The Role of Light-Harvesting Complex II Organization in the Efficiency of Light-Dependent Reactions in the Photosynthetic Apparatus of Pisum sativum L.
Abstract
1. Introduction
2. Results
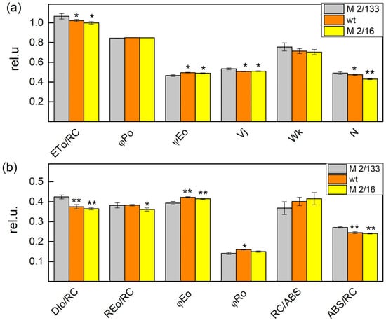
2.1. Chlorophyll a Fluorescence Induction
2.2. PAM Chlorophyll a Fluorescence
2.3. Principal Component Analysis (PCA)
3. Discussion
4. Materials and Methods
4.1. Plant Material
4.2. Fast Chlorophyll a Fluorescence Kinetics
4.3. PAM Chlorophyll a Fluorescence Measurements
4.4. Principal Component Analysis (PCA)
5. Conclusions
Supplementary Materials
Author Contributions
Funding
Data Availability Statement
Conflicts of Interest
References
- Mathur, S.; Jain, L.; Jajoo, A. Photosynthetic efficiency in sun and shade plants. Photosynthetica 2018, 56, 354–365. [Google Scholar] [CrossRef]
- Rochaix, J.-D. Assembly of the photosynthetic apparatus. Plant Physiol. 2011, 155, 1493–1500. [Google Scholar] [CrossRef] [PubMed]
- Nevo, R.; Charuvi, D.; Tsabari, O.; Reich, Z. Composition, architecture and dynamics of the photosynthetic apparatus in higher plants. Plant J. 2012, 70, 157–176. [Google Scholar] [CrossRef]
- Perez-Boerema, A.; Engel, B.D.; Wietrzynski, W. Evolution of thylakoid structural diversity. Annu. Rev. Cell Dev. Biol. 2024, 40, 169–193. [Google Scholar] [CrossRef]
- Rantala, M.; Rantala, S.; Aro, E.-M. Composition, phosphorylation and dynamic organization of photosynthetic protein complexes in plant thylakoid membrane. Photochem. Photobiol. Sci. 2020, 19, 604–619. [Google Scholar] [CrossRef] [PubMed]
- Lokstein, H.; Renger, G.; Götze, J. Photosynthetic light-harvesting (antenna) complexes—Structures and functions. Molecules 2021, 26, 3378. [Google Scholar] [CrossRef]
- Staehelin, L.A.; van der Staay, G.W.M. Structure, Composition, Functional Organization and Dynamic Properties of Thylakoid Membranes. In Oxygenic Photosynthesis: The Light Reactions; Springer: Dordrecht, The Netherlands, 1996; pp. 11–30. [Google Scholar] [CrossRef]
- Dekker, J.P.; Boekema, E.J. Supramolecular organization of thylakoid membrane proteins in green plants. Biochim. Biophys. Acta Bioenerg. 2005, 1706, 12–39. [Google Scholar] [CrossRef]
- Apostolova, E.L.; Dobrikova, A.G.; Ivanova, P.I.; Petkanchin, I.B.; Taneva, S.G. Relationship between the organization of the PSII supercomplex and the functions of the photosynthetic apparatus. J. Photochem. Photobiol. B Biol. 2006, 83, 114–122. [Google Scholar] [CrossRef]
- Janik-Zabrotowicz, E.; Gruszecki, W.I. LHCII—A protein like a “Swiss Army knife” with many mechanisms and functions. Photosynthetica 2023, 61, 405–416. [Google Scholar] [CrossRef]
- Apostolova, E.L.; Misra, A.N. Alterations in Structural Organization Affect the Functional Ability of Photosynthetic Apparatus. In Handbook of Plant and Crop Physiology, 3rd ed.; Pessarakli, M., Ed.; CRC Press, Taylor & Francis: Boca Raton, FL, USA, 2014; pp. 103–120. ISBN 9781466553293. [Google Scholar]
