Growth-Promoting Effects of Ten Soil Bacterial Strains on Maize, Tomato, Cucumber, and Pepper Under Greenhouse Conditions
Abstract
1. Introduction
2. Results
2.1. Molecular Identification of Bacterial Isolates
2.2. Physiological, Biochemical, and Enzymatic Characteristics of Bacterial Isolates
2.3. PGP Characteristics and Antifungal Activity of Bacterial Isolates
2.4. Sensitivity of Bacterial Isolates to Antibiotics, Toxic Metals, and Pesticides
2.5. Effect of Inoculants on Plant Growth
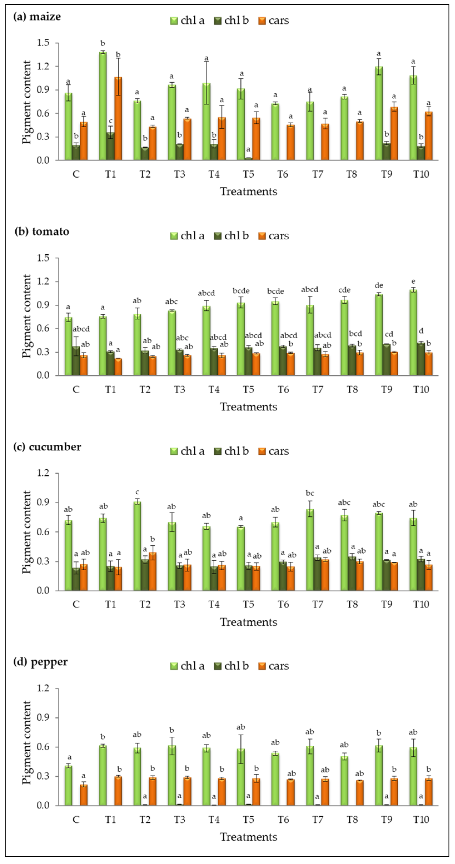
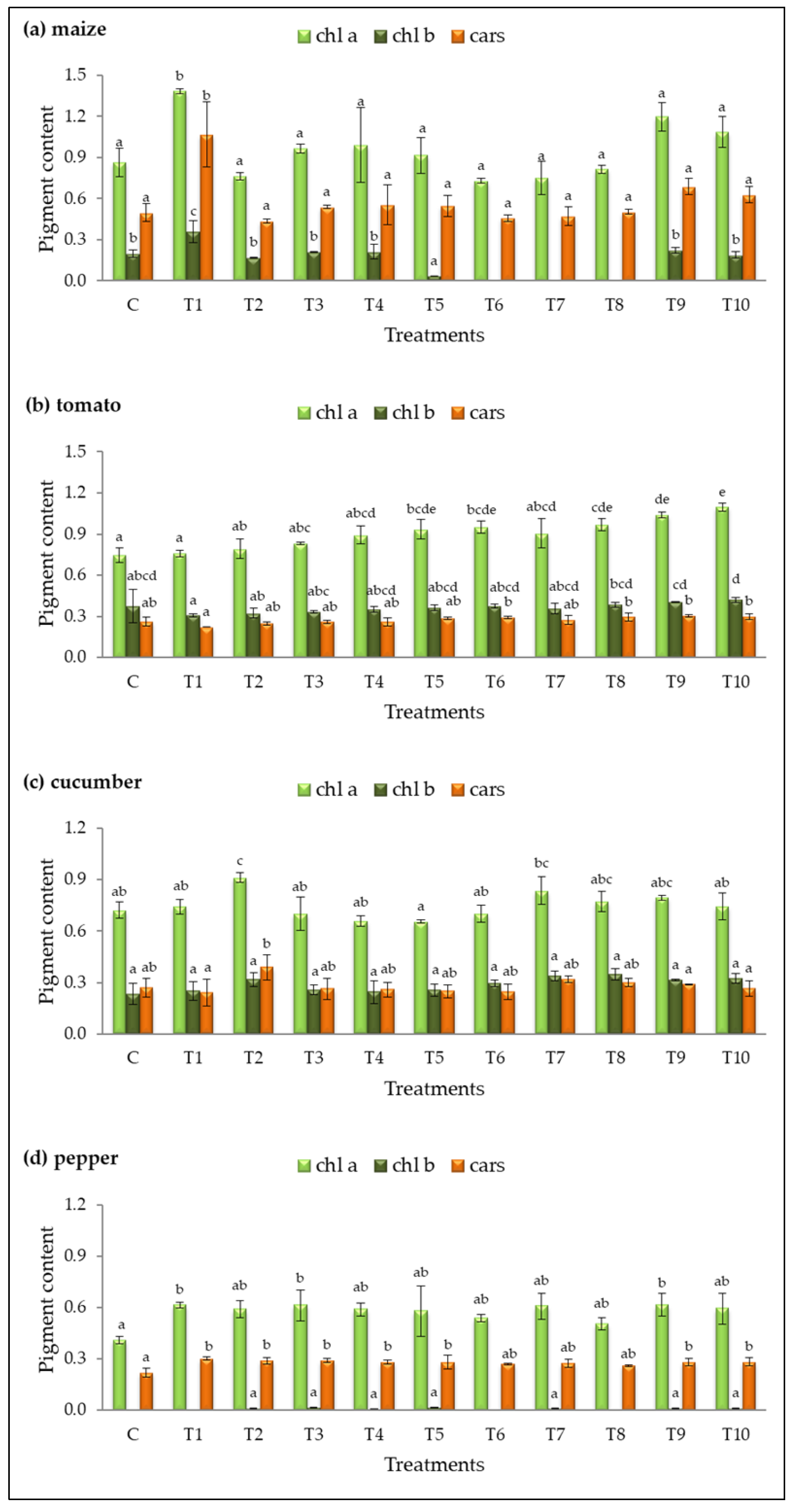
2.6. Pigment Content in Leaves
2.7. Elemental Content in Leaves
3. Discussion
4. Materials and Methods
4.1. Collection and Culturing of Bacterial Isolates
4.2. Molecular Identification of Bacterial Isolates
4.3. Characterization of Bacterial Isolates
4.3.1. Physiological Characteristics
4.3.2. Biochemical Characteristics and Enzyme Production
4.3.3. Plant Growth-Promotion Characteristics
4.3.4. Antifungal Activity
4.3.5. Sensitivity of Bacterial Isolates to Antibiotics, Toxic Metals, and Pesticides
4.4. Greenhouse Experiment
4.4.1. Preparation and Inoculation of Seeds
4.4.2. Experimental Design
4.4.3. Morphological Parameters
4.4.4. Pigment Content Quantification Method
4.4.5. Elemental Content Analysis
4.5. Statistical Analysis of Data
5. Conclusions
Supplementary Materials
Author Contributions
Funding
Data Availability Statement
Conflicts of Interest
References
- Ranum, P.; Peña-Rosas, J.P.; Garcia-Casal, M.N. Global maize production, utilization, and consumption. Ann. N. Y. Acad. Sci. 2014, 1312, 105–112. [Google Scholar] [CrossRef] [PubMed]
- Murad, H.; Nyc, M.A. Evaluating the potential benefits of cucumbers for improved health and skin care. J. Aging Res. Clin. Pract. 2016, 5, 139–141. [Google Scholar] [CrossRef]
- Batool, M. Nutrient management of maize. In New Prospects of Maize; Kaushik, P., Ed.; IntechOpen: London, UK, 2024. [Google Scholar] [CrossRef]
- Whitcomb, S.J.; Heyneke, E.; Aarabi, F.; Watanabe, M.; Hoefgen, R. Mineral nutrient depletion affects plant development and crop yield. In Nutrient Use Efficiency in Plants: Concepts and Approaches; Hawkesford, M.J., Kopriva, S., De Kok, L.J., Eds.; Springer: Cham, Switzerland, 2014; Volume 10, pp. 205–228. [Google Scholar] [CrossRef]
- Dhankhar, N.; Kumar, J. Impact of increasing pesticides and fertilizers on human health: A review. Mater. Today Proc. 2023, in press. [Google Scholar] [CrossRef]
- Alengebawy, A.; Abdelkhalek, S.T.; Qureshi, S.R.; Wang, M.Q. Heavy metals and pesticides toxicity in agricultural soil and plants: Ecological risks and human health implications. Toxics 2021, 9, 42. [Google Scholar] [CrossRef]
- Kumar, S.; Sindhu, S.S.; Kumar, R. Biofertilizers: An ecofriendly technology for nutrient recycling and environmental sustainability. Curr. Res. Microb. Sci. 2022, 3, 100094. [Google Scholar] [CrossRef]
- dos Santos, R.M.; Diaz, P.A.E.; Lobo, L.L.B.; Rigobelo, E.C. Use of plant growth-promoting rhizobacteria in maize and sugarcane: Characteristics and applications. Front. Sustain. Food Syst. 2020, 4, 136. [Google Scholar] [CrossRef]
- Chaudhary, P.; Xu, M.; Ahamad, L.; Chaudhary, A.; Kumar, G.; Adeleke, B.S.; Verma, K.K.; Hu, D.-M.; Širić, I.; Kumar, P.; et al. Application of synthetic consortia for improvement of soil fertility, pollution remediation, and agricultural productivity: A review. Agronomy 2023, 13, 643. [Google Scholar] [CrossRef]
- Hayat, R.; Ali, S.; Amara, U.; Khalid, R.; Ahmed, I. Soil beneficial bacteria and their role in plant growth promotion: A review. Ann. Microbiol. 2010, 60, 579–598. [Google Scholar] [CrossRef]
- Hassen, A.I.; Bopape, F.L.; Sanger, L.K. Microbial inoculants as agents of growth promotion and abiotic stress tolerance in plants. In Microbial Inoculants in Sustainable Agricultural Productivity; Singh, D., Singh, H., Prabha, R., Eds.; Springer: New Delhi, India, 2016; pp. 23–36. [Google Scholar] [CrossRef]
- Lobo, L.L.B.; dos Santos, R.M.; Rigobelo, E.C. Promotion of maize growth using endophytic bacteria under greenhouse and field conditions. Aust. J. Crop. Sci. 2019, 13, 2067–2074. [Google Scholar] [CrossRef]
- Majeed, A.; Abbasi, M.K.; Hameed, S.; Imran, A.; Rahim, N. Isolation and characterization of plant growth-promoting rhizobacteria from wheat rhizosphere and their effect on plant growth promotion. Front. Microbiol. 2015, 6, 198. [Google Scholar] [CrossRef]
- Etesami, H.; Alikhani, H.A.; Hosseini, H.M. Indole-3-acetic acid (IAA) production trait, a useful screening to select endophytic and rhizosphere competent bacteria for rice growth promoting agents. MethodsX 2015, 2, 72–78. [Google Scholar] [CrossRef] [PubMed]
- Hao, Z.; Li, K.; Sha, Y.; Wang, E.; Sui, X.; Mi, G.; Tian, C.; Chen, W. Effects of growth-promoting rhizobacteria on maize growth and rhizosphere microbial community under conservation tillage in Northeast China. Microb. Biotechnol. 2021, 14, 535–550. [Google Scholar] [CrossRef]
- Nunes, P.S.D.O.; Medeiros, F.H.V.D.; Oliveira, T.S.D.; Zago, J.R.D.E.A.; Bettiol, W. Bacillus subtilis and Bacillus licheniformis promote tomato growth. Braz. J. Microbiol. 2023, 54, 397–406. [Google Scholar] [CrossRef] [PubMed]
- Kartik, V.P.; Jinal, H.N.; Amaresan, N. Inoculation of cucumber (Cucumis sativus L.) seedlings with salt-tolerant plant growth promoting bacteria improves nutrient uptake, plant attributes and physiological profiles. J. Plant Growth Regul. 2021, 40, 1728–1740. [Google Scholar] [CrossRef]
- Sini, H.N.; Barzegar, R.; Mashaee, S.S.; Ghahsare, M.G.; Mousavi-Fard, S.; Mozafarian, M. Effects of biofertilizer on the production of bell pepper (Capsicum annuum L.) in greenhouse. J. Agric. Food Res. 2024, 16, 101060. [Google Scholar] [CrossRef]
- Verma, P.; Agrawal, N.; Shahi, S.K. Enterobacter cloacae strain PGLO9: Potential source of maize growth promoting rhizobacteria. Int. J. Bot. Stud. 2018, 3, 172–175. [Google Scholar]
