Non-Destructive Near-Infrared Technology for Efficient Cannabinoid Analysis in Cannabis Inflorescences
Abstract
1. Introduction
2. Results and Discussion
2.1. Quantitative Analysis Using HPLC
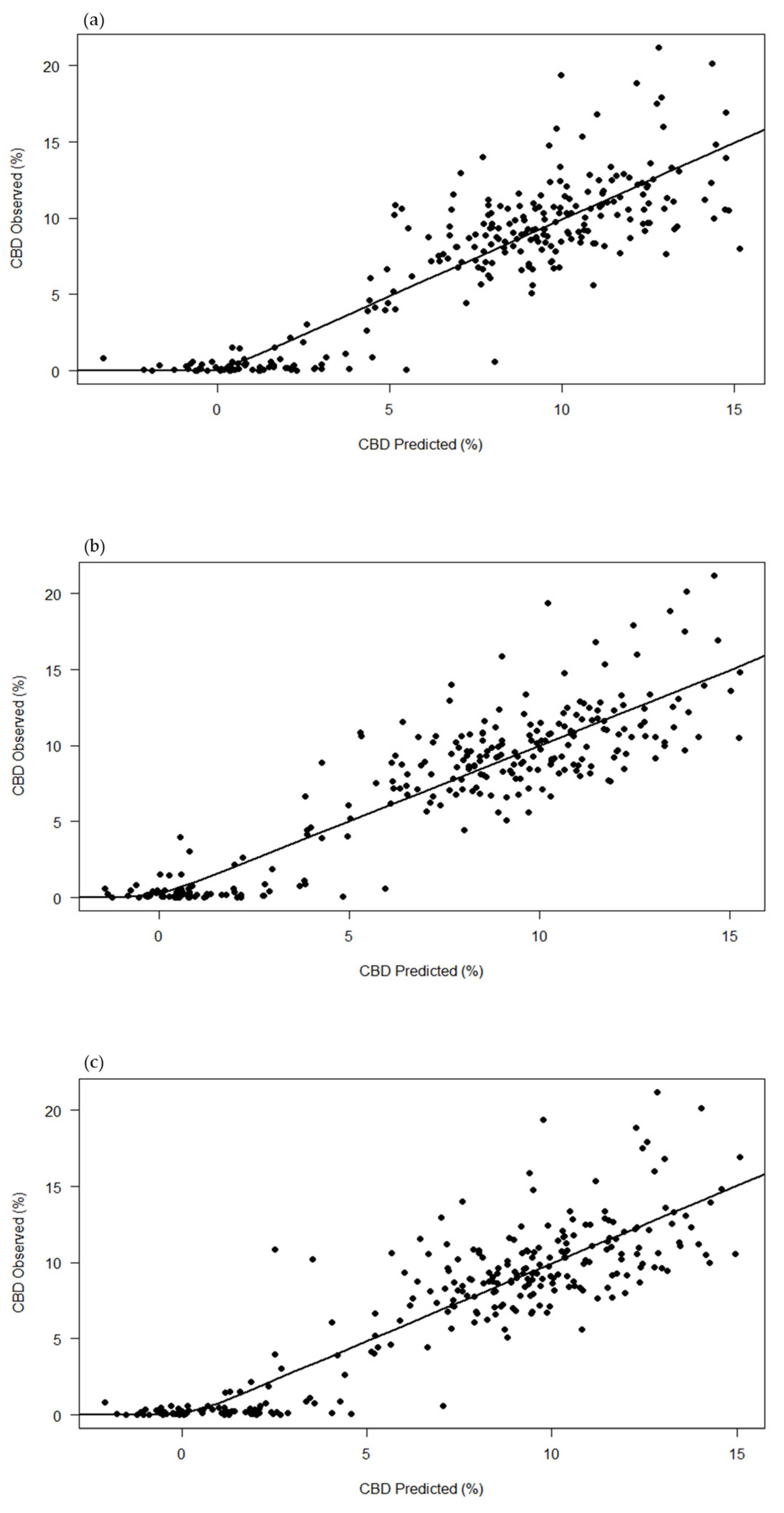
2.2. Pre-Processing Techniques for NIR Spectra
2.3. PLSR Modeling for the Prediction of Total CBD, Total THC, and Total CBG Concentrations
3. Materials and Methods
3.1. Sample Collection
3.2. Near-Infrared (NIR) Spectroscopy
3.3. High-Performance Liquid Chromatography (HPLC)
3.4. Pre-Processing Techniques
3.5. Partial Least-Squares Regression (PLSR)
Supplementary Materials
Author Contributions
Funding
Data Availability Statement
Conflicts of Interest
References
- Russo, E.B. History of Cannabis and Its Preparations in Saga, Science, and Sobriquet. Chem. Biodivers. 2007, 4, 1614–1648. [Google Scholar] [CrossRef]
- Hillig, K.W.; Mahlberg, P.G. A Chemotaxonomic Analysis of Cannabinoid Variation in Cannabis (Cannabaceae). Am. J. Bot. 2004, 91, 966–975. [Google Scholar] [CrossRef]
- Devinsky, O.; Cilio, M.R.; Cross, H.; Fernandez-Ruiz, J.; French, J.; Hill, C.; Katz, R.; Di Marzo, V.; Jutras-Aswad, D.; Notcutt, W.G.; et al. Cannabidiol: Pharmacology and Potential Therapeutic Role in Epilepsy and Other Neuropsychiatric Disorders. Epilepsia 2014, 55, 791–802. [Google Scholar] [CrossRef]
- Baron, E.P. Medicinal Properties of Cannabinoids, Terpenes, and Flavonoids in Cannabis, and Benefits in Migraine, Headache, and Pain: An Update on Current Evidence and Cannabis Science. Headache J. Head Face Pain 2018, 58, 1139–1186. [Google Scholar] [CrossRef] [PubMed]
- Pertwee, R.G. The Diverse CB1 and CB2 Receptor Pharmacology of Three Plant Cannabinoids: Δ9-Tetrahydrocannabinol, Cannabidiol and Δ9-Tetrahydrocannabivarin. Br. J. Pharmacol. 2008, 153, 199–215. [Google Scholar] [CrossRef] [PubMed]
- Shinjyo, N.; Di Marzo, V. The Effect of Cannabichromene on Adult Neural Stem/Progenitor Cells. Neurochem. Int. 2013, 63, 432–437. [Google Scholar] [CrossRef] [PubMed]
- Crispim Massuela, D.; Hartung, J.; Munz, S.; Erpenbach, F.; Graeff-Hönninger, S. Impact of Harvest Time and Pruning Technique on Total CBD Concentration and Yield of Medicinal Cannabis. Plants 2022, 11, 140. [Google Scholar] [CrossRef]
