The Relative Contribution of Root Morphology and Arbuscular Mycorrhizal Fungal Colonization on Phosphorus Uptake in Rice/Soybean Intercropping Under Dry Cultivation
Abstract
1. Introduction
2. Results
2.1. Crop Biomass, Yield Response Efficiency (YRE) and P Uptake
2.2. Root Morphology of Rice and Soybean
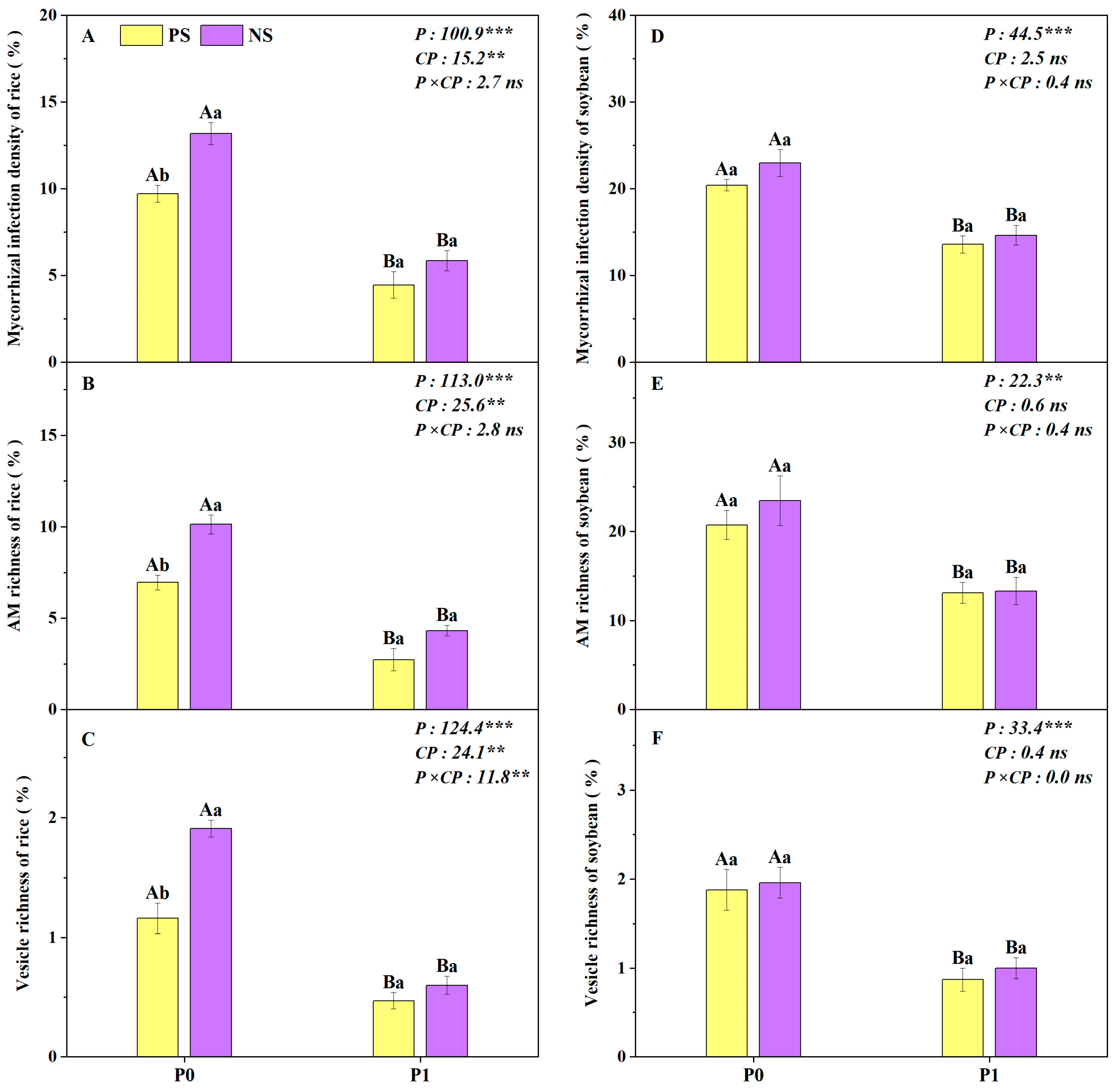
2.3. Mycorrhizal Infection Density (MID), Arbuscular Mycorrhiza Richness (AMR) and Vesicle Richness (VER) of Rice and Soybean
2.4. The Relative Contributions of Root Morphological Traits and AMF Colonization on Crop P Uptake
3. Discussion
3.1. Improved Biomass and P Uptake in Dry-Cultivated Rice/Soybean Intercropping
3.2. Contributions of Root Morphology and AMF to the Intercropped Crop P Uptake
3.3. The Effects of P Level on the Relative Contribution of Root Morphology and AMF Colonization in Rice/Soybean Intercropping Under Dry Cultivation
4. Materials and Methods
4.1. Field Experiment
4.2. Pot Experiment
4.3. Sampling and Determination
4.3.1. Biomass and Grain Yield
4.3.2. Root Morphological, AM Root Colonization and P Uptake
4.4. Calculations
4.5. Statistical Analysis
5. Conclusions
Supplementary Materials
Author Contributions
Funding
Data Availability Statement
Conflicts of Interest
References
- Yu, X.; Keitel, C.; Dijkstra, F.A. Global analysis of phosphorus fertilizer use efficiency in cereal crops. Glob. Food Secur. 2021, 29, 100545. [Google Scholar] [CrossRef]
- Biassoni, M.M.; Vivas, H.; Gutiérrez-Boem, F.H.; Salvagiotti, F. Changes in soil phosphorus (P) fractions and P bioavailability after 10 years of continuous P fertilization. Soil Till. Res. 2023, 232, 105777. [Google Scholar] [CrossRef]
- Han, Y.; White, P.J.; Cheng, L. Mechanisms for improving phosphorus utilization efficiency in plants. Ann. Bot. 2022, 129, 247–258. [Google Scholar] [CrossRef] [PubMed]
- An, R.; Yu, R.P.; Xing, Y.; Zhang, J.D.; Bao, X.G.; Lambers, H.; Li, L. Enhanced phosphorus-fertilizer-use efficiency and sustainable phosphorus management with intercropping. Agron. Sustain. Dev. 2023, 43, 57. [Google Scholar] [CrossRef]
- Anil, P.; Phipps, M. Temperate intercropping of cereals for forage: A review of the potential for growth and utilization with particular reference to the UK. Grass Forage Sci. 1998, 53, 301–317. [Google Scholar] [CrossRef]
- Zhang, Y.; Chen, F.; Li, L.; Chen, Y.; Liu, B.; Zhou, Y.; Yuan, L.; Zhang, F.; Mi, G. The role of maize root size in phosphorus uptake and productivity of maize/faba bean and maize/wheat intercropping systems. Sci. China Life Sci. 2012, 55, 993–1001. [Google Scholar] [CrossRef] [PubMed]
