Biostimulatory Effects of Foliar Application of Silicon and Sargassum muticum Extracts on Sesame Under Drought Stress Conditions
Abstract
1. Introduction
2. Results
2.1. Morphological Indicators of Growth
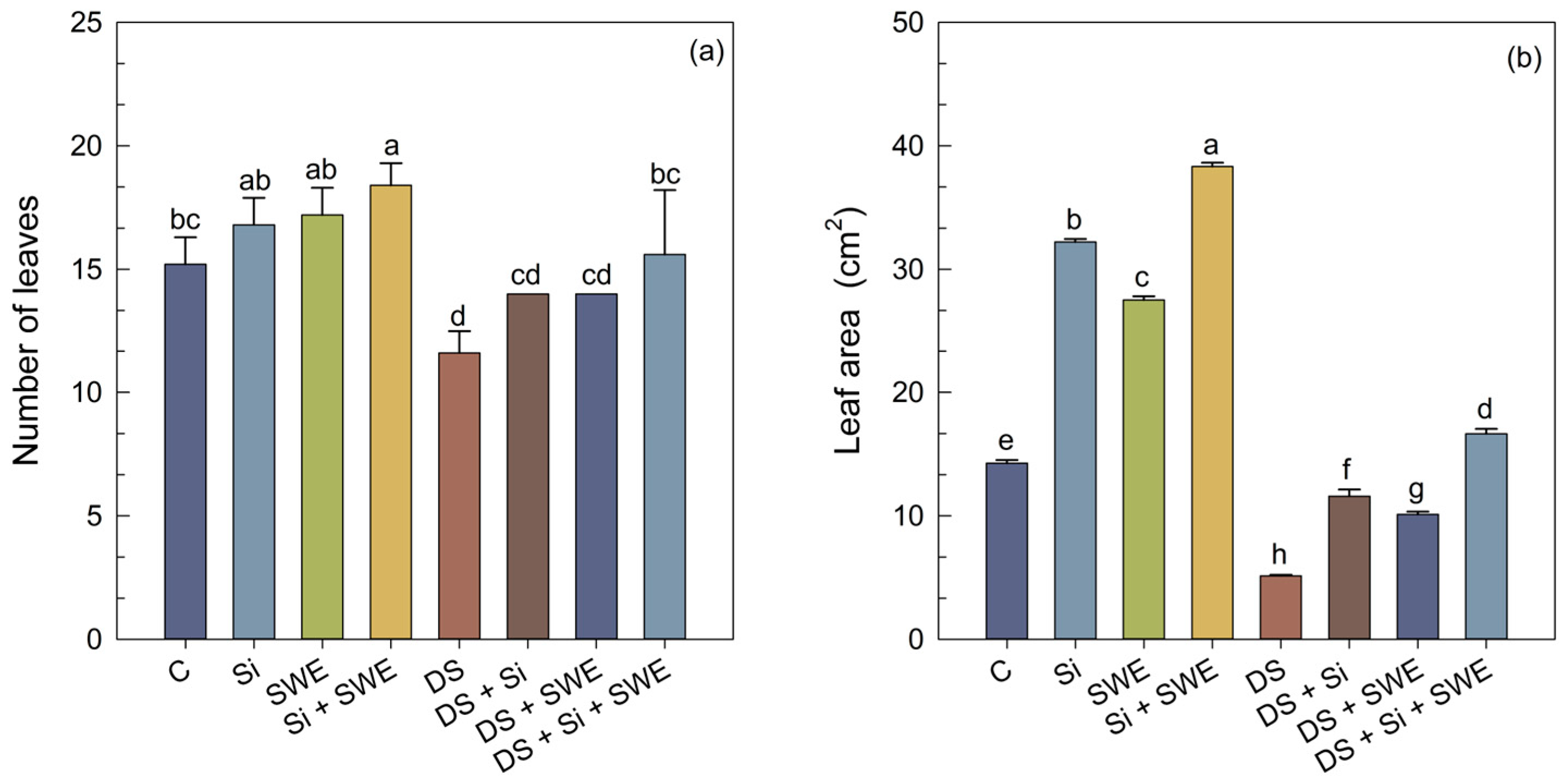
2.2. Number of Leaves and Leaf Area
2.3. Leaf Relative Water Content (LRWC) and Leaf Water Potential (LWP)
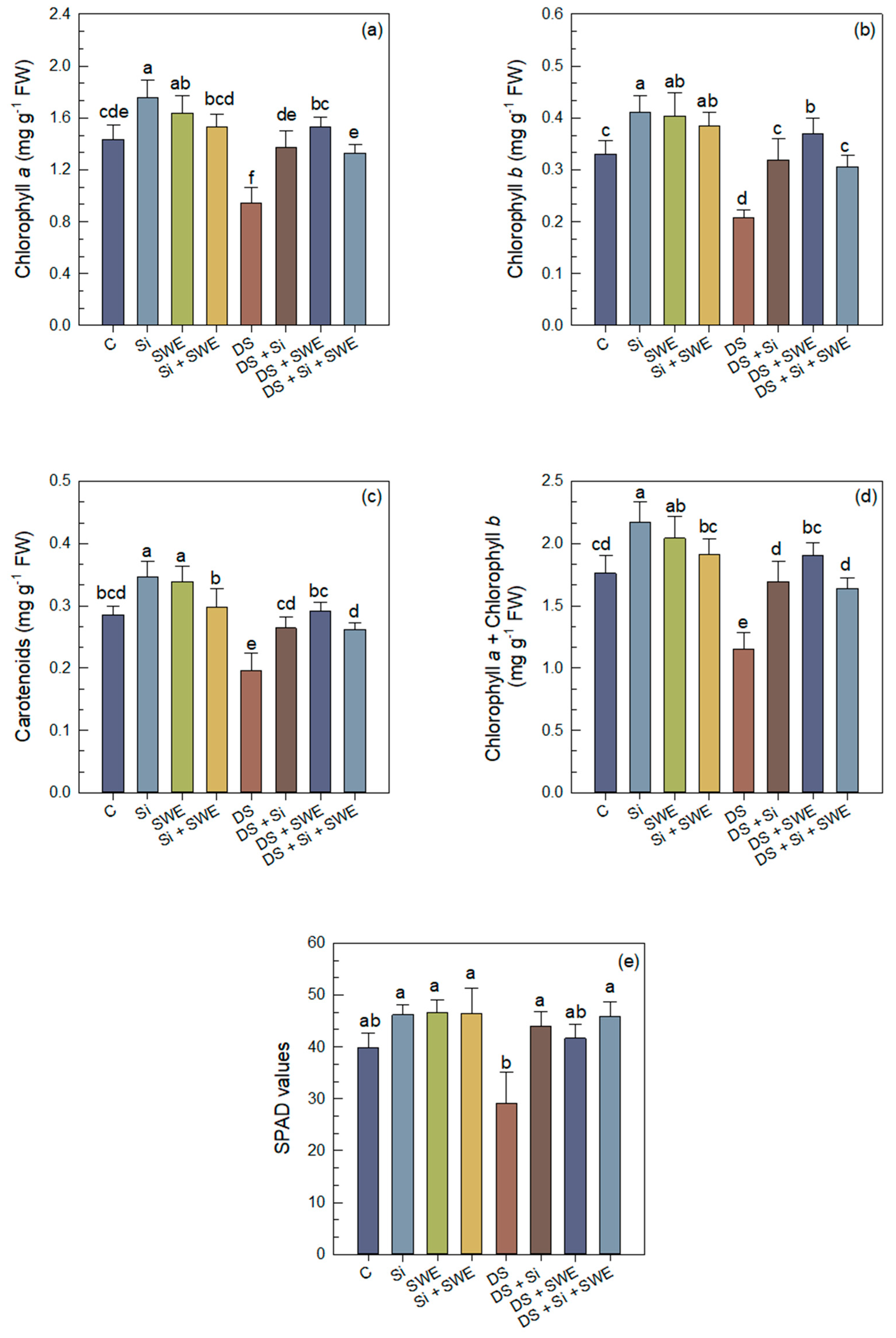
2.4. Photosynthetic Pigment Content
2.5. Photosynthetic Gas Exchange
2.6. Activities of PSI and PSII
2.7. Quantum Yield and Energy Conversion in Photosystem II
2.8. Quantum Yield and Energy Conversion in Photosystem I
2.9. Correlation Analysis
3. Discussion
4. Materials and Methods
4.1. Plant Material
4.2. Plant Collection Sites and Physicochemical and Biochemical Properties of the Brown Seaweed Algae
4.3. Experimental Procedure for Drought Stress
4.4. Experimental Design
4.5. Morphological Indicators of Growth
4.6. Leaf Relative Water Content (LRWC)
4.7. Leaf Water Potential (LWP) Determination
4.8. Photosynthetic Pigment Content
and carotenoids (μg mL−1) = (1000 × A470 − 3.27 × [chl. a] − 104 × [chl. b])/229
4.9. Photosynthetic Gas Exchange
4.10. Assessment of Photosystem Activities
4.11. Statistical Analysis
5. Conclusions
Author Contributions
Funding
Data Availability Statement
Acknowledgments
Conflicts of Interest
Abbreviations
| DS | Drought stress |
| SWE | Seaweed extract |
| Si | Silicon |
| FC | Field capacity |
| H2O2 | Hydrogen peroxide |
| O2− | Superoxide |
| ABA | Abscisic acid |
| ROS | Reactive Oxygen Species |
| LRWC | Leaf relative water content |
| SL | Shoot length |
| RL | Root length |
| RDW | Root dry weight |
| SDW | Shoot dry weight |
| SD | Stem diameter |
| WPDW | Whole plant dry weight |
| LA | Leaf area |
| NL | Number of leaves |
| LWP | Leaf water potential |
| FW | Fresh weight |
| TW | Full turgor |
| DW | Dry weight |
| SPAD | Soil–plant analysis development |
| E | Transpiration rate |
| gs | Stomatal conductance |
| A | Net CO2 assimilation |
| Fv/Fm | Maximal photosystem II quantum yield of dark-adapted samples |
| P700m | Maximal fluorescence yield of dark-adapted samples with all PSI centers closed |
| P700ox | Oxidized PSI |
| Y(II) | Quantum yield of photochemical energy conversion in PSII |
| Y(NPQ) | Quantum yield of regulated non-photochemical energy dissipation in PSII |
| Y(NO) | Quantum yield of non-regulated non-photochemical energy dissipation in PSII |
| ETR | Electron transport components |
| Y(I) | Quantum yield of photochemical energy conversion in PSI |
| Y(ND) | Quantum yield of non-photochemical energy dissipation in reaction centers limited by donor side |
| Y(NA) | Quantum yield of non-photochemical energy dissipation in reaction centers limited by acceptor side |
| PSI | Photosystem I |
| PSII | Photosystem II |
References
- Yuguda, Y.M. The Healing Power of Nature: An In-Depth Exploration of Medicinal Plants; Federal Polytechnic: Ilaro, Nigeria, 2023. [Google Scholar]
- Ahluwalia, O.; Singh, P.C.; Bhatia, R. A Review on Drought Stress in Plants: Implications, Mitigation and the Role of Plant Growth Promoting Rhizobacteria. Resour. Environ. Sustain. 2021, 5, 100032. [Google Scholar] [CrossRef]
- O’Connell, E. Towards Adaptation of Water Resource Systems to Climatic and Socio-Economic Change. Water Resour. Manag. 2017, 31, 2965–2984. [Google Scholar] [CrossRef]
- Haworth, M.; Marino, G.; Brunetti, C.; Killi, D.; De Carlo, A.; Centritto, M. The Impact of Heat Stress and Water Deficit on the Photosynthetic and Stomatal Physiology of Olive (Olea europaea L.)—A Case Study of the 2017 Heat Wave. Plants 2018, 7, 76. [Google Scholar] [CrossRef]
- Ojuederie, O.B.; Olanrewaju, O.S.; Babalola, O.O. Plant Growth Promoting Rhizobacterial Mitigation of Drought Stress in Crop Plants: Implications for Sustainable Agriculture. Agronomy 2019, 9, 712. [Google Scholar] [CrossRef]
- Aroca, R. (Ed.) Plant Responses to Drought Stress: From Morphological to Molecular Features; Springer: Berlin/Heidelberg, Germany, 2012. [Google Scholar] [CrossRef]
- Sachdev, S.; Ansari, S.A.; Ansari, M.I.; Fujita, M.; Hasanuzzaman, M. Abiotic Stress and Reactive Oxygen Species: Generation, Signaling, and Defense Mechanisms. Antioxidants 2021, 10, 277. [Google Scholar] [CrossRef]