- Jarén, C.; Zambrana, P.C.; Pérez-Roncal, C.; López-Maestresalas, A.; Ábrego, A.; Arazuri, S. Potential of NIRS Technology for the Determination of Cannabinoid Content in Industrial Hemp (Cannabis sativa L.). Agronomy 2022, 12, 938. [Google Scholar] [CrossRef]
- Pacifici, R.; Marchei, E.; Salvatore, F.; Guandalini, L.; Busardò, F.P.; Pichini, S. Evaluation of Long-Term Stability of Cannabinoids in Standardized Preparations of Cannabis Flowering Tops and Cannabis Oil by Ultra-High-Performance Liquid Chromatography Tandem Mass Spectrometry. Clin. Chem. Lab. Med. CCLM 2018, 56, 94–96. [Google Scholar] [CrossRef] [PubMed]
- Su, K.; Maghirang, E.; Tan, J.W.; Yoon, J.Y.; Armstrong, P.; Kachroo, P.; Hildebrand, D. NIR Spectroscopy for Rapid Measurement of Moisture and Cannabinoid Contents of Industrial Hemp (Cannabis sativa). Ind. Crops Prod. 2022, 184, 115007. [Google Scholar] [CrossRef]
- Borille, B.T.; Marcelo, M.C.A.; Ortiz, R.S.; Mariotti, K.d.C.; Ferrão, M.F.; Limberger, R.P. Near Infrared Spectroscopy Combined with Chemometrics for Growth Stage Classification of Cannabis Cultivated in a Greenhouse from Seized Seeds. Spectrochim. Acta Part A Mol. Biomol. Spectrosc. 2017, 173, 318–323. [Google Scholar] [CrossRef]
- Tran, J.; Vassiliadis, S.; Elkins, A.C.; Cogan, N.O.I.; Rochfort, S.J. Developing Prediction Models Using Near-Infrared Spectroscopy to Quantify Cannabinoid Content in Cannabis sativa. Sensors 2023, 23, 2607. [Google Scholar] [CrossRef]
- Deidda, R.; Coppey, F.; Damergi, D.; Schelling, C.; Coïc, L.; Veuthey, J.-L.; Sacré, P.-Y.; De Bleye, C.; Hubert, P.; Esseiva, P.; et al. New Perspective for the In-Field Analysis of Cannabis Samples Using Handheld near-Infrared Spectroscopy: A Case Study Focusing on the Determination of Δ9-Tetrahydrocannabinol. J. Pharm. Biomed. Anal. 2021, 202, 114150. [Google Scholar] [CrossRef]
- Birenboim, M.; Kengisbuch, D.; Chalupowicz, D.; Maurer, D.; Barel, S.; Chen, Y.; Fallik, E.; Paz-Kagan, T.; Shimshoni, J.A. Use of Near-Infrared Spectroscopy for the Classification of Medicinal Cannabis Cultivars and the Prediction of Their Cannabinoid and Terpene Contents. Phytochemistry 2022, 204, 113445. [Google Scholar] [CrossRef]
- Yang, J.; Lou, X.; Yang, H.; Yang, H.; Liu, C.; Wu, J.; Bin, J. Improved Calibration Transfer between Near-Infrared (NIR) Spectrometers Using Canonical Correlation Analysis. Anal. Lett. 2019, 52, 2188–2202. [Google Scholar] [CrossRef]
