ZnO NPs: A Nanomaterial-Based Fertilizer That Significantly Enhanced Salt Tolerance of Glycyrrhiza uralensis Fisch and Improved the Yield and Quality of Its Root
Abstract
1. Introduction
2. Materials and Methods
2.1. Test Instruments
2.2. Plant Material and Experimental Design
2.3. Measured Parameters
2.3.1. Plant Growth Parameters
2.3.2. Enzyme Activity
2.3.3. Determination of Superoxide Anion (O2−.) and Malondialdehyde Content, Electrolyte Leakage Rate and Membrane Stability Index
2.3.4. Soluble Protein, Soluble Sugar, and Proline Assay
2.3.5. Medicinal Ingredients Content Assay
2.4. Data Analysis
3. Results
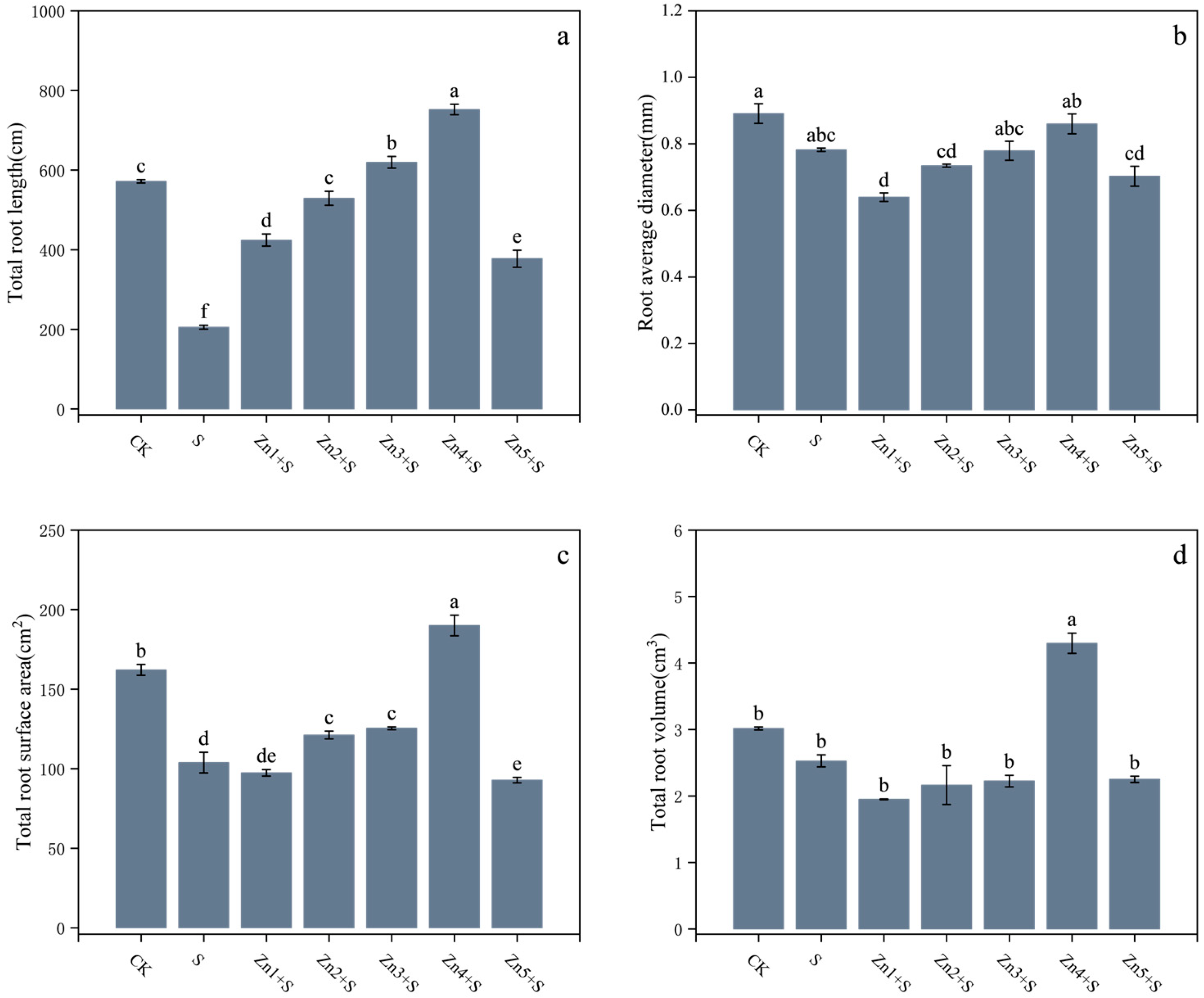
3.1. Effects of ZnO NPs on the Growth of G. uralensis Under NaCl Stress
3.2. Effects of ZnO NPs on Enzymes Activity of G. uralensis
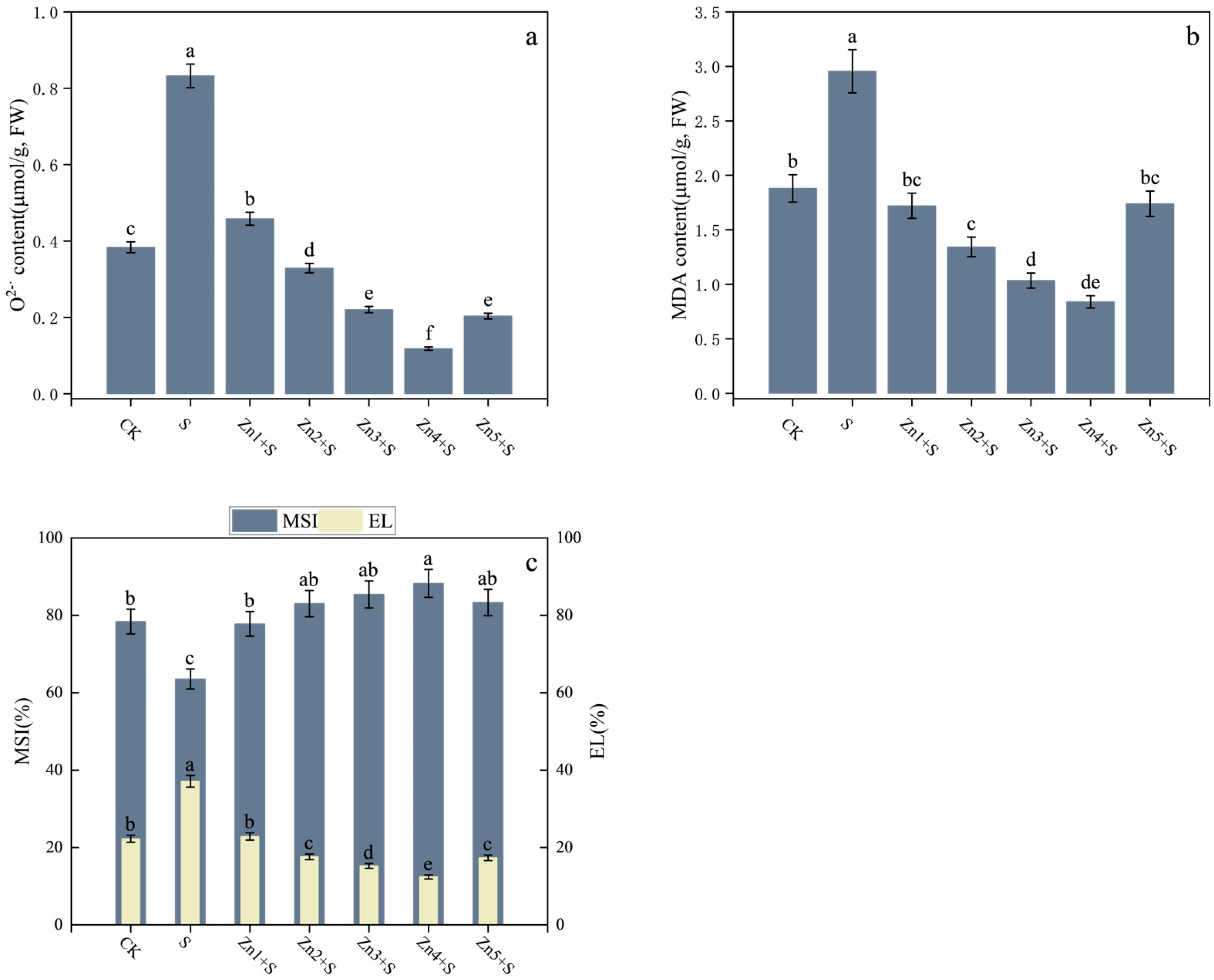
3.3. Effects of ZnO NPs on Superoxide Anion (SA), Malondialdehyde (MDA), Electrolyte Leakage (EL) and Membrane Stability Index (MSI) of G. uralensis Under NaCl Stress
