Evaluation of Peanut Physiological Responses to Heat and Drought Stress Across Growth Chamber and Field Environments
Abstract
1. Introduction
2. Materials and Methods
2.1. Plant Materials
2.2. Growth Chamber Experiment
2.3. Field Experiment
2.4. Data Collection
2.5. Statistical Analysis
3. Results
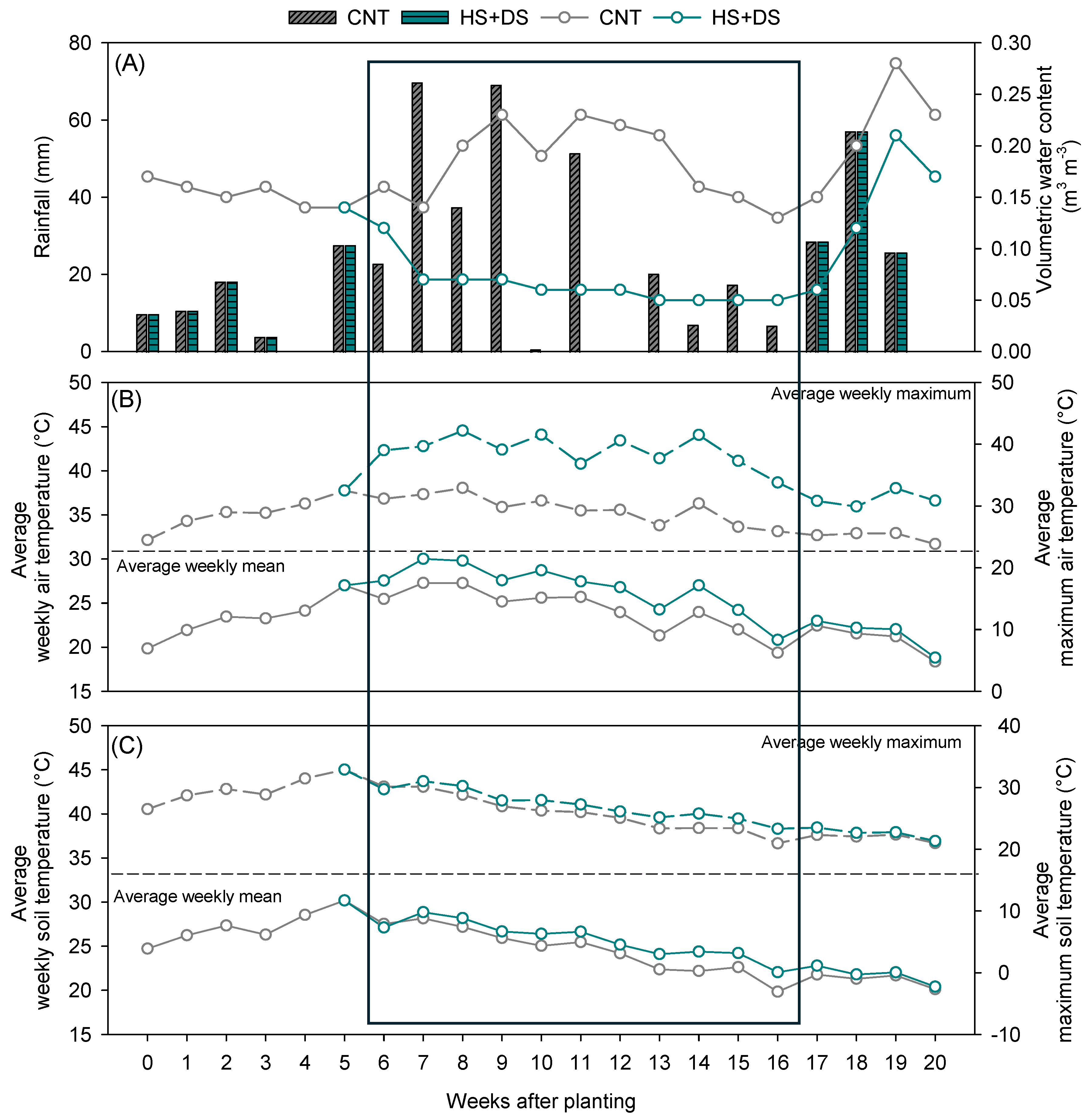
3.1. Microclimatic Conditions During the Experiments
3.2. Leaf Responses to Heat and Drought Stress Under Controlled Environment
3.3. Leaf Responses Under Field Conditions to Heat and Drought Stress
3.4. Comparative Analysis
4. Discussion
5. Conclusions
Supplementary Materials
Author Contributions
Funding
Data Availability Statement
Acknowledgments
Conflicts of Interest
References
- Hamidou, F.; Halilou, O.; Vadez, V. Assessment of Groundnut under Combined Heat and Drought Stress. J. Agron. Crop Sci. 2013, 199, 1–11. [Google Scholar] [CrossRef]
- Faye, B.; Webber, H.; Diop, M.; Mbaye, M.L.; Owusu-Sekyere, J.D.; Naab, J.B.; Gaiser, T. Potential Impact of Climate Change on Peanut Yield in Senegal, West Africa. Field Crops Res. 2018, 219, 148–159. [Google Scholar] [CrossRef]
- Balota, M. Rainout Shelter-Induced Water Deficit Negatively Impacts Peanut Yield and Quality in a Sub-Humid Environment. Peanut Sci. 2020, 47, 54–65. [Google Scholar] [CrossRef]
- Prasad, P.V.; Craufurd, P.Q.; Summerfield, R.J.; Wheeler, T.R. Effects of Short Episodes of Heat Stress on Flower Production and Fruit-set of Groundnut (Arachis hypogaea L.). J. Exp. Bot. 2000, 51, 777–784. [Google Scholar] [CrossRef]
- Prasad, P.V.; Boote, K.J.; Hartwell Allen, L., Jr.; Thomas, J.M.G. Super-Optimal Temperatures Are Detrimental to Peanut (Arachis hypogaea L.) Reproductive Processes and Yield at Both Ambient and Elevated Carbon Dioxide. Glob. Change Biol. 2003, 9, 1775–1787. [Google Scholar] [CrossRef]