- Gloerfelt-Tarp, F.; Hewavitharana, A.K.; Mieog, J.; Palmer, W.M.; Fraser, F.; Ansari, O.; Kretzschmar, T. Using a Global Diversity Panel of Cannabis sativa L. to Develop a near InfraRed-Based Chemometric Application for Cannabinoid Quantification. Sci. Rep. 2023, 13, 2253. [Google Scholar] [CrossRef] [PubMed]
- Chen, H.; Song, Q.; Tang, G.; Feng, Q.; Lin, L. The Combined Optimization of Savitzky-Golay Smoothing and Multiplicative Scatter Correction for FT-NIR PLS Models. ISRN Spectrosc. 2013, 2013, 642190. [Google Scholar] [CrossRef]
- Bi, Y.; Yuan, K.; Xiao, W.; Wu, J.; Shi, C.; Xia, J.; Chu, G.; Zhang, G.; Zhou, G. A Local Pre-Processing Method for near-Infrared Spectra, Combined with Spectral Segmentation and Standard Normal Variate Transformation. Anal. Chim. Acta 2016, 909, 30–40. [Google Scholar] [CrossRef] [PubMed]
- Zheng, K.-Y.; Zhang, X.; Tong, P.-J.; Yao, Y.; Du, Y.-P. Pretreating near Infrared Spectra with Fractional Order Savitzky–Golay Differentiation (FOSGD). Chin. Chem. Lett. 2015, 26, 293–296. [Google Scholar] [CrossRef]
- Risoluti, R.; Gullifa, G.; Battistini, A.; Materazzi, S. Development of a “Single-Click” Analytical Platform for the Detection of Cannabinoids in Hemp Seed Oil. RSC Adv. 2020, 10, 43394–43399. [Google Scholar] [CrossRef] [PubMed]
- Yao, S.; Ball, C.; Miyagusuku-Cruzado, G.; Giusti, M.M.; Aykas, D.P.; Rodriguez-Saona, L.E. A Novel Handheld FT-NIR Spectroscopic Approach for Real-Time Screening of Major Cannabinoids Content in Hemp. Talanta 2022, 247, 123559. [Google Scholar] [CrossRef]
- Risoluti, R.; Gullifa, G.; Battistini, A.; Materazzi, S. Monitoring of Cannabinoids in Hemp Flours by MicroNIR/Chemometrics. Talanta 2020, 211, 120672. [Google Scholar] [CrossRef] [PubMed]
- Geskovski, N.; Stefkov, G.; Gigopulu, O.; Stefov, S.; Huck, C.W.; Makreski, P. Mid-Infrared Spectroscopy as Process Analytical Technology Tool for Estimation of THC and CBD Content in Cannabis Flowers and Extracts. Spectrochim. Acta Part A Mol. Biomol. Spectrosc. 2021, 251, 119422. [Google Scholar] [CrossRef] [PubMed]
- Shenk, J.S.; Westerhaus, M.O. The Application of near Infrared Reflectance Spectroscopy (NIRS) to Forage Analysis. In Forage Quality, Evaluation, and Utilization; John Wiley & Sons, Ltd.: Hoboken, NJ, USA, 1994; pp. 406–449. ISBN 978-0-89118-579-6. [Google Scholar]
