Optimized Irrigation and Nitrogen Fertilization Enhance Sorghum Yield and Resilience in Drought-Prone Regions
Abstract
1. Introduction
2. Materials and Methods
2.1. Study Site and Treatments
2.2. Land Preparation and Planting Operations
2.3. Data Collection and Measurement
2.4. Statistical Analysis
3. Results and Discussion
3.1. Crop Growth Parameters (Plant Height, Number of Leaves, and Panicle Length) Traits
3.2. Crop Phenology (Flowering Percentage and Visual Maturity Rating) Traits
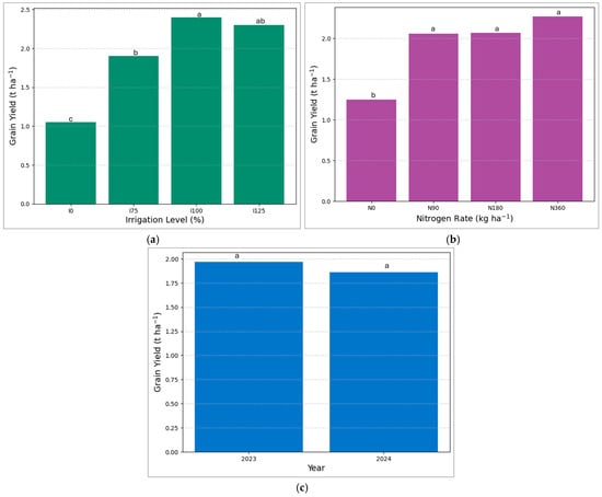
3.3. Yield (Biomass and Grain Yield) Traits
3.4. Correlation Matrix for Plant Growth, Phenology, and Yield Traits
4. Conclusions
Author Contributions
Funding
Data Availability Statement
Acknowledgments
Conflicts of Interest
References
- Ali, S.; Xu, Y.; Ma, X.; Ahmad, I.; Jia, Q.; Akmal, M.; Hussain, Z.; Arif, M.; Cai, T.; Zhang, J.; et al. Deficit irrigation strategies to improve winter wheat productivity and regulating root growth under different planting patterns. Agric. Water Manag. 2019, 219, 1–11. [Google Scholar] [CrossRef]
- Kim, T.W.; Jehanzaib, M. Drought risk analysis, forecasting, and assessment under climate change. Water 2020, 12, 1862. [Google Scholar] [CrossRef]
- Mirzabaev, A.; Kerr, R.B.; Hasegawa, T.; Pradhan, P.; Wreford, A.; von der Pahlen, M.C.T.; Gurney-Smith, H. Severe climate change risks to food security and nutrition. Clim. Risk Manag. 2023, 39, 100473. [Google Scholar] [CrossRef]
- Intergovernmental Panel on Climate Change. Climate Change 2022: Impacts, adaptation, and vulnerability. In Contribution of Working Group II to the Sixth Assessment Report of the Intergovernmental Panel on Climate Change; Intergovernmental Panel on Climate Change: Geneva, Switzerland, 2022. [Google Scholar]
- Mekonnen, M.M.; Hoekstra, A.Y. Four billion people facing severe water scarcity. Sci. Adv. 2016, 2, e1500323. [Google Scholar] [CrossRef] [PubMed]
- Thapa, B.; Awal, R.; Fares, A.; Veettil, A.; Elhassan, A. Improving Soil Health through Manure and Biochar Amendments under Climate-Smart Agriculture. Soil Sci. Soc. Am. J. 2025. accepted. [Google Scholar]
- Awal, R.; Hassan, A.E.; Abbas, F.; Fares, A.; Bayabil, H.K.; Ray, R.L.; Woldesenbet, S. Patterns of nutrient dynamics within and below the rootzone of collard greens grown under different organic amendment types and rates. Sustainability 2021, 13, 6857. [Google Scholar] [CrossRef]
- Fares, A.; Abbas, F.; Ahmad, A.; Deenik, J.L.; Safeeq, M. Response of selected soil physical and hydrologic properties to manure amendment rates, levels, and types. Soil Sci. 2008, 173, 522–533. [Google Scholar] [CrossRef]
- Veettil, A.; Rahman, A.; Thapa, B.; Awal, R.; Fares, A.; Melaku, N.D.; Thapa, B.; Elhassan, A.; Woldesenbet, S. Transforming Soil: Climate-Smart Amendments Boost Soil Physical and Hydrological Properties. Soil Syst. 2024, 8, 134. [Google Scholar] [CrossRef]
- Stringer, L.C.; Mirzabaev, A.; Benjaminsen, T.A.; Harris, R.M.; Jafari, M.; Lissner, T.K.; Stevens, N.; Tirado-von Der Pahlen, C. Climate change impacts on water security in global drylands. One Earth 2021, 4, 851–864. [Google Scholar] [CrossRef]
