Abstract
Breeding for low-hydrogen-cyanide (HCN) varieties is a major objective of programs targeting boiled cassava food products. To enhance the breeding of low-HCN varieties, knowledge of genetic variation and trait heritability is essential. In this study, 64 cassava clones were established across four locations and evaluated for HCN using three HCN assessment methods: one with a 1 to 9 scale, on with a 0 ppm to 800 ppm scale, and a quantitative assay based on spectrophotometer readings (HCN_Spec). Data were also collected on the weather variables precipitation, relative humidity, and temperature. Highly significant differences were observed among clones (p < 0.001) and locations (p < 0.001). There was also significant clone–environment interactions, varying from p < 0.05 to p < 0.001. Locations Arua and Serere showed higher HCN scores among clones and were associated with significantly higher (p < 0.001) mean daily temperatures (K) and lower relative humidity values (%) across 12 h and 18 h intervals. Within locations, HCN broad sense heritability estimates ranged from 0.22 to 0.64, while combined location heritability estimates ranged from 0.14 to 0.32. Relationships between the methods were positive and strong (r = 0.75–0.92). The 1 to 9 scale is more accurate and more reproducible than either the 0 to 800 ppm scale or spectrophotometric methods. It is expected that the information herein will accelerate efforts towards breeding for low-HCN cassava varieties.
1. Introduction
Cassava (Manihot esculenta Crantz) is a staple for more than 600 million people in Eastern, Western, and Southern Africa [1]. These regions produce and consume more than 54% of the world’s cassava, underpinning the importance of the crop to their livelihoods. The crop’s clonal nature, ability to survive in marginal soils, tolerance to drought [2], and perennial nature, which allows for peace meal harvest, allow for a diversity of its uses for food, feed, and industry, making it an important food security crop [3,4,5]. However, cassava’s usefulness is limited by the presence of cyanogenic glucosides, namely linamarin and lotaustralin, in the leaves and roots [6,7]. Linamarine readily hydrolyzes into glucose and acetone cyanohydrin in the presence of linamarase enzyme and in a neutral or alkaline medium, while acetone cyanohydrin decomposes to liberate cyanide and a hydrogen ion [8].
The production of hydrogen cyanide (HCN) in plants is said to be a defense mechanism against herbivores and pathogens [9,10]. Total cyanogenic concentrations in cassava may vary with the cultivar, environmental conditions, cultural practices, and plant age. Indeed, a HCN content in the range of 2 ppm to >1000 ppm has been reported [8,11]. Cassava is thus classified as “sweet” if it has a root HCN content < 100 ppm on a wet basis and “bitter” if it has root HCN > 100 ppm [12,13]. In fact, cassava with a HCN content > 10 ppm on a dry weight basis or >100 ppm on a fresh-weight basis is considered not safe for human consumption and should undergo further processing before consumption [14].
A dietary intake of high amounts of HCN can be toxic and/or lethal [15,16]. Prolonged dietary exposure to HCN is linked to degenerative conditions of the nervous system, and konzo and tropical ataxic neuropathy [17,18,19]. Despite these risks, some communities still cultivate bitter (high HCN) varieties because they are not stolen by humans or rodents [20]. The rate of adoption of new crop varieties is dependent upon end user preferences [21,22,23,24].
Consumers of boiled cassava have a preference for non-bitter cassava varieties [3,25,26], characterized by low HCN content. HCN content is thus a major component of cassava root quality for boiled or steamed cassava roots, a product that is desired by consumers of cassava. In the Amazon region, farmers readily classify cassava varieties into sweet, i.e., aipim or macaxera, table varieties, or bitter varieties, which are said to be suitable for industry [27], while in Malawi, farmers classify their varieties as either “cool” or “bitter” depending on HCN levels [28]. Owing to the increasing interest in boiled cassava, efforts are underway to initiate breeding for low-HCN cassava varieties. However, the success of these efforts largely depends on the amount of variation present and the proportion of this variation that is heritable [28,29]. In addition to genotypic differences, variation in fresh cassava root HCN content is said to be influenced by the soil nutrient status [30] and climatic factors such as precipitation and temperature [31].
