Response of Plant Community Characteristics and Soil Factors to Topographic Variations in Alpine Grasslands
Abstract
1. Introduction
2. Materials and Methods
2.1. Study Site Description
2.2. Experimental Design
2.3. Plant Biomass Collection and Measurement
2.4. Plant Species Diversity Index Calculation
2.5. Soil Sample Collection and Measurement
2.6. Data Analysis
3. Results
3.1. Plant Community Characteristics
3.1.1. Characteristic Changes in Plant Distribution
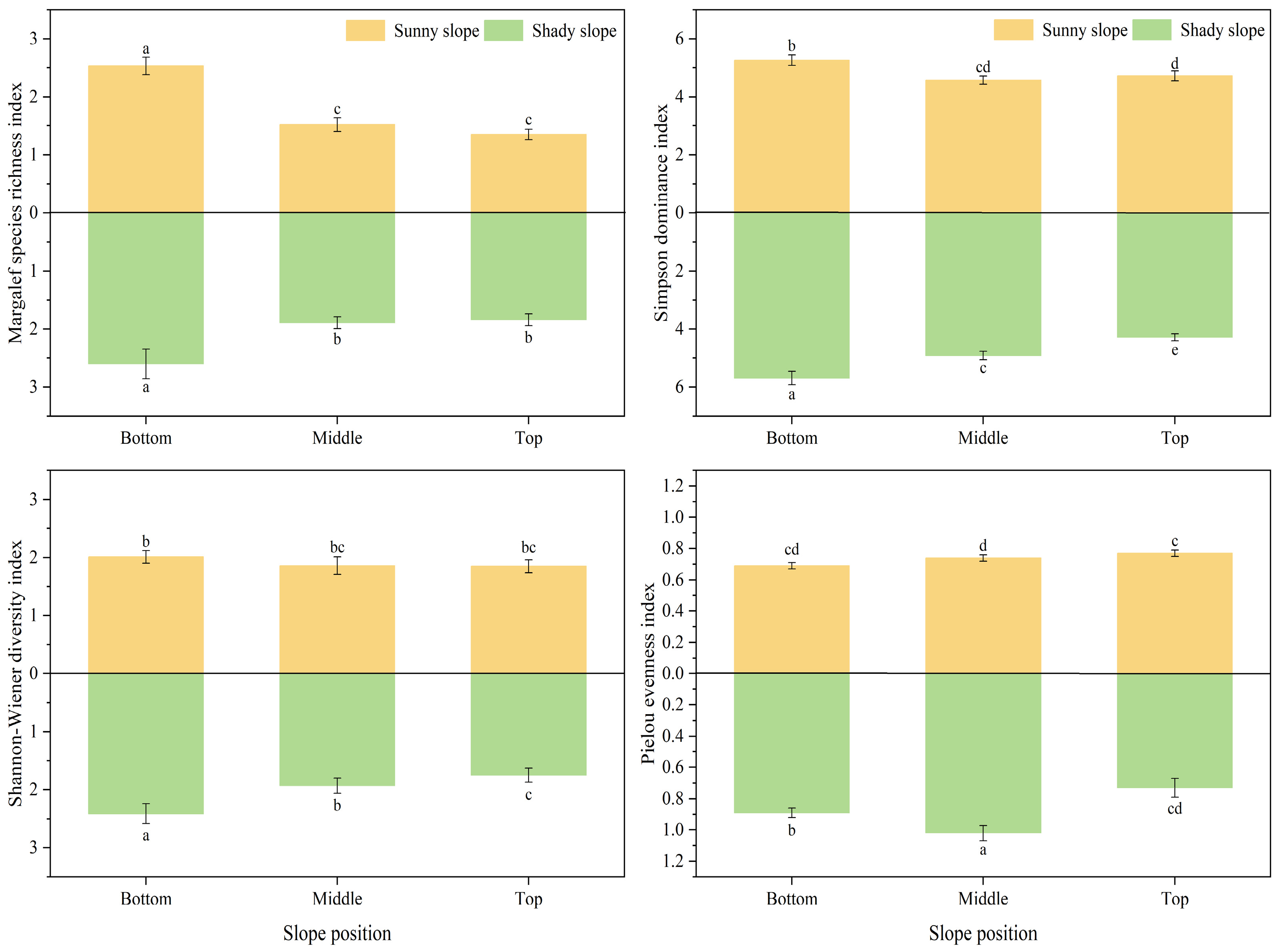
3.1.2. Plant Community α Diversity
3.1.3. Plant Community Biomass
3.1.4. Effects of Slope Aspect and Slope Position on Plant Community Characteristics
3.2. Soil Factor
3.2.1. Soil Water Content
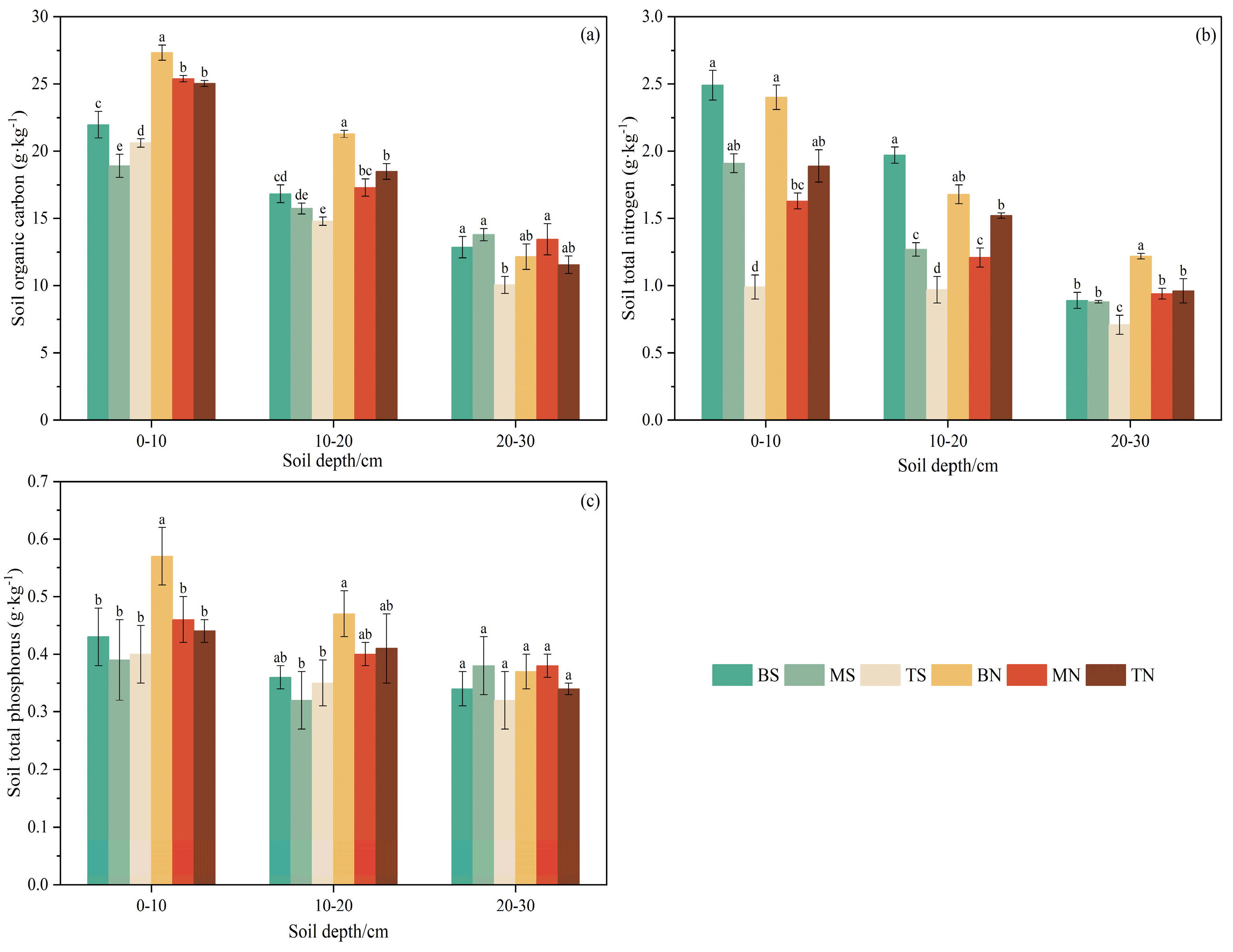
3.2.2. Soil Total Nutrients
3.2.3. Soil Available Nutrients
3.2.4. Soil pH
3.2.5. Effects of Slope Aspect and Slope Position on Soil Factors
3.3. Correlation Between Plant Community Characteristics and Soil Factors
3.4. Plant Community Characteristics and Soil Factor RDA Analysis
4. Discussion
4.1. Effects of Topography on Plant Community Characteristics in Alpine Grassland
4.2. Effects of Topography on Soil Factors in Alpine Grassland
4.3. Relationship Between Plant Community Characteristics and Soil Factors
5. Conclusions
Author Contributions
Funding
Data Availability Statement
Conflicts of Interest
References
- Yao, X.; Gong, X.; Bai, B.; Zhang, L.; Lang, X.; Wu, J. Study of grassland vegetation characteristics and soil nutrient and their correlation between different grassland types in alpine pastoral area of Qilian Mountains. Acta Agrestia Sin. 2018, 26, 371–379. [Google Scholar] [CrossRef]
- Qin, R.; Wei, J.; Ma, L.; Zhang, Z.; She, Y.; Su, H.; Chang, T.; Xie, B.; Li, H.; Wang, W.; et al. Effects of pedicularis kansuensis expansion on plant community characteristics and soil nutrients in an alpine grassland. Plants 2022, 11, 1673. [Google Scholar] [CrossRef] [PubMed]
- Niu, Y.; Zhou, J.; Yang, S.; Wang, G.; Liu, L.; Du, G.; Hua, L. Relationships between soil moisture and temperature, plant species diversity, and primary productivity in an alpine meadow considering topographic factors. Acta Ecol. Sin. 2017, 37, 8314–8325. [Google Scholar] [CrossRef][Green Version]
- Deák, B.; Valkó, O.; Török, P.; Kelemen, A.; Miglécz, T.; Szabó, S.; Szabó, G.; Tóthmérész, B. Micro-topographic heterogeneity increases plant diversity in old stages of restored grasslands. Basic Appl. Ecol. 2015, 16, 291–299. [Google Scholar] [CrossRef]