- Prasad, P.V.V.; Boote, K.J.; Allen, L.H. Longevity and Temperature Response of Pollen as Affected by Elevated Growth Temperature and Carbon Dioxide in Peanut and Grain Sorghum. Environ. Exp. Bot. 2011, 70, 51–57. [Google Scholar] [CrossRef]
- Singh, D.; Balota, M.; Collakova, E.; Isleib, T.G.; Welbaum, G.E.; Tallury, S.P. Heat Stress Related Physiological and Metabolic Traits in Peanut Seedlings. Peanut Sci. 2016, 43, 24–35. [Google Scholar] [CrossRef]
- Pokhrel, S.; Kharel, P.; Pandey, S.; Botton, S.; Nugraha, G.T.; Holbrook, C.; Ozias-Akins, P. Understanding the Impacts of Drought on Peanuts (Arachis hypogaea L.): Exploring Physio-Genetic Mechanisms to Develop Drought-Resilient Peanut Cultivars. Front. Genet. 2025, 15, 1492434. [Google Scholar] [CrossRef] [PubMed]
- Pimratch, S.; Jogloy, S.; Vorasoot, N.; Toomsan, B.; Patanothai, A.; Holbrook, C.C. Relationship between Biomass Production and Nitrogen Fixation under Drought-Stress Conditions in Peanut Genotypes with Different Levels of Drought Resistance. J. Agron. Crop Sci. 2008, 194, 15–25. [Google Scholar] [CrossRef]
- Hamidou, F.; Rathore, A.; Waliyar, F.; Vadez, V. Although Drought Intensity Increases Aflatoxin Contamination, Drought Tolerance Does Not Lead to Less Aflatoxin Contamination. Field Crops Res. 2014, 156, 103–110. [Google Scholar] [CrossRef]
- Singh, D.; Balota, M.; Isleib, T.G.; Collakova, E.; Welbaum, G.E. Suitability of Canopy Temperature Depression, Specific Leaf Area, and SPAD Chlorophyll Reading for Genotypic Comparison of Peanut Grown in a Sub-Humid Environment. Peanut Sci. 2014, 41, 100–110. [Google Scholar] [CrossRef]
- Balota, M.; Sarkar, S.; Bennett, R.S.; Burow, M.D. Phenotyping Peanut Drought Stress with Aerial Remote-Sensing and Crop Index Data. Agriculture 2024, 14, 565. [Google Scholar] [CrossRef]
- Kumar, N.; Haak, D.C.; Dunne, J.C.; Balota, M. Phenotypic Dissection of Drought Tolerance in Virginia and Carolinas within a Recombinant Inbred Line Population Involving a Spanish and a Virginia-Type Peanut Lines. Agriculture 2024, 14, 908. [Google Scholar] [CrossRef]
