Influencing Factors and Adaptation Strategies of Stoichiometric Characteristics of Main Shrubs and Herbs in Karst Area at Microhabitat Scale
Abstract
1. Introduction
2. Results
2.1. Nutrient Contents of Different Components of Main Shrubs and Herbs in Karst Forests
2.1.1. Nutrient Contents of Various Components of Main Shrub Plants in Karst Forests Under Different Microhabitats
2.1.2. Nutrient Contents of Various Components of the Main Herb Plants in Karst Forests Under Different Microhabitats
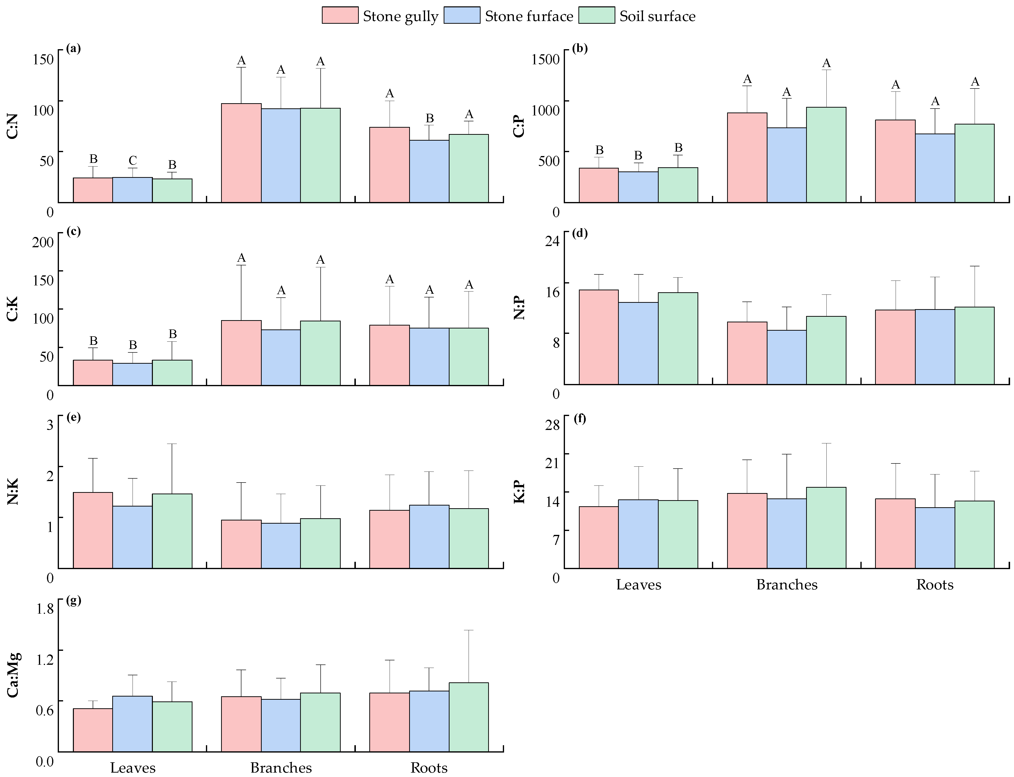
2.2. Stoichiometric Characteristics of Different Components of Main Shrubs and Herbs in Karst Forests
2.2.1. Stoichiometric Characteristics of Various Components of Main Shrub Plants in Karst Forests Under Different Microhabitats
2.2.2. Stoichiometric Characteristics of Various Components of the Main Herb Plants in Karst Forests Under Different Microhabitats
2.3. Correlation Analysis Between Nutrient Contents and Stoichiometric Characteristics of Different Components of Main Shrubs and Herbs in Karst Forests
2.4. Structural and Functional Traits of Leaves of Main Shrubs and Herbs in Karst Forests
2.5. Effects of Environmental Factors on Stoichiometric Characteristics of Different Components of the Main Shrubs and Herbs in Karst Forests
2.5.1. Redundancy Analysis
2.5.2. Variance Partitioning Analysis
3. Discussion
3.1. Distribution Characteristics of Nutrient Contents and Stoichiometric Ratios in Different Components of Shrubs and Herbs in Karst Forests at Microhabitat Scale
3.2. Coupling Relationship Between Nutrient Content and Stoichiometric Characteristics of Different Components of Shrubs and Herbs in Karst Forests at Microhabitat Scale
3.3. Factors Affecting the Stoichiometric Characteristics of Different Components of the Dominant Shrubs and Herbs in Karst Forests and Their Adaptation Mechanisms
4. Materials and Methods
4.1. Study Area
4.2. Study Methods
4.2.1. Plot Setting
4.2.2. Microhabitat Division
4.2.3. Sampling
- Leaves: Collected from August to October 2020. Using branch scissors (plant height ≤ 2 m) or high branch scissors (plant height > 2 m), the branches with good growth in the east, south, west, and north directions and the upper, middle, and lower parts of each shrub plant were cut, respectively, and the leaves with complete extension, no disease, and no petiole on the branches were picked. The picked leaves were fully and evenly mixed, and 10–20 samples were retained by the quartering method. The samples were packaged with a self-sealing bag number and placed in a portable refrigerator for use. Each plant was a sample, and all traits were measured independently without sample mixing. The same is true for branch, root, and soil samples.
