Nitrogen Fertilizer Application and Optimized Planting Density Enhance Rice Yield by Improving the Panicle Type Index and Increasing the Filling Rate of Inferior Grains
Abstract
1. Introduction
2. Results
2.1. Yield and Yield Components
2.2. PTI
2.3. Panicle Traits
2.4. Grain Distribution of Secondary Branches on the Panicle Axis
2.5. The Correlation of PTI with Yield and the Grain Number of Secondary Branches
2.6. Grain Filling Characteristics of Superior and Inferior Grains
2.7. The Correlation of Grain Filling Parameters with Yield and PTI
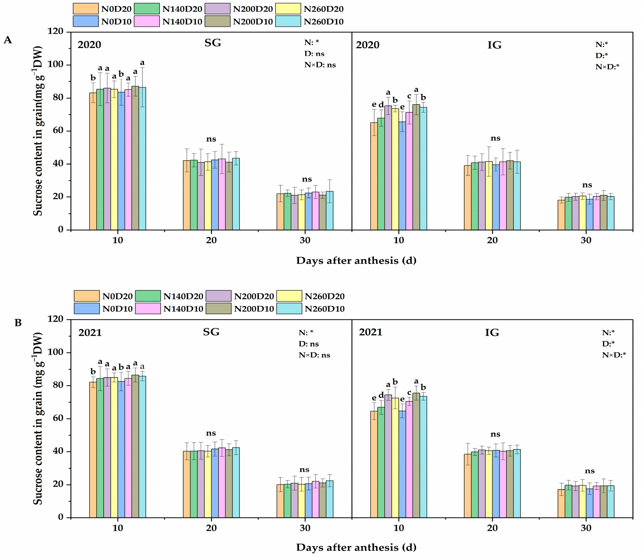
2.8. Sucrose Content
2.9. ABA/ETH
2.10. Starch Content
3. Discussion
3.1. Effects of Nitrogen Application Rate and Planting Density on the Yield of Low Panicle Type Index Rice Varieties
3.2. Relationship Between Yield and Panicle Type Index
3.3. Relationship Between Inferior Grain Filling Characteristics and PTI
4. Materials and Methods
4.1. Experimental Site and Materials
4.2. Experimental Design
4.3. Research Contents and Methods
4.3.1. Panicle Type Index
4.3.2. Panicle Traits
4.3.3. Classification of Superior and Inferior Grains
4.3.4. Calculation of Rice Filling Parameters
4.4. Determination of Sucrose, Starch, Abscisic Acid, and Ethylene Contents in Rice Grains
4.5. Statistical Analysis
5. Conclusions
Author Contributions
Funding
Data Availability Statement
Conflicts of Interest
References
- Liu, Y.; Liao, Y.; Liu, W. High nitrogen application rate and planting density reduce wheat grain yield by reducing filling rate of inferior grain in middle spikelets. Crop J. 2021, 9, 412–426. [Google Scholar] [CrossRef]
- Dastan, S.; Ghareyazie, B.; Silva, J.A.T.D. Selection of ideotype to increase yield potential of GM and non-GM rice cultivars. Plant Sci. 2020, 279, 110519. [Google Scholar] [CrossRef] [PubMed]
- Liao, C.; Yan, W.; Chen, Z.; Xie, G.; Deng, X.; Tang, X. Innovation and development of the third-generation hybrid rice technology. Crop J. 2021, 9, 693–701. [Google Scholar] [CrossRef]
- Chen, L.; Deng, Y.; Zhu, H.; Hu, Y.; Jiang, Z.; Tang, S.; Wang, S.; Ding, Y. The initiation of inferior grain filling is affected by sugar translocation efficiency in large panicle rice. Rice 2019, 12, 75. [Google Scholar] [CrossRef]
- Chen, W.-f.; Xu, Z.-j.; Tang, L. 20 years’ development of super rice in China—The 20th anniversary of the super rice in China. J. Integr. Agric. 2017, 16, 981–983. [Google Scholar] [CrossRef]
- Tian, Q.; Zheng, D.; Chen, P.; Yuan, S.; Zhen, X. The Effects of reducing nitrogen and increasing density in the Main Crop on yield and cadmium accumulation of ratoon rice. Agronomy 2025, 15, 485. [Google Scholar] [CrossRef]
- Li, H.; Geng, J.; Liu, Z.; Ao, H.; Wang, Z.; Xue, Q. Mulching improves the yield and water use efficiency of millet in northern China: A Meta-Analysis. Agriculture 2025, 15, 397. [Google Scholar] [CrossRef]