- Oukaltouma, K.; El Moukhtari, A.; Lahrizi, Y.; Makoudi, B.; Mouradi, M.; Farissi, M.; Willems, A.; Qaddoury, A.; Bekkaoui, F. Physiological, biochemical and morphological tolerance mechanisms of faba bean (Vicia faba L.) to combined water-deficit and phosphorus limitation. J. Soil Sci. Plant Nutr. 2022, 22, 1632–1646. [Google Scholar] [CrossRef]
- Kumar, S.; Sachdeva, S.; Bhat, K.V.; Vats, S. Plant responses to drought stress: Physiological, biochemical and molecular basis. In Biotic and Abiotic Stress Tolerance in Plants; Vats, S., Ed.; Springer: Singapore, 2018; pp. 1–25. [Google Scholar]
- Ouhaddou, R.; Ech-Chatir, L.; Anli, M.; Ben-Laouane, R.; Boutasknit, A.; Meddich, A. Secondary metabolites, osmolytes and antioxidant activity as the main attributes enhanced by biostimulants for growth and resilience of lettuce to drought stress. Gesunde Pflanz. 2023, 75, 1737–1753. [Google Scholar] [CrossRef]
- Naceur, A.B.; Abdelly, C.; Naceur, M.B.B. Screening of North African barley genotypes for drought tolerance based on yields using tolerance indices under water deficit conditions. Turk. J. Field Crops 2018, 23, 135–145. [Google Scholar] [CrossRef]
- Li, F.L.; Bao, W.K.; Wu, N. Effects of water stress on growth, dry matter allocation and water-use efficiency of a leguminous species, Sophora davidii. Agrofor. Syst. 2009, 77, 193–201. [Google Scholar] [CrossRef]
- Farooq, M.; Hussain, M.; Ul-Allah, S.; Siddique, K.H. Physiological and agronomic approaches for improving water-use efficiency in crop plants. Agric. Water Manag. 2019, 219, 95–108. [Google Scholar] [CrossRef]
- Kabbadj, A.; Makoudi, B.; Mouradi, M.; Pauly, N.; Frendo, P.; Ghoulam, C. Physiological and biochemical responses involved in water deficit tolerance of nitrogen-fixing Vicia faba. PLoS ONE 2017, 12, e0190284. [Google Scholar] [CrossRef]
- Mouradi, M.; Bouizgaren, A.; Farissi, M.; Ghoulam, C. Assessment of deficit irrigation responses of Moroccan alfalfa (Medicago sativa L.) landraces grown under field conditions. Irrig. Drain. 2018, 67, 179–190. [Google Scholar] [CrossRef]
- Mili, A.; Das, S.; Nandakumar, K.; Lobo, R. A comprehensive review on Sesamum indicum L.: Botanical, ethnopharmacological, phytochemical, and pharmacological aspects. J. Ethnopharmacol. 2021, 281, 114503. [Google Scholar] [CrossRef] [PubMed]
- Dietz, K.J.; Zörb, C.; Geilfus, C.M. Drought and crop yield. Plant Biol. 2021, 23, 881–893. [Google Scholar] [CrossRef] [PubMed]
- Kouighat, M.; El Harfi, M.; Hanine, H.; El Fechtali, M.; Nabloussi, A. Moroccan sesame: Current situation, challenges, and recommended actions for its development. OCL 2022, 29, 27. [Google Scholar] [CrossRef]
- Kaur, T.; Devi, R.; Kour, D.; Yadav, A.; Yadav, A.N.; Dikilitas, M.; Abdel-Azeem, A.M.; Ahluwalia, A.S.; Saxena, A.K. Plant growth promoting soil microbiomes and their potential implications for agricultural and environmental sustainability. Biologia 2021, 76, 2687–2709. [Google Scholar] [CrossRef]
- Paul, M.J.; Nuccio, M.L.; Basu, S.S. Are GM crops for yield and resilience possible? Trends Plant Sci. 2018, 23, 10–16. [Google Scholar] [CrossRef]
- Jacomassi, L.M.; Viveiros, J.D.O.; Oliveira, M.P.; Momesso, L.; de Siqueira, G.F.; Crusciol, C.A.C. Seaweed-based biostimulant mitigates drought in sugarcane. Front. Plant Sci. 2022, 13, 865291. [Google Scholar] [CrossRef]
- Verma, K.K.; Song, X.-P.; Verma, C.L.; Chen, Z.-L.; Rajput, V.D.; Wu, K.-C.; Liao, F.; Chen, G.-L. Silicon-mediated regulation of leaf gas exchange mitigates water stress in sugarcane. Biol. Res. 2021, 54, 15. [Google Scholar] [CrossRef]
- Coskun, D.; Deshmukh, R.; Sonah, H.; Menzies, J.G.; Reynolds, O.; Ma, J.F.; Kronzucker, H.J.; Bélanger, R.R. The controversies of silicon’s role in plant biology. New Phytol. 2019, 221, 67–85. [Google Scholar] [CrossRef]
- Cao, B.L.; Wang, L.; Gao, S.; Xia, J.; Xu, K. Silicon-mediated changes in radial hydraulic conductivity and cell wall stability are involved in silicon-induced drought resistance in tomato. Protoplasma 2017, 254, 2295–2304. [Google Scholar] [CrossRef] [PubMed]
- Gong, H.J.; Chen, K.M.; Chen, G.C.; Wang, S.M.; Zhang, C.L. Effects of silicon on growth of wheat under drought. J. Plant Nutr. 2003, 26, 1055–1063. [Google Scholar] [CrossRef]