- Branches: The trunks, lateral branches, and sprouting branches of each shrub plant were intercepted by branch scissors or high branch scissors, and the excess leaves and terminal parts were removed. After being fully mixed, samples of no less than 100 g were retained by the quartering method, numbered, and packaged with self-sealing bags and placed in a portable refrigerator for later use.
- Roots: Tall shrubs were excavated by an in situ layered excavation method. After removing the litter layer on the surface, a stainless steel root shovel was used for layer by layer excavation along the root direction by a progressive stripping method, and the depth was excavated to 30–50 cm. The complete root segment with a length of 5–8 cm was cut directly by a branch shear. For dwarf shrubs and herbs, we used the whole root excavation method to collect root samples. Samples were packaged with a self-sealing bag number and placed in a portable refrigerator for later use.
- Soil: The surface litter and gravel around the roots of each plant were removed, and the surface soil at a depth of 0–20 cm was collected with a soil sampler. The soil around the roots of the same plant was fully mixed, and impurities such as impurities and roots were removed. A sample of no less than 500 g was retained by the quartering method, and the soil bag was numbered and packaged and placed in a portable refrigerator for later use.
4.2.4. Determination of Plant Structural and Functional Traits
- Plant structural traits:
- (1)
- Leaf fresh weight (LFW, g): Five representative leaf samples were selected for each individual plant, and they were weighed using an electronic balance with an accuracy of 1/10,000.
- (2)
- Leaf thickness (LT, mm): Three points were evenly selected along the main vein of the leaf using a digital vernier caliper and measured separately.
- (3)
- Leaf turgid weight (LTW, g): The leaves were soaked in clean water for 24 h in a dark environment to fully absorb water and saturate. After the water on the surface of the leaves was quickly removed with absorbent paper, they were weighed using an electronic balance.
- (4)
- Leaf area (LA, cm2): Leaf area was measured using a portable leaf area meter (LI–3100, LI–Cor Inc., Lincoln, NE, USA) [48].
- (5)
- Leaf dry weight (LDW, g): The leaves were dried in an oven at 65 °C for 72 h until a constant weight was reached, and they were weighed using an electronic balance.