3.4. Effects of ZnO NPs on Soluble Protein, Proline, and Soluble Sugar Concentration of NaCl-Stressed G. uralensis
3.5. Effects of ZnO NPs on the Contents of Glycyrrhizic Acid, Liquiritin, and Total Flavonoids in the Roots of NaCl-Stressed G. uralensis
3.6. Principle Component Analysis (PCA)
+ 0.233 × Z6 + 0.183 × Z7 + 0.208 × Z8 + 0.208 × Z9 + 0.218 × Z10
+ 0.190 × Z11 + 0.229 × Z12 + 0.229 × Z13 − 0.217 × Z14 − 0.218 × Z15
− 0.215 × Z16 + 0.215 × Z17 − 0.237 × Z18 − 0.227 × Z19 − 0.187 × Z20
+ 0.145 × Z21 + 0.080 × Z22 + 0.081 × Z23
+ 0.088 × Z6 + 0.295 × Z7 + 0.143 × Z8 + 0.211 × Z9 + 0.130 × Z10
+ 0.148 × Z11 − 0.103 × Z12 + 0.028 × Z13 + 0.228 × Z14 + 0.188 × Z15
+ 0.231 × Z16 − 0.231 × Z17 + 0.050 × Z18 + 0.176 × Z19 + 0.309 × Z20
+ 0.390 × Z21 + 0.492 × Z22 + 0.244 × Z23
3.7. Pearson Correlation Analysis
4. Discussion
5. Conclusions
Author Contributions
Funding
Data Availability Statement
Conflicts of Interest
References
- FAO. Land & Water. Available online: https://www.fao.org/land-water/solaw2021/facts/zh/ (accessed on 15 December 2024).
