Legacy Effects of Different Preceding Crops on Grain Yield, Protein Fractions and Soil Nutrients in Subsequent Winter Wheat
Abstract
1. Introduction
2. Results
2.1. Effects of Preceding Crops on Yield and Yield Components in Winter Wheat
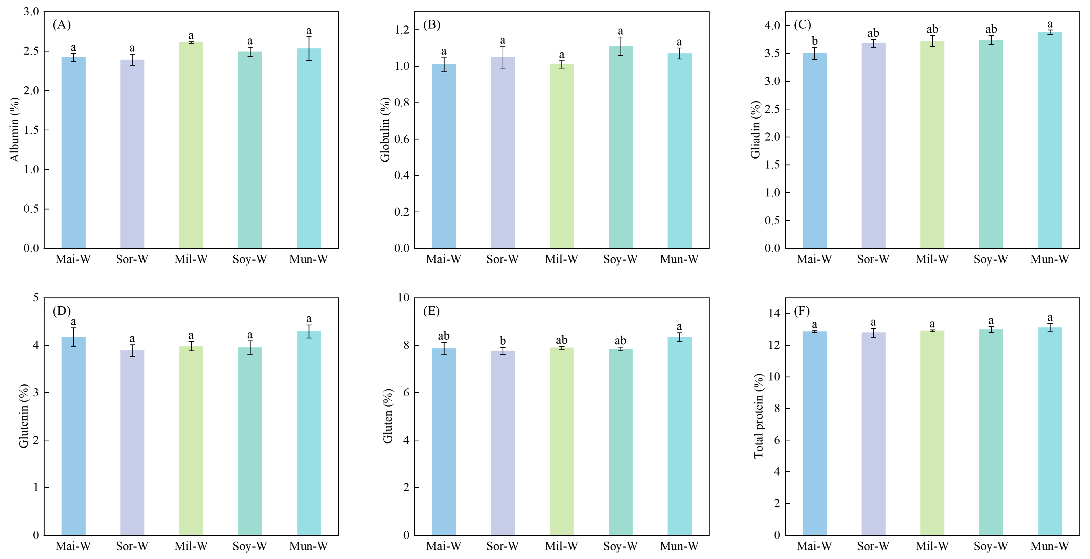
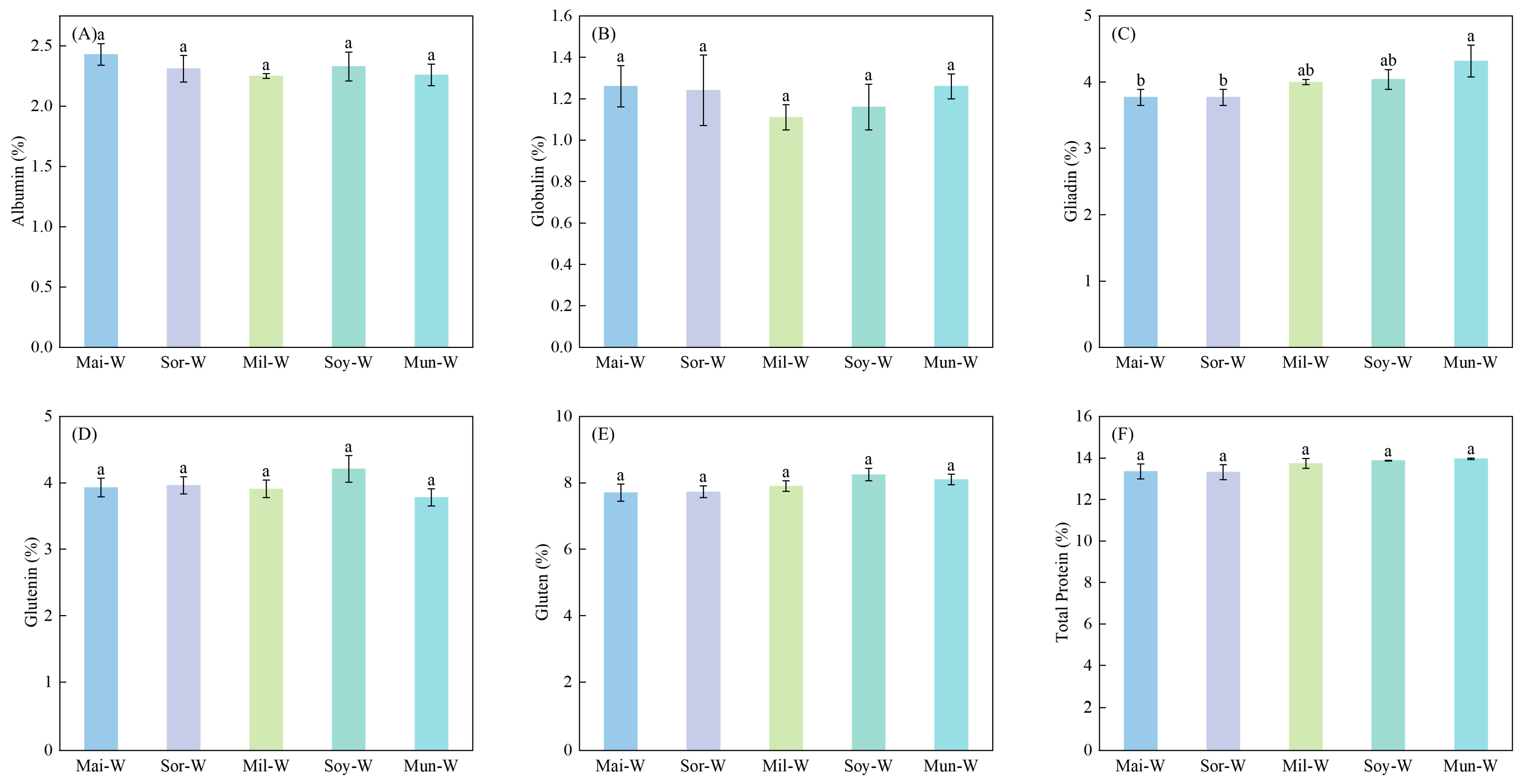
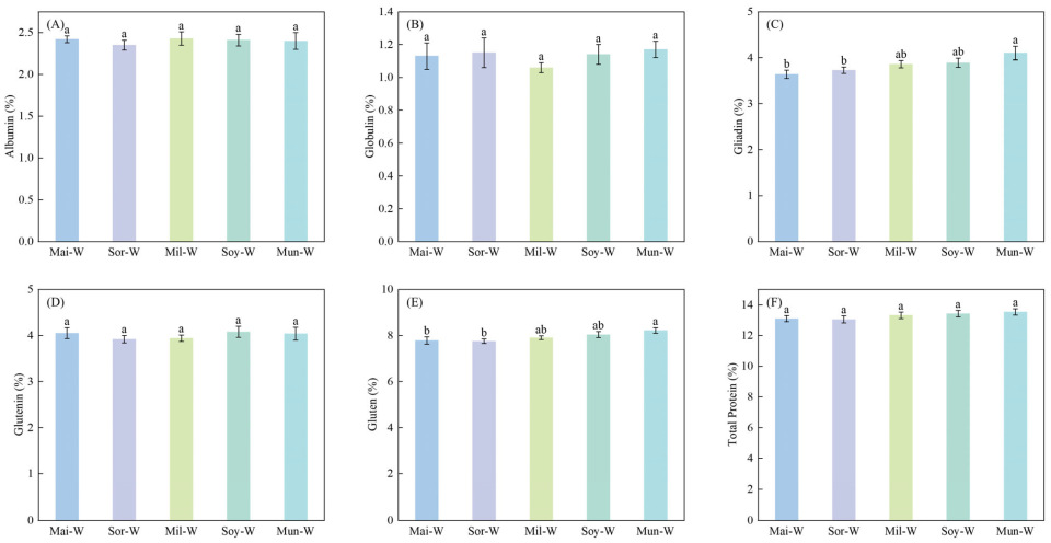
2.2. Effects of Preceding Crops on Protein Fractions in Winter Wheat
2.3. Effects of Preceding Crops on Soil Chemical Properties
2.4. Relationship of Winter Wheat Yield, Grain Protein Quality, and Soil Chemical Properties
2.5. Comprehensive Outcomes of Preceding Crop Types
3. Discussion
3.1. Yield Variation in Winter Wheat Induced by Contrasting Pre-Crop Legacies
3.2. Effects of Preceding Crop Types on Protein Quality in Winter Wheat
3.3. Soil Fertility Response to Rotations
3.4. Holistic Performance in Diverse Preceding Crops—Winter Wheat Rotation
4. Materials and Methods
4.1. Site Description
4.2. Experimental Design
4.3. Measurement of Soil Chemical Properties
4.4. Measurement of Yield and Its Components in Winter Wheat
4.5. Measurement of Protein Composition in Winter Wheat Grain
4.6. Trade-Off and Co-Benefit Indices
4.7. Coupling Coordination Degree
4.8. Statistical Analysis
5. Conclusions
Author Contributions
Funding
Data Availability Statement
Conflicts of Interest
Abbreviations
| SOC | Soil organic carbon |
| N | Nitrogen |
| C | Carbon |
| P | Phosphorus |
| SOM | Soil organic matter |
| Mai-W | Maize–winter wheat rotation |
| Mil-W | Millet–winter wheat rotation |
| Sor-W | Sorghum–winter wheat rotation |
| Soy-W | Soybean–winter wheat rotation |
| Mun-W | Mung bean–winter wheat rotation |
| AN | Alkali-hydrolyzed nitrogen |
| AP | Available phosphorus |
| AK | Available potassium |
| SFI | Soil fertility index |
| SN | Spike number per unit |
| KN | Kernel number per spike |
| KGW | 1000-kernel weight |
| TOI | Trade-off index |
| CBI | Co-benefit index |
| CCD | Coupling coordination degree |
References
- Erenstein, O.; Jaleta, M.; Mottaleb, K.A.; Sonder, K.; Donovan, J.; Braun, H.-J. Global Trends in Wheat Production, Consumption and Trade. In Wheat Improvement: Food Security in a Changing Climate; Reynolds, M.P., Braun, H.-J., Eds.; Springer International Publishing: Cham, Switzerland, 2022; pp. 47–66. [Google Scholar] [CrossRef]
- OECD. FAO OECD-FAO Agricultural Outlook 2022–2031; OECD Publishing: Paris, France, 2022. [Google Scholar] [CrossRef]
- Hou, M.; Li, Y.; Biswas, A.; Chen, X.; Xie, L.; Liu, D.; Li, L.; Feng, H.; Wu, S.; Satoh, Y.; et al. Concurrent Drought Threatens Wheat and Maize Production and Will Widen Crop Yield Gaps in the Future. Agric. Syst. 2024, 220, 104056. [Google Scholar] [CrossRef]