- Georgieva, G.; Nedeva, T.; Badalova, M.; Deleva, V.; Savov, V. Study of the plant growth-promoting capacity of Pseudomonas putida 1046 in a model plant system. BioRisk 2023, 20, 115–128. [Google Scholar] [CrossRef]
- Pereira, N.C.M.; Galindo, F.S.; Gazola, R.P.D.; Dupas, E.; Rosa, P.A.L.; Mortinho, E.S.; Filho, M.C.M.T. Corn yield and phosphorus use efficiency response to phosphorus rates associated with plant growth promoting bacteria. Front. Environ. Sci. 2020, 8, 40. [Google Scholar] [CrossRef]
- He, Y.; Pantigoso, H.A.; Wu, Z.; Vivanco, J.M. Co-inoculation of Bacillus sp. and Pseudomonas putida at different development stages acts as a biostimulant to promote growth, yield and nutrient uptake of tomato. J. Appl. Microbiol. 2019, 127, 196–207. [Google Scholar] [CrossRef]
- Islam, S.; Akanda, A.M.; Prova, A.; Islam, M.T.; Hossain, M.M. Isolation and identification of plant growth promoting rhizobacteria from cucumber rhizosphere and their effect on plant growth promotion and disease suppression. Front. Microbiol. 2016, 6, 1360. [Google Scholar] [CrossRef]
- Amaresan, N.; Jayakumar, V.; Kumar, K.; Thajuddin, N. Biocontrol and plant growth-promoting ability of plant-associated bacteria from tomato (Lycopersicum esculentum) under field condition. Microb. Pathog. 2019, 136, 103713. [Google Scholar] [CrossRef] [PubMed]
- Noumavo, P.A.; Agbodjato, N.A.; Gachomo, E.W.; Salami, H.A.; Baba-Moussa, F.; Adjanohoun, A.; Kotchoni, S.O.; Baba-Moussa, L. Metabolic and biofungicidal properties of maize rhizobacteria for growth promotion and plant disease resistance. Afr. J. Biotechnol. 2015, 14, 811–819. [Google Scholar] [CrossRef]
- Becze, A.; Vincze, E.B.; Varga, H.M.; Gyöngyvér, M. Effect of plant growth promoting rhizobacteria on Zea mays development and growth under heavy metal and salt stress condition. Environ. Eng. Manag. J. 2021, 20, 547–557. [Google Scholar]
- Jalal, A.; Júnior, E.F.; Filho, M.C.M.T. Interaction of zinc mineral nutrition and plant growth-promoting bacteria in tropical agricultural systems: A review. Plants 2024, 13, 571. [Google Scholar] [CrossRef]
- Kafi, S.A.; Arabhosseini, S.; Karimi, E.; Koobaz, P.; Mohammadi, A.; Sadeghi, A. Pseudomonas putida P3-57 induces cucumber (Cucumis sativus L.) defense responses and improves fruit quality characteristics under commercial greenhouse conditions. Sci. Hortic. 2021, 280, 109942. [Google Scholar] [CrossRef]
- Arif, I.; Batool, M.; Schenk, P.M. Plant microbiome engineering: Expected benefits for improved crop growth and resilience. Trends Biotechnol. 2020, 38, 1385–1396. [Google Scholar] [CrossRef]
- Essiedu, J.A.; Adepoju, F.O.; Ivantsova, M.N. Benefits and limitations in using biopesticides: A review. AIP Conf. Proc. 2020, 2313, 080002. [Google Scholar] [CrossRef]
- Basu, A.; Prasad, P.; Das, S.N.; Kalam, S.; Sayyed, R.Z.; Reddy, M.S.; Enshasy, H.E.I. Plant growth promoting rhizobacteria (PGPR) as green bioinoculants: Recent developments, constraints, and prospects. Sustainability 2021, 13, 1140. [Google Scholar] [CrossRef]
- Mahdi, I.; Fahsi, N.; Hijri, M.; Sobeh, M. Antibiotic resistance in plant growth promoting bacteria: A comprehensive review and future perspectives to mitigate potential gene invasion risks. Front. Microbiol. 2022, 13, 999988. [Google Scholar] [CrossRef]
- Compant, S.; Samad, A.; Faist, H.; Sessitsch, A. A review on the plant microbiome: Ecology, functions, and emerging trends in microbial application. J. Adv. Res. 2019, 19, 29–37. [Google Scholar] [CrossRef]
- Xiong, Y.W.; Gong, Y.; Li, X.W.; Chen, P.; Ju, X.Y.; Zhang, C.M.; Yuan, B.; Lv, Z.P.; Xing, K.; Qin, S. Enhancement of growth and salt tolerance of tomato seedlings by a natural halotolerant actinobacterium Glutamicibacter halophytocola KLBMP 5180 isolated from a coastal halophyte. Plant Soil 2019, 445, 307–322. [Google Scholar] [CrossRef]
- Saxena, A.; Bharadwaj, A. Role of soil metagenomics in plant-microbe interaction. In Plant Endophytes and Secondary Metabolites; Egamberdieva, D., Parray, J.A., Davranov, K., Eds.; Academic Press: Cambridge, MA, USA, 2024; pp. 25–33. [Google Scholar]
- Siddiqui, Z.A. PGPR: Prospective biocontrol agents of plant pathogens. In PGPR: Biocontrol and Biofertilization, 1st ed.; Siddiqui, Z.A., Ed.; Springer: Dordrecht, The Netherlands, 2005; pp. 111–142. [Google Scholar] [CrossRef]
- Souza, R.D.; Ambrosini, A.; Passaglia, L.M. Plant growth-promoting bacteria as inoculants in agricultural soils. Genet. Mol. Biol. 2015, 38, 401–419. [Google Scholar] [CrossRef] [PubMed]
- Nosheen, A.; Bano, A. Potential of plant growth promoting rhizobacteria and chemical fertilizers on soil enzymes and plant growth. Pak. J. Bot. 2014, 46, 1521–1530. [Google Scholar]
- Kumar, A.; Kumar, A.; Devi, S.; Patil, S.; Payal, C.; Negi, S. Isolation, screening and characterization of bacteria from rhizospheric soils for different plant growth promotion (PGP) activities: An in vitro study. Recent Res. Sci. Technol. 2012, 4, 1–5. [Google Scholar]
- Pandey, A.; Trivedi, P.; Kumar, B.; Palni, L.M.S. Characterization of a phosphate solubilizing and antagonistic strain of Pseudomonas putida (B0) isolated from a sub-alpine location in the Indian Central Himalaya. Curr. Microbiol. 2006, 53, 102–107. [Google Scholar] [CrossRef]
- Ganzour, S.; Ghabour, T.; Hemeid, N.M.; Khatab, K.A. Impact of biofertilizers on maize (Zea mays L.) growth and yield under calcareous soil conditions. Egypt J. Soil Sci. 2020, 60, 469–483. [Google Scholar] [CrossRef]
- Pikovskaya, R. Mobilization of phosphorus in soil connection with the vital activity of some microbial species. Microbiologiya 1948, 17, 362–370. [Google Scholar]
- Nautiyal, C.S. An efficient microbiological growth medium for screening phosphate solubilizing microorganisms. FEMS Microbiol. Lett. 1999, 170, 265–270. [Google Scholar] [CrossRef]