- Shi, X.; Xue, X.; Xu, H.; Yang, Y.; Kuang, Z.; Hou, X. Amelioration of salt-induced damage on Paeonia ostii ‘Fengdan’ by exogenous application of silicon. Agronomy 2023, 13, 1349. [Google Scholar] [CrossRef]
- Artyszak, A. Effect of silicon fertilization on crop yield quantity and quality—A literature review in Europe. Plants 2018, 7, 54. [Google Scholar] [CrossRef]
- Zhang, S.H.; Xu, X.F.; Sun, Y.M.; Zhang, J.-L.; Li, C.-Z. Drought hardening enhances physiological resistance in potato seedlings. J. Integr. Agric. 2018, 17, 336–347. [Google Scholar] [CrossRef]
- Bukhari, M.A.; Ahmad, Z.; Ashraf, M.Y.; Afzal, M.; Nawaz, F.; Nafees, M.; Jatoi, W.N.; Malghani, N.A.; Shah, A.N.; Manan, A. Silicon mitigates drought stress in wheat (Triticum aestivum L.) through improving photosynthetic pigments, biochemical and yield characters. Silicon 2021, 13, 4757–4772. [Google Scholar] [CrossRef]
- Falouti, M.; Ellouzi, H.; Bounaouara, F.; Farhat, N.; Aggag, A.M.; Debez, A.; Rabhi, M.; Abdelly, C.; Slama, I.; Zorrig, W. Higher activity of PSI compared to PSII accounts for the beneficial effect of silicon on barley (Hordeum vulgare L.) plants challenged with salinity. Photosynthetica 2022, 60, 508. [Google Scholar] [CrossRef]
- Falouti, M.; Ellouzi, H.; Amraoui, S.; Hemissi, I.; Bounaouara, F.; Rabhi, M.; Abdelly, C.; Zorrig, W.; Slama, I. Silicon (Si) seed priming improves growth and photosynthetic efficiency of barley plants under salt stress in agricultural field conditions. J. Plant Growth Regul. 2024, 44, 2405–2424. [Google Scholar] [CrossRef]
- Lamsaadi, N.; Hidri, R.; Zorrig, W.; El Moukhtari, A.; Debez, A.; Savouré, A.; Abdelly, C.; Farissi, M. Exogenous silicon alleviates salinity stress in fenugreek (Trigonella foenum-graecum L.) by enhancing photosystem activities, biological nitrogen fixation and antioxidant defence system. S. Afr. J. Bot. 2023, 159, 344–355. [Google Scholar] [CrossRef]
- Bounaouara, F.; Hidri, R.; Falouti, M.; Rabhi, M.; Abdelly, C.; Zorrig, W.; Slama, I. Silicon Mitigates Salinity Effects on Sorghum-Sudangrass (Sorghum bicolor × S. sudanense) by Enhancing Growth and Photosynthetic Efficiency. Funct. Plant Biol. 2024, 51, FP24029. [Google Scholar] [CrossRef] [PubMed]
- El Moukhtari, A.; Carol, P.; Mouradi, M.; Savoure, A.; Farissi, M. Silicon improves adaptations of alfalfa under salinity. Symbiosis 2021, 85, 305–324. [Google Scholar] [CrossRef]
- Lamsaadi, N.; El Moukhtari, A.; Oubenali, A.; Farissi, M. Exogenous silicon improves salt tolerance of fenugreek (Trigonella foenum-graecum L.) during seed germination and early seedling stages. Biologia 2022, 77, 2023–2036. [Google Scholar] [CrossRef]
- Panda, D.; Pramanik, K.; Nayak, B.R. Use of seaweed extracts as plant growth regulators for sustainable agriculture. Int. J. Bio-Resour. Stress Manag. 2012, 3, 404–411. [Google Scholar]
- Begum, M.; Bordoloi, B.C.; Singha, D.D.; Ojha, N.J. Role of seaweed extract on growth, yield and quality of some agricultural crops: A review. Agric. Rev. 2018, 39, 321–326. [Google Scholar] [CrossRef]
- Yao, D.R.A. Étude Des Cyanobactéries de la Lagune Aghien et de Leur Potentialité à Produire Des Métabolites Secondaires. Doctoral Thesis, Université Félix Houphouët Boigny, Abidjan, Côte d’Ivoire, 2020. [Google Scholar]
- Bagh, A.S.; Deepika, V.; Singh, S.; Mishra, S.; Ekka, S.K.; Kujur, R.; Lakra, J. Foliar application of seaweed extract and micronutrients on plant growth and yield of strawberry (Fragaria × Ananassa Duch) CV. Winter Dawn: A review. Asian J. Biol. 2024, 20, 25–31. [Google Scholar] [CrossRef]
- Khan, A.S.; Ahmad, B.; Jaskani, M.J.; Ahmad, R.; Malik, A.U. Foliar application of mixture of amino acids and seaweed (Ascophylum nodosum) extract improve growth and physicochemical properties of grapes. Int. J. Agric. Biol. 2012, 14, 383–388. [Google Scholar]
- Xu, C.; Leskovar, D.I. Effects of A. nodosum seaweed extracts on spinach growth, physiology and nutrition value under drought stress. Sci. Hortic. 2015, 183, 39–47. [Google Scholar] [CrossRef]
- Hernández-Herrera, R.M.; Sánchez-Hernández, C.V.; Palmeros-Suárez, P.A.; Ocampo-Alvarez, H.; Santacruz-Ruvalcaba, F.; Meza-Canales, I.D.; Becerril-Espinosa, A. Seaweed extract improves growth and productivity of tomato plants under salinity stress. Agronomy 2022, 12, 2495. [Google Scholar] [CrossRef]