- Grinzato, A.; Albanese, P.; Marotta, R.; Swuec, P.; Saracco, G.; Bolognesi, M.; Zanotti, G.; Pagliano, C. High-light versus low-light: Effects on paired photosystem ii supercomplex structural rearrangement in pea plants. Int. J. Mol. Sci. 2020, 21, 8643. [Google Scholar] [CrossRef]
- Wu, G.; Ma, L.; Sayre, R.T.; Lee, C.H. Identification of the optimal light harvesting antenna size for high-light stress mitigation in plants. Front. Plant Sci. 2020, 11, 505. [Google Scholar] [CrossRef] [PubMed]
- Tang, W.; Guo, H.; Baskin, C.C.; Xiong, W.; Yang, C.; Li, Z.; Song, H.; Wang, T.; Yin, J.; Wu, X.; et al. Effect of light intensity on morphology, photosynthesis and carbon metabolism of alfalfa (Medicago sativa). Plants 2022, 11, 1688. [Google Scholar] [CrossRef] [PubMed]
- Kalaji, M.H.; Goltsev, V.N.; Żuk-Golaszewska, K.; Zivcak, M.; Brestic, M. Chlorophyll Fluorescence: Understanding Crop Performance—Basics and Applications, 1st ed.; Kalaji, M.H., Ed.; Taylor & Francis Group: Boca Raton, FL, USA, 2017; ISBN 9781315153605. [Google Scholar]
- Maxwell, K.; Johnson, G.N. Chlorophyll fluorescence—A practical guide. J. Exp. Bot. 2000, 51, 659–668. [Google Scholar] [CrossRef] [PubMed]
- Bussotti, F.; Gerosa, G.; Digrado, A.; Pollastrini, M. Selection of chlorophyll fluorescence parameters as indicators of photosynthetic efficiency in large scale plant ecological studies. Ecol. Indic. 2020, 108, 105686. [Google Scholar] [CrossRef]
- Bayat, L.; Arab, M.; Aliniaeifard, S.; Seif, M.; Lastochkina, O.; Li, T. Effects of growth under different light spectra on the subsequent high light tolerance in rose plants. AoB Plants 2018, 10, ply052. [Google Scholar] [CrossRef]
- Kalaji, H.M.; Jajoo, A.; Oukarroum, A.; Brestic, M.; Zivcak, M.; Samborska, I.A.; Cetner, M.D.; Łukasik, I.; Goltsev, V.; Ladle, R.J. Chlorophyll a fluorescence as a tool to monitor physiological status of plants under abiotic stress conditions. Acta Physiol. Plant. 2016, 38, 102. [Google Scholar] [CrossRef]
- Mishra, A.N. Chlorophyll Fluorescence: A Practical Approach to Study Ecophysiology of Green Plants. In Advances in Plant Ecophysiology Techniques; Sánchez-Moreiras, A., Reigosa, M., Eds.; Springer International Publishing: Cham, Switzerland, 2018; pp. 77–97. [Google Scholar]
- Stefanov, M.A.; Rashkov, G.D.; Apostolova, E.L. Assessment of the photosynthetic apparatus functions by chlorophyll fluorescence and P700 absorbance in C3 and C4 plants under physiological conditions and under salt stress. Int. J. Mol. Sci. 2022, 23, 3768. [Google Scholar] [CrossRef]
- Ladygin, V.G. Pigment composition and photosynthetic activity of pea chlorophyll mutants. Biol. Bull. Russ. Acad. Sci. 2003, 30, 370–377. [Google Scholar] [CrossRef]
- Zhong, X.M.; Sun, S.F.; Li, F.H.; Wang, J.; Shi, Z.S. Photosynthesis of a yellow-green mutant line in maize. Photosynthetica 2015, 53, 499–505. [Google Scholar] [CrossRef]
- Ji, S.; Zhang, Y.; Xu, M.; Zhao, M.; Chen, H.; Lu, Y.; Pang, S.; Xu, W. Characterization of low-temperature sensitivity and chlorophyll fluorescence in yellow leaf mutants of tomato. Agronomy 2024, 14, 2382. [Google Scholar] [CrossRef]