- Hou, W.; Khan, M.R.; Zhang, J.; Lu, J.; Ren, T.; Cong, R.; Li, X. Nitrogen rate and plant density interaction enhances radiation interception, yield and nitrogen use efficiency of mechanically transplanted rice. Agric. Ecosyst. Environ. 2019, 269, 183–192. [Google Scholar] [CrossRef]
- Hu, Q.; Liu, Q.; Jiang, W.; Qiu, S.; Wei, H.; Zhang, H.; Liu, G.; Xing, Z.; Hu, Y.; Guo, B. Effects of mid-stage nitrogen application timing on the morphological structure and physicochemical properties of japonica rice starch. J. Sci. Food Agric. 2021, 101, 2463–2471. [Google Scholar] [CrossRef]
- Zhang, Z.; Gao, S.; Chu, C. Improvement of nutrient use efficiency in rice: Current toolbox and future perspectives. Theor. Appl. Genet. 2020, 133, 1365–1384. [Google Scholar] [CrossRef]
- Yang, J.; Zhang, J. Grain-filling problem in ‘super’ rice. J. Exp. Bot. 2010, 61, 1–5. [Google Scholar] [CrossRef] [PubMed]
- Wang, Z.; Xu, Y.; Chen, T.; Zhang, H.; Yang, J.; Zhang, J. Abscisic acid and the key enzymes and genes in sucrose-to-starch conversion in rice spikelets in response to soil drying during grain filling. Planta 2015, 241, 1091–1107. [Google Scholar] [CrossRef]
- Sekhar, S.; Gharat, S.A.; Panda, B.B.; Mohaptra, T.; Das, K.; Kariali, E.; Mohapatra, P.K.; Shaw, B.P. Identification and characterization of differentially expressed genes in inferior and superior spikelets of rice cultivars with contrasting panicle-compactness and grain-Filling properties. PLoS ONE 2015, 10, e0145749. [Google Scholar] [CrossRef] [PubMed]
- Yang, J.C. Mechanism and regulation in the filling of inferior spikelets of rice. Acta Agron. Sin. 2010, 36, 2011–2019. (In Chinese) [Google Scholar] [CrossRef]
- Huang, L.; Yang, D.; Li, X.; Peng, S.; Wang, F. Coordination of high grain yield and high nitrogen use efficiency through large sink size and high post-heading source capacity in rice. Field Crops Res. 2019, 233, 49–58. [Google Scholar] [CrossRef]
- Liu, K.; Zhang, K.; Zhang, Y.; Cui, J.; Li, Z.; Huang, J.; Li, S.; Zhang, J.; Deng, s.; Zhang, Y. Optimizing the total spikelets increased grain yield in rice. Agronomy 2024, 14, 152. [Google Scholar] [CrossRef]
- Chen, D.W.; Zhang, G.P.; Yao, H.G.; Wu, W.; Wang, R.Q. Studies on the grain-filling properties of compact panicle type of rice. Acta Agron. Sin. 2003, 06, 841–846. (In Chinese) [Google Scholar] [CrossRef]
- Mu, X.; Chen, Q.; Chen, F.; Yuan, L.; Mi, G. Within-Leaf nitrogen allocation in adaptation to low nitrogen supply in maize during grain-filling stage. Front. Plant Sci. 2016, 7, 699. [Google Scholar] [CrossRef]
- Shen, L.-x.; Huang, Y.-k.; Li, T. Top-grain filling characteristics at an early stage of maize (Zea mays L.) with different nitrogen use efficiencies. J. Integr. Agric. 2017, 16, 626–639. [Google Scholar] [CrossRef]
- Sun, Y.; Ma, J.; Sun, Y.; Xu, H.; Yang, Z.; Liu, S.; Jia, X.; Zheng, H. The effects of different water and nitrogen managements on yield and nitrogen use efficiency in hybrid rice of China. Field Crops Res. 2012, 127, 85–98. [Google Scholar] [CrossRef]