- Ma, H.; Zhang, H.; Zheng, C.; Liu, Z.; Wang, J.; Tian, P.; Wu, Z.; Zhang, H. Synthetic microbial community isolated from intercropping system enhances P uptake in rice. Int. J. Mol. Sci. 2024, 25, 12819. [Google Scholar] [CrossRef] [PubMed]
- He, X.; Batáry, P.; Zou, Y.; Zhou, W.; Wang, G.; Liu, Z.; Bai, Y.; Gong, S.; Zhu, Z.; Settele, J.; et al. Agricultural diversification promotes sustainable and resilient global rice production. Nat. Food 2023, 4, 788–796. [Google Scholar] [CrossRef] [PubMed]
- Jiang, H.; Thobakgale, T.; Li, Y.; Liu, L.; Su, Q.; Cang, B.; Bai, C.; Li, J.; Song, Z.; Wu, M.; et al. Construction of dominant rice population under dry cultivation by seeding rate and nitrogen rate interaction. Sci. Rep. 2021, 11, 7189. [Google Scholar] [CrossRef] [PubMed]
- Nishigaki, T.; Tsujimoto, Y.; Rinasoa, S.; Rakotoson, T.; Andriamananjara, A.; Razafimbelo, T. Phosphorus uptake of rice plants is affected by phosphorus forms and physicochemical properties of tropical weathered soils. Plant Soil 2019, 435, 27–38. [Google Scholar] [CrossRef]
- Tang, X.; Zhang, C.; Yu, Y.; Shen, J.; van der Werf, W.; Zhang, F. Intercropping legume and cereals increases phosphorus use efficiency; a meta-analysis. Plant Soil 2021, 460, 89–104. [Google Scholar] [CrossRef]
- Brooker, R.W.; Bennett, A.E.; Cong, W.F.; Daniell, T.J.; George, T.S.; Hallett, P.D.; Hawes, C.; Iannetta, P.P.M.; Jones, H.G.; Karley, A.J.; et al. Improving intercropping: A synthesis of research in agronomy, plant physiology and ecology. New Phytol. 2015, 206, 107–117. [Google Scholar] [CrossRef]
- Zhang, D.; Zhang, C.; Tang, X.; Li, H.; Zhang, F.; Rengel, Z.; Whalley, W.R.; Davies, W.J.; Shen, J. Increased soil phosphorus availability induced by faba bean root exudation stimulates root growth and phosphorus uptake in neighbouring maize. New Phytol. 2016, 209, 823–831. [Google Scholar] [CrossRef]
- Ma, H.; Yu, X.; Yu, Q.; Wu, H.; Zhang, H.; Pang, J.; Gao, Y. Maize/alfalfa intercropping enhances yield and phosphorus acquisition. Field Crop Res. 2023, 303, 109136. [Google Scholar] [CrossRef]
- Sun, B.; Gao, Y.; Yang, H.; Zhang, W.; Li, Z. Performance of alfalfa rather than maize stimulates system phosphorus uptake and overyielding of maize/alfalfa intercropping via changes in soil water balance and root morphology and distribution in a light chernozemic soil. Plant Soil 2019, 439, 145–161. [Google Scholar] [CrossRef]
- Bargaz, A.; Noyce, G.L.; Fulthorpe, R.; Carlsson, G.; Furze, J.R.; Jensen, E.S.; Dhiba, D.; Isaac, M.E. Species interactions enhance root allocation, microbial diversity and P acquisition in intercropped wheat and soybean under P deficiency. Appl. Soil Ecol. 2017, 120, 179–188. [Google Scholar] [CrossRef]