- (6)
- Plant functional traits:
- The Pn, Tr, Gs, and Ci of plants were measured in vivo using a Li–6400 portable photosynthesis system (LI–Cor Inc., Lincoln, NE, USA) [50]. We selected sunny weather and 9:00–11:00 a.m. every day for the dominant shrubs and herbs, and we selected fully expanded, healthy, mature, and sunny leaves as the measurement object. The open air path mode was used in the measurement. The air flow rate was set at 500 cm3·min−1, the atmospheric temperature was controlled at 26 ± 2 °C, the relative humidity of the air was maintained at 50–70%, the CO2 concentration was set at 400 ± 10 μmol·mol−1, and the light intensity was set at 1200 μmol·m−2·s−1 [51]. Each plant was measured every 1 h. Three leaves were selected for each measurement, and each leaf was measured three times.
4.2.5. Sample Processing and Determination
4.2.6. Data Processing and Analysis
5. Conclusions
Supplementary Materials
Author Contributions
Funding
Data Availability Statement
Acknowledgments
Conflicts of Interest
Abbreviations
| SLA | Specific leaf area |
| LDMC | Leaf dry matter content |
| LWC | Leaf water content |
| LTD | Leaf tissue density |
| Pn | Net photosynthetic rate |
| Tr | Transpiration rate |
| Gs | Stomatal conductance |
| Ci | Intercellular CO2 concentration |
References
- Hessen, D.O.; Elser, J.J.; Sterner, R.W.; Urabe, J. Ecological stoichiometry: An elementary approach using basic principles. Limnol. Oceanogr. 2013, 58, 2219–2236. [Google Scholar] [CrossRef]
- Song, Z.L.; Liu, H.Y.; Zhao, F.J.; Xu, C.Y. Ecological stoichiometry of N:P:Si in China’s grasslands. Plant Soil 2014, 380, 165–179. [Google Scholar] [CrossRef]
- Wang, B.R.; Zeng, Q.C.; An, S.S.; Zhang, H.X.; Bai, X.J. C:N:P stoichiometry characteristics of plants-litter-soils in two kind types of natural secondary forest on the Ziwuling region of Loess Plateau. Acta Ecol. Sin. 2017, 37, 5461–5473. [Google Scholar] [CrossRef]
- Guo, R.Q.; Xiong, D.C.; Song, T.T.; Cai, Y.Y.; Chen, T.T.; Chen, W.Y.; Zheng, X.; Chen, G.S. Effects of simulated nitrogen deposition on stoichiometry of fine roots of Chinese fir (Cunninghamia lanceolata) seedlings. Acta Ecol. Sin. 2018, 38, 6101–6110. [Google Scholar] [CrossRef]
- Sun, X.; Kang, H.Z.; Kattge, J.; Gao, Y.; Liu, C.J. Biogeographic patterns of multi-element stoichiometry of Quercus variabilis leaves across China. Can. J. For. Res. 2015, 45, 1827–1834. [Google Scholar] [CrossRef]
- Liu, Y.; Liu, Q.L.; Wang, T.L.; Fang, S.Z. Leaf nitrogen and phosphorus stoichiometry of Cyclocarya paliurus across China. Forests 2018, 9, 771. [Google Scholar] [CrossRef]
- Aerts, R.; Chapin III, F.S. The mineral nutrition of wild plants revisited: A re-evaluation of processes and patterns. Adv. Ecol. Res. 1999, 30, 1–67. [Google Scholar]
- Zhu, S.Q. Ecological Research on Karst Forest (I); Guizhou Science and Technology Press: Guiyang, China, 1993; Volume 76, pp. 52–62. [Google Scholar]