- Wu, L.; Quan, H.; Feng, H.; Ding, D.; Wu, L.; Liu, D.L.; Wang, B. Delaying Sowing Time and Increasing Sowing Rate with Plastic Mulching Can Enhance Wheat Yield and Water Use Efficiency under Future Climate Change. Agric. For. Meteorol. 2025, 362, 110383. [Google Scholar] [CrossRef]
- Wang, X.; Liu, F. Effects of Elevated CO2 and Heat on Wheat Grain Quality. Plants 2021, 10, 1027. [Google Scholar] [CrossRef]
- Barbieri, P.; Pellerin, S.; Seufert, V.; Nesme, T. Changes in Crop Rotations Would Impact Food Production in an Organically Farmed World. Nat. Sustain. 2019, 2, 378–385. [Google Scholar] [CrossRef]
- Yang, T.; Siddique, K.H.M.; Liu, K. Cropping Systems in Agriculture and Their Impact on Soil Health-a Review. Glob. Ecol. Conserv. 2020, 23, e01118. [Google Scholar] [CrossRef]
- Zhao, J.; Chen, J.; Beillouin, D.; Lambers, H.; Yang, Y.; Smith, P.; Zeng, Z.; Olesen, J.E.; Zang, H. Global Systematic Review with Meta-Analysis Reveals Yield Advantage of Legume-Based Rotations and Its Drivers. Nat. Commun. 2022, 13, 4926. [Google Scholar] [CrossRef]
- Zheng, F.; Liu, X.; Ding, W.; Song, X.; Li, S.; Wu, X. Positive Effects of Crop Rotation on Soil Aggregation and Associated Organic Carbon Are Mainly Controlled by Climate and Initial Soil Carbon Content: A Meta-Analysis. Agric. Ecosyst. Environ. 2023, 355, 108600. [Google Scholar] [CrossRef]
- Mesfin, S.; Gebresamuel, G.; Haile, M.; Zenebe, A. Potentials of Legumes Rotation on Yield and Nitrogen Uptake of Subsequent Wheat Crop in Northern Ethiopia. Heliyon 2023, 9, e16126. [Google Scholar] [CrossRef]
- Liu, C.; Zhang, L.; Zhou, J.; Xu, Y.; Yang, Y.; Zeng, Z.; Zang, H. Research Progress on the Intensification of Agroecosystem Functions through Legume-Based Crop Rotation. Acta Agron. Sin. 2024, 50, 1885–1895. [Google Scholar] [CrossRef]
- Zhang, L.; Liu, C.; Yao, W.; Shao, J.; Peixoto, L.; Yang, Y.; Zeng, Z.; Olesen, J.E.; Zang, H. Legume-Based Rotation Benefits Crop Productivity and Agricultural Sustainability in the North China Plain. Soil Tillage Res. 2025, 250, 106502. [Google Scholar] [CrossRef]
- Nielsen, D.C.; Vigil, M.F. Wheat Yield and Yield Stability of Eight Dryland Crop Rotations. Agron. J. 2018, 110, 594–601. [Google Scholar] [CrossRef]
- Li, X.; Huang, W.; Li, Y.; Gu, C.; Dai, J.; Hu, W.; Yang, L.; Liao, X.; Qin, L. Effect of Nitrogen Rates on Yield Formation and Nitrogen Use Efficiency in Oilseed Under Different Cropping Systems. Sci. Agric. Sin. 2023, 56, 1074–1085. [Google Scholar] [CrossRef]
- Zhao, B. Effects of Different Crop Rotation on the Growth and Development of Oilseed Flax and Soil-Crop Nitrogen Balance. Master’s Thesis, Gansu Agricultural University, Lanzhou, China, 2022. [Google Scholar] [CrossRef]
- Ge, L.; Zhao, C.; Cheng, B.; Yin, M. Effects of Different Crop Rotation Patterns and Nitrogen Application Levels on Yield and Quality of Spring Wheat. Chin. Agric. Sci. Bull. 2023, 39, 6–13. [Google Scholar] [CrossRef]
