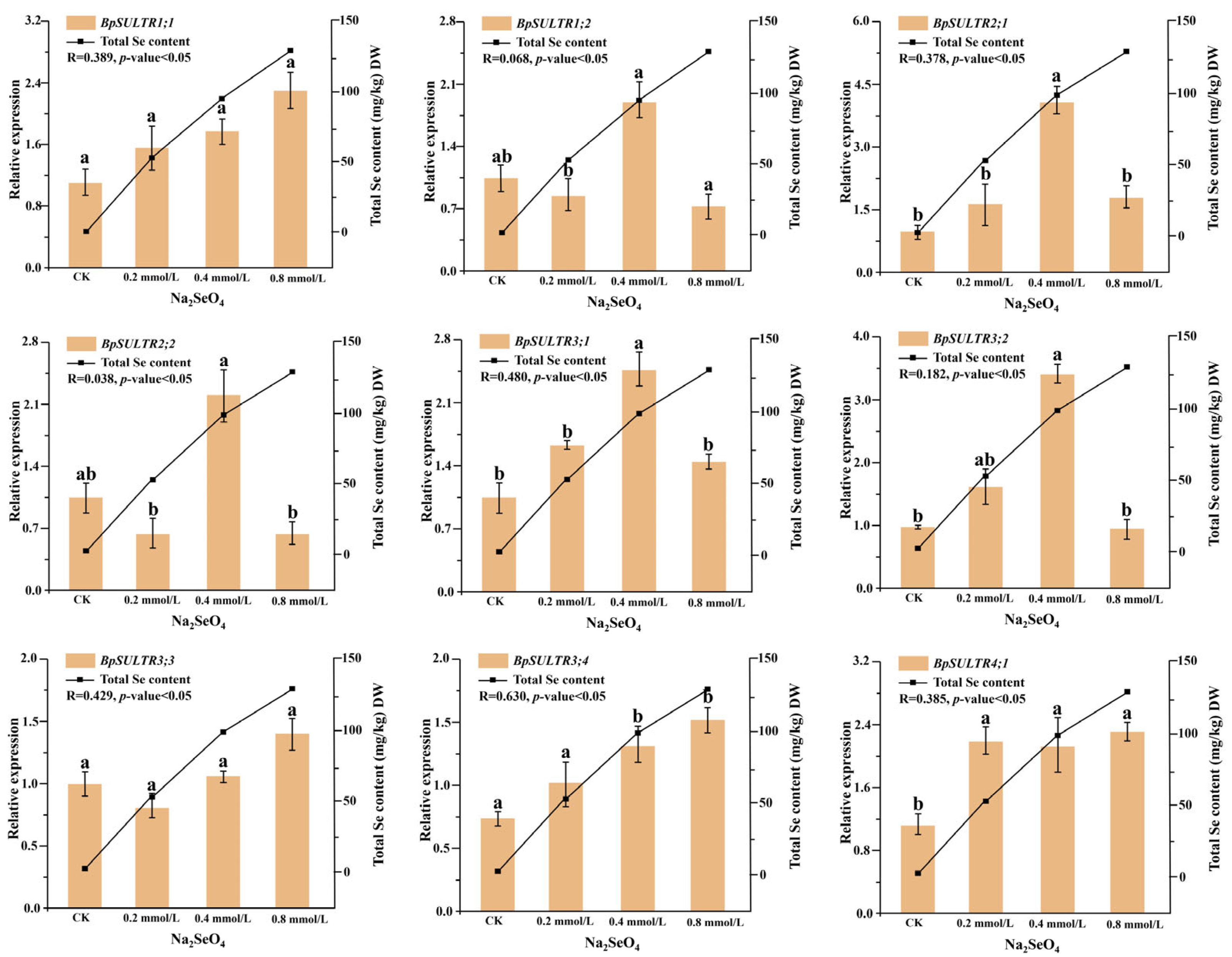
3.4. Correlation Analysis Between the Expression Levels of BpSULTRs and Selenium Content
3.5. Subcellular Localization Analysis
3.6. Identification of Transgenic A. thaliana and BpSULTR3;1/BpSULTR3;4 Expression Analysis
3.7. Analysis of Total Se Content and Selenium Speciation of Transgenic A. thaliana
3.8. Expression Pattern Analysis of Selenium Metabolism-Related Genes in Transgenic A. thaliana
4. Discussion
5. Conclusions
Supplementary Materials
Author Contributions
Funding
Data Availability Statement
Conflicts of Interest
References
- An, X.; Zhang, S.; Li, T.; Chen, N.; Wang, X.; Zhang, B.; Ma, Y. Transcriptomics Analysis Reveals the Effect of Broussonetia papyrifera L. Fermented Feed on Meat Quality Traits in Fattening Lamb. PeerJ 2021, 9, e11295. [Google Scholar] [CrossRef]
- Wang, X.; Tang, C.; Lin, Y.; Ni, K.; Yang, F.; Guo, L.; Liu, X.; Yang, X. Assessing Nutritive Value and in Vitro Ruminal Dry Matter Digestibility of Paper Mulberry (Broussonetia papyrifera L.) at the Different Cutting Heights. IOP Conf. Ser. Earth Environ. Sci. 2019, 387, 012015. [Google Scholar] [CrossRef]
- Li, Y.; Huang, R.; Zhang, W.; Chen, Q.; Wang, Q.; Ye, J.; Xu, F. Medicinal Potential of Broussonetia papyrifera: Chemical Composition and Biological Activity Analysis. Plants 2025, 14, 523. [Google Scholar] [CrossRef]
- Chen, Y.; Wang, L.; Liu, X.; Wang, F.; An, Y.; Zhao, W.; Tian, J.; Kong, D.; Zhang, W.; Xu, Y.; et al. The Genus Broussonetia: An Updated Review of Phytochemistry, Pharmacology and Applications. Molecules 2022, 27, 5344. [Google Scholar] [CrossRef]
- Wang, G.-W.; Huang, B.-K.; Qin, L.-P. The Genus Broussonetia: A Review of Its Phytochemistry and Pharmacology. Phytother. Res. 2012, 26, 1–10. [Google Scholar] [CrossRef] [PubMed]
- Chen, Q.; Yu, L.; Chao, W.; Xiang, J.; Yang, X.; Ye, J.; Liao, X.; Zhou, X.; Rao, S.; Cheng, S.; et al. Comparative Physiological and Transcriptome Analysis Reveals the Potential Mechanism of Selenium Accumulation and Tolerance to Selenate Toxicity of Broussonetia papyrifera. Tree Physiol. 2022, 42, 2578–2595. [Google Scholar] [CrossRef]
- Xu, Z.; Dong, M.; Peng, X.; Ku, W.; Zhao, Y.; Yang, G. New Insight into the Molecular Basis of Cadmium Stress Responses of Wild Paper Mulberry Plant by Transcriptome Analysis. Ecotoxicol. Environ. Saf. 2019, 171, 301–312. [Google Scholar] [CrossRef] [PubMed]