- Yadav, A.N.; Verma, P.; Singh, B.; Chauhan, V.S.; Suman, A.; Saxena, A.K. Plant growth promoting bacteria: Biodiversity and multifunctional attributes for sustainable agriculture. Adv. Biotechnol. Microbiol. 2017, 5, 1–16. [Google Scholar]
- Panigrahi, S.; Mohanty, S.; Rath, C.C. Characterization of endophytic bacteria Enterobacter cloacae MG00145 isolated from Ocimum sanctum with indole acetic acid (IAA) production and plant growth promoting capabilities against selected crops. South Afr. J. Bot. 2020, 134, 17–26. [Google Scholar] [CrossRef]
- Patten, C.L.; Glick, B.R. Role of Pseudomonas putida indole acetic acid in development of the host plant root system. Appl. Environ. Microb. 2002, 68, 3795–3801. [Google Scholar] [CrossRef] [PubMed]
- Wagi, S.; Ahmed, A. Bacillus spp.: Potent microfactories of bacterial IAA. PeerJ 2019, 7, e7258. [Google Scholar] [CrossRef] [PubMed]
- Saharan, B.S.; Nehra, V. Plant growth promoting rhizobacteria: A critical review. Life Sci. Med. Res. 2011, 21, 30. [Google Scholar]
- Rungjindamai, N.; Xu, X.M.; Jeffries, P. Identification and characterisation of new microbial antagonists for biocontrol of Monilinia laxa, the causal agent of brown rot on stone fruit. Agronomy 2013, 3, 685–703. [Google Scholar] [CrossRef]
- Barka, E.A.; Gognies, S.; Nowak, J.; Audran, J.C.; Belarbi, A. Inhibitory effect of endophyte bacteria on Botrytis cinerea and its influence to promote the grapevine growth. Biol. Control 2002, 24, 135–142. [Google Scholar] [CrossRef]
- Srimai, K.; Akarapisarn, A. Bacillus subtilis LBF02 as biocontrol agent against leaf spot diseases caused by Cercospora lactucae-sativae in lettuce. J. Agric. Sci. 2014, 6, 151–158. [Google Scholar] [CrossRef][Green Version]
- Yazdankhah, S.; Skjerve, E.; Wasteson, Y. Antimicrobial resistance due to the content of potentially toxic metals in soil and fertilizing products. Microb. Ecol. Health Dis. 2018, 29, 1548248. [Google Scholar] [CrossRef][Green Version]
- Vörös, M.; Manczinger, L.; Kredics, L.; Szekeres, A.; Shine, K.; Alharbi, N.S.; Khaled, J.M.; Vágvölgyi, C. Influence of agro-environmental pollutants on a biocontrol strain of Bacillus velezensis. Microbiol. Open 2019, 8, e00660. [Google Scholar] [CrossRef]
- Shahid, M.; Manoharadas, S.; Altaf, M.; Alrefaei, A.F. Organochlorine pesticides negatively influenced the cellular growth, morphostructure, cell viability, and biofilm-formation and phosphate-solubilization activities of Enterobacter cloacae strain EAM 35. ACS Omega 2021, 6, 5548–5559. [Google Scholar] [CrossRef]
- Hussein, K.A.; Joo, J.H. Heavy metal resistance of bacteria and its impact on the production of antioxidant enzymes. Afr. J. Microbiol. Res. 2013, 7, 2288–2296. [Google Scholar] [CrossRef]
- Rajkumar, M.; Sandhya, S.; Prasad, M.N.V.; Freitas, H. Perspectives of plant-associated microbes in heavy metal phytoremediation. Biotechnol. Adv. 2012, 30, 1562–1574. [Google Scholar] [CrossRef] [PubMed]
- Cardón, D.L.; Villafán, S.M.; Tovar, A.R.; Jimenez, S.P.; Zuniga, L.G.; Allieri, M.A.; Perez, N.O.; Dorantes, A.R. Growth response and heavy metals tolerance of Axonopus affinis, inoculated with plant growth promoting rhizobacteria. Afr. J. Biotechnol. 2010, 9, 8772–8782. [Google Scholar]
- Deshwal, V.K.; Kumar, P. Effect of heavy metals on growth and PGPR activity of Pseudomonads. J. Acad. Indus. Res. 2013, 2, 286–290. [Google Scholar]
- Madhaiyan, M.; Poonguzhali, S.; Hari, K.; Saravanan, V.S.; Sa, T. Influence of pesticides on the growth rate and plant-growth promoting traits of Gluconacetobacter diazotrophicus. Pestic. Biochem. Physiol. 2006, 84, 143–154. [Google Scholar] [CrossRef]
- Banerjee, G.; Pandey, S.; Ray, A.K.; Kumar, R. Bioremediation of heavy metals by a novel bacterial strain Enterobacter cloacae and its antioxidant enzyme activity, flocculant production, and protein expression in presence of lead, cadmium, and nickel. Water Air Soil Poll. 2015, 226, 1–9. [Google Scholar] [CrossRef]
- Feng, R.; Wang, H.; Lui, T.; Wang, F.; Cai, L.; Chen, X.; Zhang, S. Response of microbial communities in the phyllosphere ecosystem of tobacco exposed to the broad-spectrum copper hydroxide. Front. Microbiol. 2023, 14, 1229294. [Google Scholar] [CrossRef]
- Andreolli, M.; Lampis, S.; Tosi, L.; Marano, V.; Zapparoli, G. Fungicide sensitivity of grapevine bacteria with plant growth-promoting traits and antagonistic activity as non-target microorganisms. World J. Microb. Biotechnol. 2023, 39, 121. [Google Scholar] [CrossRef]
- Ahemad, M.; Khan, M.S. Assessment of pesticide-tolerance and functional diversity of bacterial strains isolated from rhizospheres of different crops. Insight Microbiol. 2011, 1, 8–19. [Google Scholar] [CrossRef]
- Azeem, M.A.; Shah, F.H.; Ullah, A.; Ali, K.; Jones, D.A.; Khan, M.E.H.; Ashraf, A. Biochemical characterization of halotolerant Bacillus safensis pm22 and its potential to enhance growth of maize under salinity stress. Plants 2022, 11, 1721. [Google Scholar] [CrossRef]
- Akinrinlola, R.J. Evaluation of Bacillus Strains for Plant Growth-Promotion Potentials on Corn (Zea mays), Wheat (triticum aestivum), and Soybean (Glycine max). Master’s Thesis, University of Nebraska, Lincoln, NE, USA, May 2018. [Google Scholar]
- Altimira, F.; Godoy, S.; Arias-Aravena, M.; Vargas, N.; Gonzales, E.; Dardon, E.; Montenegro, E.; Viteri, I.; Tapia, E. Reduced fertilization supplemented with Bacillus safensis RGM 2450 and Bacillus siamensis RGM 2529 promotes tomato production in a sustainable way. Front. Plant Sci. 2024, 15, 1451887. [Google Scholar] [CrossRef]
- Patel, A.; Sahu, K.P.; Mehta, S.; Javed, M.; Balamurugan, A.; Ashajyothi, M.; Sheoran, N.; Ganesan, P.; Kundu, A.; Gopalakrishnan, S.; et al. New insights on endophytic microbacterium-assisted blast disease suppression and growth promotion in rice: Revelation by polyphasic functional characterization and transcriptomics. Microorganisms 2023, 11, 362. [Google Scholar] [CrossRef] [PubMed]
