Genome-Wide Identification and Abiotic Stress Expression Analysis of CKX and IPT Family Genes in Cucumber (Cucumis sativus L.)
Abstract
1. Introduction
2. Experimental Materials and Methods
2.1. Plant Material and Growing Conditions
2.2. Identification and Physicochemical Properties of CsCKX and CsIPT Genes in the Cucumber Genome
2.3. Protein Structure Analysis of CsCKX and CsIPT
2.4. Chromosome Localization and Collinearity Analysis
2.5. Phylogenetic Relationship Analysis
2.6. Analysis of Conserved Motifs and Gene Structure of Members of the CsCKX and CsIPT Families
2.7. Analysis of Cis-Acting Elements
2.8. Expression Analysis of Gene Expression Levels under Multiple Stresses in Different Tissues and Organs
2.9. RNA Extraction and Real-Time Fluorescence Quantitative qPCR Analysis
2.10. Data Analysis
3. Results
3.1. Identification of CsCKX and CsIPT Genes in the Cucumber Genome and Characterization of Their Physicochemical Properties
3.2. Protein Structure Analysis of CsCKX and CsIPT
3.3. Chromosomal Placement and Collinearity Analysis of CsCKXs and CsIPTs
3.4. Analysis of Phylogenetic Relationships
3.5. Conserved Motif and Gene Structure Analyses of Cucumber CsCKX and CsIPT Family Members
3.6. Analysis of Cucumber CsCKX and CsIPT Family Members to Predict Their Cis-Acting Elements
3.7. Analysis of CsCKX and CsIPT Gene Expression in Different Tissues and Organs of Cucumber
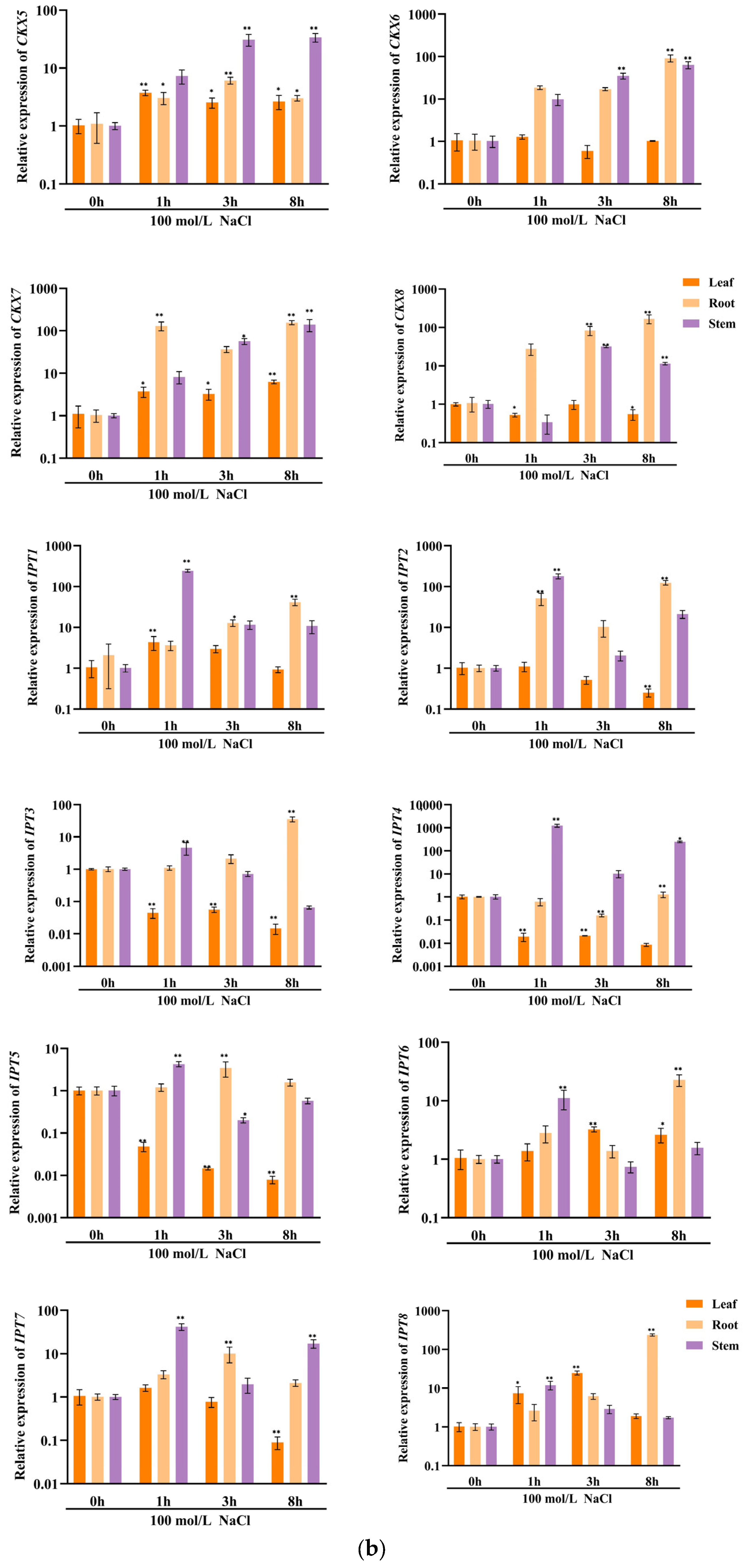
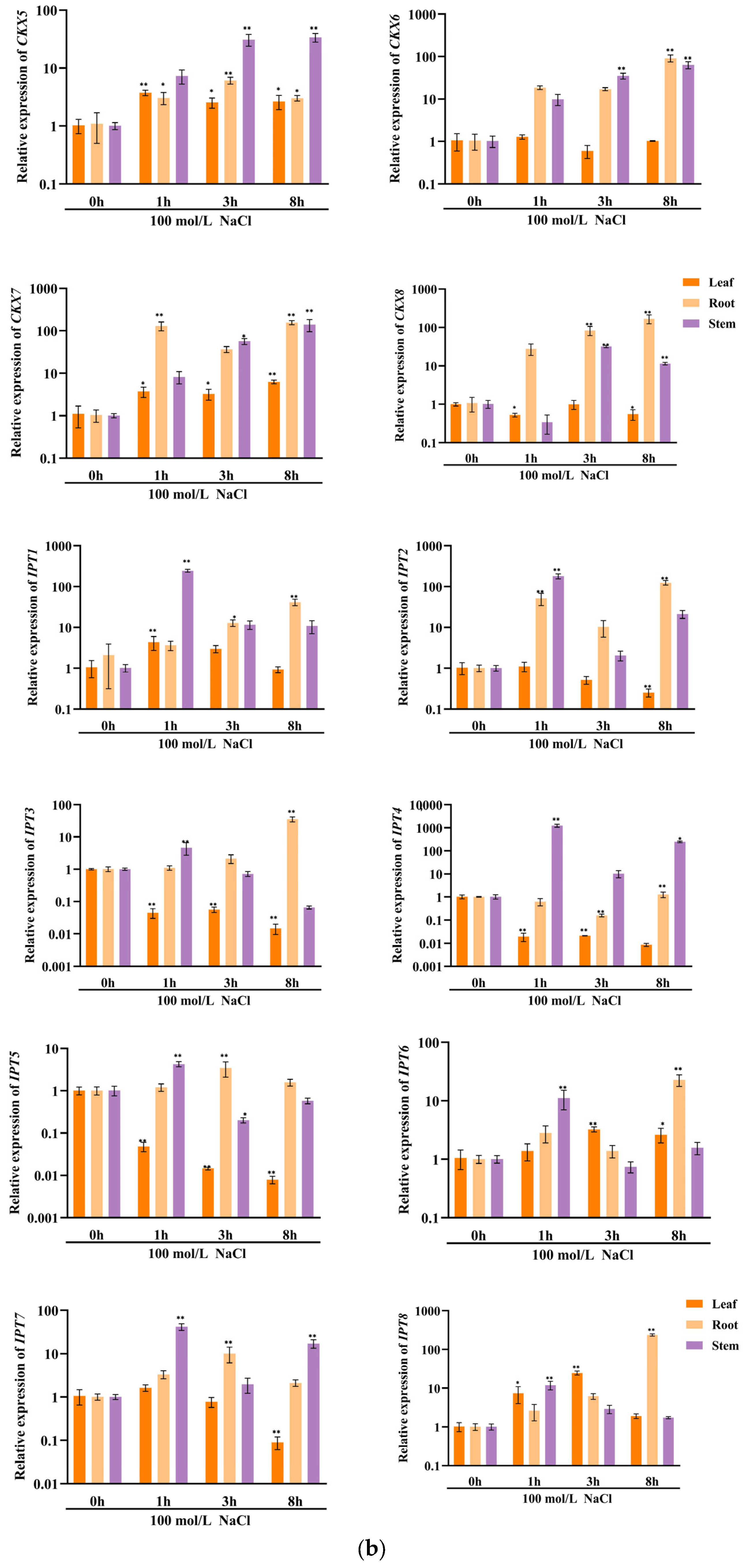
3.8. Expression Pattern of CKX/IPT Genes in Cucumber under Abiotic Stresses
4. Discussion
5. Conclusions
Author Contributions
Funding
Data Availability Statement
Conflicts of Interest
References
- Hai, N.N.; Chuong, N.N.; Tu, N.H.C.; Kisiala, A.; Hoang, X.L.T.; Thao, N.P. Role and Regulation of Cytokinins in Plant Response to Drought Stress. Plants 2020, 9, 422. [Google Scholar] [CrossRef]
- Peleg, Z.; Blumwald, E. Hormone balance and abiotic stress tolerance in crop plants. Curr. Opin. Plant Biol. 2011, 14, 290–295. [Google Scholar] [CrossRef]
- Verslues, P.E. ABA and cytokinins: Challenge and opportunity for plant stress research. Plant Mol. Biol. 2016, 91, 629–640. [Google Scholar] [CrossRef] [PubMed]
- Yoshihisa, I.; David, Z.; Ivona, K.; Michaela, K.; Wolfram, G.B.; Mitsuhiro, A. Interpreting Cytokinin Action as Anterograde Signaling and Beyond. Front. Plant Sci. 2021, 12, 641257. [Google Scholar]