- Kato, T. Effect of spikelet removal on the grain filling of Akenohoshi, a rice cultivar with numerous spikelets in a panicle. J. Agric. Sci. 2004, 142, 177–181. [Google Scholar] [CrossRef]
- Li, X.T.; Cheng, H.T.; Wang, N.; Yu, C.M.; Qu, L.Y.; Cao, P.; Hu, N.; Liu, T.; Lyu, W.Y. Critical factors for grain filling of erect panicle type Japonica rice cultivars. Agron. J. 2013, 105, 1404–1410. [Google Scholar] [CrossRef]
- Sasahara, T.; Kodama, K.; Kambayashi, M. Studies on structure and function on the rice ear. Jpn. J. Crop Sci. 1982, 51, 26–34. [Google Scholar] [CrossRef]
- Xu, Z.J.; Chen, W.F.; Sun, Z.H.; Zhang, S.L.; Liu, L.X.; Zhou, S.Q. Distribution of rice grain on panicle axis and its relationship with seed setting in Liaoning. Sci. Agric. Sin. 2004, 37, 963–967. (In Chinese) [Google Scholar]
- Xu, Z.J.; Chen, W.F.; Zhang, S.L.; Zhang, W.Z.; Ma, D.R.; Liu, L.X.; Zhou, S.Q. Differences of panicle trait index among varieties and its relationship with yield and quality of rice in Liaoning. Sci. Agric. Sin. 2005, 38, 1926–1930. (In Chinese) [Google Scholar] [CrossRef]
- Zhu, X.C.; Tang, L.; Zhang, W.Y.; Cao, M.Y.; Cao, W.X.; Zhu, Y. Transfer characteristics of canopy photosynthetically active radiation in different rice cultivars different cultural conditions. Sci. Agric. Sin. 2012, 45, 34–43. (In Chinese) [Google Scholar] [CrossRef]
- Sheehy, J.E.; Dionora, M.J.A.; Mitchell, P.L. Spikelet numbers, sink size and potential yield in rice. Field Crops Res. 2001, 71, 77–85. [Google Scholar] [CrossRef]
- Dong, G.C.; Tian, H.; Zhang, B.; Li, J.Q.; Yu, X.F.; Wang, Y.L. Characteristics of source-sink related parameters in conventional indica rice cultivars with different types of sink potential. Acta Agron. Sin. 2009, 35, 1900–1908. (In Chinese) [Google Scholar] [CrossRef]
- Wang, F.Y.; Huang, P.S. Study on source-sink characteristics and high-yield cultivation strategies of rice population. Sci. Agric. Sin. 1997, 30, 26–33. (In Chinese) [Google Scholar]
- Wu, W.G.; Zhang, H.C.; Wu, G.C.; Zhuo, C.Q.; Qian, Y.F.; Chen, Y.; Xu, J.; Dai, Q.G.; Xu, K. Preliminary study on super rice population sink characters. Acta Agron. Sin. 2007, 40, 250–257. (In Chinese) [Google Scholar]
- Yang, W.; Li, Y.; Yin, Y.; Qin, Z.; Zheng, M.; Chen, J.; Luo, Y.; Pang, D.; Jiang, W.; Li, Y. Involvement of ethylene and polyamines biosynthesis and abdominal phloem tissues characters of wheat caryopsis during grain filling under stress conditions. Sci. Rep. 2017, 7, 46020. [Google Scholar] [CrossRef] [PubMed]
- Zhu, Q.S.; Cao, X.Z.; Luo, Y.Q. Gromth analysis on the process of grain filling in rice. Acta Agron. Sin. 1988, 3, 182–193. (In Chinese) [Google Scholar]
- Liu, Y.; Ding, Y.; Wang, Q.; Meng, D.; Wang, S. Effect of nitrogen and 6-benzylaminopurine on rice tiller bud gowth and changes in endogenous hormones and nitrogen. Crop Sci. 2011, 51, 786–792. [Google Scholar] [CrossRef]