- Huang, H.; Zhao, Y.; Fan, L.; Jin, Q.; Yang, G.; Xu, Z. Improvement of Manganese Phytoremediation by Broussonetia papyrifera with Two Plant Growth Promoting (PGP) Bacillus Species. Chemosphere 2020, 260, 127614. [Google Scholar] [CrossRef]
- Rayman, M.P. Selenium and Human Health. Lancet 2012, 379, 1256–1268. [Google Scholar] [CrossRef] [PubMed]
- Fairweather-Tait, S.J.; Bao, Y.; Broadley, M.R.; Collings, R.; Ford, D.; Hesketh, J.E.; Hurst, R. Selenium in Human Health and Disease. Antioxid. Redox. Signal 2011, 14, 1337–1383. [Google Scholar] [CrossRef]
- Zhang, L.; Song, H.; Guo, Y.; Fan, B.; Huang, Y.; Mao, X.; Liang, K.; Hu, Z.; Sun, X.; Fang, Y.; et al. Benefit-Risk Assessment of Dietary Selenium and Its Associated Metals Intake in China (2017–2019): Is Current Selenium-Rich Agro-Food Safe Enough? J. Hazard. Mater. 2020, 398, 123224. [Google Scholar] [CrossRef]
- Xin, T.-Z.; Fu, Y.; Wang, X.-S.; Jiang, N.; Zhai, D.-D.; Shang, X.-D.; Dong, H.-R.; Luan, T.-Y.; Tang, G.-R.; Yu, H.-L. Research Progress of Selenium-Enriched Edible Fungi. Horticulturae 2025, 11, 531. [Google Scholar] [CrossRef]
- Wang, Y.; Sun, P.; Nie, M.; Zhan, J.; Huang, L.; Wu, J.; Zhang, J.; He, X.; Li, N.; Hu, L.; et al. Integration of Metabolomics and Transcriptomics Analyses Reveals the Effects of Nano-Selenium on Pak Choi. Sci. Rep. 2025, 15, 11215. [Google Scholar] [CrossRef]
- Huang, S.; Yu, K.; Xiao, Q.; Song, B.; Yuan, W.; Long, X.; Cai, D.; Xiong, X.; Zheng, W. Effect of Bio-Nano-Selenium on Yield, Nutritional Quality and Selenium Content of Radish. J. Food Compos. Anal. 2023, 115, 104927. [Google Scholar] [CrossRef]
- Zhu, S.; Liang, Y.; Mu, L.; An, X.; Yin, H. 1-Methylcyclopropene on Fruit Quality of Se-Enriched Grape (Vitis vinifera L.) during Shelf Life Period. Agronomy 2020, 10, 1411. [Google Scholar] [CrossRef]
- Yuan, Z.; Cai, S.; Yan, C.; Rao, S.; Cheng, S.; Xu, F.; Liu, X. Research Progress on the Physiological Mechanism by Which Selenium Alleviates Heavy Metal Stress in Plants: A Review. Agronomy 2024, 14, 1787. [Google Scholar] [CrossRef]
- Song, J.; Yu, S.; Yang, R.; Xiao, J.; Liu, J. Opportunities for the Use of Selenium Nanoparticles in Agriculture. NanoImpact 2023, 31, 100478. [Google Scholar] [CrossRef]
- Qin, X.; Wang, Z.; Lai, J.; Liang, Y.; Qian, K. The Synthesis of Selenium Nanoparticles and Their Applications in Enhancing Plant Stress Resistance: A Review. Nanomaterials 2025, 15, 301. [Google Scholar] [CrossRef]