- Beard, K.; Balota, M.; Haak, D. Pollen Viability Responses to Elevated Temperature of Five Virginia-Type Peanut (Arachis hypogaea L.) Cultivars Grown in Southeastern Virginia. In Proceedings of the ASA-CSSA-SSSA, St. Louis, MO, USA, 30 October 2023. [Google Scholar]
- Costa, M.V.J.D.; Ramegowda, Y.; Ramegowda, V.; Karaba, N.N.; Sreeman, S.M.; Udayakumar, M. Combined Drought and Heat Stress in Rice: Responses, Phenotyping and Strategies to Improve Tolerance. Rice Sci. 2021, 28, 233–242. [Google Scholar] [CrossRef]
- Bheemanahalli, R.; Vennam, R.R.; Ramamoorthy, P.; Reddy, K.R. Effects of Post-Flowering Heat and Drought Stresses on Physiology, Yield, and Quality in Maize (Zea mays L.). Plant Stress 2022, 6, 100106. [Google Scholar] [CrossRef]
- Ru, C.; Hu, X.; Chen, D.; Wang, W.; Zhen, J.; Song, T. Individual and Combined Effects of Heat and Drought and Subsequent Recovery on Winter Wheat (Triticum aestivum L.) Photosynthesis, Nitrogen Metabolism, Cell Osmoregulation, and Yield Formation. Plant Physiol. Biochem. 2023, 196, 222–235. [Google Scholar] [CrossRef] [PubMed]
- Poudel, S.; Vennam, R.R.; Sankarapillai, L.V.; Liu, J.; Reddy, K.R.; Wijewardane, N.K.; Mukhtar, M.S.; Bheemanahalli, R. Negative Synergistic Effects of Drought and Heat during Flowering and Seed Setting in Soybean. Environ. Exp. Bot. 2024, 222, 105769. [Google Scholar] [CrossRef]
- Vennam, R.R.; Beard, K.; Haak, D.; Balota, M. Assessing Leaf Wilting As a Visual Indicator of Peanut Physiology and Yield Under Combined Heat and Drought Stress. In Proceedings of the ASA-CSSA-SSSA, San Antonio, TX, USA, 10 November 2024. [Google Scholar]
- Vennam, R.R.; Balota, M. The Toll of Mid-Season Heat and Drought on Peanut Yield and Grade in Virginia. Available online: https://pubs.ext.vt.edu/content/pubs_ext_vt_edu/en/SPES/spes-672/spes-672.html (accessed on 10 April 2025).