- Latati, M.; Blavet, D.; Alkama, N.; Laoufi, H.; Drevon, J.J.; Gérard, F.; Pansu, M.; Ounane, S.M. The intercropping cowpea-maize improves soil phosphorus availability and maize yields in an alkaline soil. Plant Soil 2014, 385, 181–191. [Google Scholar] [CrossRef]
- Wang, X.; Deng, X.; Pu, T.; Song, C.; Yong, T.; Yang, F.; Sun, X.; Liu, W.; Yan, Y.; Du, J.; et al. Contribution of interspecific interactions and phosphorus application to increasing soil phosphorus availability in relay intercropping systems. Field Crop Res. 2017, 204, 12–22. [Google Scholar] [CrossRef]
- Gong, X.; Dang, K.; Lv, S.; Zhao, G.; Tian, L.; Luo, Y.; Feng, B. Interspecific root interactions and water-use efficiency of intercropped proso millet and mung bean. Eur. J. Agron. 2020, 115, 126034. [Google Scholar] [CrossRef]
- Montesinos-Navarro, A.; Verdú, M.; Querejeta, J.I.; Sortibrán, L.; Valiente-Banuet, A. Soil fungi promote nitrogen transfer among plants involved in long-lasting facilitative interactions. Perspect. Plant Ecol. Evol. Syst. 2016, 18, 45–51. [Google Scholar] [CrossRef]
- Ren, L.; Lou, Y.; Zhang, N.; Zhu, X.; Hao, W.; Sun, S.; Shen, Q.; Xu, G. Role of arbuscular mycorrhizal network in carbon and phosphorus transfer between plants. Biol. Fert. Soils 2013, 49, 3–11. [Google Scholar] [CrossRef]
- Dieng, A.; Duponnois, R.; Ndoye, I.; Baudoin, E. Positive feedback with mycorrhizal fungi alleviates negative effects of intercropping the energy crop Jatropha curcas with Crotalaria retusa. Symbiosis 2017, 73, 107–116. [Google Scholar] [CrossRef]
- Qiao, X.; Bei, S.; Li, H.; Christie, P.; Zhang, F.; Zhang, J. Arbuscular mycorrhizal fungi contribute to overyielding by enhancing crop biomass while suppressing weed biomass in intercropping systems. Plant Soil 2016, 406, 173–185. [Google Scholar] [CrossRef]
- Li, Y.; Ran, W.; Zhang, R.; Sun, S.; Xu, G. Facilitated legume nodulation, phosphate uptake and nitrogen transfer by arbuscular inoculation in an upland rice and mung bean intercropping system. Plant Soil 2009, 315, 285–296. [Google Scholar] [CrossRef]
- Hailemariam, M.; Birhane, E.; Asfaw, Z.; Zewdie, S. Arbuscular mycorrhizal association of indigenous agroforestry tree species and their infective potential with maize in the rift valley, Ethiopia. Agroforest Syst. 2013, 87, 1261–1272. [Google Scholar] [CrossRef]
- Birhane, E.; Gebremeskel, K.; Taddesse, T.; Hailemariam, M.; Hadgu, K.M.; Norgrove, L.; Negussie, A. Integrating Faidherbia albida trees into a sorghum field reduces striga infestation and improves mycorrhiza spore density and colonization. Agroforest Syst. 2018, 92, 643–653. [Google Scholar] [CrossRef]