- Ng, W.; Minasny, B.; Mendes, W.d.S.; Demattê, J.A.M. The Influence of Training Sample Size on the Accuracy of Deep Learning Models for the Prediction of Soil Properties with Near-Infrared Spectroscopy Data. SOIL 2020, 6, 565–578. [Google Scholar] [CrossRef]
- Schoot, M.; Kapper, C.; van Kollenburg, G.H.; Postma, G.J.; van Kessel, G.; Buydens, L.M.C.; Jansen, J.J. Investigating the Need for Preprocessing of Near-Infrared Spectroscopic Data as a Function of Sample Size. Chemom. Intell. Lab. Syst. 2020, 204, 104105. [Google Scholar] [CrossRef]
- Gonçalves, T.R.; Wentzell, P.D.; Matsushita, M.; Valderrama, P. Exploring the Scores: Procrustes Analysis for Comprehensive Exploration of Multivariate Data. Chemom. Intell. Lab. Syst. 2023, 238, 104841. [Google Scholar] [CrossRef]
- Reichel, P.; Munz, S.; Hartung, J.; Kotiranta, S.; Graeff-Hönninger, S. Impacts of Different Light Spectra on CBD, CBDA and Terpene Concentrations in Relation to the Flower Positions of Different Cannabis sativa L. Strains. Plants 2022, 11, 2695. [Google Scholar] [CrossRef]
- Sunoj Valiaparambil Sebastian, J.; Dong, X.; Trostle, C.; Pham, H.; Joshi, M.V.; Jessup, R.W.; Burow, M.D.; Provin, T.L. Hemp Agronomy: Current Advances, Questions, Challenges, and Opportunities. Agronomy 2023, 13, 475. [Google Scholar] [CrossRef]
- Wold, S.; Sjöström, M.; Eriksson, L. PLS-Regression: A Basic Tool of Chemometrics. Chemom. Intell. Lab. Syst. 2001, 58, 109–130. [Google Scholar] [CrossRef]
- Mevik, B.-H.; Wehrens, R. The Pls Package: Principal Component and Partial Least Squares Regression in R. J. Stat. Softw. 2007, 18, 1–23. [Google Scholar] [CrossRef]
- Materazzi, S.; Peluso, G.; Ripani, L.; Risoluti, R. High-Throughput Prediction of AKB48 in Emerging Illicit Products by NIR Spectroscopy and Chemometrics. Microchem. J. 2017, 134, 277–283. [Google Scholar] [CrossRef]



| Cannabinoid Concentration (%) | |||||
|---|---|---|---|---|---|
| Cannabinoid | n | Minimum | Maximum | Mean | SD |
| Total CBD | 890 | 0.0 | 22.16 | 7.40 | 5.12 |
| Total THC | 890 | 0.0 | 16.33 | 2.49 | 3.88 |
| Total CBG | 890 | 0.0 | 13.76 | 0.66 | 1.34 |
| Total CBD | Total THC | Total CBG | |||||||
|---|---|---|---|---|---|---|---|---|---|