- Pereira, A.M.; Martins, A.O.; Batista-Silva, W.; Condori-Apfata, J.A.; Nascimento, V.L.; Silva, V.F.; Oliveira, L.A.; Medeiros, D.B.; Martins, S.C.V.; Fernie, A.R.; et al. Elevated carbon assimilation and metabolic reprogramming in tomato high pigment mutants support the increased production of pigments. Plant Cell Rep. 2022, 41, 1907–1929. [Google Scholar] [CrossRef] [PubMed]
- Shahzad, R.; Ahmed, F.; Wang, Z.; Harlina, P.W.; Nishawy, E.; Ayaad, M.; Manan, A.; Maher, M.; Ewas, M. Comparative analysis of two phytochrome mutants of tomato (Micro-Tom cv.) reveals specific physiological, biochemical, and molecular responses under chilling stress. J. Genet. Eng. Biotechnol. 2020, 18, 77. [Google Scholar] [CrossRef] [PubMed]
- Dobrikova, A.; Morgan, R.M.; Ivanov, A.G.; Apostolova, E.; Petkanchin, I.; Huner, N.P.A.; Taneva, S.G. Electric properties of thylakoid membranes from pea mutants with modified carotenoid and chlorophyll-protein complex composition. Photosynth. Res. 2000, 65, 165–174. [Google Scholar] [CrossRef] [PubMed]
- Strasser, R.J.; Tsimilli-Michael, M.; Srivastava, A. Analysis of the chlorophyll a fluorescence transient. In Chlorophyll A Fluorescence; Advances in Photosynthesis and Respiration; Springer: Dordrecht, The Netherlands, 2004; pp. 321–362. [Google Scholar] [CrossRef]
- Haldimann, P.; Strasser, R.J. Effects of anaerobiosis as probed by the polyphasic chlorophyll a fluorescence rise kinetic in pea (Pisum sativum L.). Photosynth. Res. 1999, 62, 67–83. [Google Scholar] [CrossRef]
- Dąbrowski, P.; Baczewska-Dąbrowska, A.H.; Bussotti, F.; Pollastrini, M.; Piekut, K.; Kowalik, W.; Wróbel, J.; Kalaji, H.M. Photosynthetic efficiency of Microcystis ssp. under salt stress. Environ. Exp. Bot. 2021, 186, 104459. [Google Scholar] [CrossRef]
- Kalaji, H.M.; Govindjee; Bosa, K.; Kościelniak, J.; Zuk-Gołaszewska, K. Effects of salt stress on photosystem II efficiency and CO2 assimilation of two Syrian barley landraces. Environ. Exp. Bot. 2011, 73, 64–72. [Google Scholar] [CrossRef]
- Giorio, P.; Sellami, M.H. Polyphasic OKJIP Chlorophyll a Fluorescence Transient in a Landrace and a Commercial Cultivar of Sweet Pepper (Capsicum annuum, L.) under Long-Term Salt Stress. Plants 2021, 10, 887. [Google Scholar] [CrossRef]
- Bussotti, F.; Desotgiu, R.; Pollastrini, M.; Cascio, C. The JIP test: A tool to screen the capacity of plant adaptation to climate change. Scand. J. For. Res. 2010, 25, 43–50. [Google Scholar] [CrossRef]
- Kramer, D.M.; Johnson, G.; Kiirats, O.; Edwards, G.E. New fluorescence parameters for the determination of QA redox state and excitation energy fluxes. Photosynth. Res. 2004, 79, 209–218. [Google Scholar] [CrossRef]
- Ruban, A.V. Nonphotochemical chlorophyll fluorescence quenching: Mechanism and effectiveness in protecting plants from photodamage. Plant Physiol. 2016, 170, 1903–1916. [Google Scholar] [CrossRef]