- Li, M.; Hu, J.; Lin, X. The roles and performance of arbuscular mycorrhizal fungi in intercropping systems. Soil Ecol. Lett. 2022, 4, 319–327. [Google Scholar] [CrossRef]
- Xiao, T.; Yang, Q.; Ran, W.; Xu, G.; Shen, Q. Effect of inoculation with arbuscular mycorrhizal fungus on nitrogen and phosphorus utilization in upland rice-mungbean intercropping System. Agric. Sci. China 2010, 9, 528–535. [Google Scholar] [CrossRef]
- Wang, G.; Ye, C.; Zhang, J.; Koziol, L.; Bever, J.D.; Li, X. Asymmetric facilitation induced by inoculation with arbuscular mycorrhizal fungi leads to overyielding in maize/faba bean intercropping. J. Plant Interact. 2019, 14, 10–20. [Google Scholar] [CrossRef]
- Bahadur, A.; Jin, Z.; Long, X.; Jiang, S.; Zhang, Q.; Pan, J.; Liu, Y.; Feng, H. Arbuscular mycorrhizal fungi alter plant interspecific interaction under nitrogen fertilization. Eur. J. Soil Biol. 2019, 93, 103094. [Google Scholar] [CrossRef]
- Song, C.; Sarpong, C.K.; Zhang, X.; Wang, W.; Wang, L.; Gan, Y.; Yong, T.; Chang, X.; Wang, Y.; Yang, W. Mycorrhizosphere bacteria and plant-plant interactions facilitate maize P acquisition in an intercropping system. J. Clean. Prod. 2021, 314, 127993. [Google Scholar] [CrossRef]
- Johnson, N.C. Resource stoichiometry elucidates the structure and function of arbuscular mycorrhizas across scales. New Phytol. 2010, 185, 631–647. [Google Scholar] [CrossRef] [PubMed]
- Liu, W.; Zhang, Y.; Jiang, S.; Deng, Y.; Christie, P.; Murray, P.J.; Li, X.; Zhang, J. Arbuscular mycorrhizal fungi in soil and roots respond differently to phosphorus inputs in an intensively managed calcareous agricultural soil. Sci. Rep. 2016, 6, 24902. [Google Scholar] [CrossRef]
- Mei, P.P.; Gui, L.G.; Wang, P.; Huang, J.C.; Long, H.Y.; Christie, P.; Li, L. Maize/faba bean intercropping with rhizobia inoculation enhances productivity and recovery of fertilizer P in a reclaimed desert soil. Field Crop Res. 2012, 130, 19–27. [Google Scholar] [CrossRef]
- Zhang, D.; Li, H.; Fu, Z.; Cai, S.; Xu, S.; Zhu, H.; Shen, J. Increased planting density of Chinese milk vetch (Astragalus sinicus) weakens phosphorus uptake advantage by rapeseed (Brassica napus) in a mixed cropping system. AoB Plants 2019, 11, plz033. [Google Scholar] [CrossRef]
- Wang, D.; Marschner, P.; Solaiman, Z.; Rengel, Z. Growth, P uptake and rhizosphere properties of intercropped wheat and chickpea in soil amended with iron phosphate or phytate. Soil Biol. Biochem. 2007, 39, 249–256. [Google Scholar] [CrossRef]
- Li, L.; Sun, J.; Zhang, F.; Li, X.; Yang, S.; Rengel, Z. Wheat/maize or wheat/soybean strip intercropping: I. Yield advantage and interspecific interactions on nutrients. Field Crop Res. 2001, 71, 123–137. [Google Scholar] [CrossRef]