- Yue, J.Y.; Wang, Y.J.; Jiao, J.L.; Wang, H.Z. Silencing of ATG2 and ATG7 promotes programmed cell death in wheat via inhibition of autophagy under salt stress. Ecotoxicol. Environ. Saf. 2021, 225, 112761. [Google Scholar] [CrossRef]
- Montanarella, L.; Chude, V.; Yagi, K.; Krasilnikov, P.; Panah, S.K.A.; Mendonça-Santos, M.L.; Pennock, D.; McKenzie, N. Global status of soil salinization and sodification. In Status of the World’s Soil Resources—Main Report; Caon, L., Forlano, N., Keene, C., Sala, M., Sorokin, A., Verbeke, I., Ward, C., Eds.; Food and Agriculture Organization of the United Nations and Intergovernmental Technical Panel on Soils: Rome, Italy, 2015; p. 124. ISBN 978-92-5-109004-6. [Google Scholar]
- He, P.; Li, J.; Yu, S.; Ma, T.; Ding, J.; Zhang, F.; Chen, K.; Guo, S.; Peng, S. Soil moisture regulation under mulched drip irrigation influences the soil salt distribution and growth of cotton in southern Xinjiang, China. Plants 2023, 12, 791. [Google Scholar] [CrossRef]
- Yan, B.; Hou, J.; Li, W.; Luo, L.; Ye, M.; Zhao, Z.; Wang, W. A review on the plant resources of important medicinal licorice. J. Ethnopharmacol. 2023, 301, 115823. [Google Scholar] [CrossRef]
- Yin, L.; Guan, E.; Zhang, Y.; Shu, Z.; Wang, B.; Wu, X.; Chen, J.; Liu, J.; Fu, X.; Sun, W.; et al. Chemical profile and anti-inflammatory activity of total flavonoids from Glycyrrhiza uralensis Fisch. Iran. J. Pharm. Res. 2018, 17, 726–734. [Google Scholar]
- Sun, Z.G.; Zhao, T.T.; Lu, N.; Yang, Y.A.; Zhu, H.L. Research progress of glycyrrhizic acid on antiviral activity. Mini-Rev. Med. Chem. 2019, 19, 826–832. [Google Scholar] [CrossRef]
- Zhao, C.; Wang, D.; Gao, Z.; Kan, H.; Qiu, F.; Chen, L.; Li, H. Licocoumarone induces BxPC-3 pancreatic adenocarcinoma cell death by inhibiting DYRK1A. Chem.-Biol. Interact. 2020, 316, 108913. [Google Scholar] [CrossRef]
- Ji, S.; Tang, S.; Li, K.; Li, Z.; Liang, W.; Qiao, X.; Wang, Q.; Yu, S.; Ye, M. Licoricidin inhibits the growth of SW480 human colorectal adenocarcinoma cells in vitro and in vivo by inducing cycle arrest, apoptosis and autophagy. Toxicol. Appl. Pharmacol. 2017, 326, 25–33. [Google Scholar] [CrossRef]
- Zhang, Y.; Lu, J.; Chang, T.; Tang, X.; Wang, Q.; Pan, D.; Wang, J.; Nan, H.; Zhang, W.; Liu, L.; et al. A bibliometric review of Glycyrrhizae Radix et Rhizoma (licorice) research: Insights and future directions. J. Ethnopharmacol. 2024, 321, 117409. [Google Scholar] [CrossRef]
- Dong, X.; Ma, X.; Zhao, Z.; Ma, M. Exogenous betaine enhances salt tolerance of Glycyrrhiza uralensis through multiple pathways. BMC Plant Biol. 2024, 24, 165. [Google Scholar] [CrossRef]
- Schmid, C.; Brockhoff, A.; Shoshan-Galeczki, Y.B.; Kranz, M.; Stark, T.D.; Erkaya, R.; Meyerhof, W.; Niv, M.Y.; Dawid, C.; Hofmann, T. Comprehensive structure-activity-relationship studies of sensory active compounds in licorice (Glycyrrhiza glabra). Food Chem. 2021, 364, 130420. [Google Scholar] [CrossRef]
- Mizutani, K.; Kuramoto, T.; Tamura, Y.; Ohtake, N.; Doi, S.; Nakaura, M.; Tanaka, O. Sweetness of glycyrrhetic acid 3-O-beta-D-monoglucuronide and the related glycosides. Biosci. Biotechnol. Biochem. 1994, 58, 554–555. [Google Scholar] [CrossRef] [PubMed]
- Alagawany, M.; Elnesr, S.S.; Farag, M.R.; Abd El-Hack, M.E.; Khafaga, A.F.; Taha, A.E.; Tiwari, R.; Yatoo, M.I.; Bhatt, P.; Marappan, G.; et al. Use of licorice (Glycyrrhiza glabra) herb as a feed additive in poultry: Current knowledge and prospects. Animals 2019, 9, 536. [Google Scholar] [CrossRef] [PubMed]
- Liu, Y.; Li, D.; Gao, H.; Li, Y.; Chen, W.; Jiao, S.; Wei, G. Regulation of soil micro-foodwebs to root secondary metabolites in cultivated and wild licorice plants. Sci. Total Environ. 2022, 828, 154302. [Google Scholar] [CrossRef]
- Yao, H.; Wang, F.; Bi, Q.; Liu, H.; Liu, L.; Xiao, G.; Zhu, J.; Shen, H.; Li, H. Combined analysis of pharmaceutical active ingredients and transcriptomes of Glycyrrhiza uralensis under PEG6000-induced drought stress revealed glycyrrhizic acid and flavonoids accumulation via JA-mediated signaling. Front. Plant Sci. 2022, 13, 920172. [Google Scholar] [CrossRef]
- Fan, M.; Zhang, E.H.; Zhang, X.H.; Liu, Q.L.; Guo, F.X. Unveiling mechanisms of silicon-induced salt or/and drought tolerance in Glycyrrhiza uralensis Fisch. by physiological and transcriptomic analysis. J. Soil Sci. Plant Nutr. 2024, 24, 2192–2207. [Google Scholar] [CrossRef]