- Zhang, Q.; Dang, P.; Chen, C.; Feng, Y.; Batchelor, W.; Lamb, M.; Sanz-Saez, A. Tolerance to Mid-Season Drought in Peanut Can Be Achieved by High Water Use Efficiency or High Efficient Use of Water. Crop Sci. 2022, 62, 1948–1966. [Google Scholar] [CrossRef]
- Prasad, P.V.V.; Kakani, V.G.; Upadhyaya, H.D. Growth and Production of Groundnut. In Soils, Plant Growth and Crop Production; Encyclopedia of Life Support Systems; EOLSS; Eolss Publishers: Oxford, UK, 2009. [Google Scholar]
- Singh, D.; Collakova, E.; Isleib, T.G.; Welbaum, G.E.; Tallury, S.P.; Balota, M. Differential Physiological and Metabolic Responses to Drought Stress of Peanut Cultivars and Breeding Lines. Crop Sci. 2014, 54, 2262–2274. [Google Scholar] [CrossRef]
- Santos, A.d.C.; Schaffer, B.; Rowland, D.; Bremgartner, M.; Moon, P.; Tillman, B.; Bassil, E. Cultivating Resilience: Use of Water Deficit to Prime Peanut Production and Improve Water Stress Tolerance. Plant Stress 2024, 14, 100637. [Google Scholar] [CrossRef]
- Moshelion, M.; Dietz, K.-J.; Dodd, I.C.; Muller, B.; Lunn, J.E. Guidelines for Designing and Interpreting Drought Experiments in Controlled Conditions. J. Exp. Bot. 2024, 75, 4671–4679. [Google Scholar] [CrossRef]
- Poorter, H.; Fiorani, F.; Pieruschka, R.; Wojciechowski, T.; van der Putten, W.H.; Kleyer, M.; Schurr, U.; Postma, J. Pampered inside, Pestered Outside? Differences and Similarities between Plants Growing in Controlled Conditions and in the Field. New Phytol. 2016, 212, 838–855. [Google Scholar] [CrossRef] [PubMed]
- Limpens, J.; Granath, G.; Aerts, R.; Heijmans, M.M.P.D.; Sheppard, L.J.; Bragazza, L.; Williams, B.L.; Rydin, H.; Bubier, J.; Moore, T.; et al. Glasshouse vs Field Experiments: Do They Yield Ecologically Similar Results for Assessing N Impacts on Peat Mosses? New Phytol. 2012, 195, 408–418. [Google Scholar] [CrossRef] [PubMed]
- Bacilio, M.; Moreno, M.; Lopez-Aguilar, D.R.; Bashan, Y. Scaling from the Growth Chamber to the Greenhouse to the Field: Demonstration of Diminishing Effects of Mitigation of Salinity in Peppers Inoculated with Plant Growth-Promoting Bacterium and Humic Acids. Appl. Soil Ecol. 2017, 119, 327–338. [Google Scholar] [CrossRef]
- Malambane, G.; Batlang, U.; Ramolekwa, K.; Tsujimoto, H.; Akashi, K. Growth Chamber and Field Evaluation of Physiological Factors of Two Watermelon Genotypes. Plant Stress 2021, 2, 100017. [Google Scholar] [CrossRef]
- Kohler, R.E. Landscapes and Labscapes: Exploring the Lab-Field Border in Biology; University of Chicago Press: Chicago, IL, USA, 2002; ISBN 978-0-226-45009-4. [Google Scholar]
- Suzuki, N.; Rivero, R.M.; Shulaev, V.; Blumwald, E.; Mittler, R. Abiotic and Biotic Stress Combinations. New Phytol. 2014, 203, 32–43. [Google Scholar] [CrossRef]
- Plessis, A. Abiotic Stress Experiments Need a Reality Check to Improve Translation to the Field. J. Exp. Bot. 2023, 74, 1741–1744. [Google Scholar] [CrossRef]
- Balota, M.; Tillman, B.L.; Paula-Moraes, S.V.; Anco, D. ‘Walton’, a New Virginia-Type Peanut Suitable for Virginia and Northern, U.S. Growing Regions. J. Plant Regist. 2021, 15, 422–434. [Google Scholar] [CrossRef]
- Balota, M.; Bryant, T.; Forehand, J.; Jordan, D.; Langston, D.; Shortridge, J.; Singh, V.; Taylor, S. Virginia Peanut Production Guide; Virginia Cooperative Extension: Blacksburg, VA, USA, 2025. [Google Scholar]
- Reynolds, S.G. The Gravimetric Method of Soil Moisture Determination Part I A Study of Equipment, and Methodological Problems. J. Hydrol. 1970, 11, 258–273. [Google Scholar] [CrossRef]
- NCSS EUNOLA SERIES. Available online: https://soilseries.sc.egov.usda.gov/OSD_Docs/E/EUNOLA.html (accessed on 11 April 2025).