Phenotyping for the HCN content of fresh cassava roots in cassava breeding programs is commonly performed using any of the three variations of the picrate method. These include a 0 to 800 ppm color scale [8], the modified picrate method [6,32,33], which allows for the collection of semi-quantitative data using a spectrophotometer, and another modification of the picrate method suggested by Fukuda et al. [34], which follows a 1 to 9 color scale. All these methods have ontologies for data handling in the cassava breeding database, Cassavabase [35], and are thus deployed in major cassava breeding programs. Whether or not these methods provide comparable results is unknown. Furthermore, it is not known whether or not sufficient genetic variation exists in available germplasm to initiate long-term breeding for low-HCN cassava. The effect of weather variables on HCN phenotypic expression within the available germplasm also remains unknown. Thus, in this study, we sought to (a) assess the extent of genetic variation and heritability for HCN within the study germplasm; (b) compare the accuracy of the three HCN phenotyping protocols; (c) assess the relationship between the weather variables precipitation, temperature, and relative humidity, and fresh cassava root HCN phenotypic expression.
2. Results
2.1. Variability for HCN in Fresh Cassava Roots
Highly significant differences among clones (p < 0.001) and locations (p < 0.001) were observed under all three HCN assessment methods. Furthermore, there were significant clone–environment interactions for the three methods (Table 1).
Table 1.
Analysis of variance for fresh cassava root HCN content across locations.
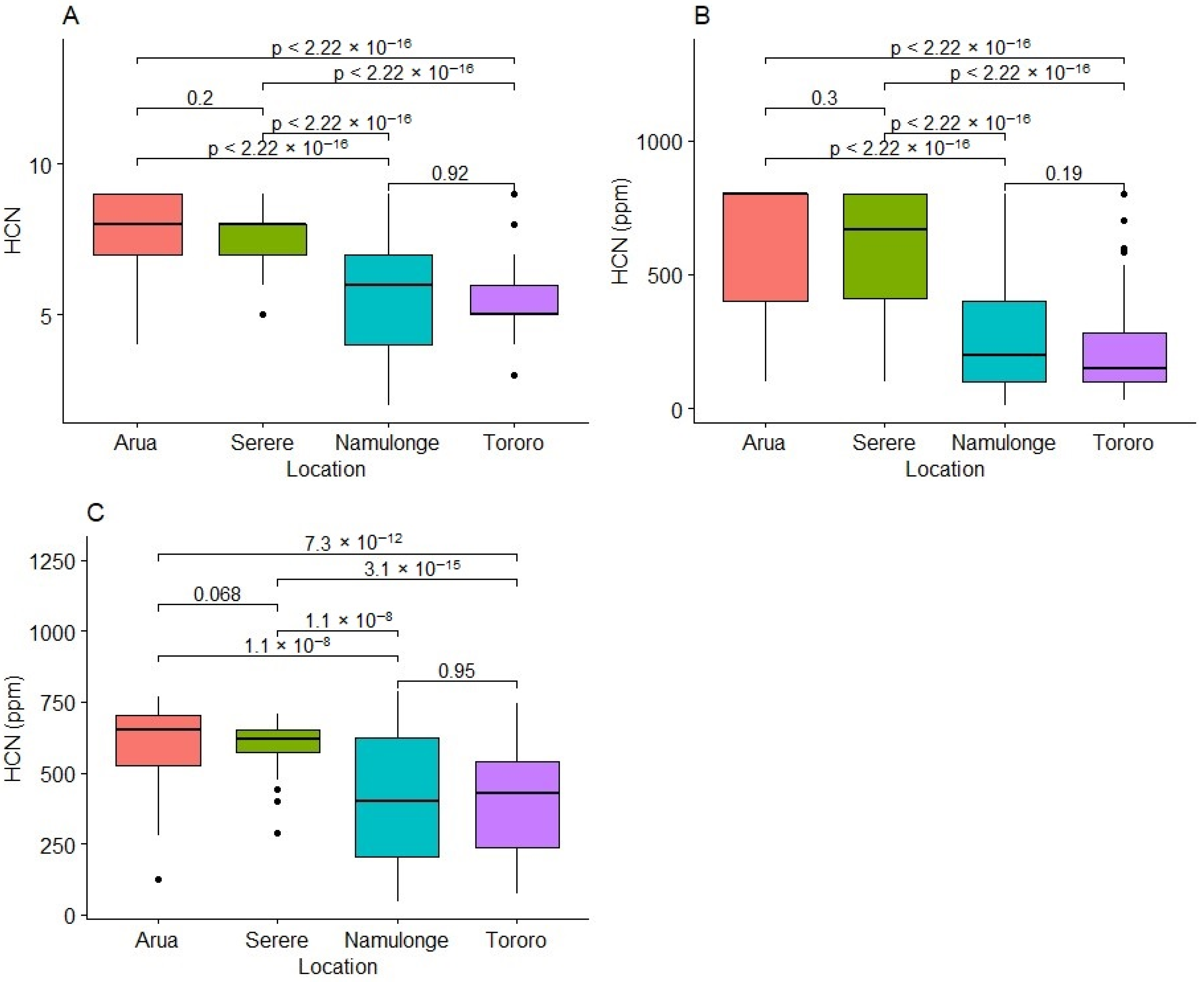
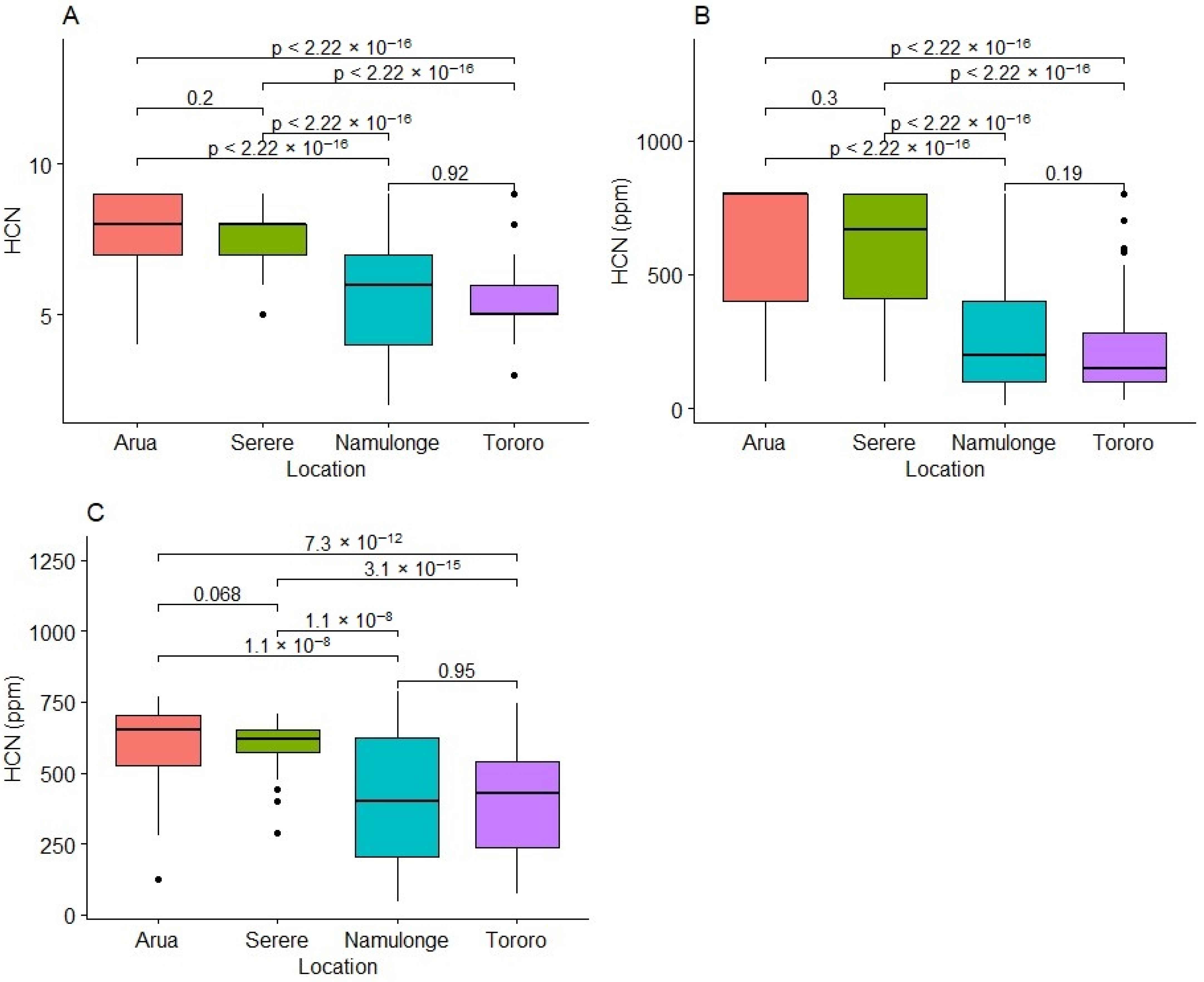
On the 1–9_Scale, fresh root HCN content ranged from 2 to 9 with a combined location average of 6.56. The highest average HCN content was recorded in Arua (7.70) followed by Serere (7.58), while Namulonge (5.45) had the lowest average HCN content (Table 2). On the 0 to 800 scale, fresh root HCN content ranged from 65 ppm to 800 ppm with a combined location average of 430.21 ppm. The highest average HCN content (614.24 ppm) was again recorded in Arua, while the lowest (236.03 ppm) was again recorded in Namulonge (Table 2). For the HCN_Spec method, fresh root HCN content ranged from 119.6 ppm to 676.3 ppm with a combined location average of 504.1 ppm. However, the highest average fresh root HCN content (608.53 ppm) was recorded in Serere while the lowest (399.39 ppm) was recorded in Tororo. Generally, HCN observations at Namulonge were comparable to those at Tororo while observations for Serere were comparable to those at Arua (Table 2).
Table 2.
Summary of phenotypic variation, variance components, and broad sense heritability for HCN in fresh cassava roots across locations and HCN phenotyping methods.
Within sites, broad sense heritability ranged from 0.46 to 0.54 on the 1 to 9 scale, 0.24 to 0.64 on the 0 to 800 ppm scale, and 0.22 to 0.56 using the spectrophotometric method. Across locations, broad sense heritability was 0.14 for the spectrophotometric method, 0.26 for the 1 to 9 scale, and 0.32 for the 0 to 800 ppm scale. The genetic component of the variation (Vg) was 0.48 for the 1 to 9 scale, 3596 for the spectrophotometric method, and 13,990 for the 0 to 800 ppm scale (Table 2).
On the 1–9_Scale, Arua had clones scoring 4 to 9 with a high median value of 8. The distribution was skewed upwards (Figure 1A). In Serere, scores ranged from 3 to 9, with 50% of the clones scoring between 7 and 8, thereby skewing the distribution upwards. In Tororo, HCN scores ranged from 3 to 9, with 50% clones scoring between 5 and 6, while in Namulonge, scores ranged from 2 to 9, with a median of 6 and a near-uniform distribution of scores across the scale (Figure 1A). However, for the 0–800_Scale, HCN scores ranged from 100 to 800 ppm in Arua with 75% clones scoring 400–800 ppm, thereby skewing the distribution upwards. Similarly, in Serere, HCN scores ranged from 100 to 800 ppm, with a median score slightly below 700 ppm. The distribution of scores was skewed upwards. In Namulonge and Tororo, the median HCN scores were 200 ppm and 150 ppm, respectively, with scores ranging from less than 50 to 800 ppm. For both locations, the distribution was skewed downwards (Figure 1B). A similar trend was observed using the spectrophotometric method (Figure 1C). Generally, Arua and Serere had high HCN values, thereby skewing the distributions upwards, while Namulonge and Tororo had nearly uniform distributions (Figure 1).
Figure 1.
Variation in fresh cassava root HCN content across test sites based on three assessment methods: the 1 to 9 categorical scale (A), the 0 to 800 ppm categorical scale (B), and the spectrophotometric method (C).
2.2. Accession Ranking for Fresh Cassava Root HCN Content Using BLUPS
BLUPS consistently ranked four of the five bitter local farmers’ clones among the top 10 for high HCN content (Table 3). Over all, six clones, Tongolo, Nyamatia, Kazimwenge, Quinine, UG16F303P006, and UG16F158P004, were consistently ranked among the top 10 for high HCN content. On the other hand, five clones, UG16F290P295, UG16F293P169, UG16F057P001, UG16F001P013, and UG16F290P075 were consistently ranked among the top ten for low HCN content. Surprisingly, the local bitter farmers’ accession Edwarat was ranked among the top 10 low-HCN clones both on the 1 to 9 scale and under spectrophotometric methods. Overall, five clones were consistently selected under all methods, six clones on the 1 to 9 scale and the 0 to 800 scale, and nine clones on the 1 to 9 scale and under spectrophotometric method (Table 3).
Table 3.
Ranking of selected clones from highest to lowest HCN content using BLUP values for the three HCN evaluation methods.