- Fan, M.; Zhang, E.H.; Zhang, X.H.; Liu, Q.L.; Guo, F.X. Silicon improves the growth of Glycyrrhiza uralensis Fisch. under salt and/or drought stress by regulating respiration metabolism. Plant Growth Regul. 2023, 101, 743–767. [Google Scholar] [CrossRef]
- Zhang, X.; Zhang, W.; Lang, D.; Cui, J.; Li, Y. Silicon improves salt tolerance of Glycyrrhiza uralensis Fisch. by ameliorating osmotic and oxidative stresses and improving phytohormonal balance. Environ. Sci. Pollut. Res. 2018, 25, 25916–25932. [Google Scholar] [CrossRef]
- Jia, T.; Gu, J.; Ma, M.; Song, Y. Lanthanum significantly contributes to the growth of the fine roots’ morphology and phosphorus uptake efficiency by increasing the yield and quality of Glycyrrhiza uralensis taproots. Plants 2024, 13, 474. [Google Scholar] [CrossRef]
- Nishidono, Y.; Tanaka, K. Exogenous ethanol treatment promotes glycyrrhizin accumulation in aseptically grown Glycyrrhiza uralensis seedlings. Plant Signal. Behav. 2025, 20, 2472012. [Google Scholar] [CrossRef]
- Pandey, S.; Giri, K.; Kumar, R.; Mishra, G.; Raja Rishi, R. Nanopesticides: Opportunities in crop protection and associated environmental risks. Proc. Natl. Acad. Sci. India Sect. B 2018, 88, 1287–1308. [Google Scholar] [CrossRef]
- Baza, M.; Shanka, D.; Bibiso, M. Agronomic and economic performance of mung bean (Vigna radiata L.) varieties in response to rates of blended NPS fertilizer in Kindo Koysha district, Southern Ethiopia. Open Life Sci. 2022, 17, 1053–1063. [Google Scholar] [CrossRef] [PubMed]
- Rui, M.; Ma, C.; Hao, Y.; Guo, J.; Rui, Y.; Tang, X.; Zhao, Q.; Fan, X.; Zhang, Z.; Hou, T.; et al. Iron oxide nanoparticles as a potential iron fertilizer for peanut (Arachis hypogaea). Front. Plant Sci. 2016, 7, 815. [Google Scholar] [CrossRef] [PubMed]
- Watts-Williams, S.J.; Turney, T.W.; Patti, A.F.; Cavagnaro, T.R. Uptake of zinc and phosphorus by plants is affected by zinc fertiliser material and arbuscular mycorrhizas. Plant Soil 2014, 376, 165–175. [Google Scholar] [CrossRef]
- Ahmed, S.; Annu; Chaudhry, S.A.; Ikram, S. A review on biogenic synthesis of ZnO nanoparticles using plant extracts and microbes: A prospect towards green chemistry. J. Photochem. Photobiol. B 2017, 166, 272–284. [Google Scholar] [CrossRef]
- Faizan, M.; Yu, F.; Chen, C.; Faraz, A.; Hayat, S. Zinc oxide nanoparticles help to enhance plant growth and alleviate abiotic stress: A review. Curr. Protein Pept. Sci. 2021, 22, 362–375. [Google Scholar] [CrossRef]
- Mazhar, Z.; Akhtar, J.; Alhodaib, A.; Naz, T.; Zafar, M.I.; Iqbal, M.M.; Fatima, H.; Naz, I. Efficacy of ZnO nanoparticles in Zn fortification and partitioning of wheat and rice grains under salt stress. Sci. Rep. 2023, 13, 2022. [Google Scholar] [CrossRef]
- Wan, J.; Wang, R.; Bai, H.; Wang, Y.; Xu, J. Comparative physiological and metabolomics analysis reveals that single-walled carbon nanohorns and ZnO nanoparticles affect salt tolerance in Sophora alopecuroides. Environ. Sci. Nano 2020, 7, 2968–2981. [Google Scholar] [CrossRef]
- Shen, M.; Liu, W.; Zeb, A.; Lian, J.; Wu, J.; Lin, M. Bioaccumulation and phytotoxicity of ZnO nanoparticles in soil-grown Brassica chinensis L. and potential risks. J. Environ. Manag. 2022, 306, 114454. [Google Scholar] [CrossRef]
- Jia, T.T.; Chen, B.; Ma, M. Effects of planting density on the growth, taproots yield and quality of Glycyrrhiza uralensis. Legume Res. 2023, 46, 62–68. [Google Scholar] [CrossRef]
- Mousavi, S.S.; Karami, A.; Saharkhiz, M.J.; Etemadi, M.; Ravanbakhsh, M. Microbial amelioration of salinity stress in endangered accessions of Iranian licorice (Glycyrrhiza glabra L.). BMC Plant Biol. 2022, 22, 322. [Google Scholar] [CrossRef]
- Shi, H.; Ye, T.; Chan, Z. Nitric oxide-activated hydrogen sulfide is essential for cadmium stress response in bermudagrass (Cynodon dactylon (L). Pers.). Plant Physiol. Biochem. 2014, 74, 99–107. [Google Scholar] [CrossRef] [PubMed]
- Tirani, M.M.; Nasibi, F.; Kalantari, K.M. Interaction of salicylic acid and ethylene and their effects on some physiological and biochemical parameters in canola plants (Brassica napus L.). Photosynthetica 2013, 51, 411–418. [Google Scholar] [CrossRef]