- Hothorn, T.; Bretz, F.; Westfall, P. Simultaneous Inference in General Parametric Models. Biom. J. 2008, 50, 346–363. [Google Scholar] [CrossRef]
- Bates, D.; Mächler, M.; Bolker, B.; Walker, S. Fitting Linear Mixed-Effects Models Using Lme4. J. Stat. Softw. 2015, 67, 1–48. [Google Scholar] [CrossRef]
- Kuznetsova, A.; Brockhoff, P.B.; Christensen, R.H.B. lmerTest Package: Tests in Linear Mixed Effects Models. J. Stat. Softw. 2017, 82, 1–26. [Google Scholar] [CrossRef]
- Lenth, R.V.; Banfai, B.; Bolker, B.; Buerkner, P.; Giné-Vázquez, I.; Herve, M.; Jung, M.; Love, J.; Miguez, F.; Piaskowski, J.; et al. emmeans: Estimated Marginal Means, Aka Least-Squares Means; Version 1.11.2; The R Foundation for Statistical Computing: Vienna, Austria, 2025. [Google Scholar]
- Wei, T.; Simko, V. corrplot; Version 0.95; The R Foundation for Statistical Computing: Vienna, Austria, 2024. [Google Scholar]
- Lê, S.; Josse, J.; Husson, F. FactoMineR: An R Package for Multivariate Analysis. J. Stat. Softw. 2008, 25, 1–18. [Google Scholar] [CrossRef]
- Kassambara, A.; Mundt, F. factorextra; Version 1.0.7; The R Foundation for Statistical Computing: Vienna, Austria, 2020. [Google Scholar]
- Fahad, S.; Bajwa, A.A.; Nazir, U.; Anjum, S.A.; Farooq, A.; Zohaib, A.; Sadia, S.; Nasim, W.; Adkins, S.; Saud, S.; et al. Crop Production under Drought and Heat Stress: Plant Responses and Management Options. Front. Plant Sci. 2017, 8, 1147. [Google Scholar] [CrossRef]
- Puppala, N.; Nayak, S.N.; Sanz-Saez, A.; Chen, C.; Devi, M.J.; Nivedita, N.; Bao, Y.; He, G.; Traore, S.M.; Wright, D.A.; et al. Sustaining Yield and Nutritional Quality of Peanuts in Harsh Environments: Physiological and Molecular Basis of Drought and Heat Stress Tolerance. Front. Genet. 2023, 14, 1121462. [Google Scholar] [CrossRef]
- Balota, M.; Payne, W.A.; Evett, S.R.; Peters, T.R. Morphological and Physiological Traits Associated with Canopy Temperature Depression in Three Closely Related Wheat Lines. Crop Sci. 2008, 48, 1897–1910. [Google Scholar] [CrossRef]
- Vennam, R.R.; Ramamoorthy, P.; Poudel, S.; Reddy, K.R.; Henry, W.B.; Bheemanahalli, R. Developing Functional Relationships between Soil Moisture Content and Corn Early-Season Physiology, Growth, and Development. Plants 2023, 12, 2471. [Google Scholar] [CrossRef] [PubMed]
- Muller, J.D.; Rotenberg, E.; Tatarinov, F.; Oz, I.; Yakir, D. Evidence for Efficient Nonevaporative Leaf-to-Air Heat Dissipation in a Pine Forest under Drought Conditions. New Phytol. 2021, 232, 2254–2266. [Google Scholar] [CrossRef]