- Bukhov, N.G.; Samson, G.; Carpentier, R. Nonphotosynthetic reduction of the intersystem electron transport chain of chloroplasts following heat stress. The pool size of stromal reductants. Photochem. Photobiol. 2001, 74, 438. [Google Scholar] [CrossRef]
- Shirao, M.; Kuroki, S.; Kaneko, K.; Kinjo, Y.; Tsuyama, M.; Förster, B.; Takahashi, S.; Badger, M.R. Gymnosperms have increased capacity for electron leakage to oxygen (Mehler and PTOX reactions) in photosynthesis compared with angiosperms. Plant Cell Physiol. 2013, 54, 1152–1163. [Google Scholar] [CrossRef]
- Andrews, J.R.; Fryer, M.J.; Baker, N.R. Consequences of LHC II deficiency for photosynthetic regulation in chlorina mutants of barley. Photosynth. Res. 1995, 44, 81–91. [Google Scholar] [CrossRef] [PubMed]
- Allen, J.F. Protein Phosphorylation in Regulation of Photosynthesis. Biochim. Biophys. Acta Bioenerg. 1992, 1098, 275–335. [Google Scholar] [CrossRef]
- Horton, P.; Ruban, A.V.; Rees, D.; Pascal, A.A.; Noctor, G.; Young, A.J. Control of the light-harvesting function of chloroplast membranes by aggregation of the LHCII chlorophyll—Protein complex. FEBS Lett. 1991, 292, 1–4. [Google Scholar] [CrossRef] [PubMed]
- Kouřil, R.; Wientjes, E.; Bultema, J.B.; Croce, R.; Boekema, E.J. High-light vs. low-light: Effect of light acclimation on photosystem II composition and organization in Arabidopsis thaliana. Biochim. Biophys. Acta Bioenerg. 2013, 1827, 411–419. [Google Scholar] [CrossRef]
- Moustakas, M.; Bayçu, G.; Sperdouli, I.; Eroğlu, H.; Eleftheriou, E.P. Arbuscular mycorrhizal symbiosis enhances photosynthesis in the medicinal herb Salvia fruticosa by improving photosystem II photochemistry. Plants 2020, 9, 962. [Google Scholar] [CrossRef] [PubMed]
- Govindachary, S.; Bukhov, N.G.; Joly, D.; Carpentier, R. Photosystem II inhibition by moderate light under low temperature in intact leaves of chilling-sensitive and -tolerant plants. Physiol. Plant. 2004, 121, 322–333. [Google Scholar] [CrossRef]
- Mosadegh, H.; Trivellini, A.; Lucchesini, M.; Ferrante, A.; Maggini, R.; Vernieri, P.; Sodi, A.M. UV-B physiological changes under conditions of distress and eustress in sweet basil. Plants 2019, 8, 396. [Google Scholar] [CrossRef]
- Jiang, C.D.; Shi, L.; Gao, H.Y.; Schansker, G.; Toth, S.Z.; Strasser, R.J. Development of photosystems 2 and 1 during leaf growth in grapevine seedlings probed by chlorophyll a fluorescence transient and 820 nm transmission in vivo. Photosynthetica 2006, 44, 454–463. [Google Scholar] [CrossRef]
- Jursinic, P. Govindjee Effects of hydroxylamine and silicomolybdate on the decay in delayed light emission in the 6–100 μs range after a single 10 ns flash in pea thylakoids. Photosynth. Res. 1982, 3, 161–177. [Google Scholar] [CrossRef] [PubMed]
- Demmig-Adams, B.; Adams, W.W., III; Barker, D.H.; Logan, B.A.; Bowling, D.R.; Verhoeven, A.S. Using chlorophyll fluorescence to assess the fraction of absorbed light allocated to thermal dissipation of excess excitation. Physiol. Plant. 1996, 98, 253–264. [Google Scholar] [CrossRef]