- Song, Y.; Gu, J.; Jin, M.; Cao, P.; Yu, Y.; Yuan, C.; Dong, M. Impact of Different Crop Rotation Patterns on Quality of Premium-tasting Japonica Rice and Regulatory Effects of Nitrogen Fertilization. Chin. Agric. Sci. Bull. 2024, 40, 1–8. [Google Scholar] [CrossRef]
- Iheshiulo, E.M.-A.; Larney, F.J.; Hernandez-Ramirez, G.; Luce, M.S.; Chau, H.W.; Liu, K. Quantitative Evaluation of Soil Health Based on a Minimum Dataset under Various Short-Term Crop Rotations on the Canadian Prairies. Sci. Total Environ. 2024, 935, 173335. [Google Scholar] [CrossRef]
- Guo, C.; Yang, C.; Fu, J.; Song, Y.; Chen, S.; Li, H.; Ma, C. Effects of Crop Rotation on Sugar Beet Growth through Improving Soil Physicochemical Properties and Microbiome. Ind. Crops Prod. 2024, 212, 118331. [Google Scholar] [CrossRef]
- AbdElgawad, H.; Abuelsoud, W.; Madany, M.M.Y.; Selim, S.; Zinta, G.; Mousa, A.S.M.; Hozzein, W.N. Actinomycetes Enrich Soil Rhizosphere and Improve Seed Quality as Well as Productivity of Legumes by Boosting Nitrogen Availability and Metabolism. Biomolecules 2020, 10, 1675. [Google Scholar] [CrossRef]
- Wu, H.; Liu, E.; Jin, T.; Liu, B.; Gopalakrishnan, S.; Zhou, J.; Shao, G.; Mei, X.; Delaplace, P.; De Clerck, C. Crop Rotation Increases Tibetan Barley Yield and Soil Quality on the Tibetan Plateau. Nat. Food 2025, 6, 151–160. [Google Scholar] [CrossRef] [PubMed]
- Chai, J. Effects of Crop Rotation and Continuing on Productivity, Quality, Pests and Diseases of Oats and Soil Fertility. Ph.D. Thesis, Gansu Agricultural University, Lanzhou, China, 2012. [Google Scholar]
- Hoss, M.; Behnke, G.D.; Davis, A.S.; Nafziger, E.D.; Villamil, M.B. Short Corn Rotations Do Not Improve Soil Quality, Compared with Corn Monocultures. Agron. J. 2018, 110, 1274–1288. [Google Scholar] [CrossRef]
- Liu, C.; Feng, X.; Xu, Y.; Kumar, A.; Yan, Z.; Zhou, J.; Yang, Y.; Peixoto, L.; Zeng, Z.; Zang, H. Legume-Based Rotation Enhances Subsequent Wheat Yield and Maintains Soil Carbon Storage. Agron. Sustain. Dev. 2023, 43, 64. [Google Scholar] [CrossRef]
- Agomoh, I.V.; Drury, C.F.; Phillips, L.A.; Reynolds, W.D.; Yang, X. Increasing Crop Diversity in Wheat Rotations Increases Yields but Decreases Soil Health. Soil Sci. Soc. Am. J. 2020, 84, 170–181. [Google Scholar] [CrossRef]
- Qiao, L.; Wang, X.; Smith, P.; Fan, J.; Lu, Y.; Emmett, B.; Li, R.; Dorling, S.; Chen, H.; Liu, S.; et al. Soil Quality Both Increases Crop Production and Improves Resilience to Climate Change. Nat. Clim. Chang. 2022, 12, 574–580. [Google Scholar] [CrossRef]
- Shi, C.; Qiu, T.; Zhang, Y.; Ma, Y.; Li, X.; Dong, S.; Yuan, X.; Song, X. Effects of Different Preceding Crops on Soil Nutrients and Foxtail Millet Productivity and Quality. Front. Plant Sci. 2024, 15, 1477756. [Google Scholar] [CrossRef]