2.3. Comparison of Phenotyping Method Performance
2.3.1. Correlation and Regression between the Methods
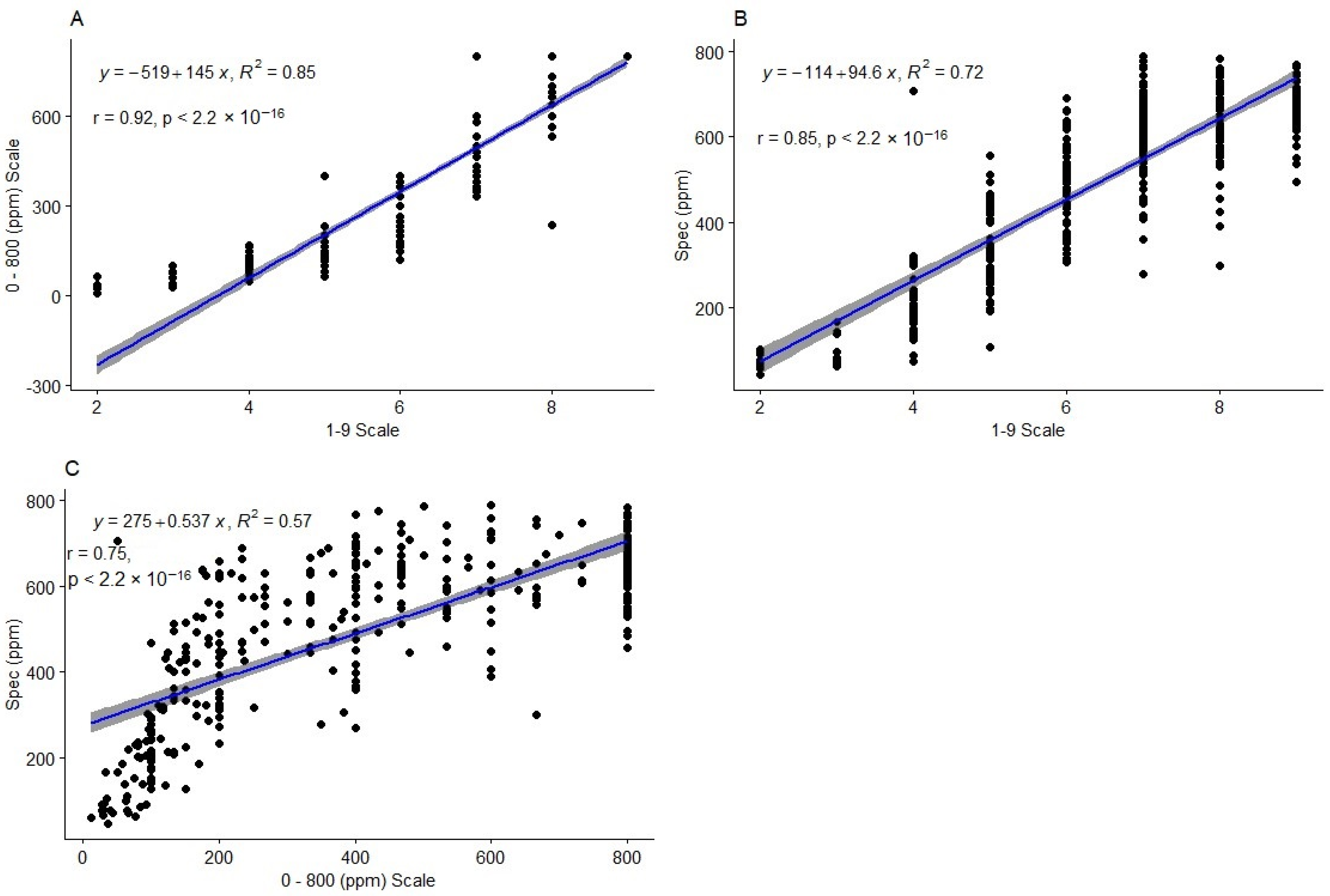
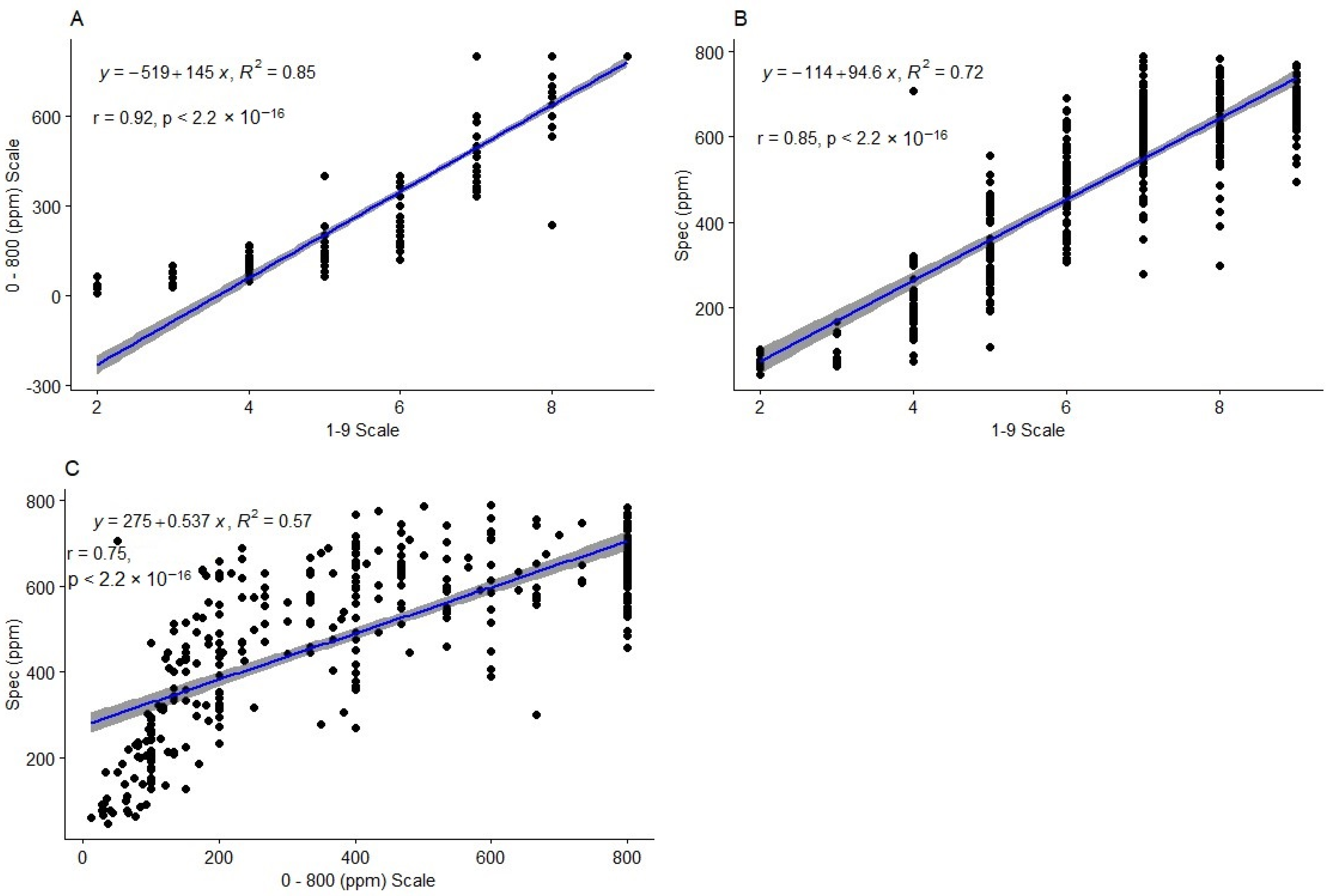
Correlation analysis revealed a strong positive relationship between all the methods (Figure 2). The highest correlation coefficient (r = 0.92, p < 0.001) was observed between the 1 to 9 scale and the 0 to 800 ppm scale (Figure 2A). Furthermore, there was a strong positive relationship (r2 = 0.85, p < 0.001) between the 1 to 9 scale and the spectrophotometric method (Figure 2B), and between the 0 to 800 ppm scale and the spectrophotometric method (r2 = 0.75, p < 0.001) (Figure 2C).
Figure 2.
Scatter plots with regression lines and confidence intervals, the regression equations and correlation coefficients depicting the relationship between the HCN phenotyping methods based on the picrate protocol. The relationship between the 1 to 9 scale and the 0 to 800 ppm scale is shown in plot (A). Plot (B) shows the relationship between the 1 to 9 scale and the spectrophotometric method, while plot (C) shows the relationship between the 0 to 800 ppm scale and the spectrophotometric method. ppm = parts per million; R2 = coefficient of determination; r = correlation coefficient; Spec = spectrophotometric method.
The highest coefficient of determination (R2 = 0.85) was observed between the 1 to 9 scale and the 0 to 800 ppm scale. The relationship between the two methods is represented by the regression equation (Figure 2A). The coefficient of determination between the 1 to 9 scale and the spectrophotometric method was also high (R2 = 0.72). The relation between the two methods is summarized by the regression equation (Figure 2B). On the other hand, the coefficient of determination between the 0 to 800 ppm scale and the spectrophotometric method (R2 = 0.57) was weak. The relation between these two methods is summarized by the regression equation (Figure 2C).
2.3.2. Comparison of Residuals
Large residuals were observed between 300 and 600 ppm for the 0 to 800 ppm scale (Figure 3A) and between 200 and 400 ppm for the spectrophotometric method (Figure 3B). Residuals were more clustered towards the zero line for higher HCN readings (more than 400 ppm) for the spectrophotometric method, while for the 0 to 800 ppm scale, this pattern was observed for lower HCN scores (less than 200 ppm). There was a random distribution of residuals for the 1 to 9 scale (Figure 3C).
Figure 3.
Residual vs. fitted plots for the 0 to 800 ppm scale (A), spectrophotometric method (B), and 1 to 9 scale (C).
For a uniform comparison of residuals for all three methods, we computed the relative standard error (RSE). For the 1 to 9 scale, the RSE was 17.4; the RSE was 25.7% for the Spec method and 41.32% for the 0 to 800 scale method, indicating that the 1 to 9 scale was the most accurate, followed by the spectrophotometric method, with the 0 to 800 scale being least accurate.