- Zhao, W.J.; Wu, P.; Cui, Y.C.; Zhou, H.; Liu, N.; Yang, Y.Y. Effects of soil nutrients on leaf functional traits of two shrubs in Maolan karst region. Guizhou For. Sci. Technol. 2025, 53, 1–7. [Google Scholar] [CrossRef]
- Qin, S.T.; Long, C.; Wu, B.L. Study on niche of dominant shrub populations in karst forest in Maolan Nature Reserve, Guizhou Province. For. Resour. Manag. 2018, 2, 58–64. [Google Scholar] [CrossRef]
- Yang, Y.C.; Da, L.J. A brief review of studies on differentiation of vegetation pattern along a topographic gradient in hilly regions. J. Plant Ecol. 2006, 30, 504–513. [Google Scholar][Green Version]
- Kuang, Y.Y.; Fan, T. Differences and influencing factors of soil moisture in karst microhabitats in southeast Yunnan. J. Zhejiang AF Univ. 2020, 37, 531–539. [Google Scholar] [CrossRef]
- Liu, F.; Wang, S.J.; Luo, H.B.; Liu, Y.S.; Liu, H.Y. Micro-habitats in karst forest ecosystem and variability of soils. Acta Pedol. Sin. 2008, 45, 1055–1062. [Google Scholar]
- Jing, G.H.; Hu, T.M.; Liu, J.; Cheng, J.M.; Li, W. Biomass estimation, nutrient accumulation, and stoichiometric characteristics of dominant rree Species in the semi-arid region on the Loess Plateau of China. Sustainability 2020, 12, 339. [Google Scholar] [CrossRef]
- Dong, C.G.; Qiao, Y.N.; Cao, Y.; Chen, Y.M.; Wu, X.; Xue, W.Y. Seasonal variations in carbon, nitrogen, and phosphorus stoichiometry of a Robinia pseudoacacia plantation on the Loess Hilly Region, China. Forests 2021, 12, 214. [Google Scholar] [CrossRef]
- Wu, P.; Zhou, H.; Zhao, W.J.; Yang, G.N.; Cui, Y.C.; Hou, Y.J.; Tan, C.J.; Zhou, T.; Ding, F.J. Stoichiometric characteristics and influencing factors of different components of karst forest plants at the microtopography and microhabitat scale in Maolan National Nature Reserve, Guizhou, China. Forests 2025, 16, 317. [Google Scholar] [CrossRef]
- Luo, Y.; Lian, C.M.; Gong, L.; Mo, C.N. Leaf stoichiometry of halophyte shrubs and its relationship with soil factors in the Xinjiang desert. Forests 2022, 13, 2121. [Google Scholar] [CrossRef]
- Wu, J.; Sheng, M.Y.; Xiao, H.L.; Guo, C.; Wang, L.J. Fine root architecture of adaptive plants and its correlation with nutrient stoichiometric characteristics of fine root and rhizosphere soils in karst rocky desertification environments, SW China. Acta Ecol. Sin. 2022, 42, 677–687. [Google Scholar] [CrossRef]
- Yu, Y.F.; Wei, J.H.; Hu, J.M.; Zhang, J.H.; Li, T.T.; Zheng, F.H.; Zhang, Y.; Su, L.R.; He, T.G. Nitrogen and phosphorus stoichiometric homeostasis in different organs of shrubs and herbs in degraded vegetation communities in the karst area of northwestern Guangxi. Acta Ecol. Sin. 2024, 44, 5367–5376. [Google Scholar] [CrossRef]
- Luo, Y.; Gong, L. Stoichiometric characteristics in root, stem and leaf of Phragmites australis in different habitats in the southern marginal zone of Tarim Basin. Chin. J. Ecol. 2016, 35, 684–691. [Google Scholar] [CrossRef]