- Medellín-Azuara, J.; Escriva-Bou, A.; Gaudin, A.C.; Schwabe, K.A.; Sumner, D.A. Cultivating climate resilience in California agriculture: Adaptations to an increasingly volatile water future. Proc. Natl. Acad. Sci. USA 2024, 121, e2310079121. [Google Scholar] [CrossRef]
- Scholl, M.A.; McCabe, G.J.; Olson, C.G.; Powlen, K.A. Climate Change and Future Water Availability in the United States (No. 1894-E). U.S. Geological Survey. 2025. Available online: https://pubs.usgs.gov/publication/pp1894E (accessed on 13 May 2021).
- FAOSTAT. Food and Agriculture Organization of the United Nations. 2021. Available online: https://www.fao.org/home/en (accessed on 13 May 2021).
- Anami, S.E.; Zhang, L.M.; Xia, Y.; Zhang, Y.M.; Liu, Z.Q.; Jing, H.C. Sweet sorghum ideotypes: Genetic improvement of stress tolerance. Food Energy Secur. 2015, 4, 3–24. [Google Scholar] [CrossRef]
- Taylor, J.R.; Schober, T.J.; Bean, S.R. Novel food and non-food uses for sorghum and millets. J. Cereal Sci. 2006, 44, 252–271. [Google Scholar] [CrossRef]
- Marsalis, M.A.; Angadi, S.V.; Contreras-Govea, F.E. Dry matter yield and nutritive value of corn, forage sorghum, and BMR forage sorghum at different plant populations and nitrogen rates. Field Crops Res. 2010, 116, 52–57. [Google Scholar] [CrossRef]
- Khelil, M.N.; Rejeb, S.; Henchi, B.; Destain, J.P. Effects of irrigation water quality and nitrogen rate on the recovery of 15N fertilizer by sorghum in field study. Commun. Soil Sci. Plant Anal. 2013, 44, 2647–2655. [Google Scholar] [CrossRef]
- Hussain, H.A.; Men, S.; Hussain, S.; Chen, Y.; Ali, S.; Zhang, S.; Zhang, K.; Li, Y.; Xu, Q.; Liao, C.; et al. Interactive effects of drought and heat stresses on morpho-physiological attributes, yield, nutrient uptake and oxidative status in maize hybrids. Sci. Rep. 2019, 9, 3890. [Google Scholar] [CrossRef]
- Kapoor, D.; Bhardwaj, S.; Landi, M.; Sharma, A.; Ramakrishnan, M.; Sharma, A. The impact of drought in plant metabolism: How to exploit tolerance mechanisms to increase crop production. Appl. Sci. 2020, 10, 5692. [Google Scholar] [CrossRef]
- Vasilakoglou, I.; Dhima, K.; Karagiannidis, N.; Gatsis, T. Sweet sorghum productivity for biofuels under increased soil salinity and reduced irrigation. Field Crops Res. 2011, 120, 38–46. [Google Scholar] [CrossRef]
- Krishnamurthy, L.; Dinakaran, E.; Kumar, A.A.; Reddy, B.V.S. Field technique and traits to assess reproductive stage cold tolerance in Sorghum (Sorghum bicolor (L.) Moench). Plant Prod. Sci. 2014, 17, 218–227. [Google Scholar] [CrossRef]
- Mishra, J.S.; Thakur, N.S.; Singh, P.; Kubsad, V.S.; Kalpana, R.; Alse, U.N.; Sujathamma, P. Productivity, nutrient-use efficiency and economics of rainy-season grain sorghum (Sorghum bicolor) as influenced by fertility levels and cultivars. Indian J. Agron. 2015, 60, 76–81. [Google Scholar] [CrossRef]
- Dercas, N.; Liakatas, A. Water and radiation effect on sweet sorghum productivity. Water Resour. Manag. 2007, 21, 1585–1600. [Google Scholar] [CrossRef]