- Zhang, S.; Zhang, D.; Liu, X.; Chen, J.; Xu, C.; Duan, C. Soil nutrient characteristics of alpine meadow at different degradation degrees in Eastern Qilian Mountains. Pratacult. Sci. 2012, 29, 1028–1032. [Google Scholar]
- Zhang, M.; Liu, W.; Zhu, M.; Qin, Y.; Li, R. Responses of soil properties and vegetation biomass to slope aspect and position in forest-steppe zone of the Qilian Mountains. J. Glaciol. Geocryol. 2021, 43, 233–241. [Google Scholar] [CrossRef]
- Qin, Y.; Feng, Q.; Holden, N.M.; Cao, J. Variation in soil organic carbon by slope aspect in the middle of the Qilian Mountains in the upper Heihe River Basin, China. CATENA 2016, 147, 308–314. [Google Scholar] [CrossRef]
- Che, M.; Gong, Y.; Xu, M.; Kang, C.; Lv, C.; He, S.; Zheng, J. Effects of elevation and slope aspect on the distribution of the soil organic carbon associated with Al and Femineral phases in alpine shrub–meadow soil. Sci. Total Environ. 2021, 753, 141933. [Google Scholar] [CrossRef]
- Malanson, G.P.; Fagre, D.B.; Butler, D.R.; Shen, Z. Alpine plant communities and current topographic microrefugia vary with regional climates. Geomorphology 2024, 458, 109241. [Google Scholar] [CrossRef]
- Oddi, L.; Celi, L.; Cremonese, E.; Filippa, G.; Galvagno, M.; Palestini, G.; Siniscalco, C. Decomposition processes interacting with microtopography maintain ecosystem heterogeneity in a subalpine grassland. Plant Soil 2019, 434, 379–395. [Google Scholar] [CrossRef]
- Qiao, H.; LIi, Q.; He, G.; Ji, T.; Yang, D.; Wen, T.; Guan, W.; Liu, Z.; Yang, J.; Liu, X. Response of vegetation biodiversity and community stability of mountain meadow to slope aspect. Acta Agrestia Sin. 2022, 30, 2173–2181. [Google Scholar] [CrossRef]
- Xue, R.; Yang, Q.; Miao, F.; Wang, X.; Shen, Y. Slope aspect influences plant biomass, soil properties and microbial composition in alpine meadow on the Qinghai-Tibetan plateau. J. Soil Sci. Plant Nutr. 2018, 18, 1–12. [Google Scholar] [CrossRef]
- Fang, J. Exploring altitudinal patterns of plant diversity of China’s mountains. Biodivers. Sci. 2004, 12, 1–4. [Google Scholar] [CrossRef]
- Lu, B.; Xue, Z.; Zhu, Q.; Li, H. Soil water in micro-terrain on sunny and semi-sunny slopes. Bull. Soil Water Conserv. 2009, 29, 62–65. [Google Scholar] [CrossRef]