| Treatments | Y [t∙ha–1] | P [×10 ha–1] | GPP | F [%] | TKW [g] | |
|---|---|---|---|---|---|---|
| 2020 | N0D20 | 6.13 ± 0.17h | 125.5 ± 12.4g | 218.4 ± 0.58f | 75.6 ± 0.40c | 25.13 ± 0.32a |
| N140D20 | 7.10 ± 0.15f | 152.9 ± 22.0f | 228.7 ± 3.21e | 73.3 ± 1.70d | 25.01 ± 0.58a | |
| N200D20 | 9.55 ± 0.14c | 165.6 ± 16.3e | 270.3 ± 2.31a | 63.6 ± 1.40e | 25.80 ± 0.43a | |
| N260D20 | 9.09 ± 0.14d | 178.6 ± 15.0d | 256.0 ± 1.20b | 62.7 ± 1.10e | 25.39 ± 0.25a | |
| N0D10 | 6.56 ± 0.25g | 175.1 ± 16.2d | 206.2 ± 2.08g | 82.5 ± 1.60a | 25.42 ± 0.41a | |
| N140D10 | 7.41 ± 0.03e | 198.1 ± 34.6c | 209.3 ± 5.51g | 79.6 ± 0.90b | 25.98 ± 0.48a | |
| N200D10 | 10.1 ± 0.03a | 206.4 ± 34.1b | 248.0 ± 2.20c | 72.2 ± 1.80c | 25.74 ± 0.41a | |
| N260D10 | 9.80 ± 0.02b | 228.2 ± 32.2a | 241.0 ± 2.10d | 63.0 ± 1.60e | 24.29 ± 0.26a | |
| 2021 | N0D20 | 6.15 ± 0.34h | 129.3 ± 15.1g | 221.0 ± 3.00f | 76.7 ± 1.00c | 25.66 ± 0.45a |
| N140D20 | 7.17 ± 0.06f | 156.4 ± 12.1f | 235.1 ± 4.04e | 74.7 ± 1.10d | 25.45 ± 0.89a | |
| 2021 | N200D20 | 9.65 ± 0.13c | 169.1 ± 15.3e | 276.0 ± 1.73a | 65.3 ± 3.20e | 25.04 ± 0.70a |
| N260D20 | 9.19 ± 0.17d | 180.6 ± 13.3d | 260.0 ± 1.22b | 63.0 ± 2.20f | 25.04 ± 0.37a | |
| N0D10 | 6.66 ± 0.20g | 178.1 ± 16.2d | 208.0 ± 4.90g | 83.0 ± 2.30a | 25.60 ± 0.56a | |
| N140D10 | 7.45 ± 0.17e | 200.4 ± 21.2c | 212.0 ± 2.00g | 80.0 ± 1.00b | 25.20 ± 0.26a | |
| N200D10 | 10.2 ± 0.06a | 216.1 ± 20.0b | 252.0 ± 1.73c | 75.0 ± 1.80d | 25.01 ± 0.56a | |
| N260D10 | 9.90 ± 0.28b | 235.1 ± 22.4a | 245.3 ± 1.15d | 65.0 ± 0.60e | 24.02± 0.44b | |
| ANOVA | N level (N) | ** | ** | ** | ** | ** |
| Density (D) | ** | ** | ** | ** | ns | |
| Yield(Y) | * | ** | ns | ns | ns | |
| N × D | * | ** | ** | ns | ns | |
| Y × N | * | ** | ns | ns | ns | |
| Y × D | ns | ** | ns | ns | ns | |
| Y × N × D | ns | ns | ns | ns | ns |
| Year | Treatment | R2 | Gmax (mg grain−1d−1) | Wmax (mg grain−1) | Tmax(d) | Gmean (mg grain−1d−1) | D (d) | ||||||
|---|---|---|---|---|---|---|---|---|---|---|---|---|---|
| SG | IG | SG | IG | SG | IG | SG | IG | SG | IG | SG | IG | ||
| 2020 | N0D20 | R2 = 0.9692 | R2 = 0.9907 | 1.125 | 0.421 | 11.52 | 8.48 | 15.11 | 25.26 | 0.782 | 0.457 | 35.11 | 39.13 |
| N140D20 | R2 = 0.9707 | R2 = 0.9703 | 1.148 | 0.436 | 12.71 | 8.78 | 14.29 | 23.21 | 0.787 | 0.511 | 35.9 | 37.36 | |
| N200D20 | R2 = 0.9954 | R2 = 0.9983 | 1.46 | 0.53 | 13.51 | 10.28 | 11.01 | 20.95 | 0.810 | 0.564 | 33.99 | 35.67 | |
| N260D20 | R2 = 0.9913 | R2 = 0.9685 | 1.271 | 0.458 | 12.3 | 9.46 | 12.38 | 21.73 | 0.803 | 0.521 | 34.47 | 35.51 | |
| N0D10 | R2 = 0.9948 | R2 = 0.9930 | 1.127 | 0.422 | 11.61 | 8.26 | 14.01 | 24.25 | 0.792 | 0.477 | 35.69 | 39.06 | |
| N140D10 | R2 = 0.9933 | R2 = 0.9792 | 1.151 | 0.442 | 12.99 | 8.99 | 13.33 | 22.53 | 0.791 | 0.528 | 35.4 | 36.72 | |
| N200D10 | R2 = 0.9917 | R2 = 0.9987 | 1.597 | 0.545 | 13.78 | 10.36 | 11.07 | 19.03 | 0.851 | 0.567 | 32.11 | 34.36 | |