- Guo, Z.; Niu, X.; Xiao, T.; Lu, J.; Li, W.; Zhao, Y. Chemical profile and inhibition of α-glycosidase and protein tyrosine phosphatase 1B (PTP1B) activities by flavonoids from licorice (Glycyrrhiza uralensis Fisch). J. Funct. Foods 2015, 14, 324–336. [Google Scholar] [CrossRef]
- Feng, W.; Wang, W.Q.; Zhao, P.R. Study on methods in determination of general flavonoids in Glycyrrhiza uralensis Fisch with ultraviolet spectrophotometry. J. Lishizhen Tradit. Chin. Med. 2007, 18, 3. [Google Scholar] [CrossRef]
- Zhang, X.; He, P.; Guo, R.; Huang, K.; Huang, X. Effects of salt stress on root morphology, carbon and nitrogen metabolism, and yield of Tartary buckwheat. Sci. Rep. 2023, 13, 12483. [Google Scholar] [CrossRef]
- Munns, R. Genes and salt tolerance: Bringing them together. New Phytol. 2005, 167, 645–663. [Google Scholar] [CrossRef]
- Ahmed, M.; Marrez, D.A.; Rizk, R.; Zedan, M.; Abdul-Hamid, D.; Decsi, K.; Kovács, G.P.; Tóth, Z. The influence of Zinc oxide nanoparticles and salt stress on the morphological and some biochemical characteristics of Solanum lycopersicum L. plants. Plants 2024, 13, 1418. [Google Scholar] [CrossRef]
- Dimkpa, C.O.; Andrews, J.; Sanabria, J.; Bindraban, P.S.; Singh, U.; Elmer, W.H.; Gardea-Torresdey, J.L.; White, J.C. Interactive effects of drought, organic fertilizer, and zinc oxide nanoscale and bulk particles on wheat performance and grain nutrient accumulation. Sci. Total Environ. 2020, 722, 137808. [Google Scholar] [CrossRef]
- Zhang, H.; Zhou, Q.; Liu, R.; Zhao, Z.; Liu, J.; Siddique, K.H.M.; Mao, H. Enhancing zinc biofortification and mitigating cadmium toxicity in soil-earthworm-spinach systems using different zinc sources. J. Hazard. Mater. 2024, 476, 135243. [Google Scholar] [CrossRef]
- David, C.A.; Galceran, J.; Rey-Castro, C.; Puy, J.; Companys, E.; Salvador, J.; Monné, J.; Wallace, R.; Vakourov, A. Dissolution kinetics and solubility of ZnO nanoparticles followed by AGNES. J. Phys. Chem. C 2012, 116, 11758–11767. [Google Scholar] [CrossRef]
- Elsherif, D.E.; Abd-ElShafy, E.; Khalifa, A.M. Impacts of ZnO as a nanofertilizer on fenugreek: Some biochemical parameters and SCoT analysis. J. Genet. Eng. Biotechnol. 2023, 21, 52. [Google Scholar] [CrossRef] [PubMed]
- Francis, D.V.; Sood, N.; Gokhale, T. Biogenic CuO and ZnO nanoparticles as nanofertilizers for sustainable growth of Amaranthus hybridus. Plants 2022, 11, 2776. [Google Scholar] [CrossRef] [PubMed]
- Dang, K.; Wang, Y.; Tian, H.; Bai, J.; Cheng, X.; Guo, L.; Zhang, Q.; Geng, Y.; Shao, X. Impact of ZnO NPs on photosynthesis in rice leaves plants grown in saline-sodic soil. Sci. Rep. 2024, 14, 16233. [Google Scholar] [CrossRef]
- Ahmed, M.; Decsi, K.; Tóth, Z. Different tactics of synthesized Zinc oxide nanoparticles, homeostasis ions, and phytohormones as regulators and adaptatively parameters to alleviate the adverse effects of salinity stress on plants. Life 2022, 13, 73. [Google Scholar] [CrossRef]
- Hasanuzzaman, M.; Raihan, M.R.H.; Masud, A.A.C.; Rahman, K.; Nowroz, F.; Rahman, M.; Nahar, K.; Fujita, M. Regulation of reactive oxygen species and antioxidant defense in plants under salinity. Int. J. Mol. Sci. 2021, 22, 9326. [Google Scholar] [CrossRef]
- Cakmak, I. Tansley Review No. 111: Possible roles of zinc in protecting plant cells from damage by reactive oxygen species. New Phytol. 2000, 146, 185–205. [Google Scholar] [CrossRef]
- Schützendübel, A.; Polle, A. Plant responses to abiotic stresses: Heavy metal-induced oxidative stress and protection by mycorrhization. J. Exp. Bot. 2002, 53, 1351–1365. [Google Scholar] [CrossRef]
- DiMario, R.J.; Clayton, H.; Mukherjee, A.; Ludwig, M.; Moroney, J.V. Plant carbonic anhydrases: Structures, locations, evolution, and physiological roles. Mol. Plant 2017, 10, 30–46. [Google Scholar] [CrossRef]
- Gogna, M.; Bhatla, S.C. Biochemical mechanisms regulating salt tolerance in sunflower. Plant Signal. Behav. 2019, 14, 1670597. [Google Scholar] [CrossRef]
- Pallavi, S.; Bhushan, J.A.; Shanker, D.R.; Mohammad, P. Reactive oxygen species, oxidative damage, and antioxidative defense mechanism in plants under stressful conditions. J. Bot. 2012, 2012, 217037. [Google Scholar] [CrossRef]