- Guo, L.; Liao, Y.; Deng, S.; Li, J.; Bu, X.; Zhu, C.; Zhang, W.; Cong, X.; Cheng, S.; Chen, Q.; et al. Genome-Wide Analysis of NAC Transcription Factors and Exploration of Candidate Genes Regulating Selenium Metabolism in Broussonetia papyrifera. Planta 2024, 260, 1. [Google Scholar] [CrossRef] [PubMed]
- Zhu, C.; Chen, Q.; Guo, L.; Deng, S.; Zhang, W.; Cheng, S.; Cong, X.; Xu, F. Genome-Wide Identification of MYB Gene Family and Exploration of Selenium Metabolism-Related Candidates in Paper Mulberry (Broussonetia papyrifera). Plant Cell Rep. 2025, 44, 84. [Google Scholar] [CrossRef] [PubMed]
- Sors, T.G.; Ellis, D.R.; Na, G.N.; Lahner, B.; Lee, S.; Leustek, T.; Pickering, I.J.; Salt, D.E. Analysis of Sulfur and Selenium Assimilation in Astragalus Plants with Varying Capacities to Accumulate Selenium. Plant J. 2005, 42, 785–797. [Google Scholar] [CrossRef]
- Qu, L.; Xu, J.; Dai, Z.; Elyamine, A.M.; Huang, W.; Han, D.; Dang, B.; Xu, Z.; Jia, W. Selenium in Soil-Plant System: Transport, Detoxification and Bioremediation. J. Hazard. Mater. 2023, 452, 131272. [Google Scholar] [CrossRef]
- Zhao, H.; Frank, T.; Tan, Y.; Zhou, C.; Jabnoune, M.; Arpat, A.B.; Cui, H.; Huang, J.; He, Z.; Poirier, Y.; et al. Disruption of OsSULTR3;3 Reduces Phytate and Phosphorus Concentrations and Alters the Metabolite Profile in Rice Grains. New Phytol. 2016, 211, 926–939. [Google Scholar] [CrossRef] [PubMed]
- Yamaji, N.; Takemoto, Y.; Miyaji, T.; Mitani-Ueno, N.; Yoshida, K.T.; Ma, J.F. Reducing Phosphorus Accumulation in Rice Grains with an Impaired Transporter in the Node. Nature 2017, 541, 92–95. [Google Scholar] [CrossRef]
- White, P.J.; Bowen, H.C.; Parmaguru, P.; Fritz, M.; Spracklen, W.P.; Spiby, R.E.; Meacham, M.C.; Mead, A.; Harriman, M.; Trueman, L.J.; et al. Interactions between Selenium and Sulphur Nutrition in Arabidopsis thaliana. J. Exp. Bot. 2004, 55, 1927–1937. [Google Scholar] [CrossRef] [PubMed]
- Galeas, M.L.; Zhang, L.H.; Freeman, J.L.; Wegner, M.; Pilon-Smits, E.A. Seasonal Fluctuations of Selenium and Sulfur Accumulation in Selenium Hyperaccumulators and Related Nonaccumulators. New Phytol. 2007, 173, 517. [Google Scholar] [CrossRef]
- Cabannes, E.; Buchner, P.; Broadley, M.R.; Hawkesford, M.J. A Comparison of Sulfate and Selenium Accumulation in Relation to the Expression of Sulfate Transporter Genes in Astragalus Species. Plant Physiol. 2011, 157, 2227–2239. [Google Scholar] [CrossRef]
