Disease-Resistance Functional Analysis and Screening of Interacting Proteins of ZmCpn60-3, a Chaperonin 60 Protein from Maize
Abstract
1. Introduction
2. Results
2.1. Identification and Cloning of ZmCpn60-3
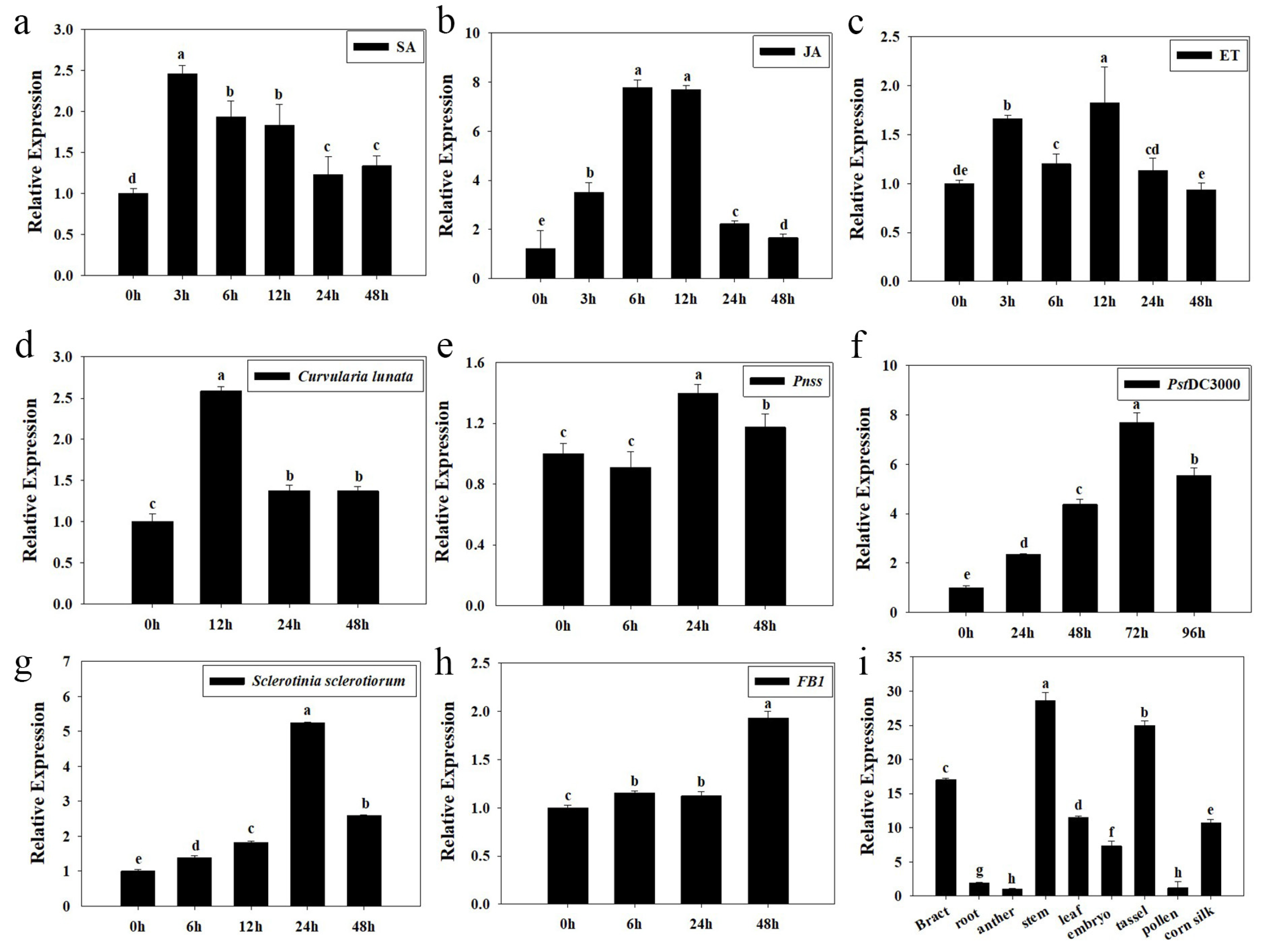
2.2. Tissure Expression and Induction Patterns of ZmCpn60-3
2.3. Overexpression of ZmCpn60-3 in Arabidopsis Increases Resistance to Pst DC3000
2.4. ZmCpn60-3-Overexpressing Arabidopsis Exhibited Resistance to Pst DC3000 Through the SA-Mediated Signaling Pathway

2.5. Screening of ZmCpn60-3 Interactive Proteins in Maize Using Yeast Two-Hybrid Assay
3. Discussion
4. Materials and Methods
4.1. Bioinformatics Analysis of ZmCpn60-3
4.2. Vector Construction and Arabidopsis Transformation
4.3. Pathogen Cultivation
4.4. Plant Materials and Treatments
4.5. Quantitative PCR
4.6. DAB and Trypan Blue Staining
4.7. Detection of H2O2
4.8. Effects of ZmCpn60-3 Overexpression on Resistance Genes in the Maize Protoplast Using the Transient Expression System
4.9. Detection of SA and JA in ZmCpn60-3-Overexpressing Arabidopsis
4.10. Screening of Interacting Proteins in Maize cDNA Library
4.11. Statistical Analysis
4.12. Bimolecular Fluorescent Complimentary
5. Conclusions
Supplementary Materials
Author Contributions
Funding
Data Availability Statement
Acknowledgments
Conflicts of Interest
References
- Hartl, F.U.; Bracher, A.; Hayer-Hartl, M. Molecular chaperones in protein folding and proteostasis. Nature 2011, 475, 324–332. [Google Scholar] [CrossRef] [PubMed]
- Schroda, M. The Chlamydomonas genome reveals its secrets: Chaperone genes and the potential roles of their gene products in the chloroplast. Photosynth. Res. 2004, 82, 221–240. [Google Scholar] [CrossRef] [PubMed]
- Zhang, S.; Zhou, H.; Yu, F.; Bai, C.; Zhao, Q.; He, J.; Liu, C. Structural insight into the cooperation of chloroplast chaperonin subunits. BMC Biol. 2016, 14, 29. [Google Scholar] [CrossRef] [PubMed]
- Cheng, M.Y.; Hartl, F.-U.; Martin, J.; Pollock, R.A.; Kalousek, F.; Neuper, W.; Hallberg, E.M.; Hallberg, R.L.; Horwich, A.L. Mitochondrial heat-shock protein hsp60 is essential for assembly of proteins imported into yeast mitochondria. Nature 1989, 337, 620–625. [Google Scholar] [CrossRef]
- Huo, Y.; Hu, Z.; Zhang, K.; Wang, L.; Zhai, Y.; Zhou, Q.; Lander, G.; Zhu, J.; He, Y.; Pang, X. Crystal structure of group II chaperonin in the open state. Structure 2010, 18, 1270–1279. [Google Scholar] [CrossRef]
- Leitner, A.; Joachimiak, L.A.; Bracher, A.; Mönkemeyer, L.; Walzthoeni, T.; Chen, B.; Pechmann, S.; Holmes, S.; Cong, Y.; Ma, B. The molecular architecture of the eukaryotic chaperonin TRiC/CCT. Structure 2012, 20, 814–825. [Google Scholar] [CrossRef]