- Tsavkelova, E.A.; Volynchikova, E.A.; Potekhina, N.V.; Lavrov, K.V.; Avtukh, A.N. Auxin production and plant growth promotion by Microbacterium albopurpureum sp. nov. from the rhizoplane of leafless Chiloschista parishii Seidenf. orchid. Front. Plant Sci. 2024, 15, 1360828. [Google Scholar] [CrossRef] [PubMed]
- Diabankana, R.G.C.; Validov, S.Z.; Vyshtakalyuk, A.B.; Daminova, A.; Safin, R.I.; Afordoanyi, D.M. Effects of phenotypic variation on biological properties of endophytic bacteria Bacillus mojavensis PS17. Biology 2022, 11, 1305. [Google Scholar] [CrossRef] [PubMed]
- Kumar, M.; Mishra, S.; Dixit, V.; Kumar, M.; Agarwal, L.; Chauhan, P.S.; Nautiyal, C.S. Synergistic effect of Pseudomonas putida and Bacillus amyloliquefaciens ameliorates drought stress in chickpea (Cicer arietinum L.). Plant Signal. Behav. 2016, 11, e1071004. [Google Scholar] [CrossRef]
- Bharucha, U.; Patel, K.; Trivedi, U.B. Optimization of indole acetic acid production by Pseudomonas putida UB1 and its effect as plant growth-promoting rhizobacteria on mustard (Brassica nigra). Agric. Res. 2013, 2, 215–221. [Google Scholar] [CrossRef]
- Abdelaal, K.; Alkahtani, M.; Attia, K.; Hafez, Y.; Király, L.; Künstler, A. The role of plant growth-promoting bacteria in alleviating the adverse effects of drought on plants. Biology 2021, 10, 520. [Google Scholar] [CrossRef]
- Kudoyarova, G.; Arkhipova, T.; Veselov, D. Water relations in plants treated with growth promoting rhizosphere bacteria. Plant Soil 2024, 494, 51–72. [Google Scholar] [CrossRef]
- Keller, R.; Pedroso, M.Z.; Ritchmann, R.; Silva, R.M. Occurrence of virulence-associated properties in Enterobacter cloacae. Infect. Immun. 1998, 66, 645–649. [Google Scholar] [CrossRef]
- Świątczak, J.; Kalwasińska, A.; Szabó, A.; Brzezinska, M.S. The effect of seed bacterization with Bacillus paralicheniformis 2R5 on bacterial and fungal communities in the canola rhizosphere. Microbiol. Res. 2023, 275, 127448. [Google Scholar] [CrossRef]
- Waday, Y.A.; Girma Aklilu, E.; Bultum, M.S.; Ramayya Ancha, V.; Beyene, D. Isolation and characterization of plant growth-promoting rhizobacteria from coffee plantation soils and its influence on maize growth. Appl. Environ. Soil Sci. 2022, 1, 5115875. [Google Scholar] [CrossRef]
- Alori, E.T.; Glick, B.R.; Babalola, O.O. Microbial phosphorus solubilization and its potential for use in sustainable agriculture. Front. Microbiol. 2017, 8, 971. [Google Scholar] [CrossRef] [PubMed]
- Song, P.; Zhao, B.; Sun, X.; Li, L.; Wang, Z.; Ma, C.; Zhang, J. Effects of Bacillus subtilis HS5B5 on maize seed germination and seedling growth under NaCl stress conditions. Agronomy 2023, 13, 1874. [Google Scholar] [CrossRef]
- Zhang, N.; Wang, Z.; Shao, J.; Xu, Z.; Liu, Y.; Xun, W.; Miao, Y.; Shen, Q.; Zhang, R. Biocontrol mechanisms of Bacillus: Improving the efficiency of green agriculture. Microb. Biotechnol. 2023, 16, 2250–2263. [Google Scholar] [CrossRef] [PubMed]
- Saleem, M.; Nawaz, F.; Hussain, M.B.; Ikram, R.M. Comparative effects of individual and consortia plant growth promoting bacteria on physiological and enzymatic mechanisms to confer drought tolerance in maize (Zea mays L.). J. Soil Sci. Plant Nutr. 2021, 21, 3461–3476. [Google Scholar] [CrossRef]
- Bal, H.B.; Nayak, L.; Das, S.; Adhya, T.K. Isolation of ACC deaminase producing PGPR from rice rhizosphere and evaluating their plant growth promoting activity under salt stress. Plant Soil 2013, 366, 93–105. [Google Scholar] [CrossRef]
- Chieb, M.; Gachomo, E.W. The role of plant growth promoting rhizobacteria in plant drought stress responses. BMC Plant Biol. 2023, 23, 407. [Google Scholar] [CrossRef]
- Faull, J.L.; Powell, K.A. Biological control agents. In Agrochemicals from Natural Products; Godfrey, C.R.A., Ed.; Marcel Dekker: New York, NY, USA, 1995; pp. 369–393. [Google Scholar]
- Ahmed, A.; Hasnain, S. Auxins as one of the factors of plant growth improvement by plant growth promoting rhizobacteria. Pol. J. Microbiol. 2014, 63, 261–266. [Google Scholar] [CrossRef]
- Tripathy, B.C.; Oelmüller, R. Reactive oxygen species generation and signaling in plants. Plant Signal. Behav. 2012, 7, 1621–1633. [Google Scholar] [CrossRef]
- Motamedi, M.; Zahedi, M.; Karimmojeni, H.; Motamedi, H.; Mastinu, A. Effect of rhizosphere bacteria on antioxidant enzymes and some biochemical characteristics of Medicago sativa L. subjected to herbicide stress. Acta Physiol. Plant. 2022, 44, 84. [Google Scholar] [CrossRef]
- Pompelli, M.F.; França, S.C.; Tigre, R.C.; de Oliveira, M.T.; Sacilot, M.; Pereira, E.C. Spectrophotometric determinations of chloroplastidic pigments in acetone, ethanol and dimethylsulphoxide. Rev. Bras. Biocien. 2013, 11, 52–58. [Google Scholar]
- Sarkar, D.; Rakshit, A. Bio-priming in combination with mineral fertilizer improves nutritional quality and yield of red cabbage under Middle Gangetic Plains, India. Sci. Hortic. 2021, 283, 110075. [Google Scholar] [CrossRef]
- Rana, A.; Kabi, S.R.; Verma, S.; Adak, A.; Pal, M.; Shivay, Y.S.; Prasanna, R.; Nain, L. Prospecting plant growth promoting bacteria and cyanobacteria as options for enrichment of macro-and micronutrients in grains in rice–wheat cropping sequence. Cogent Food Agric. 2015, 1, 1037379. [Google Scholar] [CrossRef]
- Baig, K.S.; Arshad, M.; Khalid, A.; Hussain, S.; Abbas, M.N.; Imran, M. Improving growth and yield of maize through bioinoculants carrying auxin production and phosphate solubilizing activity. Soil Environ. 2014, 33, 159–168. [Google Scholar]
- Liu, H.; Wang, Z.; Xu, W.; Zeng, J.; Li, L.; Li, S.; Gao, Z. Bacillus pumilus LZP02 promotes rice root growth by improving carbohydrate metabolism and phenylpropanoid biosynthesis. Mol. Plant-Microbe Interact. 2020, 33, 1222–1231. [Google Scholar] [CrossRef] [PubMed]