- Freeman, J.L.; Tamaoki, M.; Stushnoff, C.; Quinn, C.F.; Cappa, J.J.; Devonshire, J.; Fakra, S.C.; Marcus, M.A.; McGrath, S.P.; Van Hoewyk, D.; et al. Molecular Mechanisms of Selenium Tolerance and Hyperaccumulation in Stanleya pinnata. Plant Physiol. 2010, 153, 1630–1652. [Google Scholar] [CrossRef]
- Hawkesford, M.J. Transporter Gene Families in Plants: The Sulphate Transporter Gene Family—Redundancy or Specialization? Physiol. Plant. 2003, 117, 155–163. [Google Scholar] [CrossRef]
- Shibagaki, N.; Rose, A.; McDermott, J.P.; Fujiwara, T.; Hayashi, H.; Yoneyama, T.; Davies, J.P. Selenate-Resistant Mutants of Arabidopsis thaliana Identify Sultr1;2, a Sulfate Transporter Required for Efficient Transport of Sulfate into Roots. Plant J. 2002, 29, 475–486. [Google Scholar] [CrossRef]
- Yoshimoto, N.; Inoue, E.; Saito, K.; Yamaya, T.; Takahashi, H. Phloem-Localizing Sulfate Transporter, Sultr1;3, Mediates Re-Distribution of Sulfur from Source to Sink Organs in Arabidopsis. Plant Physiol. 2003, 131, 1511–1517. [Google Scholar] [CrossRef]
- Kataoka, T.; Hayashi, N.; Yamaya, T.; Takahashi, H. Root-to-Shoot Transport of Sulfate in Arabidopsis. Evidence for the Role of SULTR3;5 as a Component of Low-Affinity Sulfate Transport System in the Root Vasculature. Plant Physiol. 2004, 136, 4198–4204. [Google Scholar] [CrossRef]
- Cao, M.-J.; Wang, Z.; Wirtz, M.; Hell, R.; Oliver, D.J.; Xiang, C.-B. SULTR3;1 Is a Chloroplast-Localized Sulfate Transporter in Arabidopsis thaliana. Plant J. 2013, 73, 607–616. [Google Scholar] [CrossRef]
- Zuber, H.; Davidian, J.-C.; Wirtz, M.; Hell, R.; Belghazi, M.; Thompson, R.; Gallardo, K. Sultr4;1 Mutant Seeds of Arabidopsis Have an Enhanced Sulphate Content and Modified Proteome Suggesting Metabolic Adaptations to Altered Sulphate Compartmentalization. BMC Plant Biol. 2010, 10, 78. [Google Scholar] [CrossRef]
- Gasber, A.; Klaumann, S.; Trentmann, O.; Trampczynska, A.; Clemens, S.; Schneider, S.; Sauer, N.; Feifer, I.; Bittner, F.; Mendel, R.R.; et al. Identification of an Arabidopsis Solute Carrier Critical for Intracellular Transport and Inter-Organ Allocation of Molybdate. Plant Biol. 2011, 13, 710–718. [Google Scholar] [CrossRef]
- Takahashi, H. Sulfate Transport Systems in Plants: Functional Diversity and Molecular Mechanisms Underlying Regulatory Coordination. J. Exp. Bot. 2019, 70, 4075–4087. [Google Scholar] [CrossRef] [PubMed]