2.4. Variation in Weather Variables at Experimental Test Locations
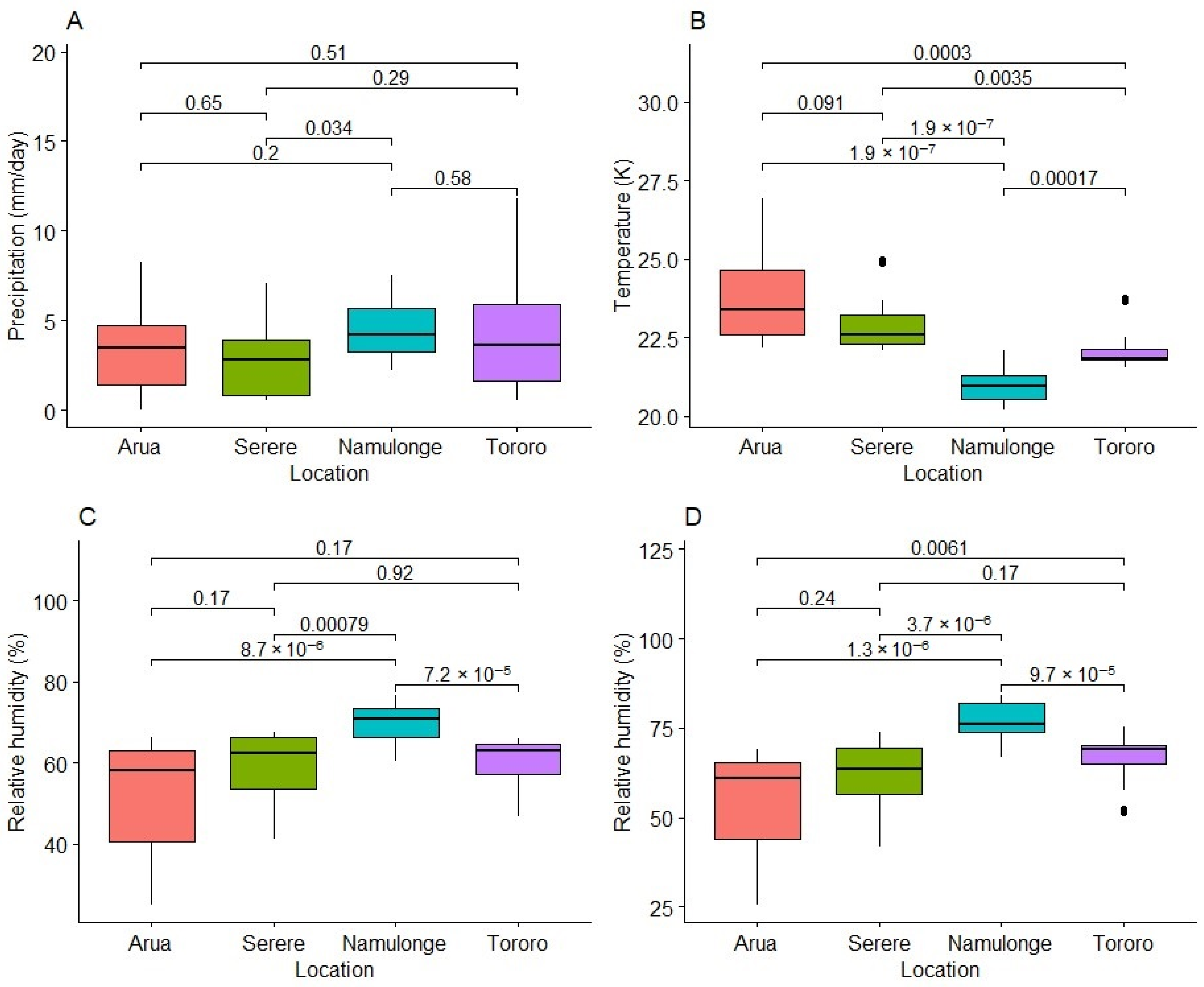
We compared locations for differences in the amount of precipitation (mm/day), average daily temperature (K), and relative humidity (%) at 12- and 18 h intervals. There was significant variation (p < 0.001) among locations for 24 h temperature, relative humidity at 12 h, and relative humidity at 18 h (Figure 4). Except in terms of precipitation, Namulonge was significantly different from all other locations. Namulonge received significantly higher precipitation (p = 0.034) than Serere but not was significantly different from Tororo and Arua (Figure 4A). Namulonge had the lowest average 24 h temperature (20.97 K) followed by Tororo (22.16 K), Serere (22.99 K), and Arua (23.90 K). Arua was significantly hotter than Tororo (p = 0.0003) but did not differ from Serere in terms of temperature (Figure 4B). Relative humidity at 12 h for Namulonge was high (average = 70%) and significantly different from that at all other locations. However, there were no significant differences between the other locations (Figure 4C). At 18 h, Namulonge had the highest relative humidity (77.03%) and was significantly different from other locations in terms of this. It was followed by Tororo (66.17%) and Serere (60.98%). Arua, with the lowest relative humidity (54.53%), was not significantly different from Serere. Serere was also not significantly different from Tororo, but Tororo was significantly different from Arua (p = 0.0061) (Figure 4D) in terms of this.
Figure 4.
Variation in the weather variables precipitation (A), temperature (B), relative humidity at 12 h (C), and relative humidity at 18 h (D) among the test locations. The Kruskal–Wallis test was used to show significance or no significance in the observed differences of weather parameters at α = 0.05 across locations. % = percentage; K = Kelvin; mm/day = millimeters per day.
3. Discussion
3.1. Genetic Variability and Heritability for HCN
A major objective of this study was to establish whether significant genetic variation exists for HCN in available germplasm, and whether different assessment methods vary in precision. Highly significant variation for HCN among clones was observed. Fresh root HCN content ranged from 2.5 to 9 with a mean of 6.56 on the 1 to 9 scale, 65.2 to 800 ppm on the 0 to 800 ppm scale with a mean of 430.21, and 119.60 to 676.30 ppm with an average of 504.10 ppm using HCN_Spec. It is thus evident that there was variability for HCN within the evaluated germplasm. The evaluated germplasm comprised both local landraces and elite clones. This favors selection for low HCN. The ranges of HCN reported in this study are comparable to those reported in earlier studies [36,37,38]. Based on the 1 to 9 scale, the genetic component of the variation (Vg) was 0.48, which is higher than that of (Vg) = 0.21 reported in African germplasm from the International Institute for Tropical Agriculture (IITA), Nigeria, and much lower than that in Colombian, (Vg) = 1.58, and Brazilian germplasm, (Vg) = 2.59 [38]. The higher genetic variation for HCN in Ugandan germplasm compared to IITA’s can be attributed to the deliberate inclusion of bitter landraces in the study, i.e., Tongolo, Quinine, Nyamatia, Kazimwenge, and Edwarat material, whereas the high genetic variance reported for Brazilian and Colombian germplasm is explained by the fact that Latin America, particularly Brazil, is the center of diversity for cassava [38]. Given the large genetic variability for HCN reported for Latin American cassava clones, African cassava breeding programs targeting low-HCN product profiles can enhance diversity in their populations through germplasm exchange with their Latin American counterparts. Germplasm exchange could also be beneficial for other traits like fresh root yield, in terms of which some African cassava breeding programs are not making appreciable genetic gains [39].
A clear understanding of trait heritability informs strategies to drive genetic gains [40,41] as heritability estimates are critical to selection decisions [42]. Broad sense heritability (H2) estimates were low to moderate across locations (H2 = 0.14–0.32). This could be explained by the large effect of environmental factors on HCN phenotypic expression. Furthermore, for all phenotyping methods, the residual variance was high, suggesting that better heritability estimates can be obtained with further optimization of the methods. These H2 estimates are, however, comparable to estimates previously reported for West African germplasm, H2 = 0.27 [38] and H2 = 0.18 [37], but are much lower than the estimate (H2 = 0.76–0.82) reported for Brazilian germplasm by the same authors using the 1 to 9 scale.
Diversity in terms of the presence of bitter clones is maintained within African populations by farmers who selectively grow bitter varieties for various reasons [20,28,43]. In Ugandan communities where communal livestock grazing is carried out, it is common practice for farmers to plant guard rows of bitter cassava landraces around their fields of the sweet cassava crop to “protect them from damage by livestock”.
Whereas Torres et al. [37] suggested three categorizations of HCN on the 1 to 9 scale, sweet (1–4), intermediate (4.1–5), and bitter (5.1–9), these categories are contestable given that the levels of taste were neither tested by a trained sensory panel nor validated by a consumer panel. Thus, there is no evidence to suggest that a genotype with a score of 5.1 or 6.0 will be perceived as bitter by the consumer. Rather, we suggest four categories that could have practical implications for cassava breeding: low HCN (1–4.0), corresponding to 0–100 ppm; intermediate HCN (4.1–5.9), corresponding to 101–200 ppm; high HCN (6.0–7.0), corresponding to 201–400 ppm; and very high HCN (7.1–9.0), corresponding to 401–900 ppm.