- Prakash, J.; Arora, N.K. Development of Bacillus safensis-based liquid bioformulation to augment growth, stevioside content, and nutrient uptake in Stevia rebaudiana. World J. Microbiol. Biotechnol. 2020, 36, 8. [Google Scholar] [CrossRef]
- Chen, X.; Yang, C.; Palta, J.A.; Li, Y.; Fan, X. An Enterobacter cloacae strain NG-33 that can solubilize phosphate and promote maize growth. Front. Microbiol. 2022, 13, 1047313. [Google Scholar] [CrossRef]
- Ghazanfar, S.; Hussain, A.; Dar, A.; Ahmad, M.; Anwar, H.; Al Farraj, D.A.; Rizwan, M.; Iqbal, R. Prospects of iron solubilizing Bacillus species for improving growth and iron in maize (Zea mays L.) under axenic conditions. Sci. Rep. 2024, 14, 26342. [Google Scholar] [CrossRef]
- Liu, J.; Fimognari, L.; de Almeida, J.; Jensen, C.N.G.; Compant, S.; Oliveira, T.; Baelum, J.; Pastar, M.; Sessitsch, A.; Moelbak, L.; et al. Effect of Bacillus paralicheniformis on soybean (Glycine max) roots colonization, nutrient uptake and water use efficiency under drought stress. J. Agron. Crop Sci. 2023, 209, 547–565. [Google Scholar] [CrossRef]
- Ijaz, A.; Mumtaz, M.Z.; Wang, X.; Ahmad, M.; Saqib, M.; Maqbool, H.; Zaheer, A.; Wang, W.; Mustafa, A. Insights into manganese solubilizing Bacillus spp. for improving plant growth and manganese uptake in maize. Front. Plant Sci. 2021, 12, 719504. [Google Scholar] [CrossRef]
- Sezonov, G.; Joseleau-Petit, D.; D’Ari, R. Escherichia coli physiology in Luria-Bertani broth. J. Bacteriol. 2007, 189, 8746–8749. [Google Scholar] [CrossRef]
- Weisburg, W.G.; Barns, S.M.; Pelletier, D.A.; Lane, D.J. 16S ribosomal DNA amplification for phylogenetic study. J. Bacteriol. 1991, 173, 697–703. [Google Scholar] [CrossRef] [PubMed]
- Sarkar, S.F.; Guttman, D.S. Evolution of the core genome of Pseudomonas syringae, a highly clonal, endemic plant pathogen. Appl. Environ. Microbiol. 2004, 70, 1999–2012. [Google Scholar] [CrossRef] [PubMed]
- Caamaño-Antelo, S.; Fernández-No, I.C.; Böhme, K.; Ezzat-Alnakip, M.; Quintela-Baluja, M.; Barros-Velázquez, J.; Calo-Mata, P. Genetic discrimination of foodborne pathogenic and spoilage Bacillus spp. based on three housekeeping genes. Food Microbiol. 2015, 46, 288–298. [Google Scholar] [CrossRef] [PubMed]
- Yu, Z.; Morrison, M. Comparisons of different hypervariable regions of rrs genes for use in fingerprinting of microbial communities by PCR-denaturing gradient gel electrophoresis. Appl. Environ. Microb. 2004, 70, 4800–4806. [Google Scholar] [CrossRef]
- Lisdiyanti, P.; Suyanto, E.; Gusmawati, N.F.; Rahayu, W. Isolation and characterization of cellulase produced by cellulolytic bacteria from peat soil of Ogan Komering Ilir, South Sumatera. Int. J. Environ. Bioener. 2012, 3, 145–153. [Google Scholar]
- Rattanasuk, S.; Ketudat-Cairns, M. Chryseobacterium indologenes, novel mannanase-producing bacteria. Songklanakarin J. Sci. Technol. 2009, 31, 395. Available online: https://www.researchgate.net/publication/200165417 (accessed on 4 December 2024).
- Lanyi, B. Classical and rapid identification methods for medically important bacteria. In Methods in Microbiology; Elsevier: Amsterdam, The Netherlands, 1988; Volume 19, pp. 1–67. [Google Scholar]
- Nithya, K.; Muthukumar, C.; Kadaikunnan, S.; Alharbi, N.S.; Khaled, J.M.; Dhanasekaran, D. Purification, characterization, and statistical optimization of a thermostable α-amylase from desert actinobacterium Streptomyces fragilis DA7-7. 3 Biotech 2017, 7, 350. [Google Scholar] [CrossRef]
- Hitha, P.K.; Girija, D. Isolation and screening of native microbial isolates for pectinase activity. Int. J. Sci. Res. 2014, 3, 632–634. Available online: https://www.ijsr.net/archive/v3i5/MDIwMTMxODQ1.pdf (accessed on 4 December 2024).
- Delalibera, I.; Handelsman, J.O.; Raffa, K.F. Contrasts in cellulolytic activities of gut microorganisms between the wood borer, Saperda vestita (Coleoptera: Cerambycidae), and the bark beetles, Ips pini and Dendroctonus frontalis (Coleoptera: Curculionidae). Environ. Entomol. 2005, 34, 541–547. [Google Scholar] [CrossRef]
- Dye, D.W. The inadequacy of the usual determinative tests for the identification of Xanthomonas spp. N. Z. J. Sci. 1962, 5, 393–416. [Google Scholar]
- Dey, R.K.K.P.; Pal, K.K.; Bhatt, D.M.; Chauhan, S.M. Growth promotion and yield enhancement of peanut (Arachis hypogaea L.) by application of plant growth-promoting rhizobacteria. Microbiol. Res. 2004, 159, 371–394. [Google Scholar] [CrossRef] [PubMed]
- Alam, S.; Khalil, S.; Ayub, N.; Rashid, M. In vitro solubilization of inorganic phosphate by phosphate solubilizing microorganisms (PSM) from maize rhizosphere. Int. J. Agric. Biol. 2002, 4, 454–458. Available online: https://www.researchgate.net/publication/233815274 (accessed on 4 December 2024).
- Schwyn, B.; Neilands, J. Universal chemical assay for the detection and determination of siderophores. Anal. Biochem. 1987, 160, 47–56. [Google Scholar] [CrossRef] [PubMed]
- Lorck, H. Production of hydrocyanic acid by bacteria. Physiol. Plant. 1948, 1, 142–146. [Google Scholar] [CrossRef]
- Dworkin, M.; Foster, J.W. Experiments with some microorganisms which utilize ethane and hydrogen. J. Bacteriol. 1958, 75, 592–603. [Google Scholar] [CrossRef]
- Ali, S.Z.; Sandhya, V.; Venkateswar Rao, L. Isolation and characterization of drought-tolerant ACC deaminase and exopolysaccharide-producing fluorescent Pseudomonas sp. Ann. Microbiol. 2014, 64, 493–502. [Google Scholar] [CrossRef]
- Stojanović-Radić, Z.; Stojanović, N.; Sharifi-Rad, J.; Stanković, N. Potential of Ocimum basilicum L. and Salvia officinalis L. essential oils against biofilms of P. aeruginosa clinical isolates. Cell. Mol. Biol. 2016, 62, 27–33. Available online: http://cellmolbiol.org/index.php/CMB/article/view/917 (accessed on 4 December 2024).