- Bell, J.M.; Schwartz, R.; McInnes, K.J.; Howell, T.; Morgan, C.L. Deficit irrigation effects on yield and yield components of grain sorghum. Agric. Water Manag. 2018, 203, 289–296. [Google Scholar] [CrossRef]
- Solaimalai, A.; Ravisankar, N.; Chandrasekaran, B. Water management to sorghum–A review. Agric. Rev. 2001, 22, 115–120. [Google Scholar]
- Devnarain, N.; Crampton, B.G.; Chikwamba, R.; Becker, J.V.; O’Kennedy, M.M. Physiological responses of selected African sorghum landraces to progressive water stress and re-watering. South Afr. J. Bot. 2016, 103, 61–69. [Google Scholar] [CrossRef]
- Getnet, Z.; Husen, A.; Fetene, M.; Yemata, G. Growth, water status, physiological, biochemical and yield response of stay green sorghum (Sorghum bicolor (L.) Moench) varieties-a field trial under drought-prone area in Amhara Regional State, Ethiopia. J. Agron. 2015, 14, 188. [Google Scholar] [CrossRef]
- Jabereldar, A.A.; El Naim, A.M.; Abdalla, A.A.; Dagash, Y.M. Effect of water stress on yield and water use efficiency of sorghum (Sorghum bicolor L. Moench) in semi-arid environment. Int. J. Agric. For. 2017, 7, 1–6. [Google Scholar]
- Assefa, Y.; Staggenborg, S.A.; Prasad, V.P. Grain sorghum water requirement and responses to drought stress: A review. Crop Manag. 2010, 9, 1–11. [Google Scholar] [CrossRef]
- Jahansouz, M.; Afshar, R.; Heidari, H.; Hashemi, M. Evaluation of yield and quality of sorghum and millet as alternative forage crops to corn under normal and deficit irrigation regimes. Jordan J. Agric. Sci. 2014, 10, 699–715. [Google Scholar] [CrossRef]
- Heitman, A.J.; Castillo, M.S.; Smyth, T.J.; Crozier, C.R. Stem, leaf, and panicle yield and nutrient content of biomass and sweet sorghum. Agron. J. 2018, 110, 1659–1665. [Google Scholar] [CrossRef]
- Hirel, B.; Tétu, T.; Lea, P.J.; Dubois, F. Improving nitrogen use efficiency in crops for sustainable agriculture. Sustainability 2011, 3, 1452–1485. [Google Scholar] [CrossRef]
- DoVale, J.C.; DeLima, R.O.; Fritsche-Neto, R. Breeding for nitrogen use efficiency. In Plant Breeding for Abiotic Stress Tolerance; Springer: Berlin/Heidelberg, Germany, 2012; pp. 53–65. [Google Scholar]
- Almodares, A.; Jafarinia, M.; Hadi, M.R. The effects of nitrogen fertilizer on chemical compositions in corn and sweet sorghum. Am.-Eurasian J. Agric. Environ. Sci. 2009, 6, 441–446. [Google Scholar]
- Zhang, J.H.; Jian-Li, L.I.U.; Zhang, J.B.; Cheng, Y.N.; Wei-Peng, W.A.N.G. Nitrate-nitrogen dynamics and nitrogen budgets in rice-wheat rotations in Taihu Lake region, China. Pedosphere 2013, 23, 59–69. [Google Scholar] [CrossRef]
- Liu, J.; Bi, X.; Ma, M.; Jiang, L.; Du, L.; Li, S.; Sun, Q.; Zou, G.; Liu, H. Precipitation and irrigation dominate soil water leaching in cropland in Northern China. Agric. Water Manag. 2019, 211, 165–171. [Google Scholar] [CrossRef]
- Uchida, R. Essential nutrients for plant growth: Nutrient functions and deficiency symptoms. Plant Nutr. Manag. Hawaii’s Soils 2000, 4, 31–55. [Google Scholar]