- Wei, P.; Pan, X.; Xu, L.; Hu, Q.; Zhang, X.; Guo, Y.; Shao, C.; Wang, C.; Li, Q.; Yin, Z. The effects of topography on aboveground biomass and soil moisture at local scale in dryland grassland ecosystem, China. Ecol. Indic. 2019, 105, 107–115. [Google Scholar] [CrossRef]
- Zhang, H.; Zhu, Q.; Wang, J.; Kuang, G.; Xie, J.; Zhao, W. Soil physical properties of micro-topography on loess slope in North Shaanxi Province. Bull. Soil Water Conserv. 2011, 31, 55–58. [Google Scholar] [CrossRef]
- Tian, X.; Gao, K.; Zhang, L.; Yu, Y.; Han, G. Effects of slope position on spatial distribution of soil water and vegetation in sandy land. Bull. Soil Water Conserv. 2015, 35, 12–16. [Google Scholar] [CrossRef]
- Scherrer, D.; Körner, C. Topographically controlled thermal-habitat differentiation buffers alpine plant diversity against climate warming. J. Biogeogr. 2011, 38, 406–416. [Google Scholar] [CrossRef]
- Kraft, N.J.B.; Valencia, R.; Ackerly, D.D. Functional traits and niche-based tree community assembly in an Amazonian Forest. Science 2008, 322, 580–582. [Google Scholar] [CrossRef]
- Liang, B.; Xu, H.; Wu, X.; Chong, B.; Gan, Z.; Xue, S. Differences of soil organic carbon components in different grassland types of Qilian Mountain. Earth Sci. 2024, 49, 1487–1497. [Google Scholar] [CrossRef]
- Fang, J.; Wang, X.; Shen, Z.; Tang, Z.; He, J.; Yu, D.; Jiang, Y.; Wang, Z.; Zheng, C.; Zhu, J.; et al. Methods and protocols for plant community inventory. Biodivers. Sci. 2009, 17, 533–548. [Google Scholar] [CrossRef]
- Lu, R. Methods for Agrochemical Analysis of Soil; China Agricultural Science and Technology Press: Beijing, China, 2000. [Google Scholar]
- Liu, M.; Ma, J. Responses of plant functional traits and soil factors to slope aspect in alpine meadow of South Gansu, Northwest China. Chin. J. Appl. Ecol. 2012, 23, 3295–3300. [Google Scholar] [CrossRef]
- LU, G.; Zheng, X.; Wang, J.; Wu, C. Research progresses on the effects of global change on the microbes of plant—Site interface in alpine grassland ecosystem. Acta Agrestia Sin. 2014, 22, 234–242. [Google Scholar] [CrossRef]
- Liu, Y.; Liu, W.; Feng, B.; Shi, G.; Sun, C.; Li, C.; Zhang, X.; Dong, Q. Effects of slope aspect and elevation on vegetation distribution pattern of alpine mountain meadow. Acta Agrestia Sin. 2021, 29, 1166–1173. [Google Scholar] [CrossRef]