- Hussan, M.U.; Hussain, S.; Hafeez, M.B.; Ahmed, S.; Hassan, M.U.; Jabeen, S.; Yan, M.; Wang, Q. Comparative role of calcium oxide nanoparticles and calcium bulk fertilizer to alleviate cadmium toxicity by modulating oxidative stress, photosynthetic performance and antioxidant-defense genes expression in alfalfa. Plant Physiol. Biochem. 2024, 215, 109002. [Google Scholar] [CrossRef] [PubMed]
- Mirakhorli, T.; Ardebili, Z.O.; Ladan-Moghadam, A.; Danaee, E. Bulk and nanoparticles of zinc oxide exerted their beneficial effects by conferring modifications in transcription factors, histone deacetylase, carbon and nitrogen assimilation, antioxidant biomarkers, and secondary metabolism in soybean. PLoS ONE 2021, 16, 0256905. [Google Scholar] [CrossRef] [PubMed]
- Ebrahimian, E.; Bybordi, A. Exogenous silicium and zinc increase antioxidant enzyme activity and alleviate salt stress in leaves of sunflower. J. Food Agric. Environ. 2011, 9, 422–427. [Google Scholar] [CrossRef]
- Kaur, S.; Garg, T.; Joshi, A.; Awasthi, A.; Kumar, V.; Kumar, A. Potential effects of metal oxide nanoparticles on leguminous plants: Practical implications and future perspectives. Sci. Hortic. 2024, 331, 113146. [Google Scholar] [CrossRef]
- Aravind, P.; Prasad, M.N.V. Zinc protects chloroplasts and associated photochemical functions in cadmium exposed Ceratophyllum demersum L., a freshwater macrophyte. Plant Sci. 2004, 166, 1321–1327. [Google Scholar] [CrossRef]
- Alabdallah, N.M.; Alzahrani, H.S. The potential mitigation effect of ZnO nanoparticles on Abelmoschus esculentus L. Moench metabolism under salt stress conditions. Saudi J. Biol. Sci. 2020, 27, 3132–3137. [Google Scholar] [CrossRef] [PubMed]
- Castillo, G.J.; Ojeda, B.D.; Hernandez, R.A.; Ana Cecilia, G.F.; Robles, H.L.; Rogelio, L.O.G. Zinc metalloenzymes in plants. Interciencia 2018, 43, 242–248. [Google Scholar]
- Ahmad, P.; Ahanger, M.A.; Alyemeni, M.N.; Wijaya, L.; Egamberdieva, D.; Bhardwaj, R.; Ashraf, M. Zinc application mitigates the adverse effects of NaCl stress on mustard [Brassica juncea (L.) Czern & Coss] through modulating compatible organic solutes, antioxidant enzymes, and flavonoid content. J. Plant Interact. 2017, 12, 429–437. [Google Scholar] [CrossRef]
- Elsheery, N.I.; Helaly, M.N.; Omar, S.A.; John, S.V.S.; Zabochnicka-Swiątek, M.; Kalaji, H.M.; Rastogi, A. Physiological and molecular mechanisms of salinity tolerance in grafted cucumber. S. Afr. J. Bot. 2020, 130, 90–102. [Google Scholar] [CrossRef]
- Garg, N.; Noor, Z. Genotypic differences in plant growth, osmotic and antioxidative defence of Cajanus cajan (L.) Millsp. modulated by salt stress. Arch. Agron. Soil Sci. 2009, 55, 3–33. [Google Scholar] [CrossRef]
- Farooq, M.; Gogoi, N.; Hussain, M.; Barthakur, S.; Paul, S.; Bharadwaj, N.; Migdadi, H.M.; Alghamdi, S.S.; Siddique, K.H.M. Effects, tolerance mechanisms and management of salt stress in grain legumes. Plant Physiol. Biochem. 2017, 118, 199–217. [Google Scholar] [CrossRef] [PubMed]
- Mushtaq, N.U.; Alghamdi, K.M.; Saleem, S.; Tahir, I.; Bahieldin, A.; Henrissat, B.; Alghamdi, M.K.; Rehman, R.U.; Hakeem, K.R. Exogenous zinc mitigates salinity stress by stimulating proline metabolism in proso millet (Panicum miliaceum L.). Front. Plant Sci. 2023, 14, 1053869. [Google Scholar] [CrossRef] [PubMed]
- Sheteiwy, M.S.; Fu, Y.; Hu, Q.; Nawaz, A.; Guan, Y.; Li, Z.; Huang, Y.; Hu, J. Seed priming with polyethylene glycol induces antioxidative defense and metabolic regulation of rice under nano-ZnO stress. Environ. Sci. Pollut. Res. 2016, 23, 19989–20002. [Google Scholar] [CrossRef] [PubMed]
- Seki, H.; Sawai, S.; Ohyama, K.; Mizutani, M.; Ohnishi, T.; Sudo, H.; Fukushima, E.O.; Akashi, T.; Aoki, T.; Saito, K.; et al. Triterpene functional genomics in licorice for identification of CYP72A154 involved in the biosynthesis of glycyrrhizin. Plant Cell 2011, 23, 4112–4123. [Google Scholar] [CrossRef]
- Mousavi, S.S.; Karami, A.; Saharkhiz, M.J.; Etemadi, M.; Zarshenas, M.M. Evaluation of metabolites in Iranian Licorice accessions under salinity stress and Azotobacter sp. Inoculation. Sci. Rep. 2022, 12, 15837. [Google Scholar] [CrossRef]
- Takla, S.S.; Shawky, E.; Mahgoub, Y.A.; Darwish, R.S. Tracking the effect of roasting and fermentation on the metabolites of licorice root (Glycyrrhiza glabra L.) using UPLC-MS analysis combined with multivariate statistical analysis. BMC Complement. Med. Ther. 2023, 23, 419. [Google Scholar] [CrossRef]