- Bukau, B.; Horwich, A.L. The Hsp70 and Hsp60 chaperone machines. Cell 1998, 92, 351–366. [Google Scholar] [CrossRef]
- Ditzel, L.; Löwe, J.; Stock, D.; Stetter, K.-O.; Huber, H.; Huber, R.; Steinbacher, S. Crystal structure of the thermosome, the archaeal chaperonin and homolog of CCT. Cell 1998, 93, 125–138. [Google Scholar] [CrossRef]
- Cloney, L.P.; Bekkaoui, D.R.; Feist, G.L.; Lane, W.S.; Hemmingsen, S.M. Brassica napus plastid and mitochondrial chaperonin-60 proteins contain multiple distinct polypeptides. Plant Physiol. 1994, 105, 233–241. [Google Scholar] [CrossRef]
- Gruber, A.V.; Nisemblat, S.; Azem, A.; Weiss, C. The complexity of chloroplast chaperonins. Trends Plant Sci. 2013, 18, 688–694. [Google Scholar] [CrossRef]
- Hill, J.E.; Hemmingsen, S.M. Arabidopsis thaliana type I and II chaperonins. Cell Stress Chaperones 2001, 6, 190. [Google Scholar] [CrossRef] [PubMed]
- Nishio, K.; Hirohashi, T.; Nakai, M. Chloroplast chaperonins: Evidence for heterogeneous assembly of α and β Cpn60 polypeptides into a chaperonin oligomer. Biochem. Biophys. Res. Commun. 1999, 266, 584–587. [Google Scholar] [CrossRef] [PubMed]
- Apuya, N.R.; Yadegari, R.; Fischer, R.L.; Harada, J.J.; Zimmerman, J.L.; Goldberg, R.B. The Arabidopsis embryo mutant schlepperless has a defect in the chaperonin-60α gene. Plant Physiol. 2001, 126, 717–730. [Google Scholar] [CrossRef] [PubMed]
- Ishikawa, A.; Tanaka, H.; Nakai, M.; Asahi, T. Deletion of a chaperonin 60β gene leads to cell death in the Arabidopsis lesion initiation 1 mutant. Plant Cell Physiol. 2003, 44, 255–261. [Google Scholar] [CrossRef]
- Suzuki, K.; Nakanishi, H.; Bower, J.; Yoder, D.W.; Osteryoung, K.W.; Miyagishima, S.-Y. Plastid chaperonin proteins Cpn60α and Cpn60β are required for plastid division in Arabidopsis thaliana. BMC Plant Biol. 2009, 9, 38. [Google Scholar] [CrossRef]
- Zhao, Q.; Liu, C. Chloroplast chaperonin: An intricate protein folding machine for photosynthesis. Front. Mol. Biosci. 2018, 4, 98. [Google Scholar] [CrossRef]
- Salvucci, M.E. Association of Rubisco activase with chaperonin-60β: A possible mechanism for protecting photosynthesis during heat stress. J. Exp. Bot. 2008, 59, 1923–1933. [Google Scholar] [CrossRef]
- Haq, S.u.; Khan, A.; Ali, M.; Gai, W.-X.; Zhang, H.-X.; Yu, Q.-H.; Yang, S.-B.; Wei, A.-M.; Gong, Z.-H. Knockdown of CaHSP60-6 confers enhanced sensitivity to heat stress in pepper (Capsicum annuum L.). Planta 2019, 250, 2127–2145. [Google Scholar] [CrossRef]
- Rikhvanov, E.G.; Gamburg, K.Z.; Varakina, N.N.; Rusaleva, T.M.; Fedoseeva, I.V.; Tauson, E.L.; Stupnikova, I.V.; Stepanov, A.V.; Borovskii, G.B.; Voinikov, V.K. Nuclear–mitochondrial cross-talk during heat shock in Arabidopsis cell culture. Plant J. 2007, 52, 763–778. [Google Scholar] [CrossRef]