- Nilahyane, A.; Islam, M.A.; Mesbah, A.O.; Garcia y Garcia, A. Effect of irrigation and nitrogen fertilization strategies on silage corn grown in semi-arid conditions. Agronomy 2018, 8, 208. [Google Scholar] [CrossRef]
- Wang, Z.; Nie, T.; Lu, D.; Zhang, P.; Li, J.; Li, F.; Zhang, Z.; Chen, P.; Jiang, L.; Dai, C.; et al. Effects of different irrigation management and nitrogen rate on sorghum (Sorghum bicolor L.) growth, yield and soil nitrogen accumulation with drip irrigation. Agronomy 2024, 14, 215. [Google Scholar] [CrossRef]
- Ciftci, B.; Varol, I.S.; Akcura, S.; Kardes, Y.M.; Karaman, S.; Kaplan, M. Morphological and nutritional responses of sorghum to variable irrigation levels and nitrogen doses. PLoS ONE 2025, 20, e0323901. [Google Scholar] [CrossRef]
- Sigua, G.C.; Stone, K.C.; Bauer, P.J.; Szogi, A.A. Efficacy of supplemental irrigation and nitrogen management on enhancing nitrogen availability and urease activity in soils with sorghum production. Sustainability 2020, 12, 8358. [Google Scholar] [CrossRef]
- Awal, R.; Fares, A.; Habibi, H. Irrigation Scheduling Tools: IrrigWise and IrrigWise-PRISM for Agricultural Crops and Urban Landscapes. In Proceedings of the 6th Decennial National Irrigation Symposium, San Diego, CA, USA, 6–8 December 2021; American Society of Agricultural and Biological Engineers: St Joseph, MI, USA, 2021. [Google Scholar]
- Ferrante, A.; Mariani, L. Agronomic management for enhancing plant tolerance to abiotic stresses: High and low values of temperature, light intensity, and relative humidity. Horticulturae 2018, 4, 21. [Google Scholar] [CrossRef]
- Rostampour, M.F. Effects of irrigation regimes and polymer on dry matter yield and several physiological traits of forage sorghum var ‘Speedfeed’. Afr. J. Biotechnol. 2013, 12, 7074–7080. [Google Scholar]
- Sanchez, A.C.; Subudhi, P.K.; Rosenow, D.T.; Nguyen, H.T. Mapping QTLs associated with drought resistance in sorghum (Sorghum bicolor L. Moench). Plant Mol. Biol. 2002, 48, 713–726. [Google Scholar] [CrossRef] [PubMed]
- Aydinsakir, K.; Buyuktas, D.; Dinç, N.; Erdurmus, C.; Bayram, E.; Yegin, A.B. Yield and bioethanol productivity of sorghum under surface and subsurface drip irrigation. Agric. Water Manag. 2021, 243, 106452. [Google Scholar] [CrossRef]
- Kramer, P.J.; Boyer, J.S. Water Relations of Plants and Soils; Academic Press: Cambridge, MA, USA, 1995. [Google Scholar]
- Cao, T.; Xie, P.; Ni, L.; Zhang, M.; Xu, J. Carbon and nitrogen metabolism of an eutrophication tolerative macrophyte, Potamogeton crispus, under NH4+ stress and low light availability. Environ. Exp. Bot. 2009, 66, 74–78. [Google Scholar] [CrossRef]
- Arshad, A.; Qamar, H.; Siti-Sundari, R.; Zhang, Y.; Zubair, M.; Raza, M.A.; Habib-ur-Rehman, M.; Zhang, L. Phenotypic plasticity of spineless safflower (Carthamus tinctorius L.) cultivars in response to exogenous application of salicylic acid under rainfed climate conditions. Pak. J. Agric. Res. 2020, 33, 729. [Google Scholar] [CrossRef]