- Chen, Q.; Zhu, C.; Guo, L.; Bu, X.; Yang, W.; Cheng, S.; Cong, X.; Xu, F. Genome-Wide Identification of HMT Gene Family Explores BpHMT2 Enhancing Selenium Accumulation and Tolerance in Broussonetia papyrifera. Tree Physiol. 2024, 44, tpae030. [Google Scholar] [CrossRef] [PubMed]
- Chen, C.; Hao, C.; Zhang, Y.; Thomas, H.R.; Frank, M.H.; He, Y.; Xia, R. TBtools: An Integrative Toolkit Developed for Interactive Analyses of Big Biological Data. Mol. Plant 2020, 13, 1194–1202. [Google Scholar] [CrossRef] [PubMed]
- Khan, Z.H.; Agarwal, S.; Rai, A.; Memaya, M.B.; Mehrotra, S.; Mehrotra, R. Co-Expression Network Analysis of Protein Phosphatase 2A (PP2A) Genes with Stress-Responsive Genes in Arabidopsis thaliana Reveals 13 Key Regulators. Sci. Rep. 2020, 10, 21480. [Google Scholar] [CrossRef]
- Livak, K.J.; Schmittgen, T.D. Analysis of Relative Gene Expression Data Using Real-Time Quantitative PCR and the 2(-Delta Delta C(T)) Method. Methods 2001, 25, 402–408. [Google Scholar] [CrossRef]
- Zhou, J.; Dong, Y.; Liu, Y.; Huang, Y.; Jiang, W.; Zheng, X.; Zhang, H.; Gong, N.; Bai, X. Identification and Expression Analysis of Sulfate Transporter Genes Family and Function Analysis of GmSULTR3;1a from Soybean. Int. J. Mol. Sci. 2024, 25, 9080. [Google Scholar] [CrossRef]
- Mkumbwa, H.; Kumar, A.; Mo, T.; Qi, J.; Wang, T.; Sun, Y.; Fang, J.; Zhao, J.; Gul, R.M.S.; Htun, H.S.; et al. Identification and Functional Characterization of OsSULTR3;1 in Grain Selenium Accumulation in Rice. J. Agric. Food Chem. 2025, 73, 19273–19287. [Google Scholar] [CrossRef]
- Buchner, P.; Takahashi, H.; Hawkesford, M.J. Plant Sulphate Transporters: Co-Ordination of Uptake, Intracellular and Long-Distance Transport. J. Exp. Bot. 2004, 55, 1765–1773. [Google Scholar] [CrossRef]
- Yuan, Z.; Long, W.; Hu, H.; Liang, T.; Luo, X.; Hu, Z.; Zhu, R.; Wu, X. Genome-Wide Identification and Expansion Patterns of SULTR Gene Family in Gramineae Crops and Their Expression Profiles under Abiotic Stress in Oryza sativa. Genes 2021, 12, 634. [Google Scholar] [CrossRef]
- Cao, M.-J.; Wang, Z.; Zhao, Q.; Mao, J.-L.; Speiser, A.; Wirtz, M.; Hell, R.; Zhu, J.-K.; Xiang, C.-B. Sulfate Availability Affects ABA Levels and Germination Response to ABA and Salt Stress in Arabidopsis thaliana. Plant J. 2014, 77, 604–615. [Google Scholar] [CrossRef]
- Zhang, H.; Hao, X.; Zhang, J.; Wang, L.; Wang, Y.; Li, N.; Guo, L.; Ren, H.; Zeng, J. Genome-Wide Identification of SULTR Genes in Tea Plant and Analysis of Their Expression in Response to Sulfur and Selenium. Protoplasma 2022, 259, 127–140. [Google Scholar] [CrossRef]