| Evaluation Criteria | Raw | SNV | SG Smoothing | Raw | SNV | SG Smoothing | Raw | SNV | SG Smoothing |
| RMSECV | 2.399 | 2.282 * | 2.405 | 1.583 | 1.524 * | 1.557 | 0.584 | 0.627 | 0.577 * |
| R2CV | 0.779 | 0.800 * | 0.778 | 0.832 | 0.844 * | 0.838 | 0.809 | 0.780 | 0.813 * |
| RMSEP | 2.379 | 2.228 * | 2.346 | 1.651 | 1.498 * | 1.621 | 0.623 * | 0.687 | 0.627 |
| R2P | 0.764 | 0.792 * | 0.769 | 0.812 | 0.847 * | 0.818 | 0.806 * | 0.763 | 0.804 |
| RPD | 2.055 | 2.195 * | 2.084 | 2.306 | 2.555 * | 2.345 | 2.267 | 2.057 | 2.256 |
Disclaimer/Publisher’s Note: The statements, opinions and data contained in all publications are solely those of the individual author(s) and contributor(s) and not of MDPI and/or the editor(s). MDPI and/or the editor(s) disclaim responsibility for any injury to people or property resulting from any ideas, methods, instructions or products referred to in the content. |
© 2024 by the authors. Licensee MDPI, Basel, Switzerland. This article is an open access article distributed under the terms and conditions of the Creative Commons Attribution (CC BY) license (https://creativecommons.org/licenses/by/4.0/).
Share and Cite
Rafiq, H.; Hartung, J.; Schober, T.; Vogt, M.M.; Carrera, D.Á.; Ruckle, M.; Graeff-Hönninger, S. Non-Destructive Near-Infrared Technology for Efficient Cannabinoid Analysis in Cannabis Inflorescences. Plants 2024, 13, 833. https://doi.org/10.3390/plants13060833
Rafiq H, Hartung J, Schober T, Vogt MM, Carrera DÁ, Ruckle M, Graeff-Hönninger S. Non-Destructive Near-Infrared Technology for Efficient Cannabinoid Analysis in Cannabis Inflorescences. Plants. 2024; 13(6):833. https://doi.org/10.3390/plants13060833
Chicago/Turabian StyleRafiq, Hamza, Jens Hartung, Torsten Schober, Maximilian M. Vogt, Dániel Árpád Carrera, Michael Ruckle, and Simone Graeff-Hönninger. 2024. "Non-Destructive Near-Infrared Technology for Efficient Cannabinoid Analysis in Cannabis Inflorescences" Plants 13, no. 6: 833. https://doi.org/10.3390/plants13060833
APA StyleRafiq, H., Hartung, J., Schober, T., Vogt, M. M., Carrera, D. Á., Ruckle, M., & Graeff-Hönninger, S. (2024). Non-Destructive Near-Infrared Technology for Efficient Cannabinoid Analysis in Cannabis Inflorescences. Plants, 13(6), 833. https://doi.org/10.3390/plants13060833