- Sela, A.; Piskurewicz, U.; Megies, C.; Mène-Saffrané, L.; Finazzi, G.; Lopez-Molina, L. Embryonic photosynthesis affects post-germination plant growth. Plant Physiol. 2020, 182, 2166–2181. [Google Scholar] [CrossRef]
- Sun, W.; Bernard, C.; Van De Cotte, B.; Van Montagu, M.; Verbruggen, N. At-HSP17. 6A, encoding a small heat-shock protein in Arabidopsis, can enhance osmotolerance upon overexpression. Plant J. 2001, 27, 407–415. [Google Scholar] [CrossRef] [PubMed]
- Wu, Q.; Zhang, C.; Chen, Y.; Zhou, K.; Zhan, Y.; Jiang, D. Oscpn60β1 is essential for chloroplast development in rice (Oryza sativa L.). Int. J. Mol. Sci. 2020, 21, 4023. [Google Scholar] [CrossRef] [PubMed]
- Cao, Z.; Jia, Z.; Liu, Y.; Wang, M.; Zhao, J.; Zheng, J.; Wang, G. Constitutive expression of ZmsHSP in Arabidopsis enhances their cytokinin sensitivity. Mol. Biol. Rep. 2010, 37, 1089–1097. [Google Scholar] [CrossRef]
- Klein, R.D.; Chidawanyika, T.; Tims, H.S.; Meulia, T.; Bouchard, R.A.; Pett, V.B. Chaperone function of two small heat shock proteins from maize. Plant Sci. 2014, 221, 48–58. [Google Scholar] [CrossRef]
- Lund, A.A.; Rhoads, D.M.; Lund, A.L.; Cerny, R.L.; Elthon, T.E. In vivo modifications of the maize mitochondrial small heat stress protein, HSP22. J. Biol. Chem. 2001, 276, 29924–29929. [Google Scholar] [CrossRef]
- Sun, L.; Liu, Y.; Kong, X.; Zhang, D.; Pan, J.; Zhou, Y.; Wang, L.; Li, D.; Yang, X. ZmHSP16. 9, a cytosolic class I small heat shock protein in maize (Zea mays), confers heat tolerance in transgenic tobacco. Plant Cell Rep. 2012, 31, 1473–1484. [Google Scholar] [CrossRef]
- Ding, T.; Su, B.; Chen, X.; Xie, S.; Gu, S.; Wang, Q.; Huang, D.; Jiang, H. An endophytic bacterial strain isolated from Eucommia ulmoides inhibits southern corn leaf blight. Front. Microbiol. 2017, 8, 903. [Google Scholar] [CrossRef]
- Zhou, Q.; Gu, S.; Xu, L.; Tan, G. Effects of endophyte DZSY21 colonization on DNA methylation levels in Maize. J. Hefei Norm. Univ. 2019, 3, 32–37. [Google Scholar]
- Bari, R.; Jones, J.D. Role of plant hormones in plant defence responses. Plant Mol. Biol. 2009, 69, 473–488. [Google Scholar] [CrossRef]
- Kim, S.-R.; Yang, J.-I.; An, G. OsCpn60α1, encoding the plastid chaperonin 60α subunit, is essential for folding of rbcL. Mol. Cells 2013, 35, 402–409. [Google Scholar] [CrossRef]
- Kim, Y.E.; Hipp, M.S.; Bracher, A.; Hayer-Hartl, M.; Ulrich Hartl, F. Molecular chaperone functions in protein folding and proteostasis. Annu. Rev. Biochem. 2013, 82, 323–355. [Google Scholar] [CrossRef] [PubMed]
- Balczun, C.; Bunse, A.; Schwarz, C.; Piotrowski, M.; Kück, U. Chloroplast heat shock protein Cpn60 from Chlamydomonas reinhardtii exhibits a novel function as a group II intron-specific RNA-binding protein. FEBS Lett. 2006, 580, 4527–4532. [Google Scholar] [CrossRef] [PubMed]