- Huang, Q.; Wang, M.; Xia, Z. The SULTR Gene Family in Maize (Zea mays L.): Gene Cloning and Expression Analyses under Sulfate Starvation and Abiotic Stress. J. Plant Physiol. 2018, 220, 24–33. [Google Scholar] [CrossRef] [PubMed]
- Yang, Z.; Nie, Z.; Sui, F.; Xu, J.; Zhang, Y.; Li, C.; Qin, S.; Liu, H.; Yao, C.; Zhao, P.; et al. TaSULTR1;2 Regulates Sulfur and Selenium Uptake in Wheat. Plant Physiol. Biochem. 2025, 226, 110071. [Google Scholar] [CrossRef] [PubMed]
- Kataoka, T.; Watanabe-Takahashi, A.; Hayashi, N.; Ohnishi, M.; Mimura, T.; Buchner, P.; Hawkesford, M.J.; Yamaya, T.; Takahashi, H. Vacuolar Sulfate Transporters Are Essential Determinants Controlling Internal Distribution of Sulfate in Arabidopsis. Plant Cell 2004, 16, 2693–2704. [Google Scholar] [CrossRef]
- Ding, Y.; Zhou, X.; Zuo, L.; Wang, H.; Yu, D. Identification and Functional Characterization of the Sulfate Transporter Gene GmSULTR1;2b in Soybean. BMC Genom. 2016, 17, 373. [Google Scholar] [CrossRef] [PubMed]
- Zhang, S.; Xue, Y.; Liu, N.; Quzhen, D.; Qiong, D.; Liao, Y.; Zhang, W.; Ye, J.; Wang, Q.; Xu, F. Isolation and Characterization of the Sulfate Transporter Gene Family and Its Expression Pattern in Response to Selenium and Abiotic Stress in Walnuts (Juglans regia L.). Forests 2024, 15, 702. [Google Scholar] [CrossRef]
- Gigolashvili, T.; Kopriva, S. Transporters in Plant Sulfur Metabolism. Front. Plant Sci. 2014, 5, 442. [Google Scholar] [CrossRef]
- Takahashi, H.; Watanabe-Takahashi, A.; Smith, F.W.; Blake-Kalff, M.; Hawkesford, M.J.; Saito, K. The Roles of Three Functional Sulphate Transporters Involved in Uptake and Translocation of Sulphate in Arabidopsis thaliana. Plant J. 2000, 23, 171–182. [Google Scholar] [CrossRef]
- Casieri, L.; Gallardo, K.; Wipf, D. Transcriptional Response of Medicago Truncatula Sulphate Transporters to Arbuscular Mycorrhizal Symbiosis with and without Sulphur Stress. Planta 2012, 235, 1431–1447. [Google Scholar] [CrossRef]
- Chen, J.; Huang, X.-Y.; Salt, D.E.; Zhao, F.-J. Mutation in OsCADT1 Enhances Cadmium Tolerance and Enriches Selenium in Rice Grain. New Phytol. 2020, 226, 838–850. [Google Scholar] [CrossRef]
- Wang, J.; Cappa, J.J.; Harris, J.P.; Edger, P.P.; Zhou, W.; Pires, J.C.; Adair, M.; Unruh, S.A.; Simmons, M.P.; Schiavon, M.; et al. Transcriptome-Wide Comparison of Selenium Hyperaccumulator and Nonaccumulator Stanleya Species Provides New Insight into Key Processes Mediating the Hyperaccumulation Syndrome. Plant Biotechnol. J. 2018, 16, 1582–1594. [Google Scholar] [CrossRef]