- Bukhov, N.G.; Heber, U.; Wiese, C.; Shuvalov, V.A. Energy dissipation in photosynthesis: Does the quenching of chlorophyll fluorescence originate from antenna complexes of photosystem II or from the reaction center? Planta 2001, 212, 749–758. [Google Scholar] [CrossRef]
- Ruban, A.V.; Johnson, M.P. Dynamics of higher plant photosystem cross-section associated with state transitions. Photosynth. Res. 2009, 99, 173–183. [Google Scholar] [CrossRef]
- Derks, A.; Schaven, K.; Bruce, D. Diverse mechanisms for photoprotection in photosynthesis. Dynamic regulation of photosystem II excitation in response to rapid environmental change. Biochim. Biophys. Acta Bioenerg. 2015, 1847, 468–485. [Google Scholar] [CrossRef]
- Müller, P.; Li, X.-P.; Niyogi, K.K. Non-Photochemical Quenching. A Response to Excess Light Energy. Plant Physiol. 2001, 125, 1558–1566. [Google Scholar] [CrossRef]
- Tsimilli-Michael, M. Revisiting JIP-test: An educative review on concepts, assumptions, approximations, definitions and terminology. Photosynthetica 2020, 58, 275–292. [Google Scholar] [CrossRef]
- Stefanov, M.A.; Rashkov, G.D.; Yotsova, E.K.; Borisova, P.B.; Dobrikova, A.G.; Apostolova, E.L. Different sensitivity levels of the photosynthetic apparatus in Zea mays L. and Sorghum bicolor L. under salt stress. Plants 2021, 10, 1469. [Google Scholar] [CrossRef] [PubMed]
- Roháček, K. Chlorophyll fluorescence parameters: The definitions, photosynthetic meaning, and mutual relationships. Photosynthetica 2002, 40, 13–29. [Google Scholar] [CrossRef]
- Kalaji, H.M.; Guo, P. Chlorophyll Fluorescence: A Useful Tool in Barley Plant Breeding Programs. In Photochemistry Research Progress; Sánchez, A., Gutierrez, S.J., Eds.; Nova Science Publishers, Inc.: Hauppauge, NY, USA, 2008; pp. 447–471. ISBN 9781604562323. [Google Scholar]
- Genty, B.; Briantais, J.M.; Baker, N.R. The relationship between the quantum yield of photosynthetic electron transport and quenching of chlorophyll fluorescence. Biochim. Biophys. Acta Gen. Subj. 1989, 990, 87–92. [Google Scholar] [CrossRef]
- Stefanov, M.; Yotsova, E.; Rashkov, G.D.; Ivanova, K.; Markovska, Y.; Apostolova, E.L. Effects of salinity on the photosynthetic apparatus of two Paulownia lines. Plant Physiol. Biochem. 2016, 101, 54–59. [Google Scholar] [CrossRef] [PubMed]
- Guadagno, C.R.; Virzo De Santo, A.; D’Ambrosio, N. A revised energy partitioning approach to assess the yields of non-photochemical quenching components. Biochim. Biophys. Acta Bioenerg. 2010, 1797, 525–530. [Google Scholar] [CrossRef] [PubMed]
- Jolliffe, I.T.; Cadima, J. Principal component analysis: A review and recent developments. Philos. Trans. R. Soc. Math. Phys. Eng. Sci. 2016, 374, 20150202. [Google Scholar] [CrossRef] [PubMed]
- Ni, L.; Jinhang, S. The Analysis and Research of Clustering Algorithm Based on PCA. In Proceedings of the 2017 13th IEEE International Conference on Electronic Measurement & Instruments (ICEMI), Yangzhou, China, 20–22 October 2017; pp. 361–365. [Google Scholar]









| Variant | Chl a + b (µg/g FW) | Chl a/b | LHCIIo/LHCIIm | LHCII/PSII | PSI/PSII |