- Tomescu, D.; Şumălan, R.; Copolovici, L.; Copolovici, D. The influence of soil salinity on volatile organic compounds emission and photosynthetic parameters of Solanum lycopersicum L. varieties. Open Life Sci. 2017, 12, 135–142. [Google Scholar] [CrossRef]
- Wang, C.; Chen, L.; Cai, Z.C.; Chen, C.; Liu, Z.; Liu, X.; Zou, L.; Chen, J.; Tan, M.; Wei, L.; et al. Comparative proteomic analysis reveals the molecular mechanisms underlying the accumulation difference of bioactive constituents in Glycyrrhiza uralensis Fisch under salt stress. J. Agric. Food Chem. 2020, 68, 1480–1493. [Google Scholar] [CrossRef]
- Yang, R.; Yuan, B.C.; Ma, Y.S.; Zhou, S.; Liu, Y. The anti-inflammatory activity of licorice, a widely used Chinese herb. Pharm. Biol. 2017, 55, 5–18. [Google Scholar] [CrossRef]
- Pradeep, M.; Saxena, M.; Mondal, D.; Franklin, G. Do nanoparticles delivered to roots affect plant secondary metabolism? A comprehensive analysis in float seedling cultures of Hypericum perforatum L. Chemosphere 2024, 356, 141789. [Google Scholar] [CrossRef]
- Naseem, J.; Shah, A.A.; Usman, S.; Ahmed, S.; Gatasheh, M.K.; Shaffique, S.; Javad, S. Green synthesized FeNPs ameliorate drought stress in Spinacia oleracea L. through improved photosynthetic capacity, redox balance, and antioxidant defense. Sci. Rep. 2025, 15, 1782. [Google Scholar] [CrossRef] [PubMed]
- Singh, P.; Arif, Y.; Siddiqui, H.; Sami, F.; Zaidi, R.; Azam, A.; Alam, P.; Hayat, S. Nanoparticles enhances the salinity toxicity tolerance in Linum usitatissimum L. by modulating the antioxidative enzymes, photosynthetic efficiency, redox status and cellular damage. Ecotoxicol. Environ. Saf. 2021, 213, 112020. [Google Scholar] [CrossRef] [PubMed]
- Shibli, R.; Mohusaien, R.; AbuZurayk, R.; Qudah, T.; Tahtamouni, R. Silver nanoparticles (Ag NPs) boost mitigation powers of Chenopodium quinoa (Q6 line) grown under in vitro salt-stressing conditions. Water 2022, 14, 3099. [Google Scholar] [CrossRef]
- Jangid, H.; Kumar, G. Ecotoxicity of fungal-synthesized silver nanoparticles: Mechanisms, impacts, and sustainable mitigation strategies. 3 Biotech 2025, 15, 101. [Google Scholar] [CrossRef]
- Antisari, L.V.; Carbone, S.; Bosi, S.; Gatti, A.; Dinelli, G. Engineered nanoparticles effects in soil-plant system: Basil (Ocimum basilicum L.) study case. Appl. Soil Ecol. 2018, 123, 551–560. [Google Scholar] [CrossRef]
- Gurusamy, M.; Sellavel, M.; Kuppuvelsamy, V.B. A sustainable green synthesis for photocatalytic and antibacterial activity of zinc oxide nanoparticles using Cucumis maderaspatanus leaf extract. Desalin. Water Treat. 2024, 319, 100457. [Google Scholar] [CrossRef]
- Ramaprabha, K.; Kumar, S.V. Effective photocatalytic degradation and kinetic modelling of azo dyes by zinc oxide nanoparticles from Brevibacterium casei. Desalin. Water Treat. 2025, 321, 100936. [Google Scholar] [CrossRef]
- Chen, Y.P.; Hsu, S.H. Preparation and characterization of novel water-based biodegradable polyurethane nanoparticles encapsulating superparamagnetic iron oxide and hydrophobic drugs. J. Mater. Chem. B 2014, 2, 3391–3401. [Google Scholar] [CrossRef]
- Puzyn, T.; Jeliazkova, N.; Sarimveis, H.; Marchese, R.R.L.; Lobaskin, V.; Rallo, R.; Richarz, A.N.; Gajewicz, A.; Papadopulos, M.G.; Hastings, J.; et al. Perspectives from the NanoSafety Modelling Cluster on the validation criteria for (Q)SAR models used in nanotechnology. Food Chem. Toxicol. 2018, 112, 478–494. [Google Scholar] [CrossRef]







| Total Nitrogen g/kg | Total Phosphorus g/kg | Total Potassium g/kg | Available N mg/kg | Available P mg/kg | Available K mg/kg | Organic Matter g/kg |
|---|---|---|---|---|---|---|
| 0.315 | 0.131 | 5.47 | 52.59 | 5.23 | 50.04 | 6.64 |
| Treatments Abbreviations | NaCl Concentration (mM) | ZnO NPs Concentration (mg/kg) |
|---|---|---|
| CK | 0 | 0 |
| S | 160 | 0 |
| Zn1+S | 160 | 10 |
| Zn2+S | 160 | 15 |
| Zn3+S | 160 | 20 |
| Zn4+S | 160 | 30 |
| Zn5+S | 160 | 40 |
| Compounds | Retention Time (min) | Regression Equation | Correlation Coefficients (R2) | Wave Length (nm) |
|---|---|---|---|---|
| Li | 5.723 | Y = 9.12592X + 0.258855 | 0.9999 | 276 |