- Pourshirazi, S.; Soltani, A.; Zeinali, E.; Torabi, B.; Arshad, A. Assessing the sensitivity of alfalfa yield potential to climate impact under future scenarios in Iran. Environ. Sci. Pollut. Res. 2022, 29, 61093–61106. [Google Scholar] [CrossRef]
- Sabagh, A.E.; Hossain, A.; Islam, M.S.; Ahmed, S.; Raza, A.; Iqbal, M.A.; Wasaya, A.; Ratnasekera, D.; Arshad, A.; Kumari, A.; et al. Elevated CO2 in combination with heat stress influences the growth and productivity of cereals: Adverse effect and adaptive mechanisms. In Engineering Tolerance in Crop Plants Against Abiotic Stress; CRC Press: Boca Raton, FL, USA, 2021; pp. 125–161. [Google Scholar]
- Ndlovu, E.; Van Staden, J.; Maphosa, M. Morpho-physiological effects of moisture, heat and combined stresses on Sorghum bicolor [Moench (L.)] and its acclimation mechanisms. Plant Stress 2021, 2, 100018. [Google Scholar] [CrossRef]
- Farré, I.; Faci, J.M. Comparative response of maize (Zea mays L.) and sorghum (Sorghum bicolor L. Moench) to deficit irrigation in a Mediterranean environment. Agric. Water Manag. 2006, 83, 135–143. [Google Scholar] [CrossRef]
- Tang, A.C.; Boyer, J.S. Differences in membrane selectivity drive phloem transport to the apoplast from which maize florets develop. Ann. Bot. 2013, 111, 551–562. [Google Scholar] [CrossRef] [PubMed]
- Anjum, S.A.; Ashraf, U.; Tanveer, M.; Khan, I.; Hussain, S.; Shahzad, B.; Zohaib, A.; Abbas, F.; Saleem, M.F.; Ali, I.; et al. Drought induced changes in growth, osmolyte accumulation and antioxidant metabolism of three maize hybrids. Front. Plant Sci. 2017, 8, 69. [Google Scholar] [CrossRef]
- Farhadi, A.; Paknejad, F.; Golzardi, F.; Ilkaee, M.N.; Aghayari, F. Effects of limited irrigation and nitrogen rate on the herbage yield, water productivity, and nutritive value of sorghum silage. Commun. Soil Sci. Plant Anal. 2022, 53, 576–589. [Google Scholar] [CrossRef]
- Nematpour, A.; Eshghizadeh, H.R.; Zahedi, M.; Ghorbani, G.R. Millet forage yield and silage quality as affected by water and nitrogen application at different sowing dates. Grass Forage Sci. 2020, 75, 169–180. [Google Scholar] [CrossRef]
- Baghdadi, A.; Paknejad, F.; Golzardi, F.; Hashemi, M.; Ilkaee, M.N. Suitability and benefits from intercropped sorghum–amaranth under partial root-zone irrigation. J. Sci. Food Agric. 2021, 101, 5918–5926. [Google Scholar] [CrossRef] [PubMed]
- Scordia, D.; Cosentino, S.L.; Mantineo, M.; Testa, G.; Patanè, C. Nitrogen balance in a sweet sorghum crop in a Mediterranean environment. Agronomy 2021, 11, 1292. [Google Scholar] [CrossRef]
- Sehgal, A.; Sita, K.; Siddique, K.H.; Kumar, R.; Bhogireddy, S.; Varshney, R.K.; HanumanthaRao, B.; Nair, R.M.; Prasad, P.V.; Nayyar, H. Drought or/and heat-stress effects on seed filling in food crops: Impacts on functional biochemistry, seed yields, and nutritional quality. Front. Plant Sci. 2018, 9, 1705. [Google Scholar] [CrossRef]
- Sarshad, A.; Talei, D.; Torabi, M.; Rafiei, F.; Nejatkhah, P. Morphological and biochemical responses of Sorghum bicolor (L.) Moench under drought stress. SN Appl. Sci. 2021, 3, 81. [Google Scholar] [CrossRef]