- Stepanović, S.; Vuković, D.; Hola, V.; Bonaventura, G.D.; Djukić, S.; Ćirković, I.; Ruzicka, F. Quantification of biofilm in microtiter plates: Overview of testing conditions and practical recommendations for assessment of biofilm production by staphylococci. APMIS 2007, 115, 891–899. [Google Scholar] [CrossRef]
- Gordon, S.A.; Weber, R.P. Colorimetric estimation of indole acetic acid. Plant Physiol. 1951, 26, 192–195. [Google Scholar] [CrossRef]
- South, K.A.; Hand, F.P.; Jones, M.L. Beneficial bacteria identified for the control of Botrytis cinerea in petunia greenhouse production. Plant Dis. 2020, 104, 1801–1810. [Google Scholar] [CrossRef]
- Wiegand, I.; Hilpert, K.; Hancock, R.E.W. Agar and broth dilution methods to determine the minimal inhibitory concentration (MIC) of antimicrobial substances. Nat. Protoc. 2008, 3, 163–175. [Google Scholar] [CrossRef] [PubMed]
- Lupo, S.; Tiscornia, S.; Bettucci, L. Endophytic fungi from flowers, capsules and seeds of Eucalyptus globulus. Rev. Iberoam. Micolog. 2001, 18, 38–41. [Google Scholar]
- Lichtenthaler, H.K. Chlorophylls and carotenoids: Pigments of photosynthetic biomembranes. Methods Enzymol. 1987, 148, 350–382. [Google Scholar] [CrossRef]
- Khan, A.L.; Halo, B.A.; Elyassi, A.; Ali, S.; Al-Hosni, K.; Hussain, J.; Al-Harrasi, A.; Lee, I.J. Indole acetic acid and ACC deaminase from endophytic bacteria improves the growth of Solanum lycopersicum. Electron. J. Biotechnol. 2016, 21, 58–64. [Google Scholar] [CrossRef]
- Stefanović, V.; Trifković, J.; Djurdjić, S.; Vukojević, V.; Tešić, Ž.; Mutić, J. Study of silver, selenium and arsenic concentration in wild edible mushroom Macrolepiota procera, health benefit and risk. Environ. Sci. Pollut. Res. 2016, 23, 22084–22098. [Google Scholar] [CrossRef]




| Isolates | PCR Primers | Homology to the Closest Reference and Other Strains | Similarity | Accession No. |
|---|---|---|---|---|
| SCF1 | tuf-GPF | Bacillus subtilis FDAARGOS_606 | 99.73% | CP041015 |
| SCF2 | 907R-16S | Bacillus subtilis DSM 10 | 99.87% | NR027552 |
| SCF3 | tuf-GPF | Bacillus paralicheniformis FA6 | 99.87% | CP033198 |
| SCF4 | 907R-16S | Microbacterium testaceum DSM 20166 | 98.81% | NR026163 |
| SCF5 | 907R-16S | Glutamicibacter halophytocola KLBMP 5180 | 98.58% | NR156872 |
| SCF6 | tuf-GPF | Bacillus safensis U17-1 | 99.86% | CP015611 |
| SCF7 | tuf-GPF | Bacillus pumilus 3–19 | 99.73% | CP054310 |
| SCF8 | 907R-16S | Bacillus mojavensis IFO15718 | 99.89% | NR024693 |
| SCF9 | rpoB-F4 | Pseudomonas putida E46 | 99.46% | CP024086 |
| SCF10 | 907R-16S | Enterobacter cloacae subsp. dissolvens ATCC 23373 | 99.77% | NR118011 |
| Isolates | ||||||||||
|---|---|---|---|---|---|---|---|---|---|---|
| SCF1 | SCF2 | SCF3 | SCF4 | SCF5 | SCF6 | SCF7 | SCF8 | SCF9 | SCF10 | |
| PGP | ||||||||||
| NH3 | + | − | − | − | − | + | − | − | + | + |
| PVK (SI) * | − | − | − | 1.57 ±0.21 | − | 1.89 ±0.35 | 1.62 ±0.21 | − | − | 1.87 ±0.32 |
| NBRIP (SI) * | − | − | − | − | − | − | − | − | − | 1.35 ±0.02 |
| sider | +/p | +/p | − | − | − | − | − | − | − | +/o |
| HCN | − | − | − | − | − | + | − | − | + | − |
| ACCD | − | − | − | − | − | − | − | − | + | − |
| biofilm | weak | weak | strong | weak | weak | weak | weak | weak | weak | moderate |
| IAA (µg mL−1) * | ||||||||||
| 1 day | – | – | 2.20 ±0.20 | 24.28 ±0.15 | 0.80 ±0.05 | – | – | – | – | 43.34 ±0.45 |
| 2 days | – | – | 1.65 ±0.16 | 64.56 ±0.90 | 1.74 ±0.21 | 2.27 ±0.34 | – | 2.56 ±0.19 | – | 74.80 ±1.30 |
| 3 days | – | – | 0.77 ±0.10 | 81.00 ±0.96 | 2.87 ±0.26 | 2.56 ±0.39 | – | 2.31 ±0.12 | – | 83.77 ±0.65 |
| 4 days | – | – | 0.80 ±0.10 | 80.67 ±0.89 | 2.89 ±0.23 | 3.33 ±0.14 | – | 3.83 ±0.12 | – | 81.10 ±1.30 |
| 5 days | – | – | 0.68 ±0.06 | 82.71 ±0.50 | 3.29 ±0.16 | 3.84 ±0.51 | – | 4.29 ±0.14 | – | 77.49 ±0.42 |
| 6 days | – | – | 1.26 ±0.30 | 77.22 ±1.10 | 3.42 ±0.05 | 4.47 ±0.17 | – | 4.86 ±0.30 | – | 72.44 ±0.30 |
| 7 days | – | – | 2.33 ±0.17 | 73.25 ±0.93 | 3.27 ±0.08 | 4.58 ±0.18 | – | 4.76 ±0.13 | – | 68.35 ±1.28 |
| Isolates | ||||||||||
|---|---|---|---|---|---|---|---|---|---|---|
| SCF1 | SCF2 | SCF3 | SCF4 | SCF5 | SCF6 | SCF7 | SCF8 | SCF9 | SCF10 | |
| MIC/MBC | ||||||||||
| Antibiotics (µg mL−1) | ||||||||||
| Chl | 3.12/3.12 | 3.12/3.12 | 12.5/50.00 | 0.39/1.56 | 3.12/3.12 | 3.12/6.25 | 6.25/6.25 | 6.25/12.50 | 1.56/3.12 | 0.39/25.00 |
| Pen | <0.05/<0.05 | <0.05/<0.05 | 50.00/100.00 | <0.05/<0.05 | 0.05/0.05 | <0.05/<0.05 | <0.05/0.39 | <0.05/<0.05 | <0.05/<0.05 | >100.00/>100.00 |
| Cip | <0.05/<0.05 | 1.56/1.56 | <0.05/<0.05 | 12.50/25.00 | 0.78/0.78 | 0.10/0.39 | 0.10/0.39 | 0.19/0.19 | 0.10/0.19 | 0.19/0.19 |
| Van | 0.10/0.19 | 0.39/0.39 | 0.19/3.12 | 0.19/0.39 | 0.19/0.19 | 0.19/3.12 | 0.10/1.56 | 0.19/3.12 | 0.10/0.19 | >100.00/>100.00 |
| Toxic metals (mM) | ||||||||||
| Mn | 7.81/15.62 | 3.90/31.25 | 7.81/125.00 | 7.81/7.81 | 1.95/1.95 | 7.81/125.00 | 15.62/250.00 | 7.81/125.00 | 7.81/7.81 | 15.62/125.00 |
| Pb | 15.62/62.50 | 15.62/15.62 | 7.81/15.62 | 3.90/125.00 | 1.95/15.62 | 15.62/62.50 | 7.81/125.00 | 15.62/62.50 | 15.62/15.62 | 15.62/31.25 |
| Cd | <0.02/3.12 | <0.02/0.02 | <0.02/0.10 | <0.02/1.56 | <0.02/3.12 | <0.02/3.12 | 0.10/0.78 | 0.10/6.25 | 0.39/0.78 | 6.25/25.00 |
| Fungicides (mg mL−1) | ||||||||||