- Knörzer, H.; Graeff-Hönninger, S.; Guo, B.; Wang, P.; Claupein, W. The rediscovery of intercropping in China: A traditional cropping system for future Chinese agriculture. In Climate Change, Intercropping, Pest Control and Beneficial Microorganisms; Lichtfouse, E., Ed.; Sustainable Agriculture Reviews 2; Springer: Dordrecht, The Netherlands, 2009; pp. 13–44. [Google Scholar]
- Fridley, J.D. The influence of species diversity on ecosystem productivity: How, where, and why? Oikos 2001, 93, 514–526. [Google Scholar] [CrossRef]
- Wang, L.; Hou, B.; Zhang, D.; Lyu, Y.; Zhang, K.; Li, H.; Rengel, Z.; Shen, J. The niche complementarity driven by rhizosphere interactions enhances phosphorus-use efficiency in maize/alfalfa mixture. Food Energy Secur. 2020, 9, e252. [Google Scholar] [CrossRef]
- Shao, Z.Q.; Zheng, C.C.; Postma, J.A.; Gao, Q.; Zhang, J.J. More N fertilizer, more maize, and less alfalfa: Maize benefits from its higher N uptake per unit root length. Front. Plant Sci. 2024, 15, 1338521. [Google Scholar] [CrossRef]
- Raza, M.A.; Feng, L.Y.; van der Werf, W.; Cai, G.R.; Khalid, M.H.B.; Iqbal, N.; Hassan, M.J.; Meraj, T.A.; Naeem, M.; Khan, I.; et al. Narrow-wide-row planting pattern increases the radiation use efficiency and seed yield of intercrop species in relay-intercropping system. Food Energy Secur. 2019, 8, e170. [Google Scholar] [CrossRef]
- Kermah, M.; Franke, A.C.; Adjei-Nsiah, S.; Ahiabor, B.D.K.; Abaidoo, R.C.; Giller, K.E. Maize-grain legume intercropping for enhanced resource use efficiency and crop productivity in the Guinea savanna of northern Ghana. Field Crop Res. 2017, 213, 38–50. [Google Scholar] [CrossRef]
- Yang, H.; Xu, H.S.; Zhang, W.P.; Li, Z.X.; Fan, H.X.; Lambers, H.; Li, L. Overyielding is accounted for partly by plasticity and dissimilarity of crop root traits in maize/legume intercropping systems. Funct. Ecol. 2022, 36, 2163–2175. [Google Scholar] [CrossRef]
- Wu, L.; Lin, X.; Lin, W. Advances and perspective in research on plant-soil-microbe interactions mediated by root exudates. Chin. J. Plant Ecol. 2014, 38, 298–310. [Google Scholar] [CrossRef]
- Marschner, H.; Dell, B. Nutrient uptake in mycorrhizal symbiosis. Plant Soil 1994, 159, 89–102. [Google Scholar] [CrossRef]
- Chakraborty, N.; Sarkar, G.M.; Lahiri, S.C. Methane emission from rice paddy soils, aerotolerance of methanogens and global thermal warming. Environmentalist 2000, 20, 343–350. [Google Scholar] [CrossRef]
- Wagg, C.; Jansa, J.; Stadler, M.; Schmid, B.; van der Heijden, M.G.A. Mycorrhizal fungal identity and diversity relaxes plant-plant competition. Ecology 2011, 92, 1303–1313. [Google Scholar] [CrossRef] [PubMed]