- Lin, S.; Liu, Z.; Sun, S.; Xue, F.; Li, H.; Tursun, A.; Cao, L.; Zhang, L.; Wilson, Z.A.; Zhang, D. Rice HEAT SHOCK PROTEIN60-3B maintains male fertility under high temperature by starch granule biogenesis. Plant Physiol. 2023, 192, 2301–2317. [Google Scholar] [CrossRef] [PubMed]
- Pieulle, L.; Guedeney, G.; Cassier-Chauvat, C.; Jeanjean, R.; Chauvat, F.; Peltier, G. The gene encoding the NdhH subunit of type 1 NAD (P) H dehydrogenase is essential to survival of Synechocystis PCC6803. FEBS Lett. 2000, 487, 272–276. [Google Scholar] [CrossRef]
- Wu, Y.; Zhang, D.; Chu, J.Y.; Boyle, P.; Wang, Y.; Brindle, I.D.; De Luca, V.; Després, C. The Arabidopsis NPR1 protein is a receptor for the plant defense hormone salicylic acid. Cell Rep. 2012, 1, 639–647. [Google Scholar] [CrossRef]
- Mou, Z.; Fan, W.; Dong, X. Inducers of plant systemic acquired resistance regulate NPR1 function through redox changes. Cell 2003, 113, 935–944. [Google Scholar] [CrossRef]
- Lee, K.P.; Liu, K.; Kim, E.Y.; Medina-Puche, L.; Dong, H.; Duan, J.; Li, M.; Dogra, V.; Li, Y.; Lv, R. plant natriuretic peptide A and its putative receptor PNP-R2 antagonize salicylic acid–mediated signaling and cell death. Plant Cell 2020, 32, 2237–2250. [Google Scholar] [CrossRef]
- Li, Y.; Yang, Y.; Hu, Y.; Liu, H.; He, M.; Yang, Z.; Kong, F.; Liu, X.; Hou, X. DELLA and EDS1 form a feedback regulatory module to fine-tune plant growth–defense tradeoff in Arabidopsis. Mol. Plant 2019, 12, 1485–1498. [Google Scholar] [CrossRef]
- Janda, M.; Ruelland, E. Magical mystery tour: Salicylic acid signalling. Environ. Exp. Bot. 2015, 114, 117–128. [Google Scholar] [CrossRef]
- Meguro, A.; Sato, Y. Salicylic acid antagonizes abscisic acid inhibition of shoot growth and cell cycle progression in rice. Sci. Rep. 2014, 4, 4555. [Google Scholar] [CrossRef]
- Pasternak, T.; Groot, E.P.; Kazantsev, F.V.; Teale, W.; Omelyanchuk, N.; Kovrizhnykh, V.; Palme, K.; Mironova, V.V. Salicylic acid affects root meristem patterning via auxin distribution in a concentration-dependent manner. Plant Physiol. 2019, 180, 1725–1739. [Google Scholar] [CrossRef]
- Tan, S.; Abas, M.; Verstraeten, I.; Glanc, M.; Molnár, G.; Hajný, J.; Lasák, P.; Petřík, I.; Russinova, E.; Petrášek, J. Salicylic acid targets protein phosphatase 2A to attenuate growth in plants. Curr. Biol. 2020, 30, 381–395. [Google Scholar] [CrossRef] [PubMed]
- Liu, W.; Tai, H.; Li, S.; Gao, W.; Zhao, M.; Xie, C.; Li, W.X. bHLH122 is important for drought and osmotic stress resistance in Arabidopsis and in the repression of ABA catabolism. New Phytol. 2014, 201, 1192–1204. [Google Scholar] [CrossRef]