- Katharina, H.; Alberto, M.A.; Lluis, F.; Lucia, L.E. The multifaceted role of cell cycle regulators in the coordination of growth and metabolism. FEBS J. 2020, 288, 3813–3833. [Google Scholar]
- Besnard, F.; Refahi, Y.; Morin, V.; Marteaux, B.; Brunoud, G.; Chambrier, P.; Rozier, F.; Mirabet, V.; Legrand, J.; Lainé, S. Cytokinin signalling inhibitory fields provide robustness to phyllotaxis. Nature 2014, 505, 417–421. [Google Scholar] [CrossRef] [PubMed]
- Wang, Y.P.; Li, J.Z.; Yang, L.; Chan, Z.L. Melatonin Antagonizes Cytokinin Responses to Stimulate Root Growth in Arabidopsis. J. Plant Growth Regul. 2022, 42, 1833–1845. [Google Scholar] [CrossRef]
- Cheng, C.Y.; Mathews, D.E.; Schaller, G.E.; Kieber, J.J. Cytokinin-dependent specification of the functional megaspore in the Arabidopsis female gametophyte. Plant J. 2013, 73, 929–940. [Google Scholar] [CrossRef] [PubMed]
- Schaller, G.E.; Bishopp, A.; Kieber, J.J. The yin-yang of hormones: Cytokinin and auxin interactions in plant development. Plant Cell 2015, 27, 44–63. [Google Scholar] [CrossRef]
- Kieber, J.J.; Schaller, G.E. Cytokinin signaling in plant development. Development 2018, 145, dev149344. [Google Scholar] [CrossRef]
- Dello, I.R.; Galinha, C.; Fletcher, A.G.; Grigg, S.P.; Molnar, A.; Willemsen, V.; Scheres, B.; Sabatini, S.; Baulcombe, D.; Maini, P.K.; et al. A PHABULOSA/cytokinin feedback loop controls root growth in Arabidopsis. Curr. Biol. 2012, 22, 1699–1704. [Google Scholar] [CrossRef] [PubMed]
- Nguyen, H.N.; Nguyen, T.Q.; Kisiala, A.B.; Emery, R.J.N. Beyond transport: Cytokinin ribosides are translocated and active in regulating the development and environmental responses of plants. Planta 2021, 254, 45. [Google Scholar] [CrossRef] [PubMed]
- Werner, T.; Nehnevajova, E.; Köllmer, I.; Novák, O.; Strnad, M.; Krämer, U.; Schmülling, T. Root-Specific Reduction of Cytokin in Causes Enhanced Root Growth, Drought Tolerance, and Leaf Mineral Enrichment in Arabidopsis and Tobacco. Plant Cell 2010, 22, 3905–3920. [Google Scholar] [CrossRef] [PubMed]
- Anthony, B.; Hanna, H.; Sedeer, E.S.; Dolf, W.; Ben, S.; Jiří, F.; Eva, B.; Ari, P.M.; Ykä, H. A mutually inhibitory interaction between auxin and cytokinin specifies vascular pattern in roots. Curr. Biol. 2011, 21, 917–926. [Google Scholar]