- Yang, S.; Wen, Z.; Miao, L.; Qi, D.; Hua, D. Responses of plant functional traits to micro-topographical changes in hilly and gully region of the Loess Plateau, China. Chin. J. Appl. Ecol. 2014, 25, 3413–3419. [Google Scholar] [CrossRef]
- Liu, B. Vertical patterns in plant diversity and their relations with environmental factors on the southern slope of the Tianshan Mountains (middle section) in Xinjiang (China). J. Mt. Sci. 2017, 14, 742–757. [Google Scholar] [CrossRef]
- Morin, P.J. Biodiversity's ups and downs. Nature 2000, 406, 463–464. [Google Scholar] [CrossRef]
- Liu, M.; Wang, G. Responses of plant community diversity and soil factors to slope aspect in alpine meadow. Chin. J. Ecol. 2013, 32, 259–265. [Google Scholar] [CrossRef]
- He, J.; Chen, W. A review of gradient changes in species diversity of land plant communities. Acta Ecol. Sin. 1997, 17, 91–99. [Google Scholar]
- Ru, H.; Zhang, H.; Jiao, F.; Xue, C.; Guo, M. Impact of micro-landform on grassland plant community structure and function in the hilly Loess Plateau region, China. Chin. J. Appl. Ecol. 2016, 27, 25–32. [Google Scholar] [CrossRef]
- Cui, M.; Zhou, R.; Zheng, C.; Wei, J.; Wan, J.; Zhao, Y.; Wen, Z. Responses of aboveground biomass and soil moisture and nutrients to microtopographic changes in grassland in the Loess HiIly Region. Res. Soil Water Conserv. 2024, 31, 18–26. [Google Scholar] [CrossRef]
- Ma, R.; Zhao, J. Relationship between the grassland and soil conditions in the Eastern Qilian Mountains. Arid Zone Res. 2020, 37, 374–381. [Google Scholar] [CrossRef]
- Ru, H.; Zhang, H.; Jiao, F.; Xue, C.; Guo, M. Relation analysis of herbaceous community characteristics and soil moisture and nutrients on micro-scale topography typical section in hilly Loess Plateau Region, China. Acta Agrestia Sin. 2016, 24, 776–782. [Google Scholar] [CrossRef]
- He, J.; Wang, Z.; Wang, X.; Schmid, B.; Zuo, W.; Zhou, M.; Zheng, C.; Wang, M.; Fang, J. A test of the generality of leaf trait relationships on the Tibetan Plateau. New Phytol. 2006, 170, 835–848. [Google Scholar] [CrossRef]
- Gong, S.; Wen, Z.; Shi, Y. The response of community-weighted mean plant functional traits to environmental gradients in Yanhe river catchment. Acta Ecol. Sin. 2011, 31, 6088–6097. [Google Scholar]
- Ying, L.; Shen, Z.; Piao, S.; Liu, Y.; Malanson, G.P. Terrestrial surface-area increment: The effects of topography, DEM resolution, and algorithm. Phys. Geogr. 2014, 35, 297–312. [Google Scholar] [CrossRef]