- Li, X.; Li, M.X.; Cen, X.Y.; Xu, L.; He, N.P. High precipitation rates increase potassium density in plant communities in the Tibetan Plateau. Commun. Earth Environ. 2023, 4, 368. [Google Scholar] [CrossRef]
- Xiao, Z.B. Element Stoichiometry of Seven Common Woody Plants and Its Association with Habitat Conditions in the Karst Forests of Maolan. Master’s Thesis, Guizhou Normal University, Guiyang, China, 2023. [Google Scholar]
- Sterner, R.W.; Elser, J.J. Ecological Stoichiometry: The Biology of Elements from Molecules to the Biosphere; Princeton University Press: Princeton, NJ, USA, 2002; pp. 167–196. [Google Scholar]
- Luo, X.Q.; Zhang, G.L.; Du, X.L.; Wang, S.J.; Yang, H.Y.; Huang, T.Z. Characteristics of element contents and ecological stoichiometry in leaves of common calcicole species in maolan karst forest. Ecol. Environ. Sci. 2014, 23, 1121–1129. [Google Scholar]
- Zhao, Y.; Yang, Y.Q.; Ding, Y.L.; Zhang, H.; Xie, Y.J.; Zhao, C.Z.; Liu, L.C.; Wang, P.C. Plant abiotic stress biology: A decade update. Plant Physiol. J. 2024, 60, 248–270. [Google Scholar] [CrossRef]
- Neugebauer, K.; Broadley, M.R.; El Serehy, H.A.; George, T.S.; McNicol, J.W.; Moraes, M.F.; White, P.J. Variation in the angiosperm ionome. Physiol. Plant. 2018, 163, 306–322. [Google Scholar] [CrossRef]
- Wu, P.; Zhou, H.; Cui, Y.C.; Zhao, W.J.; Hou, Y.J.; Tan, C.J.; Yang, G.N.; Ding, F.J. Stoichiometric characteristics of leaf, litter and soil during vegetation succession in Maolan National Nature Reserve, Guizhou, China. Sustainability 2022, 14, 16517. [Google Scholar] [CrossRef]
- Li, J.Q.; Guo, Y.L.; Li, D.X.; Wang, B.; Xiang, W.S.; Huang, F.Z.; Lu, F.; Wen, S.J.; Li, J.X.; Lu, S.H.; et al. Spatial distribution characteristics of soil potassium, calcium, and magnesium and their influencing factors in a northern tropical karst seasonal rainforest in southwestern Guangxi. Biodivers. Sci. 2023, 31, 178–189. [Google Scholar] [CrossRef]
- Xiang, Y.X.; Pan, P.; Ouyang, X.Z.; Zang, H.; Rao, J.F. The chemical stoichiometry characteristics of plant-soil carbon and nitrogen in subtropical Pinus massoniana natural forests. Sci. Rep. 2024, 14, 5031. [Google Scholar] [CrossRef]
- Elser, J.J.; Acharya, K.; Kyle, M.; Cotner, J.; Makino, W.; Markow, T.; Watts, T.; Hobbie, S.; Fagan, W.; Schade, J.; et al. Growth rate-stoichiometry couplings in diverse biota. Ecol. Lett. 2003, 6, 936–943. [Google Scholar] [CrossRef]
- Zou, Z.G.; Zeng, F.P.; Zeng, Z.X.; Du, H.; Tang, H.; Zhang, H. The variation in the stoichiometric characteristics of the leaves and roots of karst shrubs. Forests 2021, 12, 852. [Google Scholar] [CrossRef]
- Hirschi, K.D. The calcium conundrum. Both versatile nutrient and specific signal. Plant Physiol. 2004, 136, 2438–2442. [Google Scholar] [CrossRef] [PubMed]