- Waly, A.A.; Abd El-Fattah, Y.M.; Hassan, M.A.E.; El-Ghadban, E.A.E.; Abd Alla, A.S. Effect of foliar spraying with seaweeds extract, chitosan and potassium silicate on Rosmarinus officinalis L. plants in sandy soil. Sci. J. Flowers Ornam. Plants 2019, 6, 191–209. [Google Scholar] [CrossRef]
- Yamaguchi-Shinozaki, K.; Shinozaki, K. Transcriptional regulatory networks in dehydration and cold tolerance. Annu. Rev. Plant Biol. 2006, 57, 781–803. [Google Scholar] [CrossRef]
- Yang, X.; Lu, M.; Wang, Y.; Wang, Y.; Liu, Z.; Chen, S. Response mechanism of plants to drought stress. Horticulturae 2021, 7, 50. [Google Scholar] [CrossRef]
- Kang, J.; Peng, Y.; Xu, W. Crop Root Responses to Drought Stress: Molecular Mechanisms, Nutrient Regulations, and Interactions with Microorganisms in the Rhizosphere. Int. J. Mol. Sci. 2022, 23, 9310. [Google Scholar] [CrossRef]
- Kumar, A.; Bernier, J.; Verulkar, S.; Lafitte, H.R.; Atlin, G.N. Breeding for Drought Tolerance: Direct Selection for Yield, Response to Selection and Use of Drought-Tolerant Donors in Upland and Lowland-Adapted Populations. Field Crops Res. 2008, 107, 221–231. [Google Scholar] [CrossRef]
- Dietrich, D. Hydrotropism: How Roots Search for Water. J. Exp. Bot. 2018, 69, 2759–2771. [Google Scholar] [CrossRef]
- Riaz, M.; Farooq, J.; Sakhawat, G.; Mahmood, A.; Sadiq, M.A.; Yaseen, M. Genotypic variability for root/shoot parameters under water stress in cotton. Genet. Mol. Res. 2013, 12, 552–561. [Google Scholar] [CrossRef] [PubMed]
- Ahmad, S.; Kamran, M.; Ding, R.; Meng, X.; Wang, H.; Ahmad, I.; Fahad, S.; Han, Q. Exogenous melatonin confers drought stress by promoting plant growth, photosynthetic capacity and antioxidant defense system of maize seedlings. PeerJ 2019, 7, e7793. [Google Scholar] [CrossRef]
- Kouighat, M.; Kettani, R.; El Fechtali, M.; Nabloussi, A. Exploring Mechanisms of Drought-Tolerance and Adaptation of Selected Sesame Mutant Lines. J. Agric. Food Res. 2024, 15, 100911. [Google Scholar] [CrossRef]
- Mouradi, M.; Farissi, M.; Bouizgaren, A.; Makoudi, B.; Kabbadj, A.; Very, A.A.; Sentenac, H.; Qaddourya, A.; Ghoulam, C. Effects of water deficit on growth, nodulation and physiological and biochemical processes in Medicago sativa–rhizobia symbiosis. Arid Land Res. Manag. 2016, 30, 193–208. [Google Scholar] [CrossRef]
- Kirkham, M.B. Principles of Soil and Plant Water Relations, 3rd ed.; Elsevier: Amsterdam, The Netherlands, 2023; pp. 1–598. [Google Scholar]
- El Boukhari, M.E.M.; Barakate, M.; Drissi, B.; Bouhia, Y.; Lyamlouli, K. Seaweed Extract Biostimulants Differentially Act in Mitigating Drought Stress on Faba Bean (Vicia faba L.). J. Plant Growth Regul. 2023, 42, 5642–5652. [Google Scholar] [CrossRef]
- Farouk, S.; Omar, M.M. Sweet Basil Growth, Physiological and Ultrastructural Modification, and Oxidative Defense System under Water Deficit and Silicon Forms Treatment. J. Plant Growth Regul. 2020, 39, 1307–1331. [Google Scholar] [CrossRef]
- Farissi, M.; Bouizgaren, A.; Faghire, M.; Bargaz, A.; Ghoulam, C. Agrophysiological and Biochemical Properties Associated with Adaptation of Medicago sativa Populations to Water Deficit. Turk. J. Bot. 2013, 37, 1166–1175. [Google Scholar] [CrossRef]
- Gong, H.; Chen, K. The Regulatory Role of Silicon on Water Relations, Photosynthetic Gas Exchange, and Carboxylation Activities of Wheat Leaves in Field Drought Conditions. Acta Physiol. Plant. 2012, 34, 1589–1594. [Google Scholar] [CrossRef]
- Vilagrosa, A.; Chirino, E.; Peguero-Pina, J.J.; Barigah, T.S.; Cochard, H.; Gil-Pelegrín, E. Xylem cavitation and embolism in water-limited ecosystems. In Plant Responses to Drought Stress; Aroca, R., Ed.; Springer: Berlin/Heidelberg, Germany, 2012; pp. 63–109. [Google Scholar]
- Chen, Z.; Li, S.; Wan, X.; Liu, S. Strategies of tree species to adapt to drought from leaf stomatal regulation and stem embolism resistance to root properties. Front. Plant Sci. 2022, 13, 926535. [Google Scholar] [CrossRef] [PubMed]
- Zonouri, M.; Javadi, T.; Ghaderi, N.; Saba, M.K. Foliar ascorbic acid alleviates drought in grapes. Int. J. Adv. Biol. Biomed. Res. 2014, 7, 349–354. [Google Scholar]