- Sigua, G.C.; Coleman, S.W.; Albano, J.; Williams, M. Spatial distribution of soil phosphorus and herbage mass in beef cattle pastures: Effects of slope aspect and slope position. Nutr. Cycl. Agroecosyst. 2011, 89, 59–70. [Google Scholar] [CrossRef]
- Åström, M.; Dynesius, M.; Hylander, K.; Nilsson, C. Slope aspect modifies community responses to clear-cutting in boreal forests. Ecology 2007, 88, 749–758. [Google Scholar] [CrossRef]
- Sternberg, M.; Shoshany, M. Influence of slope aspect on Mediterranean woody formations: Comparison of a semiarid and an arid site in Israel. Ecol. Res. 2001, 16, 335–345. [Google Scholar] [CrossRef]
- Zhang, Q.; Fang, R.; Deng, C.; Zhao, H.; Shen, M.; Wang, Q. Slope aspect effects on plant community characteristics and soil properties of alpine meadows on Eastern Qinghai-Tibetan plateau. Ecol. Indic. 2022, 143, 109400. [Google Scholar] [CrossRef]
- Prommer, J.; Walker, T.W.N.; Wanek, W.; Braun, J.; Zezula, D.; Hu, Y.; Hofhansl, F.; Richter, A. Increased microbial growth, biomass, and turnover drive soil organic carbon accumulation at higher plant diversity. Glob. Chang. Biol. 2020, 26, 669–681. [Google Scholar] [CrossRef] [PubMed]
- Carletti, P.; Vendramin, E.; Pizzeghello, D.; Concheri, G.; Zanella, A.; Nardi, S.; Squartini, A. Soil humic compounds and microbial communities in six spruce forests as function of parent material, slope aspect and stand age. Plant Soil 2009, 315, 47–65. [Google Scholar] [CrossRef]
- Du, F.; Liang, Z.; Xu, X.; Zhang, X.; Shan, L. Spatial heterogeneity of soil nutrients and aboveground biomass in abandoned old-fields of Loess Hilly region in Northern Shaanxi, China. Acta Ecol. Sin. 2008, 28, 13–22. [Google Scholar] [CrossRef]
- Lei, S.; Zhao, W.; Yang, Y.; Lyu, D.; Bai, Y.; He, L.; Guo, J.; Zhang, X. Spatial distribution characteristics of soil nutrients and vegetation growth status in different slopes. Res. Soil Water Conserv. 2019, 26, 86–91,105. [Google Scholar]
- Gao, X.; Wu, P.; Zhao, X.; Shi, Y.; Wang, J.; Zhang, B. Soil moisture variability along transects over a well-developed gully in the Loess Plateau, China. Catena 2011, 87, 357–367. [Google Scholar] [CrossRef]
- Lou, S.; Liu, M.; Yi, J.; Zhang, H.; Li, X.; Yang, Y.; Wang, Q.; Huang, J. Influence of vegetation coverage and topographic position on soil hydrological function in the hillslope of the three gorges area. Acta Ecol. Sin. 2019, 39, 4844–4854. [Google Scholar] [CrossRef]