- Gauthey, A.; Bachofen, C.; Deluigi, J.; Didion-Gency, M.; D’Odorico, P.; Gisler, J.; Mas, E.; Schaub, M.; Schuler, P.; Still, C.J.; et al. Absence of Canopy Temperature Variation despite Stomatal Adjustment in Pinus Sylvestris under Multidecadal Soil Moisture Manipulation. New Phytol. 2023, 240, 127–137. [Google Scholar] [CrossRef]
- Marchin, R.M.; Backes, D.; Ossola, A.; Leishman, M.R.; Tjoelker, M.G.; Ellsworth, D.S. Extreme Heat Increases Stomatal Conductance and Drought-induced Mortality Risk in Vulnerable Plant Species. Glob. Change Biol. 2022, 28, 1133–1146. [Google Scholar] [CrossRef]
- Reynolds-Henne, C.E.; Langenegger, A.; Mani, J.; Schenk, N.; Zumsteg, A.; Feller, U. Interactions between Temperature, Drought and Stomatal Opening in Legumes. Environ. Exp. Bot. 2010, 68, 37–43. [Google Scholar] [CrossRef]
- Lama, S.; Leiva, F.; Vallenback, P.; Chawade, A.; Kuktaite, R. Impacts of Heat, Drought, and Combined Heat–Drought Stress on Yield, Phenotypic Traits, and Gluten Protein Traits: Capturing Stability of Spring Wheat in Excessive Environments. Front. Plant Sci. 2023, 14, 1179701. [Google Scholar] [CrossRef]
- Poorter, H.; Bühler, J.; van Dusschoten, D.; Climent, J.; Postma, J.A. Pot Size Matters: A Meta-Analysis of the Effects of Rooting Volume on Plant Growth. Funct. Plant Biol. 2012, 39, 839–850. [Google Scholar] [CrossRef]
- Vincent, C.; Rowland, D.; Schaffer, B.; Bassil, E.; Racette, K.; Zurweller, B. Primed Acclimation: A Physiological Process Offers a Strategy for More Resilient and Irrigation-Efficient Crop Production. Plant Sci. 2020, 295, 110240. [Google Scholar] [CrossRef]
- Rahman, M.M.; Keya, S.S.; Bulle, M.; Ahsan, S.M.; Rahman, M.A.; Roni, M.S.; Noor, M.M.A.; Hasan, M. Past Trauma, Better Future: How Stress Memory Shapes Plant Adaptation to Drought. Funct. Plant Biol. 2025, 52, FP24355. [Google Scholar] [CrossRef]
- Rowland, D.L.; Faircloth, W.H.; Payton, P.; Tissue, D.T.; Ferrell, J.A.; Sorensen, R.B.; Butts, C.L. Primed Acclimation of Cultivated Peanut (Arachis hypogaea L.) through the Use of Deficit Irrigation Timed to Crop Developmental Periods. Agric. Water Manag. 2012, 113, 85–95. [Google Scholar] [CrossRef]
- Sintaha, M.; Man, C.K.; Yung, W.S.; Duan, S.; Li, M.-W.; Lam, H.-M. Drought Stress Priming Improved the Drought Tolerance of Soybean. Plants 2022, 11, 2954. [Google Scholar] [CrossRef]
- Ru, C.; Hu, X.; Chen, D.; Wang, W. Droughts and Thermo-Priming Enhance Acclimation to Later Drought and Heat Stress in Maize Seedlings by Improving Leaf Physiological Activity. Agronomy 2023, 13, 1124. [Google Scholar] [CrossRef]
- Horváth, Á.; Berki, Z.; Balla, K.; Bányai, J.; Mayer, M.; Cseh, A.; Kiss, T.; Karsai, I. Field versus Controlled Environmental Experiments to Evaluate the Heat Stress Response of Barley (Hordeum vulgare L.). Environ. Exp. Bot. 2024, 228, 106038. [Google Scholar] [CrossRef]