- Yan, C.; Yang, Y.; Song, J.; Shan, F.; Lyu, X.; Yan, S.; Wang, C.; Song, Q.; Ma, C. Analysis of the Beneficial Analysis of the beneficial effects of prior soybean cultivation to the field on corn yield and soil nitrogen content. Front. Plant Sci. 2024, 15, 1413507. [Google Scholar] [CrossRef] [PubMed]
- Zhang, J.; Wu, B.; Liu, M.; Jia, Y.; Kang, L.; Wang, G. Improving Triticale Yield with Alfalfa in Saline-Alkaline Soil: Improving triticale yield with alfalfa in saline-alkaline soil: Effects on diazotrophic communities in the yellow river delta. Plant Soil. 2025. prepublish. [Google Scholar] [CrossRef]
- Ingver, A.; Tamm, Ü.; Tamm, I.; Tamm, S.; Tupits, I.; Bender, A.; Koppel, R.; Narits, L.; Koppel, M. Leguminous Pre-Crops Improved Quality of Organic Winter and Spring Cereals. Biol. Agric. Hortic. 2019, 35, 46–60. [Google Scholar] [CrossRef]
- Li, K.; Zhang, X.; Liu, W.; Song, P. A Study on Modeling Kernel Filling of Winter Wheat with Different Management. Acta Agric. Boreali-Sin. 2001, 2, 70–74. [Google Scholar]
- Lomanovskiy, A.V.; Korchagina, I.A. Yield and Quality of Wheat Grains in Crop Rotation in the Southern Forest-Steppe of Western Siberia. IOP Conf. Ser. Earth Environ. Sci. 2021, 624, 012075. [Google Scholar] [CrossRef]
- Qiao, M.; Sun, R.; Wang, Z.; Dumack, K.; Xie, X.; Dai, C.; Wang, E.; Zhou, J.; Sun, B.; Peng, X.; et al. Legume Rhizodeposition Promotes Nitrogen Fixation by Soil Microbiota under Crop Diversification. Nat. Commun. 2024, 15, 2924. [Google Scholar] [CrossRef]
- Sunil Kumar, T.; Virdia, H.M.; Patel, K.G.; Chowdhury, M.; Satya, M.S.S.C.; Mahmoud, S.F.; Elbeltagi, A.; Salem, A.; Elwakeel, A.E.; El-Shinawy, D.M. Residual Effect of Summer Legumes Incorporation on Soil Nutrient Status and Nutrient Use Efficiency of Kharif Rice. Front. Sustain. Food Syst. 2025, 9, 1535162. [Google Scholar] [CrossRef]
- Wichern, F.; Mayer, J.; Joergensen, R.G.; Müller, T. Release of C and N from Roots of Peas and Oats and Their Availability to Soil Microorganisms. Soil Biol. Biochem. 2007, 39, 2829–2839. [Google Scholar] [CrossRef]
- Fang, J.; Lin, C. A Review of the Formation and Transformation Process of Soil Organic Matter and Its Influencing Factors. J. Subtrop. Resour. Environ. 2024, 19, 24–34. [Google Scholar] [CrossRef]
- Bianbadrolma; Song, G. Dynamic characteristics of decomposition and carbon and nitrogen release of legume green manure in Lhasa River Valley. Jiangsu Agric. Sci. 2022, 50, 241–246. [Google Scholar] [CrossRef]
- Geng, S.; Li, L.; Miao, Y.; Zhang, Y.; Yu, X.; Zhang, D.; Yang, Q.; Zhang, X.; Wang, Y. Nitrogen Rhizodeposition from Corn and Soybean, and Its Contribution to the Subsequent Wheat Crops. J. Integr. Agric. 2024, 23, 2446–2457. [Google Scholar] [CrossRef]
- Cai, Y.; Hao, M. Effects of long-term rotation on the nutritional quality of wheat grain protein on dryland of Loess Plateau, Norrthwest China. Chin. J. Appl. Ecol. 2013, 24, 1354–1360. [Google Scholar] [CrossRef]