- Batra, N.G.; Sharma, V.; Kumari, N. Drought-Induced Changes in Chlorophyll Fluorescence, Photosynthetic Pigments, and Thylakoid Membrane Proteins of Vigna radiata. J. Plant Interact. 2014, 9, 712–721. [Google Scholar] [CrossRef]
- Bijanzadeh, E.; Emam, Y. Effect of Defoliation and Drought Stress on Yield Components and Chlorophyll Content of Wheat. Pak. J. Biol. Sci. 2010, 13, 699–705. [Google Scholar] [CrossRef]
- Yang, J.; Zhang, J.; Wang, Z.; Zhu, Q.; Liu, L. Water-deficit-induced senescence and remobilization of pre-stored carbon during wheat grain filling. Agron. J. 2001, 93, 196–206. [Google Scholar] [CrossRef]
- Kannan, N.D.; Kulandaivelu, G. Drought-induced physiological and phytochemical changes in Withania somnifera. J. Med. Plants Res. 2011, 5, 3929–3935. [Google Scholar]
- Khayatnezhad, M.; Gholamin, R. The effect of drought stress on leaf chlorophyll content and stress resistance in maize cultivars (Zea mays). Afr. J. Microbiol. Res. 2012, 6, 2844–2848. [Google Scholar] [CrossRef]
- Biruk, L.N.; Tomasella, M.; Petruzzellis, F.; Nardini, A. Better Safe than Sorry: The Unexpected Drought Tolerance of a Wetland Plant (Cyperus alternifolius L.). Physiol. Plant. 2025, 177, e70027. [Google Scholar] [CrossRef]
- Checchio, M.V.; Bacha, A.L.; Carrega, W.C.; Da Silveira Sousa Júnior, G.; Da Costa Aguiar Alves, P.L.; Gratão, P.L. Modulatory Responses of Physiological and Biochemical Status Are Related to Drought Tolerance Levels in Peanut Cultivars. Plant Biol. 2025, 27, 116–124. [Google Scholar] [CrossRef] [PubMed]
- Mazhar, M.W.; Ishtiaq, M.; Maqbool, M.; Muzammil, K.; Mohieldin, A.; Dawria, A.; Altijani, A.A.G.; Salih, A.; Ali, O.Y.M.; Elzaki, A.A.M.; et al. Optimizing water relations, gas-exchange parameters, biochemical attributes and yield of water-stressed maize plants through seed priming with iron oxide nanoparticles. BMC Plant Biol. 2024, 24, 624. [Google Scholar] [CrossRef]
- Flexas, J.; Bota, J.; Galmés, J.; Medrano, H.; Ribas-Carbó, M. Keeping a Positive Carbon Balance under Adverse Conditions: Responses of Photosynthesis and Respiration to Water Stress. Physiol. Plant. 2006, 127, 343–352. [Google Scholar] [CrossRef]
- Demmig-Adams, B.; Adams, W.W. Photoprotection in an Ecological Context: The Remarkable Complexity of Thermal Energy Dissipation. New Phytol. 2006, 172, 11–21. [Google Scholar] [CrossRef]
- Rahbarian, R.; Khavari-Nejad, R.; Ganjeali, A.; Bagheri, A.; Najafi, F. Drought stress effects on photosynthesis, chlorophyll fluorescence and water relations in chickpea genotypes. Acta Biol. Cracov. Ser. Bot. 2011, 53, 47–56. [Google Scholar] [CrossRef]
- Filella, I.; Llusia, J.; Piñol, J.; Peñuelas, J. Leaf gas exchange and fluorescence of Phillyrea latifolia, Pistacia lentiscus and Quercus ilex saplings in severe drought and high temperature conditions. Environ. Exp. Bot. 1998, 39, 213–220. [Google Scholar] [CrossRef]
- Sommer, S.G.; Han, E.; Li, X.; Rosenqvist, E.; Liu, F. Chlorophyll fluorescence (Fv/Fm) predicts wheat yield loss after severe drought at two CO2 levels. Plants 2023, 12, 436. [Google Scholar] [CrossRef]
- Oukarroum, A.; Schansker, G.; Strasser, R.J. Drought stress effects on PSI content and PSII thermotolerance analysed with Chl-a fluorescence kinetics in barley. Physiol. Plant. 2009, 137, 188–199. [Google Scholar] [CrossRef]
- Piper, F.I.; Corcuera, L.J.; Alberdi, M.; Lusk, C. Photosynthetic and survival responses to soil drought in two evergreen Nothofagus species. Ann. For. Sci. 2007, 64, 447–452. [Google Scholar] [CrossRef]
- Wang, Z.; Li, G.; Sun, H.; Ma, L.; Guo, Y.; Zhao, Z.; Gao, H.; Mei, L. Drought effects on photosynthesis and the electron-transport chain in young apple leaves. Biol. Open 2018, 7, bio035279. [Google Scholar] [CrossRef]
- Bashir, N.; Athar, H.-u.-R.; Kalaji, H.M.; Wróbel, J.; Mahmood, S.; Zafar, Z.U.; Ashraf, M. Is Photoprotection of PSII One of the Key Mechanisms for Drought Tolerance in Maize? Int. J. Mol. Sci. 2021, 22, 13490. [Google Scholar] [CrossRef]
- Patel, M.; Fatnani, D.; Parida, A.K. Silicon-induced mitigation of drought stress in peanut (Arachis hypogaea L.). Plant Physiol. Biochem. 2021, 166, 290–313. [Google Scholar] [CrossRef]