|---|---|---|---|---|---|
| Costata 2/133 | 1840 | 2.54 | 3.34 | 3.70 | 1.27 |
| Borec wt | 2111 | 2.41 | 4.57 | 3.37 | 1.38 |
| Coeruleovireus 2/16 | 2680 | 2.23 | 6.62 | 3.21 | 1.37 |
| γRC/(1 − γRC) | φPo/(1 − φPo) | ψEo/(1 − ψ(Eo)) | δREo/(1 − δREo) | |
|---|---|---|---|---|
| mutant 2/133 | 0.372 ± 0.005 | 5.384 ± 0.079 | 0.893 ± 0.031 | 0.581 ± 0.035 |
| wt | 0.415 ± 0.006 * | 5.536 ± 0.062 | 0.968 ± 0.014 * | 0.590 ± 0.018 |
| mutant 2/16 | 0.415 ± 0.004 * | 5.549 ± 0.059 | 0.996 ± 0.018 * | 0.561 ± 0.018 |
| qE | qT | qI | ||||
|---|---|---|---|---|---|---|
| LL | HL | LL | HL | LL | HL | |
| mutant 2/133 | 0.62 ± 0.07 | 1.32 ± 0.07 | 0.010 ± 0.001 | 0.092 ± 0.021 | 0.094 ± 0.010 | 0.127 ± 0.002 |
| wt | 0.66 ± 0.06 | 1.34 ± 0.04 | 0.088 ± 0.009 *** | 0.178 ± 0.011 ** | 0.137 ± 0.007 ** | 0.143 ± 0.019 * |
| mutant 2/16 | 0.65 ± 0.06 | 1.46 ± 0.03 * | 0.097 ± 0.015 *** | 0.182 ± 0.036 * | 0.133 ± 0.028 ** | 0.141 ± 0.008 * |
| k1 (s−1) | k2 (s−1) | A1/A2 | |
|---|---|---|---|
| mutant 2/133 | 1.733 ± 0.095 | 0.080 ± 0.004 | 4.231 ± 0.229 |
| wt | 1.596 ± 0.197 | 0.065 ± 0.003 *** | 4.859 ± 0.221 * |
| mutant 2/16 | 1.609 ± 0.176 | 0.060 ± 0.004 *** | 4.855 ± 0.252 * |
Disclaimer/Publisher’s Note: The statements, opinions and data contained in all publications are solely those of the individual author(s) and contributor(s) and not of MDPI and/or the editor(s). MDPI and/or the editor(s) disclaim responsibility for any injury to people or property resulting from any ideas, methods, instructions or products referred to in the content. |
© 2025 by the authors. Licensee MDPI, Basel, Switzerland. This article is an open access article distributed under the terms and conditions of the Creative Commons Attribution (CC BY) license (https://creativecommons.org/licenses/by/4.0/).
Share and Cite
Rashkov, G.D.; Stefanov, M.A.; Misra, A.N.; Apostolova, E.L. The Role of Light-Harvesting Complex II Organization in the Efficiency of Light-Dependent Reactions in the Photosynthetic Apparatus of Pisum sativum L. Plants 2025, 14, 1846. https://doi.org/10.3390/plants14121846
Rashkov GD, Stefanov MA, Misra AN, Apostolova EL. The Role of Light-Harvesting Complex II Organization in the Efficiency of Light-Dependent Reactions in the Photosynthetic Apparatus of Pisum sativum L. Plants. 2025; 14(12):1846. https://doi.org/10.3390/plants14121846
Chicago/Turabian StyleRashkov, Georgi D., Martin A. Stefanov, Amarendra N. Misra, and Emilia L. Apostolova. 2025. "The Role of Light-Harvesting Complex II Organization in the Efficiency of Light-Dependent Reactions in the Photosynthetic Apparatus of Pisum sativum L." Plants 14, no. 12: 1846. https://doi.org/10.3390/plants14121846
APA StyleRashkov, G. D., Stefanov, M. A., Misra, A. N., & Apostolova, E. L. (2025). The Role of Light-Harvesting Complex II Organization in the Efficiency of Light-Dependent Reactions in the Photosynthetic Apparatus of Pisum sativum L. Plants, 14(12), 1846. https://doi.org/10.3390/plants14121846