- Khan, A.; Khan, V.; Pandey, K.; Sopory, S.K.; Sanan-Mishra, N. Thermo-Priming Mediated Cellular Networks for Abiotic Stress Management in Plants. Front. Plant Sci. 2022, 13, 866409. [Google Scholar] [CrossRef] [PubMed]
- Napier, J.D.; Heckman, R.W.; Juenger, T.E. Gene-by-Environment Interactions in Plants: Molecular Mechanisms, Environmental Drivers, and Adaptive Plasticity. Plant Cell 2022, 35, 109–124. [Google Scholar] [CrossRef]
- Brooker, R.; Brown, L.K.; George, T.S.; Pakeman, R.J.; Palmer, S.; Ramsay, L.; Schöb, C.; Schurch, N.; Wilkinson, M.J. Active and adaptive plasticity in a changing climate. Trends Plant Sci. 2022, 27, 717–728. [Google Scholar] [CrossRef] [PubMed]
- Negin, B.; Moshelion, M. The Advantages of Functional Phenotyping in Pre-Field Screening for Drought-Tolerant Crops. Funct. Plant Biol. 2016, 44, 107–118. [Google Scholar] [CrossRef] [PubMed]
- Mansoor, S.; Chung, Y.S. Functional Phenotyping: Understanding the Dynamic Response of Plants to Drought Stress. Curr. Plant Biol. 2024, 38, 100331. [Google Scholar] [CrossRef]
- Zhang, H.; Zhao, Y.; Zhu, J.-K. Thriving under Stress: How Plants Balance Growth and the Stress Response. Dev. Cell 2020, 55, 529–543. [Google Scholar] [CrossRef]









| Traits | Stomatal Conductance | Transpiration | Leaf Temperature Difference | |||||||||||||
|---|---|---|---|---|---|---|---|---|---|---|---|---|---|---|---|---|
| SOV | Df | Sum Sq | Mean Sq | F Value | Pr (>F) | Sum Sq | Mean Sq | F Value | Pr (>F) | Sum Sq | Mean Sq | F Value | Pr (>F) | |||
| DAS | 10 | 1.3 | 0.1 | 24.8 | <2.2 × 10−16 | *** | 773.4 | 77.3 | 28.1 | <2.2 × 10−16 | *** | 140.4 | 14.0 | 22.8 | <2.2 × 10−16 | *** |
| T | 3 | 1.3 | 0.4 | 84.3 | <2.2 × 10−16 | *** | 727.3 | 242.3 | 89.1 | <2.2 × 10−16 | *** | 113.4 | 37.8 | 61.4 | <2.2 × 10−16 | *** |
| C | 4 | 0.1 | 0.03 | 5.3 | 0.0003 | *** | 61.1 | 15.3 | 5.6 | 0.0002 | *** | 4.0 | 1.0 | 1.6 | 0.2 | ns |
| DAS × T | 30 | 0.7 | 0.02 | 4.5 | 3.4 × 10−14 | *** | 341.2 | 11.4 | 4.1 | <1.5 × 10−12 | *** | 230.6 | 7.7 | 12.5 | <2.2 × 10−16 | *** |
| DAS × C | 40 | 0.1 | 0.003 | 0.6 | 1.0 | ns | 65.2 | 1.6 | 0.6 | 1.0 | ns | 11.6 | 0.3 | 0.5 | 1.0 | ns |
| T × C | 12 | 0.1 | 0.004 | 0.7 | 0.7 | ns | 25.9 | 2.2 | 0.8 | 0.7 | ns | 13.3 | 1.1 | 1.8 | 0.04 | * |
| DAS × T × C | 120 | 0.3 | 0.002 | 0.5 | 1.0 | ns | 173.7 | 1.5 | 0.5 | 1.0 | ns | 43.8 | 0.4 | 0.6 | 1.0 | ns |
| Residuals | 880 | 4.5 | 0.01 | 2419.5 | 2.8 | 541.7 | 0.6 | |||||||||
| Traits | Stomatal Conductance | Transpiration | Leaf Temperature Difference | |||||||||||||
|---|---|---|---|---|---|---|---|---|---|---|---|---|---|---|---|---|