- Villaécija-Aguilar, J.A.; Hamon-Josse, M.; Carbonnel, S.; Kretschmar, A.; Schmidt, C.; Dawid, C.; Bennett, T.; Gutjahr, C. SMAX1/SMXL2 regulate root and root hair development downstream of KAI2-mediated signalling in Arabidopsis. PLoS Genet. 2019, 15, e1008327. [Google Scholar] [CrossRef]
- Li, L.J.; Zheng, Q.F.; Jiang, W.; Xiao, N.Y.; Zeng, F.R.; Chen, G.; Mak, M.; Chen, Z.H.; Deng, F.L. Molecular Regulation and Evolution of Cytokinin Signaling in Plant Abiotic Stresses. Plant Cell Physiol. 2022, 63, 1787–1805. [Google Scholar] [CrossRef] [PubMed]
- Ding, Q.Q.; Wang, F.; Xue, J.; Yang, X.X.; Fan, J.M.; Chen, H.; Li, Y.; Wu, H. Identification and Expression Analysis of Hormone Biosynthetic and Metabolism Genes in the 2OGD Family for Identifying Genes That May Be Involved in Tomato Fruit Ripening. Int. J. Mol. Sci. 2020, 21, 5344. [Google Scholar] [CrossRef]
- Peng, C.; Pan, Q.W.; Xue, F.; Xu, S.; Gu, T.T. DNA methylation and histone modification patterns around Agrobacterium T-DNA integrations in woodland strawberry Fragaria vesca. Sci. Hortic. 2023, 326, 112760. [Google Scholar] [CrossRef]
- Frebort, I.; Kowalska, M.; Hluska, T.; Frebortova, J.; Galuszka, P. Evolution of cytokinin biosyntiiesis and degradation. J. Exp. Bot. 2011, 62, 2431–2452. [Google Scholar] [CrossRef] [PubMed]
- Zwack, P.J.; Rashotte, A.M. Interactions betten cytokinin signalling and abiotic stress responses. J. Exp. Bot. 2015, 66, 4863–4871. [Google Scholar] [CrossRef] [PubMed]
- Nishiyama, R.; Watanabe, Y.; Fujita, Y.; Le, D.T.; Kojima, M.; Werner, T.; Vankova, R.; Yamaguchi-Shinozaki, K.; Kakimoto, T.; Sakakibara, H.; et al. Analysis of cytokinin mutants and regulation of cytokinin metabolic genes reveals important regulatory roles of cytokinins in drought, salt and abscisic acid responses, and abscisic acid biosynthesis. Plant Cell 2011, 23, 2169–2183. [Google Scholar] [CrossRef]
- Jutta, L.M. Auxins in the right space and time regulate pea fruit development. J. Exp. Bot. 2022, 73, 3831–3835. [Google Scholar]
- Zhao, Y.; Chan, Z.L.; Gao, J.H.; Xing, L.; Cao, M.J.; Yu, C.M.; Hu, Y.L.; You, J.; Shi, H.T.; Zhu, Y.F.; et al. ABA receptor PYL9 promotes drought resistance and leaf senescence. Plant Biol. 2016, 113, 1949–1954. [Google Scholar] [CrossRef]