- Kapanigowda, M.H.; Perumal, R.; Djanaguiraman, M.; Aiken, R.M.; Tesso, T.; Prasad, P.V.; Little, C.R. Genotypic variation in sorghum [Sorghum bicolor (L.) Moench] exotic germplasm collections for drought and disease tolerance. SpringerPlus 2013, 2, 1–13. [Google Scholar] [CrossRef] [PubMed]
- Kaplan, M.A.; Kara, K.A.; Unlukara, A.; Kale, H.A.; Beyzi, S.B.; Varol, I.S.; Kizilsimsek, M.; Kamalak, A. Water deficit and nitrogen affects yield and feed value of sorghum sudangrass silage. Agric. Water Manag. 2019, 218, 30–36. [Google Scholar] [CrossRef]
- Zhao, D.; Reddy, K.R.; Kakani, V.G.; Reddy, V.R. Nitrogen deficiency effects on plant growth, leaf photosynthesis, and hyperspectral reflectance properties of sorghum. Eur. J. Agron. 2005, 22, 391–403. [Google Scholar] [CrossRef]
- Baghdadi, A.; Balazadeh, M.; Kashani, A.; Golzardi, F.; Gholamhoseini, M.; Mehrnia, M. Effect of pre-sowing and nitrogen application on forage quality of silage corn. Agron. Res. 2017, 15, 011–023. [Google Scholar]
- Hussaini, M.A.; Ogunlela, V.B.; Ramalan, A.A.; Falaki, A.M. Mineral composition of dry season maize (Zea mays L.) in response to varying levels of nitrogen, phosphorus and irrigation at Kadawa, Nigeria. World J. Agric. Sci. 2008, 4, 775–780. [Google Scholar]
- Saini, A. Forage quality of sorghum (Sorghum bicolor) as influenced by irrigation, nitrogen levels and harvesting stage. Indian J. Sci. Res. 2012, 3, 67. [Google Scholar]
- Mohammadi, A.; Besharat, S.; Abbasi, F. Effects of irrigation and fertilization management on reducing nitrogen losses and increasing corn yield under furrow irrigation. Agric. Water Manag. 2019, 213, 1116–1129. [Google Scholar] [CrossRef]
- Qi, D.; Hu, T.; Liu, T. Biomass accumulation and distribution, yield formation and water use efficiency responses of maize (Zea mays L.) to nitrogen supply methods under partial root-zone irrigation. Agric. Water Manag. 2020, 230, 105981. [Google Scholar] [CrossRef]
- Wang, G.Y.; Hu, Y.X.; Liu, Y.X.; Ahmad, S.; Zhou, X.B. Effects of supplement irrigation and nitrogen application levels on soil carbon–nitrogen content and yield of one-year double cropping maize in subtropical region. Water 2021, 13, 1180. [Google Scholar] [CrossRef]
- Guo, S.; Arshad, A.; Yang, L.; Qin, Y.; Mu, X.; Mi, G. Comparative transcriptome analysis reveals common and developmental stage-specific genes that respond to low nitrogen in maize leaves. Plants 2022, 11, 1550. [Google Scholar] [CrossRef] [PubMed]
- Ahmad, F.; Sundari, R.S.; Ahmad, J.; Arshad, A. The financial analysis of nitrogen fertilizers and planting systems and its implications on maize agribusiness: Evidence from Peshawar, Pakistan. J. Socioecon. Dev. 2021, 4, 145–155. [Google Scholar] [CrossRef]
- Flynn, N.E.; Comas, L.H.; Stewart, C.E.; Fonte, S.J. High N availability decreases N uptake and yield under limited water availability in maize. Sci. Rep. 2023, 13, 14269. [Google Scholar] [CrossRef]
- Li, Y.; Yin, Y.; Zhao, Q.; Wang, Z. Changes of glutenin subunits due to water–nitrogen interaction influence size and distribution of glutenin macropolymer particles and flour quality. Crop Sci. 2011, 51, 2809–2819. [Google Scholar] [CrossRef]