| SOV | Df | Sum Sq | Mean Sq | F Value | Pr (>F) | Sum Sq | Mean Sq | F Value | Pr (>F) | Sum Sq | Mean Sq | F Value | Pr (>F) | |||
| WAS | 7 | 29.4 | 4.2 | 51.6 | <2.2 × 10−16 | *** | 3895.9 | 556.6 | 75.4 | <2.2 × 10−16 | *** | 268.3 | 38.3 | 21.8 | <2.2 × 10−16 | *** |
| T | 1 | 3.2 | 3.2 | 39.1 | 8.3 × 10−10 | *** | 584.1 | 584.1 | 79.2 | <2.2 × 10−16 | *** | 0.2 | 0.2 | 0.1 | 0.7 | ns |
| C | 4 | 1.3 | 0.3 | 4.1 | 0.003 | ** | 72.6 | 18.2 | 2.4 | 0.045 | * | 24.6 | 6.2 | 3.5 | 0.008 | ** |
| WAS × T | 7 | 7.8 | 1.1 | 13.7 | 2.5 × 10−16 | *** | 462.0 | 66.0 | 8.9 | 2.0 × 10−10 | *** | 60.2 | 8.6 | 4.9 | 2.3 × 10−05 | *** |
| WAS × C | 28 | 6.3 | 0.2 | 2.7 | 5.3 × 10−06 | *** | 208.9 | 7.5 | 1.0 | 0.5 | ns | 43.6 | 1.6 | 0.9 | 0.6 | ns |
| T × C | 4 | 0.2 | 0.04 | 0.5 | 0.7 | ns | 9 | 2.3 | 0.3 | 0.9 | ns | 2.6 | 0.7 | 0.4 | 0.8 | ns |
| WAS × T × C | 28 | 3.0 | 0.1 | 1.3 | 0.1 | ns | 108.5 | 3.9 | 0.5 | 1.0 | ns | 37.2 | 1.3 | 0.8 | 0.8 | ns |
| Residuals | 520 | 42.6 | 0.08 | 3848.2 | 7.4 | 996.6 | 1.9 | |||||||||
Disclaimer/Publisher’s Note: The statements, opinions and data contained in all publications are solely those of the individual author(s) and contributor(s) and not of MDPI and/or the editor(s). MDPI and/or the editor(s) disclaim responsibility for any injury to people or property resulting from any ideas, methods, instructions or products referred to in the content. |
© 2025 by the authors. Licensee MDPI, Basel, Switzerland. This article is an open access article distributed under the terms and conditions of the Creative Commons Attribution (CC BY) license (https://creativecommons.org/licenses/by/4.0/).
Share and Cite
Vennam, R.R.; Beard, K.M.; Haak, D.C.; Balota, M. Evaluation of Peanut Physiological Responses to Heat and Drought Stress Across Growth Chamber and Field Environments. Plants 2025, 14, 2687. https://doi.org/10.3390/plants14172687
Vennam RR, Beard KM, Haak DC, Balota M. Evaluation of Peanut Physiological Responses to Heat and Drought Stress Across Growth Chamber and Field Environments. Plants. 2025; 14(17):2687. https://doi.org/10.3390/plants14172687
Chicago/Turabian StyleVennam, Ranadheer Reddy, Keely M. Beard, David C. Haak, and Maria Balota. 2025. "Evaluation of Peanut Physiological Responses to Heat and Drought Stress Across Growth Chamber and Field Environments" Plants 14, no. 17: 2687. https://doi.org/10.3390/plants14172687
APA StyleVennam, R. R., Beard, K. M., Haak, D. C., & Balota, M. (2025). Evaluation of Peanut Physiological Responses to Heat and Drought Stress Across Growth Chamber and Field Environments. Plants, 14(17), 2687. https://doi.org/10.3390/plants14172687