- Peleg, Z.; Reguera, M.; Tumimbang, E.; Walia, H.; Blumwald, E. Cytokinin-mediated source/sink modifications improve drought tolerance and increase grain yield in rice under water-stress. Plant Biotechnol. J. 2011, 9, 747–758. [Google Scholar] [CrossRef]
- Qin, H.; Gu, Q.; Zhang, J.L.; Sun, L.; Kuppu, S.; Zhang, Y.Z.; Burow, M.; Payton, P.; Blumwald, E.; Zhang, H. Regulated Expression of an isopentenyltransferase gene (IP7) in peanutsignificantly improves drought tolerance and increases yield under field conditions. Plant Cell Physiol. 2011, 52, 1904–1914. [Google Scholar] [CrossRef] [PubMed]
- Belintani, N.G.; Guerzoni, J.T.; Moreira, R.M.P.; Vieira, L.G.E. Improving low-temperature tolerance in sugarcane by expressing the ipt gene under a cold inducible promoter. Biol. Plant. 2012, 56, 5671–5677. [Google Scholar] [CrossRef]
- Mackova, H.; Hronkova, M.; Dobra, J.; Tureckova, V.; Novak, O.; Lubovska, Z.; Motyka, V.H.; Hajek, T.; Prasil, L.T.; Gaudinova, A.; et al. Enhanced drought and heat stress tolerance of tobacco plants with ectopically enhanced cytokinin oxidase/dehydrogenase gene expression. J. Exp. Bot. 2013, 64, 2805–2815. [Google Scholar] [CrossRef] [PubMed]
- Penev, P.I.; McCann, H.M.; Meade, C.D.; Alvarez, C.C.; Maddala, A.; Bernier, C.R.; Chivukula, V.L.; Ahmad, M.; Gulen, B.; Sharma, A.; et al. ProteoVision: Web server for advanced visualization of ribosomal proteins. Nucleic Acids Res. 2021, 49, W578–W588. [Google Scholar] [CrossRef] [PubMed]
- Takei, K.; Sakakibara, H.; Sugiyama, T. Identification of genes encoding adenylate isopentenyltransferase, a cytokinin biosynthesis enzyme, in Arabidopsis thaliana. J. Biol. Chem. 2001, 276, 26405–26410. [Google Scholar] [CrossRef]
- Werner, T.; Motyka, V.; Laucou, V.; Smets, R.; Van-Onckelen, H.; Schmulling, T. Cytokinin-deficient transgenic Arabidopsis plants show multiple developmental alterations indicating opposite functions of cytokinins in the regulation of shoot and root meristem activity. Plant Cell 2003, 15, 2532–2550. [Google Scholar] [CrossRef] [PubMed]
- Mao, Z.C.; Yu, Q.J.; Zhen, W.; Guo, J.; Hu, Y.L.; Gao, Y.; Lin, Z.P. Expression of ipt gene driven by tomato fruit specific promoter and its effects on fruit development of tomato. Chin. Sci. Bull. 2002, 47, 928–933. [Google Scholar] [CrossRef]