- Pandey, R.K.; Maranville, J.W.; Admou, A. Deficit irrigation and nitrogen effects on maize in a Sahelian environment: I. Grain yield and yield components. Agric. Water Manag. 2000, 46, 1–13. [Google Scholar] [CrossRef]
- Schirrmacher, V. Less can be more: The hormesis theory of stress adaptation in the global biosphere and its implications. Biomedicines 2021, 9, 293. [Google Scholar] [CrossRef]
- Song, Y.; Li, J.; Liu, M.; Meng, Z.; Liu, K.; Sui, N. Nitrogen increases drought tolerance in maize seedlings. Funct. Plant Biol. 2019, 46, 350–359. [Google Scholar] [CrossRef]
- Wang, C.; Liu, W.; Li, Q.; Ma, D.; Lu, H.; Feng, W.; Xie, Y.; Zhu, Y.; Guo, T. Effects of different irrigation and nitrogen regimes on root growth and its correlation with above-ground plant parts in high-yielding wheat under field conditions. Field Crops Res. 2014, 165, 138–149. [Google Scholar] [CrossRef]
- Thapa, B.; Awal, R.; Fares, A.; Veettil, A.; Elhassan, A.; Rahman, A.; Melaku, N.; Woldesenbet, S. Positive sweet corn response with selected climate-smart agricultural practices. Agrosystems Geosci. Environ. 2024, 7, e70011. [Google Scholar] [CrossRef]
- Vinoth, P.; Selvi, B.; Senthil, N.; Iyanar, K.; Jeyarani, S.; Santhiya, V. Relationship between Yield and Yield Contributing Traits in Sorghum [Sorghum bicolor (L) Moench]. 2021. Available online: https://journalijpss.com/index.php/IJPSS/article/view/1583 (accessed on 13 May 2021).
- Deshmukh, S.B.; Bagade, A.B.; Choudhari, A.K. Correlation and path analysis studies among Rabi sorghum (Sorghum bicolor L. Moench) mutants. Int. J. Curr. Microbiol. App. Sci 2018, 6, 1014–1020. [Google Scholar]
- Tiliye, A.; Alemayehu, S. Correlation and Path Coefficient Analysis for Agronomical Traits of Sorghum [Sorghum bicolor (L.) Moench] Genotypes Under Drought Stress Area. Int. J. Genet. Genom. 2024, 12, 117–126. [Google Scholar] [CrossRef]
- Totre, A.S.; Jadhav, A.S.; Parihar, N.N.; Shinde, M.S.; Kute, N.S.; Dalvi, U.S.; Patil, V.R. Combining ability studies in post rainy sorghum by using the line x tester analysis. Pharma Innov. 2021, 10, 1197–1205. [Google Scholar]
- Ciampitti, I.A.; Prasad, P.V. Sorghum: State of the Art and Future Perspectives; Wiley: Hoboken, NJ, USA, 2020. [Google Scholar]
- Tonapi, V.A.; Talwar, H.S.; Are, A.K.; Bhat, B.V.; Reddy, C.R.; Dalton, T.J. (Eds.) Sorghum in the 21st Century: Food-Fodder-Feed-Fuel for a Rapidly Changing World; Springer: Singapore, 2020. [Google Scholar]
- Sauer, S.M.; Johnson, J.J.; McMaster, G.S.; Vigil, M.F. Agronomic factors affecting dryland grain sorghum maturity and production in Northeast Colorado. Agron. J. 2014, 106, 2001–2012. [Google Scholar] [CrossRef]






| SOV | df | Plant Height | Number of Leaves | Flowering Percentage | Panicle Length | Maturity Rating | Biomass | Yield |
|---|---|---|---|---|---|---|---|---|
| Year (Y) | 1 | 0.2191 | 0.0000 | 0.0000 | 0.0008 | 0.4306 | 0.0079 | 0.3411 |