- Zhang, Y.; Wang, J. Decomposition of green manures and their effects on soil carbon and nitrogen, and crop yield in a dryland spring maize field. Chin. J. Ecol. 2023, 42, 2613–2621. [Google Scholar] [CrossRef]
- Andoh-Mensah, E.; Anthonio, C.K.; Sossah, F.L.; Fianko, D.A.; Yankey, E.N. Integrated Soil Fertility Management Using Cocoa Bean Shells Improves Soil Chemical Properties, Coconut Yield and Mitigates Environmental Pollution. J. Clean. Prod. 2023, 428, 139418. [Google Scholar] [CrossRef]
- Munnaf, M.A.; Mouazen, A.M. Development of a Soil Fertility Index Using On-Line Vis-NIR Spectroscopy. Comput. Electron. Agric. 2021, 188, 106341. [Google Scholar] [CrossRef]
- Yu, G.; Han, Y.; Liu, P.; Hao, H.; Li, M. Response of Foxtail Millet Yield, Soil Chemical Property and Bacterial Community to Different Green Manure-Foxtail Millet Rotation Models in North China. Front. Microbiol. 2025, 16, 1558354. [Google Scholar] [CrossRef]
- Jusheng, G.; Weidong, C.; Dongchu, L.; Minggang, X.; Xibai, Z.; Jun, N.; Wenju, Z. Effects of Long-Term Double-Rice and Green Manure Rotation on Rice Yield and Soil Organic Matter in Paddy Field. Acta Ecol. Sin. 2011, 31, 4542–4548. [Google Scholar] [CrossRef]
- Li, Y.; Shi, K.; Zhu, C.; Jiang, G.; Luo, L.; Meng, W.; Shen, F.; Liu, F.; Wei, F.; Liu, S. Effect of Different Crop Rotations on SoilNutrients and Crop Yield in Fluvo-aquic Soil in Huang Huai Plain. J. Soiland Water Conserv. 2022, 36, 312–321. [Google Scholar] [CrossRef]
- Li, X.; Liu, H.; Xue, S.; Xing, L.; Peng, Y.; Meng, Y.; Yang, Y.; Huang, D. Zinc mobilization effect by root exudates of different green manure. Soil Fertil. Sci. China 2022, 1, 81–89. [Google Scholar]
- Milić, S.; Ninkov, J.; Zeremski, T.; Latković, D.; Šeremešić, S.; Radovanović, V.; Žarković, B. Soil Fertility and Phosphorus Fractions in a Calcareous Chernozem after a Long-Term Field Experiment. Geoderma 2019, 339, 9–19. [Google Scholar] [CrossRef]
- Ruhi; Priyanka, U. Abiotic Stress and Millets: The Emerging Significance of Root Exudates in Crop Resilience. Plant Cell Biotechnol. Mol. Biol. 2025, 26, 111–125. [Google Scholar] [CrossRef]
- Kochar, D.; Kumar, R. Impact of Long Term Tillage and Soil Moisture Regime on the Sulphur, Organic Carbon, DOC, MBC and MBN of Soil under Mung Bean-Wheat and Sorghum-Wheat Cropping System. Asian J. Res. Biochem. 2024, 14, 62–71. [Google Scholar] [CrossRef]
- Borase, D.N.; Nath, C.P.; Hazra, K.K.; Senthilkumar, M.; Singh, S.S.; Praharaj, C.S.; Singh, U.; Kumar, N. Long-Term Impact of Diversified Crop Rotations and Nutrient Management Practices on Soil Microbial Functions and Soil Enzymes Activity. Ecol. Indic. 2020, 114, 106322. [Google Scholar] [CrossRef]