Thus, for breeding efforts targeting boiled products (associated with minimal processing), an average score of 1–4 is desirable, but one of less than 6.0 is acceptable. For the fresh root chewing product profile (common in Tanzania), which is associated with no processing at all, the cut-off for selection should be at 4.0. This categorization is somewhat in alignment with that of Zhong et al. [44], who recommended a maximum residue limit (MRL) of 200 ppm for cyanogenic glycosides in cassava for food. For product profiles involving extensive processing like drying, milling, and fermentation, the cut off may be relaxed to include clone scores averaging 6.0–7.0 given that significant amounts of cyanogens are lost during processing [45,46,47]. However, when initial fresh root HCN concentrations are very high, traditional processing methods may not be sufficient to detoxify the roots [45], resulting in fatalities [15,16,48]. Depending on the target product profile, different cassava breeding programs may have different cut-offs, considering the efficiency of traditional processing methods available and local and international regulations in terms of acceptable maximum residual levels of cyanide in cassava food and processed products.
3.2. Effect of the Environment on Fresh Root HCN Content
Fresh cassava root HCN content is known to vary even within roots of the same variety [10,49]. These variations can in part be accounted for by differences in genotypes, climatic factors, and soils [12,18,50,51]. The highest mean HCN in each location was recorded in Arua (7.7) and Serere (7.58). These locations also had the highest temperatures recorded during the crop growing period (23.9 K and 22.99 K, respectively) and the least precipitation and lowest relative humidity after 18 h. This is consistent with observations by the authors of [31,52], who reported that cyanide in cassava roots tended to increase in periods of drought and/or dry weather.
The higher cassava root HCN levels recorded in Arua and Serere could be explained by the effect of temperature on the crop’s physiology. Cyanide in cassava is produced from the breakdown of linamarine and lotaustraline, a process catalyzed by the hydroxynitrile lyase (HNL) enzyme, which is in the leaves and stems but not in the roots [53]. Increases in temperature increase the rate of transpiration and sap flow in the plant, but could also increase the rate of HNL enzyme activity, thus elevating cassava root cyanide levels [53]. Furthermore, temperature might influence the rate of cyanide detoxification in cassava roots via the β–cyanoaline pathway, which coverts cyanide into the amino acid asparagine. This reaction is catalyzed by the β-cyanoaline synthase (CAS) enzyme, which is sensitive to heat denaturation; therefore, its activity could be suppressed at high temperature [53].
Given the projected 1.2–4.4 °C increase in temperature on the African continent between the year 2030 and 2050 [54], it is essential that cassava varieties that are high-yielding, low in HCN, and stable across environments be developed. However, variations in temperature and relative humidity alone may not fully explain the effect of the environment on HCN phenotypic expression. In Tanzania, farmers claim that low-fertility soils, and red clayey and sandy soils have a tendency to produce bitter cassava roots [30]. The effect of climatic factors and soil physical (texture) and chemical composition (pH and mineral composition) ought to be studied simultaneously across seasons and locations for more compelling observations.
BLUPS offer excellent predictive ability to guide selection decisions [55,56,57]. Since our interest is in developing low-HCN varieties, clones with low BLUP values are preferred. However, the threshold of acceptability (selection for advancement) will depend on the breeder’s target product profile and the selection intensity. Five of the bitter landraces were featured among the top ten high-HCN clones, while one (Edwarat) was surprisingly ranked among the top ten low-HCN clones under two of the methods. This clone is a landrace in a semi-arid environment in Eastern Uganda, where it is said to be always bitter; thus, its name “Edwarat”, which means “the bitter one”. This underscores the impact of environmental factors on fresh root HCN content. Cassava genotypes that are high-yielding and low in HCN across several environments are highly desirable [50].
3.3. Accuracy of HCN Phenotyping Methods
The 1 to 9 scale (CV = 15.6%, H2 = 0.26) is a more accurate and reproducible method compared with either the spectrophotometric method (CV = 24.6%, H2 = 0.14) or the 0 to 800 scale (CV = 38.5%, H2 = 0.32). Thus, whereas the spectrophotometric method is more accurate than the 0 to 800 scale, it is less reproducible. The 0 to 800 scale seems to be accurate for low HCN scores up to 300 ppm but is inaccurate for higher scores. The spectrophotometric method on the other hand seems less accurate for the low values (less than 400 ppm) but accurate for the high values. The large residuals seen in the 0 to 800 scale could be due to the difficulty in distinguishing picrate paper colors and assigning the correct corresponding scores, an inherent problem associated with color scales [58]. Furthermore, residuals observed when using the spectrophotometer could possibly be exacerbated by human error in time intervals when colored picrate papers are eluted in water, especially when large sample numbers must be read on the spectrophotometer in a single batch. For the 1 to 9 scale, residuals were equally spread out across the range of predicted values, suggesting constant variance in residuals across the scale. The moderate to high coefficients of determination between the methods (R2 = 0.57–0.85) suggest that one can predict phenotypes of one method using another with a high degree of confidence, since the methods yield comparable results.
For selection purposes, the 1 to 9 scale and spectrophotometric method outperformed the 0 to 800 scale as between them, they consistently selected 9 out of the top 10 low-HCN clones. Given the extra requirements in sample preparation, machinery, and power, which make the spectrophotometric protocol an error-prone, expensive, and lower-throughput alternative, the more accurate 1 to 9 scale should be the method of choice for routine phenotyping in cassava breeding programs. At late-stage breeding trials when the population size is small and exact fresh root HCN content is required to support variety release applications, the spectrophotometric method can be deployed. However, given the inherent difficulty in fresh cassava root HCN phenotyping, there is need to develop reproducible, accurate, and high-throughput phenotyping protocols for HCN.
Near-infrared spectroscopy (NIRS) is one of such technologies that has been adopted by major cassava breeding programs in Uganda and Nigeria for cassava root quality phenotyping [58,59,60] and has recently been shown to separate low- and high-HCN clones with high accuracy [61]. Thus, cassava breeders targeting low-HCN cassava varieties may find the concept of phenomic selection, as recently described by Robert et al. [62], more appealing compared with genome-based tools like marker-assisted selection (MAS) given the phenotypic plasticity of the trait. Acyanogenic cassava can be produced via genetic transformation [63]. However, in many African jurisdictions, as is the case in, Uganda, transgenics still faces stiff resistance from anti-transgenics lobbyist groups, and would-be-breakthrough research [64,65] is largely restricted to laboratory and confined field trials. Thus, conventional breeding for low-cyanogenic cassava remains the best avenue to safeguard the public from potential harmful effects of dietary HCN consumption.
4. Materials and Methods
4.1. Description of the Study Area
Variability for HCN was studied across four locations, The National Crops Resources Research Institute (NaCRRI), central Uganda; the National Semi-arid Resources Research Institute (NaSARRI), Serere in eastern Uganda; the Abi Zonal Agricultural Research Institute (Abi ZARDI), Arua, northern Uganda; and Tororo in eastern Uganda. NaCRRI is located at longitude 32.62717, latitude 0.521526, and 1134 m above sea level, characterized by a bi-modal rainfall pattern with an average annual rainfall value of 1325 mm and annual average temperature of 21 °C. The soils are sandy loams. NaSARRI is located at longitude 33.54901 and latitude 1.499403 with an elevation of 1104 m above sea level. The area is semi-arid with average annual temperatures of 26.5 °C, and a mean annual rainfall value of of 900 mm. The soils are light sandy loams. Abi ZARDI is located at longitude 30.95 and latitude 3.08333 at an altitude of 1109 m above sea level, experiences a bi-modal rainfall pattern with an average annual rainfall value of 1250 mm and average annual temperature of 24 °C. The soils are sandy loam soils. Finally, Tororo is located at longitude 34.0223 and latitude 0.769 with an elevation of 1278 m above sea level. The mean annual temperature is 21 °C. The area is characterized by light sandy soils and a bi-modal rainfall pattern with a mean annual rainfall value of 1450 mm.
4.2. Description of Study Materials and Field Trial Establishment
A set of 64 clones were used in this study. These consisted of eight bitter landraces collected from farmers’ fields across the country and 56 advanced breeding clones. These clones were selections from cycle two of the genomic selection population [66]. At each location, clones were established in the field in a randomized complete block design with two replicates. Each plot consisted of five rows of plants with a spacing of 1 m× 1 m, with 2 m alleys between plots. Plots were kept weed-free via hand weeding. No fertilizers or supplemental irrigation were applied. Further details of the trials and study materials can be found in the online open access data repository Cassavabase at www.cassavabase.org and in the Supplementary Table S1.
4.3. Sample Selection, Preparation, and Data Collection
4.3.1. Sample Selection
At harvest (12 months after planting), three middle rows of each plot were uprooted and all harvested roots were pooled together. Three uniformly sized roots were then selected and taken to the laboratory for analysis. At the laboratory, roots were washed under running water to remove soil and debris and then dried with a towel.
4.3.2. Sample Preparation
For each root, the distal and proximal portions were sliced off with a kitchen knife and discarded, leaving a 10 cm middle portion. This portion was peeled with a kitchen knife and, the parenchyma were grated with a kitchen grater. The grated slices per root were wrapped together, and a portion was immediately weighed into a falcon tube containing 5 mL of pH 8 phosphate buffer. A fresh picrate paper strip (1 cm wide, 3 cm long) prepared by dipping Whatman 1 filter paper (Whatman International Limited) in a solution of picric acid (0.5% w/v) in 2.5% (w/v) sodium carbonate and allowing the paper to dry at room temperature was immediately suspended above the falcon tube, and the tube was tightly stoppered. The tubes were kept in the dark for 16 h at room temperature.