- Rizwan, M.; Ali, S.; Ibrahim, M.; Farid, M.; Adrees, M.; Bharwana, S.A.; Zia-Ur-Rehman, M.; Qayyum, M.F.; Abbas, F. Mechanisms of silicon-mediated alleviation of drought and salt stress: A review. Environ. Sci. Pollut. Res. 2015, 22, 15416–15431. [Google Scholar] [CrossRef]
- Sonobe, K.; Hattori, T.; An, P.; Tsuji, W.; Eneji, A.E.; Kobayashi, S.; Kawamura, Y.; Tanaka, K.; Inanaga, S. Silicon application alters sorghum root responses to water stress. J. Plant Nutr. 2011, 34, 71–82. [Google Scholar] [CrossRef]
- Ali, O.; Ramsubhag, A.; Jayaraman, J. Biostimulant Properties of Seaweed Extracts in Plants: Implications towards Sustainable Crop Production. Plants 2021, 10, 531. [Google Scholar] [CrossRef]
- Aurangzaib, M.; Ahmad, Z.; Jalil, M.I.; Nawaz, F.; Shaheen, M.R.; Ahmad, M.; Hussain, A.; Ejaz, M.K.; Tabassum, M.A. Foliar Spray of Silicon Confers Drought Tolerance in Wheat (Triticum aestivum L.) by Enhancing Morpho-Physiological and Antioxidant Potential. Silicon 2022, 14, 4793–4807. [Google Scholar] [CrossRef]
- Maghsoudi, K.; Emam, Y.; Ashraf, M. Influence of foliar application of silicon on chlorophyll fluorescence, photosynthetic pigments, and growth in water-stressed wheat cultivars differing in drought tolerance. Turk. J. Bot. 2015, 39, 593–602. [Google Scholar] [CrossRef]
- Asgharipour, M.R.; Mosapour, H. A foliar application of silicon enhances drought tolerance in fennel. J. Plant Nutr. 2016, 39, 992–1000. [Google Scholar]
- Ullah, U.; Ashraf, M.; Shahzad, S.M.; Siddiqui, A.R.; Piracha, M.A.; Suleman, M. Growth behavior of tomato (Solanum lycopersicum L.) under drought stress in the presence of silicon and plant growth promoting rhizobacteria. Soil Environ. 2016, 35, 65–75. [Google Scholar]
- Renaut, S.; Masse, J.; Norrie, J.P.; Blal, B.; Hijri, M. A commercial seaweed extract structured microbial communities associated with tomato and pepper roots and significantly increased crop yield. Microb. Biotechnol. 2019, 12, 1346–1358. [Google Scholar] [CrossRef]
- El Boukhari, M.E.M.; Barakate, M.; Bouhia, Y.; Lyamlouli, K. Trends in seaweed extract based biostimulants: Manufacturing process and beneficial effect on soil-plant systems. Plants 2020, 9, 359. [Google Scholar] [CrossRef] [PubMed]
- Sujata; Goyal, V.; Baliyan, V.; Avtar, R.; Mehrotra, S. Alleviating drought stress in Brassica juncea (L.) Czern & Coss. by foliar application of biostimulants—Orthosilicic acid and seaweed extract. Appl. Biochem. Biotechnol. 2023, 195, 693–721. [Google Scholar] [CrossRef]
- Vandegeer, R.K.; Cibils-Stewart, X.; Wuhrer, R.; Hartley, S.E.; Tissue, D.T.; Johnson, S.N. Leaf silicification defends against herbivory irrespective of water stress. Funct. Ecol. 2021, 35, 1200–1211. [Google Scholar] [CrossRef]
- Savant, N.K.; Datnoff, L.E.; Snyder, G.H. Depletion of plant-available silicon in soils: A possible cause of declining rice yields. Commun. Soil Sci. Plant Anal. 1997, 28, 1245–1252. [Google Scholar] [CrossRef]
- Karmollachaab, A.; Gharineg, M.H.; Bakhshandeh, M.; Telavat, M.R.M.; Fathi, G. Silicon improves physiological traits and growth of wheat under drought. Agroecology 2014, 5, 430–442. [Google Scholar]
- Gong, H.; Zhu, X.; Chen, K.; Wang, S.; Zhang, C. Silicon Alleviates Oxidative Damage of Wheat Plants in Pots under Drought. Plant Sci. 2005, 169, 313–321. [Google Scholar] [CrossRef]
- Zydlik, Z.; Pacholak, E.; Rutkowski, K. Actisil effects on strawberry growth in long-term monoculture soil. Zesz. Probl. Postępów Nauk. Rol. 2009, 536, 483–490. [Google Scholar]
- Laane, H.-M. The Effects of Foliar Sprays with Different Silicon Compounds. Plants 2018, 7, 45. [Google Scholar] [CrossRef]
- Laifa, I.; Ellouzi, H.; Idoudi, M.; Farhat, N.; Rabhi, M.; Mahmoudi, H.; Smaoui, A.; Debez, A.; Cabassa-Hourton, C.; Savouré, A.; et al. Silicon (Si) Treatment Has Preferential Beneficial Effects on Photosystem I Photochemistry in Salt-Treated Hordeum marinum (Huds.) Plants. J. Soil Sci. Plant Nutr. 2023, 23, 3232–3248. [Google Scholar] [CrossRef]
- Nour, K.; Mansour, N.; Abd El-Hakim, W. Influence of foliar spray with seaweed extracts on growth, setting and yield of tomato during summer season. J. Plant Prod. 2010, 1, 961–976. [Google Scholar] [CrossRef]