- Wang, B.; Luo, Q.; Li, Y.; Du, K.; Wu, Z.; Li, T.; Shen, W.-H.; Huang, C.-H.; Gan, J.; Dong, A. Structural insights into partner selection for MYB and bHLH transcription factor complexes. Nat. Plants 2022, 8, 1108–1117. [Google Scholar] [CrossRef] [PubMed]
- Jin, R.; Kim, H.S.; Yu, T.; Zhang, A.; Yang, Y.; Liu, M.; Yu, W.; Zhao, P.; Zhang, Q.; Cao, Q. Identification and function analysis of bHLH genes in response to cold stress in sweetpotato. Plant Physiol. Biochem. 2021, 169, 224–235. [Google Scholar] [CrossRef]
- Yamaguchi-Shinozaki, K.; Shinozaki, K. The plant hormone abscisic acid mediates the drought-induced expression but not the seed-specific expression of rd22, a gene responsive to dehydration stress in Arabidopsis thaliana. Mol. Gen. Genet. MGG 1993, 238, 17–25. [Google Scholar] [CrossRef] [PubMed]
- Park, M.Y.; Chung, M.S.; Koh, H.S.; Lee, D.J.; Ahn, S.J.; Kim, C.S. Isolation and functional characterization of the Arabidopsis salt-tolerance 32 (AtSAT32) gene associated with salt tolerance and ABA signaling. Physiol. Plant. 2009, 135, 426–435. [Google Scholar] [CrossRef]
- Sanchez, J.-P.; Chua, N.-H. Arabidopsis PLC1 is required for secondary responses to abscisic acid signals. Plant Cell 2001, 13, 1143–1154. [Google Scholar] [CrossRef][Green Version]
- Song, H.; Zhao, R.; Fan, P.; Wang, X.; Chen, X.; Li, Y. Overexpression of AtHsp90.2, AtHsp90.5 and AtHsp90.7 in Arabidopsis thaliana enhances plant sensitivity to salt and drought stresses. Planta 2009, 229, 955–964. [Google Scholar] [CrossRef]
- Hang, T.; Ling, X.; He, C.; Xie, S.; Jiang, H.; Ding, T. Isolation of the zmers4 gene from maize and its functional analysis in transgenic plants. Front. Microbiol. 2021, 12, 632908. [Google Scholar] [CrossRef]
- Paradis, E.; Claude, J.; Strimmer, K. APE: Analyses of phylogenetics and evolution in R language. Bioinformatics 2004, 20, 289–290. [Google Scholar] [CrossRef] [PubMed]
- Jia, X.; Zeng, H.; Wang, W.; Zhang, F.; Yin, H. Chitosan oligosaccharide induces resistance to Pseudomonas syringae pv. tomato DC3000 in Arabidopsis thaliana by activating both salicylic acid–and jasmonic acid–mediated pathways. Mol. Plant Microbe Interact. 2018, 31, 1271–1279. [Google Scholar] [CrossRef] [PubMed]
- Mao, L.; Ge, L.; Ye, X.; Xu, L.; Si, W.; Ding, T. ZmGLP1, a germin-like protein from maize, plays an important role in the regulation of pathogen resistance. Int. J. Mol. Sci. 2022, 23, 14316. [Google Scholar] [CrossRef] [PubMed]
- Livak, K.J.; Schmittgen, T.D. Analysis of relative gene expression data using real-time quantitative PCR and the 2−ΔΔCT method. Methods 2001, 25, 402–408. [Google Scholar] [CrossRef]
- Bhadauria, V.; Miraz, P.; Kennedy, R.; Banniza, S.; Wei, Y. Dual trypan-aniline blue fluorescence staining methods for studying fungus-plant interactions. Biotech. Histochem. 2010, 85, 99–105. [Google Scholar] [CrossRef]