| GA | 6.829 | Y = 3.68535X − 4.47923 | 0.9999 | 254 |
| Parameters | PC1 | PC2 |
|---|---|---|
| SDW | 0.967 | −0.107 |
| RDW | 0.939 | 0.002 |
| BD | 0.969 | −0.010 |
| RD | 0.978 | 0.158 |
| H | 0.967 | −0.071 |
| TRL | 0.961 | 0.160 |
| RAD | 0.754 | 0.536 |
| TRSA | 0.860 | 0.259 |
| TRV | 0.859 | 0.383 |
| SOD | 0.901 | 0.236 |
| POD | 0.783 | 0.269 |
| CAT | 0.946 | −0.188 |
| CA | 0.943 | 0.051 |
| SA | −0.897 | 0.414 |
| MDA | −0.898 | 0.342 |
| EL | −0.888 | 0.420 |
| MSI | 0.888 | −0.420 |
| SP | −0.977 | 0.091 |
| SS | −0.937 | 0.320 |
| Pro | −0.772 | 0.561 |
| GA | 0.600 | 0.707 |
| Li | 0.329 | 0.894 |
| TF | 0.336 | 0.443 |
| Eigen values | 17.022 | 3.296 |
| Proportion of variance (%) | 74.007 | 14.332 |
| Cumulative variance (%) | 74.007 | 88.339 |
| Parameters | Treatments | |||||
|---|---|---|---|---|---|---|
| S | S+Zn1 | S+Zn2 | S+Zn3 | S+Zn4 | S+Zn5 | |
| SDW | −2.090 | −0.673 | −0.325 | 0.070 | 0.574 | −0.649 |
| RDW | −1.828 | −1.064 | −0.776 | −0.186 | 0.678 | −0.525 |
| BD | −1.743 | −1.383 | −0.733 | −0.157 | 0.567 | −0.139 |
| RD | −1.458 | −1.208 | −0.834 | −0.043 | 0.727 | −0.549 |
| H | −1.879 | −0.844 | −0.298 | −0.028 | 0.651 | 0.033 |
| TRL | −1.646 | −0.824 | −0.429 | −0.089 | 0.410 | −0.999 |
| RAD | −0.332 | −1.654 | −0.778 | −0.363 | 0.386 | −1.069 |
| TRSA | −1.082 | −1.199 | −0.767 | −0.690 | 0.486 | −1.283 |
| TRV | −0.717 | −1.105 | −0.962 | −0.920 | 0.477 | −0.903 |
| SOD | −1.124 | −1.054 | −0.670 | −0.050 | 0.522 | 0.246 |
| POD | −1.400 | −1.280 | −0.726 | −0.293 | 0.285 | −0.606 |
| CAT | −2.090 | −1.094 | −0.159 | 0.101 | 0.796 | 0.392 |
| CA | −1.749 | −1.258 | −0.749 | −0.416 | 0.045 | −0.379 |
| SA | 2.644 | 0.827 | 0.200 | −0.329 | −0.825 | −0.412 |
| MDA | 2.476 | 0.475 | −0.137 | −0.636 | −0.954 | 0.505 |
| EL | 2.675 | 0.629 | −0.124 | −0.465 | −0.874 | −0.163 |
| MSI | −2.675 | −0.629 | 0.124 | 0.465 | 0.874 | 0.163 |
| SP | 1.986 | 1.086 | 0.631 | −0.095 | −0.446 | 0.312 |
| SS | 2.470 | 0.681 | 0.157 | −0.225 | −0.478 | −0.117 |
| Pro | 2.956 | 0.149 | −0.352 | −0.427 | −0.869 | −0.308 |
| GA | 0.443 | −0.942 | −0.820 | −0.146 | 0.074 | −0.611 |
| Li | 1.282 | −0.912 | −0.742 | −0.057 | −0.041 | −0.870 |
| TF | 0.810 | −0.302 | −0.208 | 0.239 | 1.214 | 0.358 |
| Treatments | Y1 | Y2 | Composite Scores Y | Ranging |
|---|---|---|---|---|
| CK | −2.106 | 0.572 | −1.671 | 4 |
| S | −7.927 | 4.098 | −5.976 | 7 |
| S+Zn1 | −4.423 | −1.341 | −3.923 | 6 |
| S+Zn2 | −2.061 | −1.641 | −1.993 | 5 |
| S+Zn3 | −0.083 | −1.098 | −0.248 | 2 |
| S+Zn4 | 2.720 | −0.491 | 2.199 | 1 |
| S+Zn5 | −1.437 | −1.651 | −1.472 | 3 |
Disclaimer/Publisher’s Note: The statements, opinions and data contained in all publications are solely those of the individual author(s) and contributor(s) and not of MDPI and/or the editor(s). MDPI and/or the editor(s) disclaim responsibility for any injury to people or property resulting from any ideas, methods, instructions or products referred to in the content. |
© 2025 by the authors. Licensee MDPI, Basel, Switzerland. This article is an open access article distributed under the terms and conditions of the Creative Commons Attribution (CC BY) license (https://creativecommons.org/licenses/by/4.0/).
Share and Cite
Wu, N.; Ma, M. ZnO NPs: A Nanomaterial-Based Fertilizer That Significantly Enhanced Salt Tolerance of Glycyrrhiza uralensis Fisch and Improved the Yield and Quality of Its Root. Plants 2025, 14, 1763. https://doi.org/10.3390/plants14121763
Wu N, Ma M. ZnO NPs: A Nanomaterial-Based Fertilizer That Significantly Enhanced Salt Tolerance of Glycyrrhiza uralensis Fisch and Improved the Yield and Quality of Its Root. Plants. 2025; 14(12):1763. https://doi.org/10.3390/plants14121763
Chicago/Turabian StyleWu, Ning, and Miao Ma. 2025. "ZnO NPs: A Nanomaterial-Based Fertilizer That Significantly Enhanced Salt Tolerance of Glycyrrhiza uralensis Fisch and Improved the Yield and Quality of Its Root" Plants 14, no. 12: 1763. https://doi.org/10.3390/plants14121763
APA StyleWu, N., & Ma, M. (2025). ZnO NPs: A Nanomaterial-Based Fertilizer That Significantly Enhanced Salt Tolerance of Glycyrrhiza uralensis Fisch and Improved the Yield and Quality of Its Root. Plants, 14(12), 1763. https://doi.org/10.3390/plants14121763