- Du, F.; Liang, Z.; Xu, X.; Shan, L.; Zhang, X. The community biomass of abandoned farmland and its effects on soil nutrition in the Loess Hilly Region of Northern Shaanxi, China. Acta Ecol. Sin. 2007, 27, 1673–1683. [Google Scholar] [CrossRef]
- Gao, X.; Deng, L.; Zhang, S. Soil physical properties and nutrient properties under different UtilizationStyles and slope position. J. Soil Water Conserv. 2005, 19, 53–56,60,79. [Google Scholar] [CrossRef]
- Liu, Y.; Du, J.; Xu, X.; Kardol, P.; Hu, D. Microtopography-induced ecohydrological effects alter plant community structure. Geoderma 2020, 362, 114119. [Google Scholar] [CrossRef]
- Yang, Y.; Fang, J.; Tang, Y.; Ji, C.; Zheng, C.; He, J.; Zhu, B. Storage, patterns and controls of soil organic carbon in the Tibetan grasslands. Glob. Change Biol. 2008, 14, 1592–1599. [Google Scholar] [CrossRef]
- Yang, Y.; Qiu, K.; Li, J.; Xie, Y.; Liu, Y.; Huang, Y.; Wang, S.; Bao, P. Relationship between altitudinal distribution characteristics of typical plant community diversity and soil factors on the eastern slope of the Helan Mountains. Acta Ecol. Sin. 2023, 43, 4995–5004. [Google Scholar] [CrossRef]
- Song, J. The Characteristics and Evaluation on Soil Quality of Grassland in Loess Plateau. Ph.D. Thesis, Northwest Sci-Tech University of Agriculture and Forestry, Yangling, China, 2010. [Google Scholar]
- Jia, W.; Liu, Y.; Zhang, Y.; Cao, W. Species diversity and biomass of meadow steppe in Qilian Mountains and their relationships with climate factors. Arid Zone Res. 2015, 32, 1167–1172. [Google Scholar] [CrossRef]
- Cai, Z. The role of soil in the formation of plant biodiversity and its research significance. Acta Pedol. Sin. 2022, 59, 1–9. [Google Scholar] [CrossRef]
- Xiang, X.; De, K.; Lin, W.; Feng, T.; Wei, X.; Wang, W.; Xu, C.; Qian, S. Effects of nitrogen addition on plant community diversity and soil ecological chemometric characteristics in alpine meadows. Acta Agrestia Sin. 2021, 29, 2769–2777. [Google Scholar] [CrossRef]
- Wardle, D.A.; Bardgett, R.D.; Klironomos, J.N.; Setälä, H.; van der Putten, W.H.; Wall, D.H. Ecological linkages between aboveground and belowground biota. Science 2004, 304, 1629–1633. [Google Scholar] [CrossRef] [PubMed]