- Li, C.; Yuan, G.; Qi, L.; Li, Y.; Cheng, S.; Shang, G.; Kou, T.; Li, Y. Mung Bean Is Better than Soybean in the Legume–Wheat Rotation System for Soil Carbon and Nitrogen Sequestration in Calcareous Soils of a Semiarid Region. Agronomy 2023, 13, 2254. [Google Scholar] [CrossRef]
- Kumar, N.; Nath, C.P.; Hazra, K.K.; Das, K.; Venkatesh, M.S.; Singh, M.K.; Singh, S.S.; Praharaj, C.S.; Singh, N.P. Impact of Zero-till Residue Management and Crop Diversification with Legumes on Soil Aggregation and Carbon Sequestration. Soil Tillage Res. 2019, 189, 158–167. [Google Scholar] [CrossRef]
- Yan, Z.; Zhou, J.; Liu, C.; Jia, R.; Mganga, K.Z.; Yang, L.; Yang, Y.; Peixoto, L.; Zang, H.; Zeng, Z. Legume-Based Crop Diversification Reinforces Soil Health and Carbon Storage Driven by Microbial Biomass and Aggregates. Soil Tillage Res. 2023, 234, 105848. [Google Scholar] [CrossRef]
- He, Q.; Lu, C.; Cowie, A.; Zhao, S.; Liu, D.L.; Yi, B.; Shi, L.; Zhang, S.; Qiu, T.; Shi, Y.; et al. Optimizing Cover Cropping Application for Sustainable Crop Production. Npj Sustain. Agric. 2025, 3, 10. [Google Scholar] [CrossRef]
- Yan, Z.; Chu, J.; Nie, J.; Qu, X.; Sánchez-Rodríguez, A.R.; Yang, Y.; Pavinato, P.S.; Zeng, Z.; Zang, H. Legume-Based Crop Diversification with Optimal Nitrogen Fertilization Benefits Subsequent Wheat Yield and Soil Quality. Agric. Ecosyst. Environ. 2024, 374, 109171. [Google Scholar] [CrossRef]
- Sharma, P.K.; Sharma, S.K.; Choi, I.Y. Individual and Combined Effects of Waterlogging and Alkalinity on Yield of Wheat (Triticum aestivum L.) Imposed at Three Critical Stages. Physiol. Mol. Biol. Plants 2010, 16, 317–320. [Google Scholar] [CrossRef] [PubMed]
- Blesh, J. Feedbacks between Nitrogen Fixation and Soil Organic Matter Increase Ecosystem Functions in Diversified Agroecosystems. Ecol. Appl. 2019, 29, 8. [Google Scholar] [CrossRef]
- Giordano, N.; Sadras, V.O.; Correndo, A.A.; Lollato, R.P. Cultivar-Specific Phenotypic Plasticity of Yield and Grain Protein Concentration in Response to Nitrogen in Winter Wheat. Field Crops Res. 2024, 306, 109202. [Google Scholar] [CrossRef]
- Shewry, P.R.; Tatham, A.S. Disulphide Bonds in Wheat Gluten Proteins. J. Cereal Sci. 1997, 25, 207–227. [Google Scholar] [CrossRef]
- Wang, J.; Xu, P.; Yue, Y.; Zhang, F.; Zhang, H.; Zhang, G. Coastal Saline-Alkali Land Use Change and Its Optimization. Resour. Sci. 2010, 32, 423–430. [Google Scholar]
- Bao, S.D. Soil Agricultural Chemical Analysis, 3rd ed.; China Agricultural Press: Beijing, China, 2000; pp. 265–267. [Google Scholar]
- Gan, L.; Zhang, H.; Lu, T.; Song, L.; Chen, J.; Shu, Y.; Zhang, L. A Study on Influencing Factors of Maritime Traffic Safety with Entropy Weight Method. Navig. China 2021, 44, 53–58. [Google Scholar]
- Deng, M.; Wei, Y. Successive extraction and analysis of protein fractions. J. Northwest AF Univ. Sci. Ed. 1989, 1, 110–113. [Google Scholar]