- Van Der Heijden, M.G.A. Arbuscular mycorrhizal fungi as support systems for seedling establishment in grassland. Ecol. Lett. 2004, 7, 293–303. [Google Scholar] [CrossRef]
- Hart, M.M.; Reader, R.J.; Klironomos, J.N. Plant coexistence mediated by arbuscular mycorrhizal fungi. Trends Ecol. Evol. 2003, 18, 418–423. [Google Scholar] [CrossRef]
- Zhang, F.; Li, L. Using competitive and facilitative interactions in intercropping systems enhances crop productivity and nutrient-use efficiency. Plant Soil 2003, 248, 305–312. [Google Scholar] [CrossRef]
- Zhang, H.; Wang, X.; Gao, Y.; Sun, B. Short-term N transfer from alfalfa to maize is dependent more on arbuscular mycorrhizal fungi than root exudates in N deficient soil. Plant Soil 2020, 446, 23–41. [Google Scholar] [CrossRef]
- Liu, Y.; Zhang, W.; Sun, J.; Li, X.; Christie, P.; Li, L. High morphological and physiological plasticity of wheat roots is conducive to higher competitive ability of wheat than maize in intercropping systems. Plant Soil 2015, 397, 387–399. [Google Scholar] [CrossRef]
- Callaway, R.M.; Brooker, R.W.; Choler, P.; Kikvidze, Z.; Lortie, C.J.; Michalet, R.; Paolini, L.; Pugnaire, F.I.; Newingham, B.; Aschehoug, E.T.; et al. Positive interactions among alpine plants increase with stress. Nature 2002, 417, 844–848. [Google Scholar] [CrossRef] [PubMed]
- Te, X.; Din, A.M.U.; Cui, K.; Raza, M.A.; Fraz Ali, M.; Xiao, J. Inter-specific root interactions and water use efficiency of maize/soybean relay strip intercropping. Field Crop Res. 2023, 291, 108793. [Google Scholar] [CrossRef]
- Sun, B.; Gao, Y.; Wu, X.; Ma, H.; Zheng, C.; Wang, X.; Zhang, H.; Li, Z.; Yang, H. The relative contributions of pH, organic anions, and phosphatase to rhizosphere soil phosphorus mobilization and crop phosphorus uptake in maize/alfalfa polyculture. Plant Soil 2020, 447, 117–133. [Google Scholar] [CrossRef]
- Van der Heijden, M.G.A.; Klironomos, J.N.; Ursic, M.; Moutoglis, P.; Streitwolf-Engel, R.; Boller, T.; Wiemken, A.; Sanders, I.R. Mycorrhizal fungal diversity determines plant biodiversity, ecosystem variability and productivity. Nature 1998, 396, 69–72. [Google Scholar] [CrossRef]
- Klironomos, J.N. Variation In plant response to native and exotic arbuscular mycorrhizal fungi. Ecology 2003, 84, 2292–2301. [Google Scholar] [CrossRef]
- Adler, P.B.; Fajardo, A.; Kleinhesselink, A.R.; Kraft, N.J.B. Trait-based tests of coexistence mechanisms. Ecol. Lett. 2013, 16, 1294–1306. [Google Scholar] [CrossRef] [PubMed]
- Loreau, M.; Hector, A. Partitioning selection and complementarity in biodiversity experiments. Nature 2001, 412, 72–76. [Google Scholar] [CrossRef]