4.4. Data Collection
4.4.1. Measurement of HCN
Three assessments for HCN were undertaken. Firstly, scores were taken for the final color of the picrate paper strip on a 1 to 9 scale, with 1 and 9 representing the extremes of low and high HCN content, respectively [34]. Secondly, scores of the picrate paper were also taken using the 0–800 parts per million (ppm) scale, with 0 ppm and 800 ppm representing extremes of low and high HCN content, respectively [8]. Thirdly, the scored picrate paper was eluted in 3 milliliters of distilled water for 30 min, and the absorbance of the resulting colored solution was read on a spectrophotometer (Jenway 6305 UV/Visible Spectrophotometer) at 510 nm against a similarly prepared blank but whose picrate paper was not exposed to the sample. To obtain the final HCN value in parts per million, the absorbance value of the sample was multiplied by 396 [32].
4.4.2. Weather Data
Weather data were obtained for the study sites from the AgERA5 database [67] using the R package ag5Tools [68]. The AgERA5 dataset provides daily surface meteorological data from 1979 at a resolution of 0.1° [69]. Thus, daily weather data were extracted for the period September 2020 to September 2021 for the parameters 24 h temperature (K), relative humidity after 12 h (%), relative humidity after 18 h (%), and precipitation (mm/day).
4.5. Data Analysis
For each of the three HCN assessment methods, an independent dataset was assembled. Data analysis was conducted in the R statistical package. An analysis of variance was conducted to test for the significance of the observed differences in the means of clones and in the locations, and for the interaction of genotypes with location (GEI) at a 0.05 alpha level. The means of clones and locations were compared using Tukey’s honestly significant difference test using the HSD.test function of the Agricolae package at a 0.05 alpha level. Broad sense heritability was computed based on single-site analysis and on a combination of datasets from all the sites. The lmer function of the R statistical package was used to fit the following mixed linear model:
where y is the response vector of HCN for a given location, β is the vector of fixed effects, u is the vector of random genetic effects with design matrix Z (relating trait values to genotype, environment, and genotype–environment interaction), and ε is the error (residual). Variance components were then extracted and used for the estimation of broad sense heritability (H2). Within locations (a single trial), broad sense heritability was estimated as follows:
where H2 is the broad sense heritability, Vg is the genotypic variance, and Ve is the error (residual) variance. Across locations (trials), broad sense heritability was estimated as follows:
where is the genotypic variance, Ve is the error (residual) variance, and is the variance due to the genotype–environment interaction.
The ranking of clones in accordance with HCN content was conducted using the best unbiased linear predictors (BLUPS), which were computed using the ranef function in R. Variance components, heritability and BLUPS were computed separately for each HCN phenotyping method. The Kruskal–Wallis test was performed to test the hypothesis that the test environments did not experience different weather conditions, and results were plotted using the ggpubr package. Correlation and regression analyses were performed to investigate the relationship between the HCN phenotyping methods using the packages ggpubr and ggpmisc in R.
5. Conclusions
Based on our results, there is appreciable genetic diversity for HCN in locally available Ugandan cassava germplasm. Broad sense heritability for HCN within the study germplasm was low to moderate, and the 1 to 9 scale is more accurate and more reproducible than either the 0 to 800 ppm scale or spectrophotometric methods. Furthermore, average daily temperature and relative humidity during crop growth influence fresh cassava root HCN phenotypic expression. This information provides frameworks for undertaking sustainable cassava breeding that is mindful of acceptable thresholds for HCN in developed products and the phenotypic plasticity of the trait.
Supplementary Materials
The following supporting information can be downloaded at: https://www.mdpi.com/article/10.3390/plants13091186/s1, Table S1: Description of study materials.
Author Contributions
Conceptualization, M.K., M.B.S., E.N. and R.S.K.; methodology, M.K. and E.N.; software, validation, M.B.S., E.N. and R.S.K.; formal analysis, M.K.; investigation, M.K.; resources, R.S.K.; data curation, F.B.N. and N.M.; writing—original draft preparation, M.K.; writing—review and editing, R.S.K., P.I., A.R.N., A.O., J.K.B., W.E. and I.S.K.; visualization, M.K.; supervision, M.B.S., E.N. and R.S.K.; project administration, R.S.K.; funding acquisition, R.S.K. All authors have read and agreed to the published version of the manuscript.
Funding
This work was supported by the Nextgen Cassava Breeding Project through a grant to Cornell University by Bill & Melinda Gates Foundation (BMGF) (Grant INV-007637) and the UK’s Foreign Common Wealth and Development Office (FCDO). Additional funding was provided by the Regional Universities Forum for Capacity Building in Agriculture (RUFORUM) through grant RU-NARO/2020/post-Doc/01 to NaCRRI.
Data Availability Statement
Data are available in an online open-access repository (Cassavabase) via the link: https://cassavabase.org/ftp/manuscripts/Kanaabi_et_al_2024/ (accessed on 12 February 2024).
Acknowledgments
The authors would like to acknowledge the selfless contribution of the field and laboratory technicians of the Nutrition and Bio-Analytical Laboratory at NaCRRI for their meticulous work in field trial maintenance and data collection. Further, we are grateful for the management overseen by ABI ZARDI and NaSARRI for hosting field trials and making their laboratory facilities available for HCN phenotyping. We are also grateful to David Brown (Cornell University) for his help in using the Ag5Tools package for downloading and extracting climatic data from the AgERA5 database.
Conflicts of Interest
The authors declare no conflicts of interest.
References
- Manyong, V.M.; Makinde, K.O.; Bokanga, M.; Whyte, J. The Contribution of IITA-Improved Cassava to Food Security in Sub-Saharan Africa: An Impact Study; IITA: Ibadan, Nigeria, 2000; p. 4. [Google Scholar]
- El-Sharkawy, M.A. Stress-Tolerant Cassava: The Role of Integrative Ecophysiology-Breeding Research in Crop Improvement. Open J. Soil Sci. 2012, 2, 162–186. [Google Scholar] [CrossRef]
- Iragaba, P.; Hamba, S.; Nuwamanya, E.; Kanaabi, M.; Nanyonjo, R.A.; Mpamire, D.; Muhumuza, N.; Khakasa, E.; Tufan, H.A.; Kawuki, R.S. Identification of cassava quality attributes preferred by Ugandan users along the food chain. Int. J. Food Sci. Technol. 2021, 56, 1184–1192. [Google Scholar] [CrossRef] [PubMed]
- Nuwamanya, E.; Kawuki, R.S. Quantification of starch physicochemical characteristics in a cassava segregating population. Afr. Crop Sci. J. 2008, 16, 191–202. [Google Scholar] [CrossRef]
- Nanyonjo, A.R.; Dufour, D.; Kawuki, R.S.; Kyazze, F.; Esuma, W.; Wembabazi, E.; Nuwamanya, E.; Tufan, H. Assessment of end user traits and physicochemical qualities of cassava flour: A case of Zombo district, Uganda. Int. J. Food Sci. Technol. 2021, 56, 1289–1297. [Google Scholar] [CrossRef] [PubMed]
- Haque, M.R.; Bradbury, J.H. Total cyanide determination of plants and foods using the picrate and acid hydrolysis methods. Food Chem. 2002, 77, 107–114. [Google Scholar] [CrossRef]
- Daniel, L.; Da, J.; Francisco, C.; Zelder, F.; Bergenståhl, B.; Dejmek, P. Straightforward rapid spectrophotometric quantification of total cyanogenic glycosides in fresh and processed cassava products. Food Chem. 2014, 158, 20–27. [Google Scholar] [CrossRef] [PubMed]