| Bl | 2.00/2.00 | 1.00/2.00 | 2.00/2.00 | 1.00/4.00 | 1.00/2.00 | 2.00/4.00 | 2.00/4.00 | 2.00/4.00 | 2.00/2.00 | 2.00/8.00 |
| Eq | 1.20/2.40 | 4.80/4.80 | 4.80/4.80 | 2.40/4.80 | 1.20/2.40 | 1.20/1.20 | 1.20/4.80 | 1.20/1.20 | 0.60/0.60 | 4.80/>19.20 |
| Sw | 0.80/0.80 | 1.60/1.60 | 1.60/6.40 | 0.20/3.20 | 0.80/1.60 | 0.80/0.80 | 1.60/6.40 | 0.80/6.40 | 0.80/1.60 | >25.60/>25.60 |
| Herbicides (mg mL−1) | ||||||||||
| S met | 15.00/60.00 | 30.00/30.00 | 30.00/60.00 | 1.87/30.00 | 7.50/30.00 | 15.00/60.00 | 7.50/30.00 | 15.00/60.00 | 30.00/60.00 | >60.00/>60.00 |
| Fl | >20.00/>20.00 | 20.00/20.00 | >20.00/>20.00 | 20.00/20.00 | 20.00/20.00 | 20.00/>20.00 | 10.00/>20.00 | 20.00/>20.00 | >20.00/>20.00 | >20.00/>20.00 |
| Insecticides (mg mL−1) | ||||||||||
| Del | >0.40/>0.40 | >0.40/>0.40 | >0.40/>0.40 | 0.40/>0.40 | >0.40/>0.40 | >0.40/>0.40 | >0.40/>0.40 | 0.40/>0.40 | >0.40/>0.40 | >0.40/>0.40 |
| Cyp | >3.20/>3.20 | >3.20/>3.20 | >3.20/>3.20 | 3.20/>3.20 | >3.20/>3.20 | >3.20/>3.20 | >3.20/>3.20 | >3.20/>3.20 | >3.20/>3.20 | >3.20/>3.20 |
| Treatments | ||||||||||||
|---|---|---|---|---|---|---|---|---|---|---|---|---|
| C | T1 | T2 | T3 | T4 | T5 | T6 | T7 | T8 | T9 | T10 | ||
| Macroelements (mg g−1 DW) | ||||||||||||
| Ca | maize | 6.29 ±0.01 fg | 5.48 ±0.05 b | 5.59 ±0.04 c | 6.24 ±0.01 f | 5.99 ±0.02 e | 6.33 ±0.02 g | 5.68 ±0.01 d | 5.47 ±0.00 b | 5.72 ±0.00 d | 5.22 ±0.00 a | 5.42 ±0.00 b |
| tomato | 21.87 ±0.11 d | 21.17 ±0.27 c | 21.12 ±0.07 c | 23.14 ±0.01 f | 22.85 ±0.00 ef | 22.95 ±0.03 ef | 22.62 ±0.21 e | 20.42 ±0.06 b | 20.37 ±0.12 b | 22.09 ±0.06 d | 20.01 ±0.03 a | |
| cucumber | 17.96 ±0.15 e | 16.00 ±0.05 b | 15.85 ±0.01 b | 16.63 ±0.03 c | 15.38 ±0.02 a | 19.79 ±0.18 g | 17.66 ±0.03 de | 20.45 ±0.30 h | 15.40 ±0.02 a | 19.23 ±0.07 f | 17.43 ±0.10 d | |
| pepper | 10.90 ±0.034 b | 11.57 ±0.11 d | 10.95 ±0.13 bc | 12.52 ±0.12 g | 11.70 ±0.06 d | 12.28 ±0.03 f | 12.57 ±0.03 g | 12.02 ±0.02 e | 11.89 ±0.01 e | 10.42 ±0.03 a | 11.10 ±0.05 c | |
| K | maize | 49.53 ±0.00 h | 51.56 ±0.24 i | 47.81 ±0.09 g | 46.75 ±0.04 f | 48.04 ±0.12 g | 46.51 ±0.05 f | 43.61 ±0.04 d | 45.94 ±0.18 e | 41.82 ±0.02 b | 39.82 ±0.01 a | 42.84 ±0.11 c |
| tomato | 34.64 ±0.28 b | 31.59 ±0.10 a | 38.22 ±0.22 f | 35.59 ±0.04 c | 36.91 ±0.25 de | 35.59 ±0.03 c | 34.78 ±0.10 b | 36.52 ±0.00 d | 37.24 ±0.18 e | 39.03 ±0.08 g | 38.39 ±0.02 f | |
| cucumber | 33.70 ±0.23 a | 38.43 ±0.06 e | 38.72 ±0.04 e | 37.91 ±0.00 d | 41.68 ±0.05 g | 36.78 ±0.09 c | 38.61 ±0.01 e | 39.61 ±0.29 f | 36.24 ±0.03 b | 36.95 ±0.02 c | 38.41 ±0.13 e | |
| pepper | 55.30 ±0.23 g | 54.30 ±0.32 f | 48.46 ±0.14 bc | 48.86 ±0.23 c | 50.10 ±0.15 d | 50.67 ±0.13 d | 52.10 ±0.26 e | 50.59 ±0.07 d | 50.31 ±0.12 d | 44.15 ±0.11 a | 48.18 ±0.29 b | |
| Mg | maize | 1.93 ±0.01 h | 1.77 ±0.02 bc | 1.82 ±0.00 efg | 1.94 ±0.00 h | 1.79 ±0.00 cde | 1.78 ±0.02 cd | 1.83 ±0.00 fg | 1.75 ±0.00 b | 1.83 ±0.00 g | 1.71 ±0.01 a | 1.80 ±0.00 def |
| tomato | 3.39 ±0.01 bc | 3.35 ±0.01 ab | 3.33 ±0.05 a | 3.47 ±0.00 d | 3.47 ±0.01 de | 3.57 ±0.01 f | 3.53 ±0.01 ef | 3.39 ±0.01 bc | 3.33 ±0.00 a | 3.41 ±0.01 c | 3.39 ±0.02 bc | |
| cucumber | 3.02 ±0.01 d | 2.78 ±0.00 a | 2.96 ±0.01 c | 2.93 ±0.02 c | 2.78 ±0.03 a | 3.17 ±0.01 f | 2.97 ±0.01 cd | 3.25 ±0.03 g | 2.78 ±0.01 a | 3.07 ±0.02 e | 2.88 ±0.01 b | |
| pepper | 3.20 ±0.01 i | 2.63 ±0.00 ef | 2.44 ±0.00 a | 2.50 ±0.01 c | 2.58 ±0.00 d | 2.64 ±0.00 fg | 2.62 ±0.00 ef | 2.80 ±0.00 h | 2.61 ±0.00 e | 2.48 ±0.00 b | 2.65 ±0.00 g | |
| P | maize | 9.32 ±0.00 abc | 9.64 ±0.00 abc | 8.76 ±0.00 a | 10.18 ±1.27 c | 9.90 ±0.01 bc | 9.21 ±0.00 abc | 8.72 ±0.02 a | 9.19 ±0.00 abc | 9.43 ±0.02 abc | 9.04 ±0.00 ab | 8.92 ±0.01 ab |
| tomato | 5.88 ±0.01 c | 5.53 ±0.01 a | 6.06 ±0.01 d | 5.80 ±0.00 b | 6.22 ±0.01 e | 6.32 ±0.00 g | 6.26 ±0.00 f | 6.54 ±0.00 i | 6.49 ±0.01 h | 6.71 ±0.00 j | 6.48 ±0.01 h | |
| cucumber | 5.56 ±0.01 a | 6.36 ±0.01 g | 6.09 ±0.01 c | 6.23 ±00 e | 6.28 ±0.00 f | 6.14 ±0.01 d | 6.14 ±0.00 d | 6.02 ±0.01 b | 6.50 ±0.02 i | 6.45 ±0.00 h | 6.59 ±0.01 j | |
| pepper | 3.65 ±0.00 a | 3.89 ±0.00 c | 4.12 ±0.00 e | 4.17 ±0.00 f | 4.34 ±0.00 h | 4.39 ±0.00 i | 4.32 ±0.00 g | 4.48 ±0.00 k | 4.45 ±0.00 j | 3.80 ±0.00 b | 3.94 ±0.00 d | |
| S | maize | 3.43 ±0.00 e | 3.28 ±0.00 b | 3.27 ±0.00 b | 3.48 ±0.00 g | 3.44 ±0.00 e | 3.41 ±0.00 d | 3.34 ±0.01 c | 3.12 ±0.00 a | 3.49 ±0.01 h | 3.45 ±0.00 f | 3.56 ±0.00 i |
| tomato | 4.64 ±0.02 c | 4.97 ±0.02 e | 4.48 ±0.00 b | 5.66 ±0.00 i | 5.43 ±0.01 h | 5.86 ±0.00 k | 5.69 ±0.01 j | 4.70 ±0.00 d | 5.03 ±0.01 f | 5.40 ±0.00 g | 4.43 ±0.01 a | |
| cucumber | 8.40 ±0.01 a | 8.46 ±0.00 b | 8.95 ±0.01 g | 8.97 ±0.00 g | 8.73 ±0.01 d | 8.89 ±0.01 e | 8.56 ±0.00 c | 8.49 ±0.01 b | 8.55 ±0.02 c | 8.90 ±0.00 f | 8.88 ±0.00 e | |
| pepper | 4.75 ±0.00 h | 4.68 ±0.00 g | 4.65 ±0.00 f | 5.02 ±0.00 k | 4.97 ±0.00 j | 4.85 ±0.00 i | 4.58 ±0.00 e | 4.53 ±0.00 d | 4.51 ±0.00 c | 3.99 ±0.00 a | 4.32 ±0.00 b | |
| Microelements (µg g−1 DW) | ||||||||||||
| B | maize | 14.93 ±0.01 d | 10.34 ±0.01 a | 11.27 ±0.00 b | 13.85 ±0.65 c | 15.97 ±0.03 e | 18.51 ±0.03 f | 13.73 ±0.07 c | 13.83 ±0.03 c | 15.93 ±0.02 e | 15.47 ±0.02 de | 13.31 ±0.02 c |
| tomato | 34.00 ±0.03 h | 30.34 ±0.08 c | 28.78 ±0.02 b | 30.30 ±0.01 c | 31.02 ±0.05 d | 33.31 ±0.01 g | 31.31 ±0.02 e | 28.70 ±0.05 b | 28.71 ±0.04 b | 32.23 ±0.01 f | 28.43 ±0.11 a | |