- Sors, T.G.; Ellis, D.R.; Salt, D.E. Selenium Uptake, Translocation, Assimilation and Metabolic Fate in Plants. Photosynth. Res. 2005, 86, 373–389. [Google Scholar] [CrossRef] [PubMed]
- Zhu, Y.-G.; Pilon-Smits, E.A.H.; Zhao, F.-J.; Williams, P.N.; Meharg, A.A. Selenium in Higher Plants: Understanding Mechanisms for Biofortification and Phytoremediation. Trends Plant Sci. 2009, 14, 436–442. [Google Scholar] [CrossRef] [PubMed]
- Li, H.-F.; McGrath, S.P.; Zhao, F.-J. Selenium Uptake, Translocation and Speciation in Wheat Supplied with Selenate or Selenite. New Phytol. 2008, 178, 92–102. [Google Scholar] [CrossRef]
- Cao, D.; Li, J.; Ma, L.; Liu, Y.; Huang, J.; Jin, X. Genome-Wide Identification of Selenium-Responsive MicroRNAs in Tea Plant (Camellia sinensis L. O. Kuntze). Horticulturae 2023, 9, 1278. [Google Scholar] [CrossRef]
- Chao, D.-Y.; Baraniecka, P.; Danku, J.; Koprivova, A.; Lahner, B.; Luo, H.; Yakubova, E.; Dilkes, B.; Kopriva, S.; Salt, D.E. Variation in Sulfur and Selenium Accumulation Is Controlled by Naturally Occurring Isoforms of the Key Sulfur Assimilation Enzyme adenosine 5′-phosphosulfate reductase 2 across the Arabidopsis Species Range. Plant Physiol. 2014, 166, 1593–1608. [Google Scholar] [CrossRef] [PubMed]
- Hsu, F.-C.; Wirtz, M.; Heppel, S.C.; Bogs, J.; Krämer, U.; Khan, M.S.; Bub, A.; Hell, R.; Rausch, T. Generation of Se-Fortified Broccoli as Functional Food: Impact of Se Fertilization on S Metabolism. Plant Cell. Environ. 2011, 34, 192–207. [Google Scholar] [CrossRef] [PubMed]
- Patel, P.; Trivedi, G.; Saraf, M. Evaluation of Selenium Biofortification Strategies in Phaseolus Vulgaris through Selenocysteine Methyltransferase Gene Expression. Environ. Sustain. 2021, 4, 823–831. [Google Scholar] [CrossRef]
- Li, J.; Huang, J.; Abril, A.M.M.; Otero-Gonzalez, L.; He, S.; Ferrer, I.; Lens, P.N.L.; Du Laing, G. Fate of Exogenous Selenium in the Soil–Plant System: Se Accumulation, Translocation, and Effects on Growth in Vegetable, Legume, and Cereal Species. J. Agric. Food Chem. 2025, 73, 14901–14912. [Google Scholar] [CrossRef]








| Gene Name | ID | Amino Acids | Molecular Weight (kDa) | pI | Instability Index | Aliphatic Index | Gravy | Subcellular Location |
|---|---|---|---|---|---|---|---|---|
| BpSULTR1;1 | Bp01G0496.1 | 699 | 77.12 | 8.69 | 38.44 | 105.08 | 0.249 | Membrane |