- Egan, S.V.; Yeoh, H.H.; Bradbury, J.H. Simple picrate paper kit for determination of the cyanogenic potential of cassava flour. J. Sci. Food Agric. 1998, 76, 39–48. [Google Scholar] [CrossRef]
- Zagrobelny, M.; Møller, B.L. Cyanogenic glucosides in the biological warfare between plants and insects: The Burnet moth-Birdsfoot trefoil model system. Phytochemistry 2011, 72, 1585–1592. [Google Scholar] [CrossRef]
- Gleadow, R.M.; Møller, B.L. Cyanogenic glycosides: Synthesis, physiology, and phenotypic plasticity. Annu. Rev. Plant Biol. 2014, 65, 155–185. [Google Scholar] [CrossRef]
- Bradbury, J.H.; Egan, S.V. Rapid screening assay of cyanide content of cassava. Phytochem. Anal. 1992, 3, 91–94. [Google Scholar] [CrossRef]
- McKey, D.; Cavagnaro, T.R.; Cliff, J.; Gleadow, R. Chemical ecology in coupled human and natural systems: People, manioc, multitrophic interactions and global change. Chemoecology 2010, 20, 109–133. [Google Scholar] [CrossRef]
- Wheatley, C.C.; Ghuzel, G.; Zakhia, N. The Nature of the Tuber. In Encylopedia of Food Sciences and Nutrition, 2nd ed.; Cabellero, B., Ed.; Academic Press: Cambridge, MA, USA, 2003; pp. 964–969. [Google Scholar]
- FAO/WHO. Book Review: Safety Evaluation of Certain Food Additives and Contaminants. Nutr. Health 2001, 15, 74. [Google Scholar] [CrossRef]
- Akintonwa, A.; Tunwashe, O.L. Fatal Cyanide Poisoning from Cassava-based Meal. Hum. Exp. Toxicol. 1992, 11, 47–49. [Google Scholar] [CrossRef] [PubMed]
- Alitubeera, P.H.; Eyu, P.K.; Benon, A.; Alex, R.; Zhu, B. Outbreak of Cyanide Poisoning Caused by Consumption of Cassava Flour. Morb. Mortal. Wkly. Rep. 2019, 68, 308–311. [Google Scholar] [CrossRef] [PubMed]
- Nzwalo, H.; Cliff, J. Konzo: From Poverty, Cassava, and Cyanogen Intake to Toxico-Nutritional Neurological Disease. PLoS Negl. Trop. Dis. 2011, 5, e1051. [Google Scholar] [CrossRef] [PubMed]
- Cliff, J.; Muquingue, H.; Nhassico, D.; Nzwalo, H.; Bradbury, J.H. Konzo and continuing cyanide intoxication from cassava in Mozambique. Food Chem. Toxicol. 2011, 49, 631–635. [Google Scholar] [CrossRef] [PubMed]
- Nhassico, D.; Muquingue, H.; Cliff, J.; Cumbana, A.; Bradbury, J.H. Rising African cassava production, diseases due to high cyanide intake and control measures. J. Sci. Food Agric. 2008, 2049, 2043–2049. [Google Scholar] [CrossRef]
- Nakabonge, G.; Samukoya, C.; Baguma, Y. Local varieties of cassava: Conservation, cultivation and use in Uganda. Environ. Dev. Sustain. 2018, 20, 2427–2445. [Google Scholar] [CrossRef] [PubMed]
- Bechoff, A.; Tomlins, K.; Fliedel, G.; Becerra Lopez-lavalle, L.A.; Westby, A.; Hershey, C.; Dufour, D. Cassava traits and end-user preference: Relating traits to consumer liking, sensory perception, and genetics. Crit. Rev. Food Sci. Nutr. 2018, 58, 547–567. [Google Scholar] [CrossRef]
- Dominique, D.; Clair, H.; Hamaker, R.B.; Lorenzen, J. Integrating end-user preferences into breeding programmes for roots tubers and bananas. Int. J. Food Sci. Technol. 2021, 56, 1071–1075. [Google Scholar] [CrossRef]
- Thiele, G.; Dufour, D.; Vernier, P.; Mwanga, R.O.M.; Parker, M.L.; Schulte, G.E.; Teeken, B.; Wossen, T.; Gotor, E.; Kikulwe, E.; et al. A review of varietal change in roots, tubers and bananas: Consumer preferences and other drivers of adoption and implications for breeding. Int. J. Food Sci. Technol. 2021, 56, 1076–1092. [Google Scholar] [CrossRef]
- Polar, V.; Ashby, J.A.; Thiele, G.; Tufan, H. When is choice empowering? Examining gender differences in varietal adoption through case studies from sub-saharan africa. Sustainability 2021, 13, 3678. [Google Scholar] [CrossRef]
- Takam Tchuente, H.N.; Fongang Fouepe, G.H.; Mbwentchou Yao, D.C.; Mathe, S.; Teeken, B. Varietal diversity as a lever for cassava variety development: Exploring varietal complementarities in Cameroon. J. Sci. Food Agric. 2023. [Google Scholar] [CrossRef]
- Honfozo, L.F.; Djibril Moussa, I.M.; Adinsi, L.; Bouniol, A.; Adetonah, S.; Chadare, F.J.; Padonou, W.S.; Hounhouigan, J.D.; Forsythe, L.; Akissoe, N.H. Cross-approaches for advising cassava trait-preferences for boiling. Cogent Food Agric. 2023, 9, 2253716. [Google Scholar] [CrossRef]
- Bezerra, C.; Ferreira, E.; Cunha, R.L.; Tomé, J.; Neto, D.F.; Silva, R.D.S. Chemical root traits differentiate ‘bitter’ and ‘sweet’ cassava clones from the Amazon. Crop Breed. Appl. Biotechnol. 2019, 19, 77–85. [Google Scholar] [CrossRef]
- Mkumbira, J.; Chiwona-Karltun, L.; Lagercrantz, U.; Mahungu, N.M.; Saka, J.; Mhone, A.; Bokanga, M.; Brimer, L.; Gullberg, U.; Rosling, H. Classification of cassava into “bitter” and “cool” in Malawi: From farmers’ perception to characterisation by molecular markers. Euphytica 2003, 132, 7–22. [Google Scholar] [CrossRef]
- Bello, O.B.; Ige, S.A.; Azeez, M.A.; Afolabi, M.S.; Abdulmalic, S.Y.; Mohamood, J. Heritability and Genetic Advance for Grain Yield and its Component Characters in Maize (Zea mays L.). Int. J. Plant Res. 2012, 2, 138–145. [Google Scholar]
- Imakumbili, M.L.E.; Semu, E.; Semoka, J.M.R.; Abass, A.; Mkamilo, G. Soil nutrient adequacy for optimal cassava growth, implications on cyanogenic glucoside production: A case of konzo-affected Mtwara region, Tanzania. PLoS ONE 2019, 14, e0216708. [Google Scholar] [CrossRef]
- Banea-Mayambu, J.P.; Tylleskär, T.; Gitebo, N.; Matadi, N.; Gebre-Medhin, M.; Rosling, H. Geographical and seasonal association between linamarin and cyanide exposure from cassava and the upper motor neurone disease konzo in former Zaire. Trop. Med. Int. Health 1997, 2, 1143–1151. [Google Scholar] [CrossRef]
- Meredith, G.B.; Sylivia, V.E.; Bradbury, J.H. Picrate paper kits for determination of total cyanogens in cassava roots and all forms of cyanogens in cassava products. J. Sci. Food Agric. 1999, 79, 593–601. [Google Scholar]
- Haque, M.R.; Bradbury, J.H. Preparation of linamarin from cassava leaves for use in a cassava cyanide kit. Food Chem. 2004, 85, 27–29. [Google Scholar] [CrossRef]
- Fukuda, W.M.G.; Guevara, C.L.; Kawuki, R.; Ferguson, M.E. Selected Morphological and Agronomic Descriptors for the Characterization of Cassava; IITA: Ibadan, Nigeria, 2010; p. 19. [Google Scholar] [CrossRef]
- Morales, N.; Ogbonna, A.C.; Ellerbrock, B.J.; Bauchet, G.J.; Tantikanjana, T.; Tecle, I.Y.; Powell, A.F.; Lyon, D.; Menda, N.; Simoes, C.C.; et al. Breedbase: A digital ecosystem for modern plant breeding. G3 2022, 12, jkac078. [Google Scholar] [CrossRef]
- Dufour, D.; Dufour, E.; Tirrone, G.; Escobar, A.; Giraldo, A.; Sanchez, T. Evaluation of highland cassava for starch production in Colombia. In Proceedings of the First Scientific Meeting of the Global Cassava Partnership GCP-1, Cassava Meeting the Challenges of the New Millenium, Ghent, Belgique, 21–25 July 2008; p. 96. [Google Scholar]
- Torres, L.G.; de Oliveira, E.J.; Ogbonna, A.C.; Fonseca, F.; Simiqueli, G.F.; Kantar, M.B. Can Cross-Country Genomic Predictions Be a Reasonable Strategy to Support Germplasm Exchange?—A Case Study with Hydrogen Cyanide in Cassava. Front. Plant Sci. 2021, 12, 742638. [Google Scholar] [CrossRef]
- Ogbonna, A.C.; Braatz de Andrade, L.R.; Rabbi, I.Y.; Mueller, L.A.; Jorge de Oliveira, E.; Bauchet, G.J. Large-scale genome-wide association study, using historical data, identifies conserved genetic architecture of cyanogenic glucoside content in cassava (Manihot esculenta Crantz) root. Plant J. 2021, 105, 754–770. [Google Scholar] [CrossRef]
- Manze, F.; Rubaihayo, P.; Ozimati, A.; Gibson, P.; Esuma, W.; Bua, A.; Alicai, T.; Omongo, C.; Kawuki, R.S. Genetic Gains for Yield and Virus Disease Resistance of Cassava Varieties Developed over the Last Eight Decades in Uganda. Front. Plant Sci. 2021, 12, 651992. [Google Scholar] [CrossRef]
- Schmidt, P.; Hartung, J.; Bennewitz, J.; Hans-Peter, P. Heritability in plant breeding on a genotype-difference basis. Genetics 2019, 212, 991–1008. [Google Scholar] [CrossRef]
- Giovanny, E.C.P. Heritability: Meaning and Computation. 2019. Available online: https://excellenceinbreeding.org/sites/default/files/manual/EiB-M2_Heritability_18-02-20.pdf (accessed on 10 October 2023).