| Irrigation (I) | 3 | 0.0000 | 0.0000 | 0.0000 | 0.0000 | 0.0000 | 0.0000 | 0.0000 |
| Nitrogen (N) | 3 | 0.0013 | 0.0000 | 0.0000 | 0.0000 | 0.7807 | 0.0000 | 0.0000 |
| Y × I | 3 | 0.0031 | 0.0053 | 0.0000 | 0.4611 | 0.0000 | 0.0000 | 0.0000 |
| Y × N | 3 | 0.3185 | 0.2863 | 0.0992 | 0.0066 | 0.1577 | 0.0019 | 0.0544 |
| I × N | 9 | 0.6227 | 0.6271 | 0.3637 | 0.4716 | 0.3048 | 0.0000 | 0.2665 |
| Y × I × N | 9 | 0.7302 | 0.0654 | 0.0056 | 0.0979 | 0.9926 | 0.0181 | 0.1418 |
| Factors | Plant Height (cm) | Number of Leaves | Panicle Length (cm) | Flowering Head (%) | Visual Maturity Rating (%) | Biomass (t/ha) | |
|---|---|---|---|---|---|---|---|
| Year | 2023 | 55.54 a | 8.98 b | 24.14 b | 38.09 b | 53.46 a | 2.87 a |
| 2024 | 53.94 a | 10.40 a | 25.18 a | 54.95 a | 55.35 a | 2.60 b | |
| Irrigation Level | I0 | 47.611 b | 8.54 c | 22.54 c | 17.10 b | 22.13 c | 2.09 b |
| I75 | 55.88 a | 9.33 b | 23.79 b | 14.77 b | 36.54 b | 2.40 b | |
| I100 | 57.40 a | 10.63 b | 25.73 a | 78.15 a | 77.29 a | 3.21 a | |
| I125 | 58.06 a | 10.25 a | 26.60 a | 76.05 a | 81.67 a | 3.25 a | |
| Nitrogen Level | N0 | 50.20 b | 8.96 b | 22.34 b | 29.56 b | 53.63 a | 2.01 c |
| N90 | 55.97 a | 9.96 a | 25.06 a | 53.56 a | 55.17 a | 2.79 b | |
| N180 | 55.50 a | 9.96 a | 25.30 a | 55.42 a | 52.83 a | 2.96 ab | |
| N360 | 57.29 a | 9.88 a | 25.97 a | 47.53 a | 56.00 a | 3.18 a | |
Disclaimer/Publisher’s Note: The statements, opinions and data contained in all publications are solely those of the individual author(s) and contributor(s) and not of MDPI and/or the editor(s). MDPI and/or the editor(s) disclaim responsibility for any injury to people or property resulting from any ideas, methods, instructions or products referred to in the content. |
© 2025 by the authors. Licensee MDPI, Basel, Switzerland. This article is an open access article distributed under the terms and conditions of the Creative Commons Attribution (CC BY) license (https://creativecommons.org/licenses/by/4.0/).
Share and Cite
Thapa, B.; Awal, R.; Fares, A.; Veettil, A.V.; Elhassan, A.; Rahman, A. Optimized Irrigation and Nitrogen Fertilization Enhance Sorghum Yield and Resilience in Drought-Prone Regions. Plants 2025, 14, 2913. https://doi.org/10.3390/plants14182913
Thapa B, Awal R, Fares A, Veettil AV, Elhassan A, Rahman A. Optimized Irrigation and Nitrogen Fertilization Enhance Sorghum Yield and Resilience in Drought-Prone Regions. Plants. 2025; 14(18):2913. https://doi.org/10.3390/plants14182913
Chicago/Turabian StyleThapa, Binita, Ripendra Awal, Ali Fares, Anoop Valiya Veettil, Almoutaz Elhassan, and Atikur Rahman. 2025. "Optimized Irrigation and Nitrogen Fertilization Enhance Sorghum Yield and Resilience in Drought-Prone Regions" Plants 14, no. 18: 2913. https://doi.org/10.3390/plants14182913
APA StyleThapa, B., Awal, R., Fares, A., Veettil, A. V., Elhassan, A., & Rahman, A. (2025). Optimized Irrigation and Nitrogen Fertilization Enhance Sorghum Yield and Resilience in Drought-Prone Regions. Plants, 14(18), 2913. https://doi.org/10.3390/plants14182913