- Zhang, W.W.; Pan, J.S.; Liu, C.Z.; He, H.L.; Cai, R. Cloning and sequence analysis of ispentenyltransferase gene in cucumber. J. Shanghai Jiaotong Univ. Sci. 2010, 28, 487–491. [Google Scholar]
- Huang, S.W.; Li, R.Q.; Zhang, Z.H.; Li, L.; Gu, X.F.; Fan, W.; Lucas, W.J.; Wang, X.W.; Xie, B.Y.; Ni, P.X.; et al. The genome of the cucumber, Cucumis sativus L. Nat. Genet. 2009, 41, 1275–1281. [Google Scholar] [CrossRef] [PubMed]
- Dash, P.K.; Rai, R. Green revolution to grain revolution: Florigen in the frontiers. J. Biotechnol. 2022, 343, 38–46. [Google Scholar] [CrossRef] [PubMed]
- Durán-Medina, Y.; Díaz-Ramírez, D.; Marsch-Martínez, N. Cytokinins on the Move. Front. Plant Sci. 2017, 8, 146. [Google Scholar] [CrossRef] [PubMed]
- Nguyen, H.N.; Kambhampati, S.; Kisiala, A.; Seegobin, M.; Emery, R. The soybean (Glycine max L.) cytokinin oxidase/dehydrogenase multigene family; Identification of natural variations for altered cytokinin content and seed yield. Plant Direct. 2021, 5, e308. [Google Scholar] [CrossRef]
- Wang, C.; Wang, H.; Zhu, H.; Ji, W.; Hou, Y.; Meng, Y.; Wen, J.; Mysore, K.S.; Li, X.; Lin, H. Genome-wide identification and characterization of cytokinin oxidase/dehydrogenase family genes in Medicago truncatula. J. Plant Physiol. 2021, 256, 153308. [Google Scholar] [CrossRef] [PubMed]
- Galuszka, P.; Frebortova, J.; Werner, T.; Yamada, M.; Strnad, M.; Schmulling, T.; Frebort, I. Cytokinin oxidase/dehydrogenase genes in barley and wheat: Cloning and heterologous expression. Eur. J. Biochem. 2004, 271, 3990–4002. [Google Scholar] [CrossRef]
- Mi, X.; Wang, X.; Wu, H.; Gan, L.; Ding, J.; Li, Y. Characterization and expression analysis of cytokinin biosynthesis genes in Fragaria vesca. Plant Growth Regul. 2017, 82, 139–149. [Google Scholar] [CrossRef]
- Brugiere, N.; Humbert, S.; Rizzo, N.; Bohn, J.; Habben, J.E. A member of the maize isopentenyl transferase gene family, Zea mays isopentenyl transferase 2 (ZmIPT2), encodes a cytokinin biosynthetic enzyme expressed during kernel development. Cytokinin biosynthesis in maize. Plant Mol. Biol. 2008, 67, 215–229. [Google Scholar] [CrossRef]
- Gu, R.; Fu, J.; Guo, S.; Duan, F.; Wang, Z.; Mi, G.; Yuan, L. Comparative expression and phylogenetic analysis of maize cytokinin dehydrogenase/oxidase (CKX) gene family. J. Plant Growth Regul. 2010, 29, 428–440. [Google Scholar] [CrossRef]