- Zhang, Q.F.; Shi, Y.T.; Hu, H.; Shi, Y.Z.; Tang, D.D.; Ruan, J.Y.; Fernie, A.R.; Liu, M.Y. Magnesium promotes tea plant growth via enhanced glutamine synthetase-mediated nitrogen assimilation. Plant Physiol. 2023, 192, 1321–1337. [Google Scholar] [CrossRef]
- Huang, T.L.; Tang, L.X.; Chen, L.; Zhang, Q.Y. Root architecture and ecological adaptation strategy of three shrubs in karst area. Sci. Soil Water Conserv. 2019, 17, 89–94. [Google Scholar] [CrossRef]
- Ji, F.T.; Li, N.; Deng, X. Calcium contents and high calcium adaptation of plants in karst areas of China. Chin. J. Plant Ecol. 2009, 33, 926–935. [Google Scholar]
- Hao, Y.S.; Jiang, C.C.; Ying, X.; Wang, X.L.; Fang, C.; Lu, J.W. A review on the mechanism of potassium uptake and regulation in plants. Chin. Agric. Sci. Bull. 2011, 27, 6–10. [Google Scholar]
- An, G.Y.; Jiang, J.; Zhou, Y.; Dong, F.C.; Lu, D.; Song, C.P. Superoxide anion regulates the K+ channel activity and stomatal movement by increasing guard cell cytosolic free calcium in Vicia faba L. Acta Biophys. Sin. 2004, 20, 143–149. [Google Scholar]
- Sardans, J.; Janssens, I.A.; Ciais, P.; Obersteiner, M.; Peñuelas, J. Recent advances and future research in ecological stoichiometry. Perspect. Plant Ecol. 2021, 50, 125611. [Google Scholar] [CrossRef]
- Tian, D.; Yan, Z.B.; Ma, S.H.; Ding, Y.H.; Luo, Y.K.; Chen, Y.H.; Du, E.Z.; Han, W.X.; Kovacs, E.D.; Shen, H.H.; et al. Family-level leaf nitrogen and phosphorus stoichiometry of global terrestrial plants. Sci. China Life Sci. 2019, 62, 1047–1057. [Google Scholar] [CrossRef]
- Vallicrosa, H.; Sardans, J.; Maspons, J.; Zuccarini, P.; Fernandez-Martinez, M.; Bauters, M.; Goll, D.S.; Ciais, P.; Obersteiner, M.; Janssens, I.A.; et al. Global maps and factors driving forest foliar elemental composition: The importance of evolutionary history. New Phytol. 2022, 233, 169–181. [Google Scholar] [CrossRef]
- Zhang, S.B.; Zhang, J.L.; Slik, J.W.F.; Cao, K.F. Leaf element concentrations of terrestrial plants across China are influenced by taxonomy and the environment. Global Ecol. Biogeogr. 2012, 21, 809–818. [Google Scholar] [CrossRef]
- Wu, P.; Yang, W.B.; Cui, Y.C.; Zhao, W.J.; Shu, D.Y.; Hou, Y.J.; Ding, F.J. Characteristics of sap flow and correlation analysis with environmental factors of Acer wangchii in the karst area. Acta Ecol. Sin. 2017, 37, 7552–7567. [Google Scholar] [CrossRef]
- Liu, Y.F.; Yang, J.H.; Liu, J.Q.; Lu, H.F.; Ge, X.Y.; Wang, Y.H.; Lin, Z.Y.; Song, B.J.; Duan, M. Comparison of plant phosphorus content and soil inorganic phosphorus classification characteristics between karst and non-karst forests. J. South. Agric. 2023, 54, 110–118. [Google Scholar] [CrossRef]
- Xu, H.R.; Liu, W.D.; He, Y.H.; Zou, D.; Zhou, J.H.; Zhang, J.Y.; Bai, Y. Plant-root microbiota interactions in nutrient utilization. Front. Agric. Sci. Eng. 2025, 12, 16–26. [Google Scholar] [CrossRef]
- Piao, H.C.; Zhu, J.M.; Yu, D.L.; Ran, J.C. The controlling factors of C4-Grass C/N ratios and their relationships with soil organic carbon accumulation. Quat. Sci. 2004, 24, 621–629. [Google Scholar]