- Wang, Y.; Wang, X.; Ma, Y. Effect of slope aspect on vegetation growth and soil nutrient characteristics of alpine grassland in the source region of Yangtze River. Pratacult. Sci. 2018, 35, 2336–2346. [Google Scholar] [CrossRef]









| Slope Aspect | Slope Position | Elevation/m | Slope Degree/(°) |
|---|---|---|---|
| Sunny slope (South-facing) | Bottom | 3070 | 21 |
| Middle | 3170 | 26 | |
| Top | 3270 | 33 | |
| Shady slope (North-facing) | Bottom | 3070 | 17 |
| Middle | 3170 | 21 | |
| Top | 3270 | 26 |
| Sample Plot Types | Total Plant Coverage/% | Grass Layer Height/cm | Families, Genus, Species | Distribution of Main Species Number | Dominant Species | ||||||
|---|---|---|---|---|---|---|---|---|---|---|---|
| Poaceae | Leguminosae | Compositae | Rosaceae | Cyperaceae | Polygonaceae | Ranunculaceae | |||||
| BS | 95 | 15.49 | 13, 21, 24 | 4 | 0 | 1 | 2 | 2 | 1 | 1 | Elymus dahuricus + Kobresia humilis |
| MS | 93 | 13.27 | 9, 18, 21 | 3 | 0 | 0 | 1 | 2 | 2 | 1 | Elymus dahuricus |
| TS | 90 | 10.78 | 8, 16, 20 | 3 | 1 | 0 | 1 | 1 | 3 | 1 | Polygonum viviparum |
| BN | 98 | 17.38 | 14, 23, 27 | 5 | 1 | 2 | 1 | 2 | 1 | 1 | Elymus dahuricus + Polygonum viviparum |
| MN | 96 | 14.57 | 13, 20, 24 | 3 | 1 | 1 | 0 | 1 | 1 | 1 | Polygonum viviparum + Kobresia humilis |
| TN | 92 | 12.69 | 12, 18, 21 | 4 | 1 | 2 | 1 | 1 | 1 | 0 | Polygonum viviparum |
| Factors | TC | GH | Ma | P | H′ | E | AGB | BGB |
|---|---|---|---|---|---|---|---|---|
| Slope aspect (A) | 1.78 | 8.51 ** | 17.57 ** | 3.17 | 8.32 * | 20.62 ** | 304.53 * | 1676.65 * |
| Slope position (P) | 16.78 * | 12.29 * | 27.07 ** | 24.82 * | 24.09 ** | 18.87 | 10.22 * | 1039.25 ** |
| A × P | 0.11 | 0.82 | 16.55 * | 19.05 | 12.86 * | 10.77 | 150.64 ** | 98.57 ** |
| Soil Depth/cm | BS | MS | TS | BN | MN | TN |
|---|---|---|---|---|---|---|
| 0–10 | 5.52 ± 0.06 b | 5.69 ± 0.08 ab | 5.91 ± 0.28 a | 5.53 ± 0.07 b | 5.61 ± 0.11 ab | 5.72 ± 0.24 ab |
| 10–20 | 5.66 ± 0.05 b | 5.74 ± 0.23 ab | 5.72 ± 0.05 ab | 5.75 ± 0.17 ab | 5.76 ± 0.05 ab | 5.93 ± 0.10 a |
| 20–30 | 5.77 ± 0.07 ab | 5.79 ± 0.10 ab | 5.78 ± 0.10 ab | 5.73 ± 0.12 b | 5.81 ± 0.12 ab | 5.95 ± 0.76 a |
| Average value | 5.65 | 5.74 | 5.80 | 5.67 | 5.73 | 5.87 |
| Factors | SWC | SOC | TN | TP | NO3−-N | NH4+-N | AP | pH |
|---|---|---|---|---|---|---|---|---|
| Slope aspect (A) | 1.01 ** | 32.61 * | 9.51 * | 12.66 | 19.78 | 25.11 | 18.67 | 0.21 |
| Slope position (P) | 6.21 ** | 13.76 ** | 17.45 * | 2.61 * | 36.02 * | 38.07 * | 20.99 | 3.34 |