- Sheen, J. Signal transduction in maize and Arabidopsis mesophyll protoplasts. Plant Physiol. 2001, 127, 1466–1475. [Google Scholar] [CrossRef]
- Zha, K.; Xie, H.; Ge, M.; Wang, Z.; Wang, Y.; Si, W.; Gu, L. Expression of maize MADS transcription factor ZmES22 negatively modulates starch accumulation in rice endosperm. Int. J. Mol. Sci. 2019, 20, 483. [Google Scholar] [CrossRef]
- Guan, X.; Buchholz, G.; Nick, P. The cytoskeleton is disrupted by the bacterial effector HrpZ, but not by the bacterial PAMP flg22, in tobacco BY-2 cells. J. Exp. Bot. 2013, 64, 1805–1816. [Google Scholar] [CrossRef]
- Mao, Z.; Wei, X.; Li, L.; Xu, P.; Zhang, J.; Wang, W.; Guo, T.; Kou, S.; Wang, W.; Miao, L. Arabidopsis cryptochrome 1 controls photomorphogenesis through regulation of H2A.Z deposition. Plant Cell 2021, 33, 1961–1979. [Google Scholar] [CrossRef]




Disclaimer/Publisher’s Note: The statements, opinions and data contained in all publications are solely those of the individual author(s) and contributor(s) and not of MDPI and/or the editor(s). MDPI and/or the editor(s) disclaim responsibility for any injury to people or property resulting from any ideas, methods, instructions or products referred to in the content. |
© 2025 by the authors. Licensee MDPI, Basel, Switzerland. This article is an open access article distributed under the terms and conditions of the Creative Commons Attribution (CC BY) license (https://creativecommons.org/licenses/by/4.0/).
Share and Cite
Su, B.; Mao, L.; Wu, H.; Yu, X.; Bian, C.; Xie, S.; Ahmed, T.; Jiang, H.; Ding, T. Disease-Resistance Functional Analysis and Screening of Interacting Proteins of ZmCpn60-3, a Chaperonin 60 Protein from Maize. Plants 2025, 14, 1993. https://doi.org/10.3390/plants14131993
Su B, Mao L, Wu H, Yu X, Bian C, Xie S, Ahmed T, Jiang H, Ding T. Disease-Resistance Functional Analysis and Screening of Interacting Proteins of ZmCpn60-3, a Chaperonin 60 Protein from Maize. Plants. 2025; 14(13):1993. https://doi.org/10.3390/plants14131993
Chicago/Turabian StyleSu, Bo, Lixue Mao, Huiping Wu, Xinru Yu, Chongyu Bian, Shanshan Xie, Temoor Ahmed, Hubiao Jiang, and Ting Ding. 2025. "Disease-Resistance Functional Analysis and Screening of Interacting Proteins of ZmCpn60-3, a Chaperonin 60 Protein from Maize" Plants 14, no. 13: 1993. https://doi.org/10.3390/plants14131993
APA StyleSu, B., Mao, L., Wu, H., Yu, X., Bian, C., Xie, S., Ahmed, T., Jiang, H., & Ding, T. (2025). Disease-Resistance Functional Analysis and Screening of Interacting Proteins of ZmCpn60-3, a Chaperonin 60 Protein from Maize. Plants, 14(13), 1993. https://doi.org/10.3390/plants14131993