- Wu, P.; Cui, Y.C.; Zhao, W.J.; Hou, Y.J.; Zhu, J.; Ding, F.J.; Yang, W.B. Leaf stoichiometric characteristics of 68 typical plant species in Maolan National Nature Reserve, Guizhou, China. Acta Ecol. Sin. 2020, 40, 5063–5080. [Google Scholar] [CrossRef]
- Zhu, S.Q. Ecological Research on Karst Forest (II); Guizhou Science and Technology Press: Guiyang, China, 1997; pp. 160–172. [Google Scholar]
- Yu, Y.H.; Zhong, X.P.; Zheng, W.; Chen, Z.X.; Wang, J.X. Species diversity, functional traits, stoichiometry and cor-relation of plant community in different succession stages of karst forest. Acta Ecol. Sin. 2021, 41, 2408–2417. [Google Scholar] [CrossRef]
- Xu, M.Z.; Zhao, H.X.; Li, C.; Li, M.L.; Tian, Y.; Liu, P.; Zha, T.S. Characteristics of seasonal leaf trait network and its drivers in Artemisia ordosica in the Mau Us Sandy Land. Chin. J. Plant Ecol. 2024, 48, 1650–1665. [Google Scholar] [CrossRef]
- Zhang, J.Y.; Cun, Z.; Shuang, S.P.; Hong, J.; Meng, Z.G.; Chen, J.W. Steady-state and dynamic photosynthetic character-istics of shade-tolerant species Panax notoginseng in response to nitrogen levels. Chin. J. Plant Ecol. 2023, 47, 331–347. [Google Scholar] [CrossRef]
- Liu, M.; Wang, Y.; Li, Q.; Xiao, W.; Song, X. Photosynthesis, ecological stoichiometry, and non-Structural carbohy-drate response to simulated nitrogen deposition and phosphorus addition in Chinese fir forests. Forests 2019, 10, 1068. [Google Scholar] [CrossRef]
- LY/T 1210–1275–1999; State Forestry Administration. Forest Industry Standard of the People’s Republic of China—Forest Soil Analysis Method. Standards Press of China: Beijing, China, 1999.
- Zhang, K.; He, M.Z.; Li, X.R.; Tan, H.J.; Gao, Y.H.; Li, G.; Han, G.J.; Wu, Y.Y. Foliar carbon, nitro-gen and phosphorus stoichiometry of typical desert plants across the Alashan Desert. Acta Ecol. Sin. 2014, 34, 6538–6547. [Google Scholar] [CrossRef]
- Liu, J.; Yang, H.; Zhou, L.; Zhang, S.; Chen, J.; Wang, X.; Wu, S.; Gong, Y.; Zhang, G.; Zhang, W.; et al. Fertilization Improves the Yield of Sapindus saponaria by Affecting Leaf–Soil–Microbial C–N–P Content and Stoichiometry. Plants 2025, 14, 1360. [Google Scholar] [CrossRef] [PubMed]
- Yi, Y.; Qiu, K.Y.; Zhu, Y.C.; Xie, Y.Z.; Liu, W.S.; Huang, Y.Y.; Cui, L.Y.; Wang, S.Y. Soil ecological stoichiometric and its influencing factors of bulk soil and ectorhizosphere soil in Picea crassifolia forest along an elevation gradient in the middle of Helan Mountains. Acta Ecol. Sin. 2023, 43, 7974–7986. [Google Scholar] [CrossRef]











| Plant Forms | Microhabitats | SLA (cm2·g−1) | LDMC (g·g−1) | LWC (g·g−1) | LTD (g·cm−3) |
|---|---|---|---|---|---|
| Shrubs | Stone gully | 166.70 ± 66.90 | 0.3775 ± 0.1159 A | 0.5931 ± 0.1180 | 0.0495 ± 0.0216 |
| Stone surface | 177.11 ± 65.66 | 0.3491 ± 0.1049 A | 0.6119 ± 0.0945 | 0.0464 ± 0.0211 | |