- Barry, K.E.; Mommer, L.; van Ruijven, J.; Wirth, C.; Wright, A.J.; Bai, Y.; Connolly, J.; De Deyn, G.B.; de Kroon, H.; Isbell, F.; et al. The future of complementarity: Disentangling causes from consequences. Trends Ecol. Evol. 2019, 34, 167–180. [Google Scholar] [CrossRef] [PubMed]
- Yu, Y.; Stomph, T.-J.; Makowski, D.; Zhang, L.; van der Werf, W. A meta-analysis of relative crop yields in cereal/legume mixtures suggests options for management. Field Crop Res. 2016, 198, 269–279. [Google Scholar] [CrossRef]
- Köhl, L.; van der Heijden, M.G.A. Arbuscular mycorrhizal fungal species differ in their effect on nutrient leaching. Soil Biol. Biochem. 2016, 94, 191–199. [Google Scholar] [CrossRef]
- Salim, M.; Chen, Y.; Solaiman, Z.M.; Siddique, K.H.M. Phosphorus application enhances root traits, root exudation, phosphorus use efficiency, and seed yield of soybean genotypes. Plants 2023, 12, 1110. [Google Scholar] [CrossRef]
- Jiang, S.; Liu, Y.; Luo, J.; Qin, M.; Johnson, N.C.; Öpik, M.; Vasar, M.; Chai, Y.; Zhou, X.; Mao, L.; et al. Dynamics of arbuscular mycorrhizal fungal community structure and functioning along a nitrogen enrichment gradient in an alpine meadow ecosystem. New Phytol. 2018, 220, 1222–1235. [Google Scholar] [CrossRef] [PubMed]
- Yang, G.; Liu, N.; Lu, W.; Wang, S.; Kan, H.; Zhang, Y.; Xu, L.; Chen, Y. The interaction between arbuscular mycorrhizal fungi and soil phosphorus availability influences plant community productivity and ecosystem stability. J. Ecol. 2014, 102, 1072–1082. [Google Scholar] [CrossRef]
- Zhao, Y.; Liu, X.; Tong, C.; Wu, Y. Effect of root interaction on nodulation and nitrogen fixation ability of alfalfa in the simulated alfalfa/triticale intercropping in pots. Sci. Rep. 2020, 10, 4269. [Google Scholar] [CrossRef]
- Zhu, S.G.; Cheng, Z.G.; Wang, J.; Gong, D.S.; Ullah, F.; Tao, H.Y.; Zhu, H.; Duan, H.X.; Yang, Y.M.; Xiong, Y.C. Soil phosphorus availability and utilization are mediated by plant facilitation via rhizosphere interactions in an intercropping system. Eur. J. Agron. 2023, 142, 126679. [Google Scholar] [CrossRef]
- Gerdemann, J.W.; Nicolson, T.H. Spores of mycorrhizal endogone species extracted from soil by wet sieving and decanting. Trans. Br. Mycol. Soc. 1963, 46, 235–244. [Google Scholar] [CrossRef]
- Phillips, J.M.; Hayman, D.S. Improved procedures for clearing roots and staining parasitic and vesicular-arbuscular mycorrhizal fungi for rapid assessment of infection. Trans. Br. Mycol. Soc. 1970, 55, 158–161. [Google Scholar] [CrossRef]