- Battacharyya, D.; Babgohari, M.Z.; Rathor, P.; Prithiviraj, B. Seaweed extracts as biostimulants in horticulture. Sci. Hortic. 2015, 196, 39–48. [Google Scholar] [CrossRef]
- Tarraf, S.A.; Talaat, I.M.; El-Sayed, A.E.B.; Balbaa, L.K. Algae extract and amino acids improve fenugreek in sandy and clay soils. Nusant. Biosci. 2015, 7, 35–41. [Google Scholar] [CrossRef]
- Borrell, A.K.; Hammer, G.L.; Douglas, A.C.L. Does Maintaining Green Leaf Area in Sorghum Improve Yield under Drought? I. Leaf Growth and Senescence. Crop Sci. 2000, 40, 1026–1037. [Google Scholar] [CrossRef]
- Abd El-Dayem, H. Effect of Silicon and Algae Extract Foliar Application on Growth and Early Yield of Globe Artichoke Plants. Ann. Agric. Sci. Moshtohor 2018, 56, 207–214. [Google Scholar] [CrossRef][Green Version]
- Saleh, M.A.; Atala, S.A.; Bardisi, E.A. Potassium silicate and seaweed extract improve potato growth, quality and storability. Sci. J. Agric. Sci. 2024, 6, 78–96. [Google Scholar] [CrossRef]
- Idoudi, M.; Slatni, T.; Laifa, I.; Rhimi, N.; Rabhi, M.; Hernández-Apaolaza, L.; Zorrig, W.; Abdelly, C. Silicon mitigates iron deficiency in common bean by improving photosystems and nutrition. Plant Physiol. Biochem. 2024, 206, 108236. [Google Scholar] [CrossRef]
- Pilon, C.; Soratto, R.P.; Broetto, F.; Fernandes, A.M. Foliar or soil applications of silicon alleviate water-deficit stress of potato. Agron. J. 2014, 106, 2325–2334. [Google Scholar] [CrossRef]
- Kumari, R.; Kaur, I.; Bhatnagar, A.K. Effect of Aqueous Extract of Sargassum johnstonii Setchell & Gardner on Growth, Yield and Quality of Lycopersicon esculentum Mill. J. Appl. Phycol. 2011, 23, 623–633. [Google Scholar] [CrossRef]
- Rouphael, Y.; De Micco, V.; Arena, C.; Raimondi, G.; Colla, G.; De Pascale, S. Ecklonia maxima seaweed extract improves zucchini squash under salinity. J. Appl. Phycol. 2017, 29, 459–470. [Google Scholar] [CrossRef]
- Spann, T.M.; Little, H.A. Ascophyllum nodosum extract increases drought tolerance in nursery sweet orange. HortScience 2011, 46, 577–582. [Google Scholar] [CrossRef]
- Santaniello, A.; Scartazza, A.; Gresta, F.; Loreti, E.; Biasone, A.; Di Tommaso, D.; Piaggesi, A.; Perata, P. Ascophyllum nodosum extract alleviates drought in Arabidopsis. Front. Plant Sci. 2017, 8, 1362. [Google Scholar] [CrossRef]
- Ayyat, A.; Abdel-Mola, M. Response of Tagetes patula Plants to Foliar Application of Potassium Silicate and Seaweed Extract under Various Irrigation Intervals. Sci. J. Flowers Ornam. Plants 2020, 7, 513–526. [Google Scholar] [CrossRef]
- Ksiaa, M.; Farhat, N.; Rabhi, M.; Elkhouni, A.; Smaoui, A.; Debez, A.; Cabassa-Hourton, C.; Savouré, A.; Abdelly, C.; Zorrig, W. Silicon (Si) alleviates iron deficiency effects in sea barley (Hordeum marinum) by enhancing iron accumulation and photosystem activities. Silicon 2022, 14, 6697–6712. [Google Scholar] [CrossRef]
- Chebil Ajjabi, L.; Ben Ammar, I.; Ktari, L.; Cherif, D.; Cherifi, H.; Sadok, S. Effet de l’extrait liquide de l’algue verte Chaetomorpha linum (Müller) kütz., 1849 sur la germination et la croissance du ble dur triticum turgidum L. subsp. durum. INSTM Bull. Mar. Freshw. Sci. 2021, 46, 133–145. [Google Scholar]
- Hewitt, E.J. Sand and Water Culture Methods Used in the Study of Plant Nutrition, 2nd ed.; Commonwealth Bureau of Horticultural and Plantation Crops: East Malling, UK, 1966; Technical Communication No. 22; pp. 1–547. [Google Scholar]
- Barrs, H.D.; Weatherley, P.E. A re-examination of the relative turgidity technique for estimating water deficits in leaves. Aust. J. Biol. Sci. 1962, 15, 413–428. [Google Scholar] [CrossRef]
- Lichtenthaler, H.K. Chlorophylls and carotenoids: Pigments of photosynthetic biomembranes. In Methods in Enzymology, 1st ed.; Colowick, S.P., Kaplan, N.O., Eds.; Academic Press: San Diego, CA, USA, 1987; Volume 148, pp. 350–382. [Google Scholar] [CrossRef]
- Klughammer, C.; Schreiber, U. Complementary PS II quantum yields calculated from simple fluorescence parameters measured by PAM fluorometry and the Saturation Pulse method. PAM Appl. Notes 2008, 1, 27–35. [Google Scholar]
- Klughammer, C.; Schreiber, U. Saturation Pulse method for assessment of energy conversion in PS I. PAM Appl. Notes 2008, 1, 11–14. [Google Scholar]