| A × P | 1.11 | 1.33 | 3.76 | 0.82 | 15.23 ** | 14.27 ** | 12.61 ** | 0.85 |
| Item | Axis1 | Axis2 | Axis3 | Axis4 |
|---|---|---|---|---|
| Eigenvalues | 0.9430 | 0.0327 | 0.0003 | 0.0000 |
| Cumulative explained variation (%) | 94.30 | 97.56 | 97.59 | 97.59 |
| Pseudo-canonical correlation | 0.9908 | 0.9140 | 0.8615 | 0.8314 |
| Cumulative explained fitted variation (%) | 96.63 | 99.97 | 100.00 | 100.00 |
| Soil Environmental Factors | Explains (%) | Contribution (%) | F | p |
|---|---|---|---|---|
| SOC | 80.6 | 82.6 | 66.6 | 0.002 |
| TN | 7.5 | 7.7 | 9.5 | 0.006 |
| SWC | 2.2 | 2.3 | 3.8 | 0.028 |
| AP | 2.3 | 2.3 | 5.1 | 0.026 |
| pH | 1.7 | 1.7 | 5.0 | 0.026 |
| TP | 2.0 | 2.0 | 2.8 | 0.078 |
| NO3--N | 0.8 | 0.8 | 2.8 | 0.080 |
| NH4+-N | 0.5 | 0.5 | 1.9 | 0.206 |
Disclaimer/Publisher’s Note: The statements, opinions and data contained in all publications are solely those of the individual author(s) and contributor(s) and not of MDPI and/or the editor(s). MDPI and/or the editor(s) disclaim responsibility for any injury to people or property resulting from any ideas, methods, instructions or products referred to in the content. |
© 2024 by the authors. Licensee MDPI, Basel, Switzerland. This article is an open access article distributed under the terms and conditions of the Creative Commons Attribution (CC BY) license (https://creativecommons.org/licenses/by/4.0/).
Share and Cite
Liang, Q.; Zhao, J.; Wang, Z.; Wang, X.; Fu, D.; Li, X. Response of Plant Community Characteristics and Soil Factors to Topographic Variations in Alpine Grasslands. Plants 2025, 14, 63. https://doi.org/10.3390/plants14010063
Liang Q, Zhao J, Wang Z, Wang X, Fu D, Li X. Response of Plant Community Characteristics and Soil Factors to Topographic Variations in Alpine Grasslands. Plants. 2025; 14(1):63. https://doi.org/10.3390/plants14010063
Chicago/Turabian StyleLiang, Qinyang, Jinmei Zhao, Zixin Wang, Xingyi Wang, Dianxia Fu, and Xiaogang Li. 2025. "Response of Plant Community Characteristics and Soil Factors to Topographic Variations in Alpine Grasslands" Plants 14, no. 1: 63. https://doi.org/10.3390/plants14010063
APA StyleLiang, Q., Zhao, J., Wang, Z., Wang, X., Fu, D., & Li, X. (2025). Response of Plant Community Characteristics and Soil Factors to Topographic Variations in Alpine Grasslands. Plants, 14(1), 63. https://doi.org/10.3390/plants14010063