- McGonigle, T.P.; Miller, M.H.; Evans, D.G.; Fairchild, G.L.; Swan, J.A. A new method which gives an objective measure of colonization of roots by vesicular-arbuscular mycorrhizal fungi. New Phytol. 1990, 115, 495–501. [Google Scholar] [CrossRef]
- Trovelot, A.; Kough, J.L.; Gianinazzi-Pearson, V. Mesure du taux de mycorhization VA d’un système radiculaire. Recherche de méthodes d’estimation ayant une signification fonctionnelle. In Physiological and Genetical Aspects of Mycorrhizae; Gianinazzi-Pearson, V., Gianinazzi, S., Eds.; INRA Publications: Paris, France, 1986; pp. 217–221. [Google Scholar]
- Tian, D.; Wang, H.; Sun, J.; Niu, S. Global evidence on nitrogen saturation of terrestrial ecosystem net primary productivity. Environ. Res. Lett. 2016, 11, 024012. [Google Scholar] [CrossRef]








Disclaimer/Publisher’s Note: The statements, opinions and data contained in all publications are solely those of the individual author(s) and contributor(s) and not of MDPI and/or the editor(s). MDPI and/or the editor(s) disclaim responsibility for any injury to people or property resulting from any ideas, methods, instructions or products referred to in the content. |
© 2025 by the authors. Licensee MDPI, Basel, Switzerland. This article is an open access article distributed under the terms and conditions of the Creative Commons Attribution (CC BY) license (https://creativecommons.org/licenses/by/4.0/).
Share and Cite
Ma, H.; Zhang, H.; Gao, Q.; Li, S.; Yu, Y.; Ma, J.; Zheng, C.; Cui, M.; Wu, Z.; Zhang, H. The Relative Contribution of Root Morphology and Arbuscular Mycorrhizal Fungal Colonization on Phosphorus Uptake in Rice/Soybean Intercropping Under Dry Cultivation. Plants 2025, 14, 106. https://doi.org/10.3390/plants14010106
Ma H, Zhang H, Gao Q, Li S, Yu Y, Ma J, Zheng C, Cui M, Wu Z, Zhang H. The Relative Contribution of Root Morphology and Arbuscular Mycorrhizal Fungal Colonization on Phosphorus Uptake in Rice/Soybean Intercropping Under Dry Cultivation. Plants. 2025; 14(1):106. https://doi.org/10.3390/plants14010106
Chicago/Turabian StyleMa, Huimin, Hongcheng Zhang, Qian Gao, Shilin Li, Yuanyuan Yu, Jiaying Ma, Congcong Zheng, Meng Cui, Zhihai Wu, and Hualiang Zhang. 2025. "The Relative Contribution of Root Morphology and Arbuscular Mycorrhizal Fungal Colonization on Phosphorus Uptake in Rice/Soybean Intercropping Under Dry Cultivation" Plants 14, no. 1: 106. https://doi.org/10.3390/plants14010106
APA StyleMa, H., Zhang, H., Gao, Q., Li, S., Yu, Y., Ma, J., Zheng, C., Cui, M., Wu, Z., & Zhang, H. (2025). The Relative Contribution of Root Morphology and Arbuscular Mycorrhizal Fungal Colonization on Phosphorus Uptake in Rice/Soybean Intercropping Under Dry Cultivation. Plants, 14(1), 106. https://doi.org/10.3390/plants14010106