- Bernardo, R. Parental selection, number of breeding populations, and size of each population in inbred development. Theor. Appl. Genet. 2003, 107, 1252–1256. [Google Scholar] [CrossRef]
- Mondo, J.M.; Irenge, A.B.; Ayagirwe, R.B.; Dontsop-Nguezet, P.M.; Karume, K.; Njukwe, E.; Mapatano, S.M.; Zamukulu, P.M.; Basimine, G.C.; Musungayi, E.M.; et al. Determinants of Adoption and Farmers’ Preferences for Cassava Varieties in Kabare Territory, Eastern Democratic Republic of Congo. Am. J. Rural Dev. 2019, 7, 44–52. [Google Scholar] [CrossRef]
- Zhong, Y.; Xu, T.; Ji, S.; Wu, X.; Zhao, T.; Li, S.; Zhang, P.; Li, K.; Lu, B. Effect of ultrasonic pretreatment on eliminating cyanogenic glycosides and hydrogen cyanide in cassava. Ultrason. Sonochem. 2021, 78, 105742. [Google Scholar] [CrossRef]
- Cardoso, A.P.; Mirione, E.; Ernesto, M.; Massaza, F.; Cliff, J.; Rezaul, H.M.; Bradbury, J.H. Processing of cassava roots to remove cyanogens. J. Food Compos. Anal. 2005, 18, 451–460. [Google Scholar] [CrossRef]
- Bandna, C. Effect of processing on the cyanide content of cassava. J. Microbiol. Biotechnol. Food Sci. 2012, 2, 947–958. [Google Scholar]
- Adewusi, S.R.A.; Akindahunsi, A.A. Cassava processing, consumption, and cyanide toxicity. J. Toxicol. Environ. Health 1994, 43, 13–23. [Google Scholar] [CrossRef] [PubMed]
- CCDN. Working Together to Eliminate Cyanide Poisoning, Konzo, Tropic Ataxic Neuropathy (TAN) and Neurolathyrism. 2011, 18, 1–4. Available online: https://biblio.ugent.be/publication/2002992/file/2003018.pdf (accessed on 15 October 2023).
- Nuwamanya, E.; Turyasingura, C.; Magumba, I.; Katungisa, A.; Alicai, T. Cyanogenic Potential Variations within Plot, Plant and Roots of Cassava Varieties Grown in the Same Environment. Proc. Natl. Acad. Sci. India Sect. B Biol. Sci. 2023, 93, 365–372. [Google Scholar] [CrossRef]
- Jørgensen, K.; Bak, S.; Busk, P.K.; Sørensen, C.; Olsen, C.E.; Puonti-Kaerlas, J.; Møller, B.L. Cassava plants with a depleted cyanogenic glucoside content in leaves and tubers. Distribution of cyanogenic glucosides, their site of synthesis and transport, and blockage of the biosynthesis by RNA interference technology. Plant Physiol. 2005, 139, 363–374. [Google Scholar] [CrossRef]
- Njankouo, N.Y.; Mounjouenpou, P.; Kansci, G.; Kenfack, M.J.; Meguia, F.M.P.; Natacha, N.E.N.S.; Akhobakoh, M.M.; Nyegue, A. Influence of cultivars and processing methods on the cyanide contents of cassava (Manihot esculenta Crantz) and its traditional food products. Sci. Afr. 2019, 5, e00119. [Google Scholar] [CrossRef]
- Bokanga, M.; Ekanayake, I.; Dixon, A.; Porto, M. Genotype-environment interactions for cyanogenic potential in cassava. Acta Hortic. 1994, 375, 131–140. [Google Scholar] [CrossRef]
- Zidenga, T.; Siritunga, D.; Sayre, R.T. Cyanogen metabolism in cassava roots: Impact on protein synthesis and root development. Front. Plant Sci. 2017, 8, 220. [Google Scholar] [CrossRef]
- Almazroui, M.; Saeed, F.; Saeed, S.; Nazrul, I.M.; Ismail, M.; Klutse, N.A.B.; Siddiqui, M.H. Projected Change in Temperature and Precipitation over Africa from CMIP6. Earth Syst. Environ. 2020, 4, 455–475. [Google Scholar] [CrossRef]
- Panter, D.M.; Allen, F.L. Using best linear unbiased predictions to enhance breeding for yield in soybean: II. Selection of superior crosses from a limited number of yield trials. Crop Sci. 1995, 35, 397–405. [Google Scholar] [CrossRef]
- Piepho, H.P.; Möhring, J.; Melchinger, A.E.; Büchse, A. BLUP for phenotypic selection in plant breeding and variety testing. Euphytica 2008, 161, 209–228. [Google Scholar] [CrossRef]
- Molenaar, H.; Boehm, R.; Piepho, H.P. Phenotypic selection in ornamental breeding: It’s better to have the BLUPs than to have the BLUEs. Front. Plant Sci. 2018, 9, 1511. [Google Scholar] [CrossRef] [PubMed]
- Namakula, B.F.; Nuwamanya, E.; Kanaabi, M.; Wembambazi, E.; Kawuki, R.S. Predicting starch content of cassava with near infrared spectroscopy in Ugandan cassava germplasm. J. Near Infrared Spectrosc. 2023, 31, 256–262. [Google Scholar] [CrossRef]
- Nkouaya Mbanjo, E.G.; Hershberger, J.; Peteti, P.; Agbona, A.; Ikpan, A.; Ogunpaimo, K.; Kayondo, S.I.; Abioye, R.S.; Nafiu, K.; Alamu, E.O.; et al. Predicting starch content in cassava fresh roots using near-infrared spectroscopy. Front. Plant Sci. 2022, 13, 990250. [Google Scholar] [CrossRef] [PubMed]
- Nuwamanya, E.; Enoch, W.; Kanaabi, M.; Namakula, F.B.; Katungisa, A.; Lyatumi, I.; Esuma, W.; Alamu, E.O.; Dufour, D.; Kawuki, R.; et al. Development and validation of near-infrared spectroscopy procedures for prediction of cassava root dry matter and amylose contents in Ugandan cassava germplasm. J. Sci. Food Agric. 2023. [Google Scholar] [CrossRef] [PubMed]
- Kanaabi, M.; Namakula, F.B.; Nuwamanya, E.; Kayondo, I.S.; Muhumuza, N.; Wembabazi, E.; Iragaba, P.; Nandudu, L.; Nanyonjo, A.R.; Baguma, J.; et al. Rapid analysis of hydrogen cyanide in fresh cassava roots using NIRSand machine learning algorithms: Meeting end user demand for low cyanogenic cassava. Plant Genome 2023. [Google Scholar] [CrossRef] [PubMed]
- Robert, P.; Brault, C.; Rincent, R.; Segura, V. Phenomic Selection: A New and Efficient Alternative to Genomic Selection. In Genomic Prediction of Complex Traits. Methods in Molecular Biology; Ahmadi, N., Bartholomé, J., Eds.; Humana: New York, NY, USA, 2022; Volume 2467. [Google Scholar] [CrossRef]
- Siritunga, D.; Sayre, R.T. Generation of cyanogen-free transgenic cassava. Planta 2003, 217, 367–373. [Google Scholar] [CrossRef] [PubMed]
- Magambo, S.; Nabatanzi, A.; Alicai, T.; Wembabazi, E.; Oketcho, K.; Nakalembe, I.; Wagaba, H. Somatic embryo production and GFP genetic transformation in elite Ugandan cassava genotypes. Sci. Afr. 2024, 23, e02039. [Google Scholar] [CrossRef]
- Taylor, N.; Gaitán-Solís, E.; Moll, T.; Trauterman, B.; Jones, T.; Pranjal, A.; Trembley, C.; Abernathy, V.; Corbin, D.; Fauquet, C.M. A High-throughput Platform for the Production and Analysis of Transgenic Cassava (Manihot esculenta) Plants. Trop Plant Biol. 2012, 5, 127–139. [Google Scholar] [CrossRef]
- Ozimati, A.; Kawuki, R.; Esuma, W.; Kayondo, I.S.; Wolfe, M. Training Population Optimization for Prediction of Cassava Brown Streak Disease Resistance in West African Clones. G3 2018, 8, 3903–3913. [Google Scholar] [CrossRef]
- Buontempo, C.; Thépaut, J.N.; Bergeron, C. Copernicus Climate Change Service. IOP Conf. Ser. Earth Environ. Sci. 2020, 509, 10–12. [Google Scholar] [CrossRef]
- Brown, D.; de Sousa, K.; van Etten, J. ag5Tools: An R package for downloading and extracting agrometeorological data from the AgERA5 database. SoftwareX 2023, 21, 101267. [Google Scholar] [CrossRef]
- Boogaard, H.; Schubert, J.; De Wit, A.; Lazebnik, J.; Hutjes, R.; Van der Grijn, G. Agrometeorological Indicators from 1979 to Present Derived from Reanalysis. Copernicus Climate Change Service (C3S) Climate Data Store (CDS). 2020. Available online: https://cds.climate.copernicus.eu/cdsapp#!/dataset/10.24381/cds.6c68c9bb?tab=overview (accessed on 15 October 2023).
Disclaimer/Publisher’s Note: The statements, opinions and data contained in all publications are solely those of the individual author(s) and contributor(s) and not of MDPI and/or the editor(s). MDPI and/or the editor(s) disclaim responsibility for any injury to people or property resulting from any ideas, methods, instructions or products referred to in the content. |
© 2024 by the authors. Licensee MDPI, Basel, Switzerland. This article is an open access article distributed under the terms and conditions of the Creative Commons Attribution (CC BY) license (https://creativecommons.org/licenses/by/4.0/).