| Variables | DS | DS + Si | DS | DS + SWE | DS | DS + Si + SWE | |
|---|---|---|---|---|---|---|---|
| −1 | RL | −0.91 * | 0.91 * | −0.86 * | 0.86 * | −0.95 * | 0.95 * |
| −0.9 | SL | −0.88 * | 0.88 * | −0.89 * | 0.89 * | −0.99 * | 0.99 * |
| −0.8 | SD | −0.86 * | 0.86 * | −0.51 | 0.51 | −0.94 * | 0.94 * |
| −0.7 | RDW | −0.94 * | 0.94 * | −0.93 * | 0.93 * | −0.99 * | 0.99 * |
| −0.6 | SDW | −0.88 * | 0.88 * | −0.89 * | 0.89 * | −0.80 * | 0.80 * |
| −0.5 | WPDW | −0.91 * | 0.91 * | −0.91 * | 0.91 * | −0.85 * | 0.85 * |
| −0.4 | NL | −0.90 * | 0.90 * | −0.90 * | 0.90 * | −0.75 * | 0.75 * |
| −0.3 | LA | −0.99 * | 0.99 * | −0.99 * | 0.99 * | −0.99 * | 0.99 * |
| −0.2 | LRWC | −0.79 * | 0.79 * | −0.89 * | 0.89 * | −0.88 * | 0.88 * |
| −0.1 | LWP | −0.98 * | 0.98 * | −0.98 * | 0.98 * | −0.99 * | 0.99 * |
| 0 | Chl. a | −0.90 * | 0.90 * | −0.96 * | 0.96 * | −0.92 * | 0.92 * |
| 0.1 | Chl. b | −0.90 * | 0.90 * | −0.96 * | 0.96 * | −0.93 * | 0.93 * |
| 0.2 | Car. | −0.86 * | 0.86 * | −0.93 * | 0.93 * | −0.89 * | 0.89 * |
| 0.3 | Chl. a + Chl. b | −0.90 * | 0.90 * | −0.96 * | 0.96 * | −0.93 * | 0.93 * |
| 0.4 | SPAD | −0.86 * | 0.86 * | −0.82 * | 0.82 * | −0.89 * | 0.89 * |
| 0.5 | E | −0.83 * | 0.83 * | −0.98 * | 0.98 * | −0.98 * | 0.98 * |
| 0.6 | gs | −0.84 * | 0.84 * | −0.98 * | 0.98 * | −0.96 * | 0.96 * |
| 0.7 | A | −0.88 * | 0.88 * | −0.91 * | 0.91 * | −0.86 * | 0.86 * |
| 0.8 | Fv/Fm | −0.93 * | 0.93 * | −0.90 * | 0.90 * | −0.92 * | 0.92 * |
| 0.9 | P 700ox | −0.94 * | 0.94 * | −0.64 | 0.64 | −0.20 | 0.20 |
| 1 | P700 m | −0.96 * | 0.96 * | −0.95 * | 0.95 * | −0.92 * | 0.92 * |
| Characteristics | Values |
|---|---|
| pH | 7.3 ± 0.10 |
| Electrical conductivity (µS/cm) | 1.196 ± 2.03 |
| Total soluble sugars (mg/g DW) | 31.17 ± 0.03 |
| Potassium (mg/L) | 30.43 ± 0.03 |
| Magnesium (m/L) | 27.22 ± 0.002 |
| Calcium (mg/L) | 43.8 ± 0.004 |
| Chloride (mg/L) | 40.54 ± 0.001 |
| Nitrate (mg/L) | 5.83 ± 0.02 |
| Sulfate (mg/L) | 22.47 ± 0.04 |
| Sodium (mg/L) | 149.11 ± 0.00 |
| Total polyphenol content (mg/g DW) | 24.31 ± 0.00 |
| Flavonoid content (mg/g DW) | 3.61 ± 1.14 |
| Phosphorus content (mg/g DW) | 34.34 ± 0.10 |
| Proline content (mg/g DW) | 2.90 ± 0.52 |
| Total antioxidant activity (mg GAE/g DW) | 28.79 ± 3.31 |
| Protein content (mg/g DW) | 18.73 ± 0.10 |
Disclaimer/Publisher’s Note: The statements, opinions and data contained in all publications are solely those of the individual author(s) and contributor(s) and not of MDPI and/or the editor(s). MDPI and/or the editor(s) disclaim responsibility for any injury to people or property resulting from any ideas, methods, instructions or products referred to in the content. |
© 2025 by the authors. Licensee MDPI, Basel, Switzerland. This article is an open access article distributed under the terms and conditions of the Creative Commons Attribution (CC BY) license (https://creativecommons.org/licenses/by/4.0/).
Share and Cite
Lahmaoui, S.; Hidri, R.; Msaad, H.; Farssi, O.; Lamsaadi, N.; El Moukhtari, A.; Zorrig, W.; Farissi, M. Biostimulatory Effects of Foliar Application of Silicon and Sargassum muticum Extracts on Sesame Under Drought Stress Conditions. Plants 2025, 14, 2358. https://doi.org/10.3390/plants14152358
Lahmaoui S, Hidri R, Msaad H, Farssi O, Lamsaadi N, El Moukhtari A, Zorrig W, Farissi M. Biostimulatory Effects of Foliar Application of Silicon and Sargassum muticum Extracts on Sesame Under Drought Stress Conditions. Plants. 2025; 14(15):2358. https://doi.org/10.3390/plants14152358
Chicago/Turabian StyleLahmaoui, Soukaina, Rabaa Hidri, Hamid Msaad, Omar Farssi, Nadia Lamsaadi, Ahmed El Moukhtari, Walid Zorrig, and Mohamed Farissi. 2025. "Biostimulatory Effects of Foliar Application of Silicon and Sargassum muticum Extracts on Sesame Under Drought Stress Conditions" Plants 14, no. 15: 2358. https://doi.org/10.3390/plants14152358
APA StyleLahmaoui, S., Hidri, R., Msaad, H., Farssi, O., Lamsaadi, N., El Moukhtari, A., Zorrig, W., & Farissi, M. (2025). Biostimulatory Effects of Foliar Application of Silicon and Sargassum muticum Extracts on Sesame Under Drought Stress Conditions. Plants, 14(15), 2358. https://doi.org/10.3390/plants14152358