- Xun, B.; Zheng, Y.; Fan, R.; Hao, R.; Liu, B. Assessment of trade-off/synergy relationships between ecosystem services and identification of ecological restoration thresholds. Acta Ecol. Sin. 2024, 44, 7431–7444. [Google Scholar] [CrossRef]
- Shu, X.; Gao, Y.; Zhang, Y.; Yang, C. Study on the Coupling Relationship and Coordinative Development between Tourism Industry and Eco-civilization City. China Popul. Environ. 2015, 25, 82–90. [Google Scholar]






| Year | Preceding Crop Types | Effective Tiller Number per Plant | Spike Number (104 ha−1) | Kernel Number per Spike | 1000-Kernel Weight (g) |
|---|---|---|---|---|---|
| 2022 | Mai-W | 1.16 ± 0.03 b | 513.10 ± 3.52 b | 27.50 ± 0.40 c | 47.30 ± 0.26 a |
| Sor-W | 1.15 ± 0.02 b | 512.60 ± 6.36 b | 28.20 ± 0.15 c | 47.50 ± 0.25 a | |
| Mil-W | 1.14 ± 0.02 b | 516.40 ± 2.06 b | 30.40 ± 0.42 b | 44.70 ± 0.21 b | |
| Soy-W | 1.22 ± 0.03 a | 530.80 ± 3.97 a | 31.20 ± 0.44 ab | 44.40 ± 0.12 b | |
| Mun-W | 1.25 ± 0.02 a | 534.30 ± 2.30 a | 31.60 ± 0.19 a | 44.50 ± 0.12 b | |
| 2023 | Mai-W | 1.11 ± 0.04 a | 501.30 ± 1.64 b | 27.57 ± 0.12 c | 47.20 ± 0.20 a |
| Sor-W | 1.15 ± 0.04 a | 502.40 ± 4.73 b | 28.13 ± 0.19 c | 47.30 ± 0.31 a | |
| Mil-W | 1.18 ± 0.05 a | 501.70 ± 4.41 b | 30.37 ± 0.35 b | 45.10 ± 0.30 b | |
| Soy-W | 1.20 ± 0.03 a | 523.60 ± 3.46 a | 31.60 ± 0.12 a | 44.80 ± 0.35 b | |
| Mun-W | 1.17 ± 0.03 a | 521.20 ± 0.12 a | 31.27 ± 0.15 a | 45.00 ± 0.62 b | |
| 2022–2023 | Mai-W | 1.13 ± 0.06 b | 507.20 ± 7.74 b | 27.53 ± 0.46 d | 47.25 ± 0.37 a |
| Sor-W | 1.15 ± 0.05 ab | 507.00 ± 10.32 b | 28.17 ± 0.27 c | 47.40 ± 0.45 a | |
| Mil-W | 1.16 ± 0.06 ab | 509.05 ± 9.66 b | 30.38 ± 0.59 b | 44.90 ± 0.46 b | |
| Soy-W | 1.21 ± 0.05 a | 527.20 ± 6.99 a | 31.40 ± 0.54 a | 44.60 ± 0.46 b | |
| Mun-W | 1.21 ± 0.06 a | 527.75 ± 7.61 a | 31.47 ± 0.34 a | 44.75 ± 0.75 b |
| Year | Preceding Crop Types | pH | Salinity (g kg−1) | SOM (g kg−1) | AN (mg kg−1) | AP (mg kg−1) | AK (mg kg−1) | SFI |
|---|---|---|---|---|---|---|---|---|
| 2022 | Mai-W | 8.32 ± 0.01 a | 1.07 ± 0.01 a | 15.11 ± 0.02 a | 60.83 ± 1.08 b | 11.57 ± 0.1 a | 173.23 ± 1.48 a | 0.27 ± 0.03 c |
| Sor-W | 8.3 ± 0.02 a | 1.06 ± 0.02 a | 15.11 ± 0.02 a | 61.65 ± 0.45 b | 11.72 ± 0.03 a | 173.87 ± 1.71 a | 0.36 ± 0.08 bc | |
| Mil-W | 8.30 ± 0.01 a | 1.07 ± 0.00 a | 15.15 ± 0.06 a | 63.96 ± 0.14 a | 11.73 ± 0.02 a | 173.96 ± 0.23 a | 0.42 ± 0.05 abc | |
| Soy-W | 8.29 ± 0.01 a | 1.07 ± 0.01 a | 15.14 ± 0.05 a | 65.08 ± 0.58 a | 11.93 ± 0.35 a | 175.07 ± 1.72 a | 0.48 ± 0.05 ab | |
| Mun-W | 8.29 ± 0.01 a | 1.08 ± 0.02 a | 15.2 ± 0.02 a | 64.61 ± 0.53 a | 11.92 ± 0.31 a | 175.61 ± 0.83 a | 0.53 ± 0.03 a | |
| 2023 | Mai-W | 8.33 ± 0.02 a | 1.11 ± 0.01 a | 15.11 ± 0.02 c | 66.35 ± 0.4 b | 12.01 ± 0.08 b | 174.10 ± 1.22 b | 0.33 ± 0.05 c |