| N260D10 | R2 = 0.9980 | R2 = 0.9910 | 1.302 | 0.498 | 13.33 | 9.95 | 11.56 | 20.84 | 0.806 | 0.549 | 33.24 | 35.87 | |
| 2021 | N0D20 | R2 = 0.9945 | R2 = 0.9993 | 1.123 | 0.417 | 11.49 | 8.38 | 15.09 | 25.28 | 0.762 | 0.443 | 35.55 | 39.33 |
| N140D20 | R2 = 0.9902 | R2 = 0.9721 | 1.145 | 0.433 | 12.66 | 8.65 | 14.31 | 23.26 | 0.765 | 0.501 | 35.76 | 37.45 | |
| N200D20 | R2 = 0.9839 | R2 = 0.9994 | 1.454 | 0.511 | 13.43 | 10.11 | 11.11 | 21.05 | 0.813 | 0.551 | 33.93 | 35.72 | |
| N260D20 | R2 = 0.9957 | R2 = 0.9885 | 1.266 | 0.452 | 12.21 | 9.32 | 12.42 | 21.76 | 0.801 | 0.521 | 34.55 | 35.53 | |
| N0D10 | R2 = 0.9948 | R2 = 0.9937 | 1.124 | 0.422 | 11.51 | 8.22 | 14.09 | 24.28 | 0.772 | 0.469 | 35.76 | 39.26 | |
| N140D10 | R2 = 0.9854 | R2 = 0.9994 | 1.148 | 0.438 | 12.84 | 8.71 | 13.39 | 22.61 | 0.783 | 0.511 | 35.48 | 36.82 | |
| N200D10 | R2 = 0.9953 | R2 = 0.9913 | 1.593 | 0.541 | 13.69 | 10.15 | 11.13 | 19.11 | 0.829 | 0.551 | 32.23 | 34.46 | |
| N260D10 | R2 = 0.9951 | R2 = 0.9974 | 1.301 | 0.495 | 13.21 | 9.65 | 11.60 | 20.86 | 0.786 | 0.531 | 33.56 | 35.82 | |
Disclaimer/Publisher’s Note: The statements, opinions and data contained in all publications are solely those of the individual author(s) and contributor(s) and not of MDPI and/or the editor(s). MDPI and/or the editor(s) disclaim responsibility for any injury to people or property resulting from any ideas, methods, instructions or products referred to in the content. |
© 2025 by the authors. Licensee MDPI, Basel, Switzerland. This article is an open access article distributed under the terms and conditions of the Creative Commons Attribution (CC BY) license (https://creativecommons.org/licenses/by/4.0/).
Share and Cite
Gong, Y.; Lei, Y.; Wang, Z.; Xu, H.; Cheng, X.; Chen, W. Nitrogen Fertilizer Application and Optimized Planting Density Enhance Rice Yield by Improving the Panicle Type Index and Increasing the Filling Rate of Inferior Grains. Plants 2025, 14, 1690. https://doi.org/10.3390/plants14111690
Gong Y, Lei Y, Wang Z, Xu H, Cheng X, Chen W. Nitrogen Fertilizer Application and Optimized Planting Density Enhance Rice Yield by Improving the Panicle Type Index and Increasing the Filling Rate of Inferior Grains. Plants. 2025; 14(11):1690. https://doi.org/10.3390/plants14111690
Chicago/Turabian StyleGong, Yanlong, Yue Lei, Zhongni Wang, Hai Xu, Xiaoyi Cheng, and Wenfu Chen. 2025. "Nitrogen Fertilizer Application and Optimized Planting Density Enhance Rice Yield by Improving the Panicle Type Index and Increasing the Filling Rate of Inferior Grains" Plants 14, no. 11: 1690. https://doi.org/10.3390/plants14111690
APA StyleGong, Y., Lei, Y., Wang, Z., Xu, H., Cheng, X., & Chen, W. (2025). Nitrogen Fertilizer Application and Optimized Planting Density Enhance Rice Yield by Improving the Panicle Type Index and Increasing the Filling Rate of Inferior Grains. Plants, 14(11), 1690. https://doi.org/10.3390/plants14111690