| BpSULTR1;2 | Bp01G7368.1 | 660 | 73.05 | 9.06 | 42.04 | 109.32 | 0.347 | Membrane |
| BpSULTR2;1 | Bp02G6891.1 | 675 | 72.75 | 9.00 | 33.66 | 114.41 | 0.463 | Membrane |
| BpSULTR2;2 | Bp02G6906.1 | 681 | 73.66 | 8.75 | 32.74 | 108.87 | 0.400 | Membrane |
| BpSULTR3;1 | Bp03G0171.1 | 661 | 72.77 | 8.37 | 29.41 | 105.61 | 0.412 | Membrane |
| BpSULTR3;2 | Bp03G2059.1 | 598 | 65.26 | 8.81 | 36.12 | 111.37 | 0.533 | Membrane |
| BpSULTR3;3 | Bp07G1646.1 | 1486 | 166.94 | 6.23 | 33.86 | 95.37 | 0.037 | Membrane |
| BpSULTR3;4 | Bp13G0791.1 | 691 | 75.44 | 9.13 | 38.01 | 108.18 | 0.346 | Membrane |
| BpSULTR4;1 | Bp13G2065.1 | 700 | 76.45 | 8.29 | 39.91 | 111.84 | 0.357 | Membrane |
Disclaimer/Publisher’s Note: The statements, opinions and data contained in all publications are solely those of the individual author(s) and contributor(s) and not of MDPI and/or the editor(s). MDPI and/or the editor(s) disclaim responsibility for any injury to people or property resulting from any ideas, methods, instructions or products referred to in the content. |
© 2025 by the authors. Licensee MDPI, Basel, Switzerland. This article is an open access article distributed under the terms and conditions of the Creative Commons Attribution (CC BY) license (https://creativecommons.org/licenses/by/4.0/).
Share and Cite
Chen, Y.; Wang, N.; Qian, C.; Zhang, W.; Xu, F.; Wang, Q.; Liao, Y. Identification of Sulfate Transporter Genes in Broussonetia papyrifera and Analysis of Their Functions in Regulating Selenium Metabolism. Plants 2025, 14, 2995. https://doi.org/10.3390/plants14192995
Chen Y, Wang N, Qian C, Zhang W, Xu F, Wang Q, Liao Y. Identification of Sulfate Transporter Genes in Broussonetia papyrifera and Analysis of Their Functions in Regulating Selenium Metabolism. Plants. 2025; 14(19):2995. https://doi.org/10.3390/plants14192995
Chicago/Turabian StyleChen, Yaobing, Nuo Wang, Chengxu Qian, Weiwei Zhang, Feng Xu, Qijian Wang, and Yongling Liao. 2025. "Identification of Sulfate Transporter Genes in Broussonetia papyrifera and Analysis of Their Functions in Regulating Selenium Metabolism" Plants 14, no. 19: 2995. https://doi.org/10.3390/plants14192995
APA StyleChen, Y., Wang, N., Qian, C., Zhang, W., Xu, F., Wang, Q., & Liao, Y. (2025). Identification of Sulfate Transporter Genes in Broussonetia papyrifera and Analysis of Their Functions in Regulating Selenium Metabolism. Plants, 14(19), 2995. https://doi.org/10.3390/plants14192995