| Sor-W | 8.32 ± 0.02 a | 1.10 ± 0.01 a | 15.21 ± 0.03 b | 66.22 ± 0.59 b | 12.13 ± 0.10 ab | 176.42 ± 0.82 ab | 0.52 ± 0.07 b | |
| Mil-W | 8.32 ± 0.00 a | 1.10 ± 0.03 a | 15.23 ± 0.03 ab | 65.86 ± 0.35 b | 12.15 ± 0.06 ab | 178.07 ± 0.73 a | 0.56 ± 0.05 ab | |
| Soy-W | 8.30 ± 0.02 a | 1.10 ± 0.02 a | 15.23 ± 0.05 ab | 67.86 ± 0.35 a | 12.66 ± 0.14 a | 175.95 ± 1.24 ab | 0.64 ± 0.02 ab | |
| Mun-W | 8.31 ± 0.02 a | 1.10 ± 0.01 a | 15.31 ± 0.02 a | 67.89 ± 0.53 a | 12.5 ± 0.33 ab | 176.67 ± 0.88 ab | 0.70 ± 0.06 a | |
| Average | Mai-W | 8.33 ± 0.02 a | 1.09 ± 0.03 a | 15.11 ± 0.03 b | 63.59 ± 3.27 a | 11.79 ± 0.28 a | 173.66 ± 2.16 a | 0.30 ± 0.03 c |
| Sor-W | 8.31 ± 0.03 ab | 1.08 ± 0.03 a | 15.16 ± 0.07 b | 63.94 ± 2.64 a | 11.93 ± 0.25 a | 175.14 ± 2.50 a | 0.44 ± 0.06 b | |
| Mil-W | 8.31 ± 0.01 ab | 1.09 ± 0.03 a | 15.19 ± 0.08 ab | 64.91 ± 1.12 a | 11.94 ± 0.24 a | 176.02 ± 2.41 a | 0.49 ± 0.05 ab | |
| Soy-W | 8.30 ± 0.03 b | 1.09 ± 0.03 a | 15.19 ± 0.09 ab | 66.47 ± 1.69 a | 12.29 ± 0.57 a | 175.51 ± 2.38 a | 0.56 ± 0.04 ab | |
| Mun-W | 8.30 ± 0.02 ab | 1.09 ± 0.02 a | 15.26 ± 0.07 a | 66.25 ± 1.97 a | 12.21 ± 0.59 a | 176.14 ± 1.45 a | 0.62 ± 0.05 a |
Disclaimer/Publisher’s Note: The statements, opinions and data contained in all publications are solely those of the individual author(s) and contributor(s) and not of MDPI and/or the editor(s). MDPI and/or the editor(s) disclaim responsibility for any injury to people or property resulting from any ideas, methods, instructions or products referred to in the content. |
© 2025 by the authors. Licensee MDPI, Basel, Switzerland. This article is an open access article distributed under the terms and conditions of the Creative Commons Attribution (CC BY) license (https://creativecommons.org/licenses/by/4.0/).
Share and Cite
Wang, R.; Wu, J.; Wang, Y.; Sun, Z.; Ma, W.; Xue, C.; Xu, H. Legacy Effects of Different Preceding Crops on Grain Yield, Protein Fractions and Soil Nutrients in Subsequent Winter Wheat. Plants 2025, 14, 2598. https://doi.org/10.3390/plants14162598
Wang R, Wu J, Wang Y, Sun Z, Ma W, Xue C, Xu H. Legacy Effects of Different Preceding Crops on Grain Yield, Protein Fractions and Soil Nutrients in Subsequent Winter Wheat. Plants. 2025; 14(16):2598. https://doi.org/10.3390/plants14162598
Chicago/Turabian StyleWang, Rui, Jiayun Wu, Yang Wang, Zhimei Sun, Wenqi Ma, Cheng Xue, and Huasen Xu. 2025. "Legacy Effects of Different Preceding Crops on Grain Yield, Protein Fractions and Soil Nutrients in Subsequent Winter Wheat" Plants 14, no. 16: 2598. https://doi.org/10.3390/plants14162598
APA StyleWang, R., Wu, J., Wang, Y., Sun, Z., Ma, W., Xue, C., & Xu, H. (2025). Legacy Effects of Different Preceding Crops on Grain Yield, Protein Fractions and Soil Nutrients in Subsequent Winter Wheat. Plants, 14(16), 2598. https://doi.org/10.3390/plants14162598