| Soil surface | 180.03 ± 58.78 | 0.3343 ± 0.0928 A | 0.6317 ± 0.0740 | 0.0451 ± 0.0155 | |
| Herbs | Stone gully | 222.54 ± 131.92 | 0.2146 ± 0.0677 B | 0.7533 ± 0.0952 | 0.0478 ± 0.0284 |
| Stone surface | 294.70 ± 179.94 | 0.1985 ± 0.0783 B | 0.7444 ± 0.1557 | 0.0350 ± 0.0224 | |
| Soil surface | 197.40 ± 99.95 | 0.2206 ± 0.0458 B | 0.7170 ± 0.1046 | 0.0465 ± 0.0237 |
| Plant Forms | Microhabitats | Pn/(µmol·m−2·s−1) | Gs/(mol·m−2·s−1) | Ci/(µmol·mol−1) | Tr/(mmol·m−2·s−1) |
|---|---|---|---|---|---|
| Shrubs | Stone gully | 4.6421 ± 1.0079 A | 0.0698 ± 0.0464 | 265.13 ± 60.45 | 0.7573 ± 0.1932 |
| Stone surface | 4.8628 ± 1.3556 | 0.1149 ± 0.1242 | 276.77 ± 89.60 | 0.9143 ± 0.4548 | |
| Soil surface | 4.7126 ± 1.2368 A | 0.0940 ± 0.0720 | 286.34 ± 74.36 | 0.8294 ± 0.2187 | |
| Herbs | Stone gully | 2.5062 ± 1.1678 B | 0.0599 ± 0.0691 | 258.14 ± 91.04 | 0.5350 ± 0.3006 |
| Stone surface | 3.0908 ± 1.4858 | 0.1088 ± 0.0986 | 295.84 ± 101.43 | 0.8104 ± 0.4147 | |
| Soil surface | 2.3266 ± 1.8120 B | 0.0596 ± 0.0792 | 273.94 ± 69.17 | 0.5603 ± 0.3270 |
Disclaimer/Publisher’s Note: The statements, opinions and data contained in all publications are solely those of the individual author(s) and contributor(s) and not of MDPI and/or the editor(s). MDPI and/or the editor(s) disclaim responsibility for any injury to people or property resulting from any ideas, methods, instructions or products referred to in the content. |
© 2025 by the authors. Licensee MDPI, Basel, Switzerland. This article is an open access article distributed under the terms and conditions of the Creative Commons Attribution (CC BY) license (https://creativecommons.org/licenses/by/4.0/).
Share and Cite
Wu, P.; Zhou, H.; Zhao, W.; Yang, G.; Cui, Y.; Hou, Y.; Tan, C.; Zhou, T.; Liu, R.; Ding, F. Influencing Factors and Adaptation Strategies of Stoichiometric Characteristics of Main Shrubs and Herbs in Karst Area at Microhabitat Scale. Plants 2025, 14, 2839. https://doi.org/10.3390/plants14182839
Wu P, Zhou H, Zhao W, Yang G, Cui Y, Hou Y, Tan C, Zhou T, Liu R, Ding F. Influencing Factors and Adaptation Strategies of Stoichiometric Characteristics of Main Shrubs and Herbs in Karst Area at Microhabitat Scale. Plants. 2025; 14(18):2839. https://doi.org/10.3390/plants14182839
Chicago/Turabian StyleWu, Peng, Hua Zhou, Wenjun Zhao, Guangneng Yang, Yingchun Cui, Yiju Hou, Chengjiang Tan, Ting Zhou, Run Liu, and Fangjun Ding. 2025. "Influencing Factors and Adaptation Strategies of Stoichiometric Characteristics of Main Shrubs and Herbs in Karst Area at Microhabitat Scale" Plants 14, no. 18: 2839. https://doi.org/10.3390/plants14182839
APA StyleWu, P., Zhou, H., Zhao, W., Yang, G., Cui, Y., Hou, Y., Tan, C., Zhou, T., Liu, R., & Ding, F. (2025). Influencing Factors and Adaptation Strategies of Stoichiometric Characteristics of Main Shrubs and Herbs in Karst Area at Microhabitat Scale. Plants, 14(18), 2839. https://doi.org/10.3390/plants14182839