| cucumber | 34.88 ±0.03 g | 33.11 ±0.03 d | 33.99 ±003 e | 33.89 ±0.03 e | 32.00 ±0.10 b | 33.93 ±0.02 e | 32.86 ±0.04 c | 36.26 ±0.02 h | 31.53 ±0.11 a | 34.38 ±0.01 f | 31.66 ±0.01 a | |
| pepper | 36.67 ±0.01 e | 37.90 ±0.09 f | 38.10 ±0.05 g | 39.49 ±0.00 h | 41.56 ±0.01 i | 38.13 ±0.02 g | 34.55 ±0.02 d | 37.92 ±0.04 f | 34.00 ±0.01 c | 30.52 ±0.01 a | 31.30 ±0.03 b | |
| Cu | maize | 9.56 ±0.01 a | 9.93 ±0.00 c | 9.69 ±0.00 b | 11.73 ±0.01 g | 10.30 ±0.03 e | 10.19 ±0.02 d | 10.35 ±0.01 e | 9.72 ±0.00 b | 11.84 ±0.03 h | 11.11 ±0.02 f | 12.52 ±0.03 i |
| tomato | 12.41 ±0.09 d | 16.00 ±0.06 g | 16.04 ±0.08 g | 8.15 ±0.00 a | 12.59 ±0.12 d | 9.79 ±0.07 b | 10.53 ±0.09 c | 14.23 ±0.02 f | 13.45 ±0.10 e | 12.62 ±0.23 d | 12.55 ±0.12 d | |
| cucumber | 16.34 ±0.04 d | 15.72 ±0.06 b | 16.19 ±0.00 c | 18.25 ±0.03 i | 18.41 ±0.04 j | 16.35 ±0.01 d | 15.10 ±0.03 a | 17.00 ±0.02 e | 17.34 ±0.03 f | 17.90 ±0.07 h | 17.57 ±0.01 g | |
| pepper | 4. 70 ±0.06 e | 4.40 ±0.02 c | 4.35 ±0.02 c | 4.72 ±0.02 e | 4.65 ±0.01 de | 4.41 ±0.01 c | 3.74 ±0.01 a | 4.59 ±0.00 d | 3.79 ±0.01 a | 3.93 ±0.01 b | 3.87 ±0.02 b | |
| Fe | maize | 77.57 ±0.05 b | 83.62 ±0.10 g | 78.48 ±0.07 c | 94.92 ±0.07 k | 83.06 ±0.19 f | 81.60 ±0.12 e | 84.48 ±0.00 h | 73.82 ±0.25 a | 90.46 ±0.05 i | 80.61 ±0.12 d | 92.15 ±0.03 j |
| tomato | 178.82 ±0.51 i | 155.23 ±0.30 e | 139.75 ±0.42 a | 151.93 ±0.14 c | 161.79 ±0.03 g | 149.02 ±0.14 b | 172.51 ±0.47 h | 155.34 ±0.26 e | 159.49 ±0.09 f | 153.55 ±0.23 d | 155.30 ±0.43 e | |
| cucumber | 128.86 ±0.85 i | 115.71 ±0.07 f | 126.94 ±0.10 h | 125.02 ±0.14 g | 107.55 ±0.29 b | 133.05 ±0.52 j | 110.98 ±0.00 d | 99.18 ±0.33 a | 110.25 ±0.21 cd | 112.35 ±0.14 e | 109.77 ±0.38 c | |
| pepper | 74.63 ±0.34 a | 80.45 ±0.60 b | 89.18 ±0.05 g | 94.91 ±0.24 h | 87.87 ±0.17 f | 86.21 ±0.09 e | 82.20 ±0.00 c | 100.44 ±0.17 i | 85.37 ±0.14 d | 80.42 ±0.16 b | 82.07 ±0.34 b | |
| Mn | maize | 128.42 ±0.14 c | 126.50 ±0.10 b | 125.77 ±0.09 b | 139.30 ±0.93 f | 143.85 ±0.26 g | 145.77 ±0.33 h | 135.37 ±0.17 d | 120.95 ±0.09 a | 137.40 ±1.33 e | 122.08 ±0.05 a | 129.16 ±0.10 c |
| tomato | 55.90 ±1.46 b | 85.55 ±1.13 g | 71.95 ±1.14 f | 55.79 ±0.43 b | 62.27 ±1.45 cd | 65.71 ±0.57 e | 61.76 ±0.74 cd | 62.11 ±0.38 cd | 64.31 ±0.30 de | 59.76 ±0.42 c | 41.95 ±0.33 a | |
| cucumber | 111.41 ±0.66 i | 81.40 ±0.03 a | 86.78 ±0.03 d | 104.28 ±0.29 h | 100.00 ±0.29 g | 93.71 ±0.24 e | 81.64 ±0.00 a | 83.89 ±0.28 c | 82.88 ±0.12 b | 99.11 ±0.03 f | 93.68 ±0.24 e | |
| pepper | 60.26 ±0.23 a | 103.54 ±0.77 g | 112.36 ±0.05 j | 108.45 ±0.41 i | 103.73 ±0.12 g | 107.39 ±0.06 h | 80.78 ±0.17 f | 76.31 ±0.03 e | 74.01 ±0.07 d | 69.29 ±0.09 b | 70.47 ±0.32 c | |
| Zn | maize | 43.99 ±0.01 a | 50.01 ±0.03 e | 49.87 ±0.03 d | 53.20 ±0.00 g | 55.03 ±0.03 i | 60.88 ±0.05 k | 46.94 ±0.05 c | 53.07 ±0.03 f | 57.80 ±0.07 j | 54.74 ±0.05 h | 45.40 ±0.03 b |
| tomato | 67.01 ±0.12 e | 69.70 ±0.09 i | 69.16 ±0.00 h | 64.21 ±0.07 b | 66.21 ±0.09 d | 65.43 ±0.00 c | 67.24 ±0.05 f | 67.26 ±0.03 f | 67.53 ±0.07 g | 64.15 ±0.05 b | 63.49 ±0.00 a | |
| cucumber | 72.92 ±0.13 c | 78.86 ±0.00 g | 79.88 ±0.05 h | 82.49 ±0.03 j | 74.33 ±0.11 d | 76.72 ±0.00 f | 72.29 ±0.05 b | 71.16 ±0.07 a | 75.24 ±0.18 e | 81.02 ±0.05 i | 82.48 ±0.03 j | |
| pepper | 47.15 ±0.05 c | 50.59 ±0.12 g | 48.37 ±0.00 e | 60.28 ±0.09 i | 53.63 ±0.03 h | 49.66 ±0.02 f | 44.65 ±0.05 a | 47.98 ±0.02 d | 46.53 ±0.05 b | 47.13 ±0.03 c | 49.69 ±0.05 f | |
Disclaimer/Publisher’s Note: The statements, opinions and data contained in all publications are solely those of the individual author(s) and contributor(s) and not of MDPI and/or the editor(s). MDPI and/or the editor(s) disclaim responsibility for any injury to people or property resulting from any ideas, methods, instructions or products referred to in the content. |
© 2025 by the authors. Licensee MDPI, Basel, Switzerland. This article is an open access article distributed under the terms and conditions of the Creative Commons Attribution (CC BY) license (https://creativecommons.org/licenses/by/4.0/).
Share and Cite
Anđelković, J.; Mihajilov Krstev, T.; Dimkić, I.; Unković, N.; Stanković, D.; Joković, N. Growth-Promoting Effects of Ten Soil Bacterial Strains on Maize, Tomato, Cucumber, and Pepper Under Greenhouse Conditions. Plants 2025, 14, 1874. https://doi.org/10.3390/plants14121874
Anđelković J, Mihajilov Krstev T, Dimkić I, Unković N, Stanković D, Joković N. Growth-Promoting Effects of Ten Soil Bacterial Strains on Maize, Tomato, Cucumber, and Pepper Under Greenhouse Conditions. Plants. 2025; 14(12):1874. https://doi.org/10.3390/plants14121874
Chicago/Turabian StyleAnđelković, Jovana, Tatjana Mihajilov Krstev, Ivica Dimkić, Nikola Unković, Dalibor Stanković, and Nataša Joković. 2025. "Growth-Promoting Effects of Ten Soil Bacterial Strains on Maize, Tomato, Cucumber, and Pepper Under Greenhouse Conditions" Plants 14, no. 12: 1874. https://doi.org/10.3390/plants14121874
APA StyleAnđelković, J., Mihajilov Krstev, T., Dimkić, I., Unković, N., Stanković, D., & Joković, N. (2025). Growth-Promoting Effects of Ten Soil Bacterial Strains on Maize, Tomato, Cucumber, and Pepper Under Greenhouse Conditions. Plants, 14(12), 1874. https://doi.org/10.3390/plants14121874