- Liu, Z.; Lv, Y.; Zhang, M.; Liu, Y.; Kong, L.; Zou, M.; Lu, G.; Cao, J.; Yu, X. Identification, expression, and comparative genomic analysis of the IPT and CKX gene families in Chinese cabbage (Brassica rapa ssp. pekinensis). BMC Genom. 2013, 14, 594. [Google Scholar] [CrossRef]
- Zhang, X.; Liu, C.J. Multifaceted regulations of gateway enzyme phenylalanine ammonia-lyase in the biosynthesis of phenylpropanoids. Mol. Plant 2015, 8, 17–27. [Google Scholar] [CrossRef]
- Hirose, N.; Takei, K.; Kuroha, T.; Kamada-Nobusada, T.; Hayashi, H.; Sakakibara, H. Regulation of cytokinin biosynthesis, compartmentalization and translocation. J. Exp. Bot. 2008, 59, 75–83. [Google Scholar] [CrossRef] [PubMed]
- Huang, S.; Cerny, R.E.; Qi, Y.; Bhat, D.; Aydt, C.M.; Hanson, D.D.; Malloy, K.P.; Ness, L.A. Transgenic studies on the involvement of cytokinin and gibberellin in male development. Plant Physiol. 2003, 131, 1270–1282. [Google Scholar] [CrossRef] [PubMed]
- Shani, E.; Ben-Gera, H.; Shleizer-Burko, S.; Burko, Y.; Weiss, D.; Ori, N. Cytokinin regulates compound leaf development in tomato. Plant Cell 2010, 22, 3206–3217. [Google Scholar] [CrossRef] [PubMed]












| Gene | Primer | |
|---|---|---|
| CsTua | F-CTCTCAACCCATTCTCTCTTGG | R-CGGTTGAGGTTCGAGTAGTTAG |
| CsIPT1 | F-ATGCCTCCGCCGTCATCTCC | R-ACACCCGATTCCTAGACCCACAG |
| CsIPT2 | F-TGAAACTGAAAGAGGCGGGTTGG | R-TTTCCCAAATCTCCTTCCTGTTCCG |
| CsIPT3 | F-CCACCAGGAAGACTAACCACCAAC | R-GGACCGATCACGATCACAACCTTC |
| CsIPT4 | F-AATCGTCGTCGGAGGATCAAACAAC | R-GCAGAGCAACATCGGTCCACAG |
| CsIPT5 | F-TGTAGAGGAGGAGCCTGAGTTTCG | R-CCGACACGAACGAGTTGAGGATG |
| CsIPT6 | F-TGGCTGCTGGATTGCTTGATGAG | R-AACTCCCGAACACCAATAGCTTGAC |
| CsIPT7 | F-TCGATGCCACCGGAGTCATTTTG | R-GGCTACCGTCGCAGAGGAATTG |
| CsIPT8 | F-TGGCCGTGTTCCGATAGTTTGTG | R-CTTCAGCAGCAATGTCTGGAGAGG |
| CsCKX1 | F-TTCCTGCGGCAATACTACATCCATC | R-GTGAGTTGTGAACGAGGTCCCATC |
| CsCKX2 | F-GATTGCTGAGTGGGCTTGGGTATG | R-CTTCCTCTTCCGCACGCTTCAC |
| CsCKX3 | F-TGGCATTAGTGGGCAGGCTTTC | R-TCTCTGAACAGACAACCACCTCTCC |
| CsCKX4 | F-TTCTCTTCAAGGTCAGGCACAAGC | R-ATCCACCCATGAAAGATTCCCACTG |
| CsCKX5 | F-ACCCTGCCTCTGCCGATGAC | R-CCGACACCGTAAACCCACCATTC |
| CsCKX6 | F-CATATAGCCGCAAGAGGACAAGGAC | R-CCACCGCCTACACGACACAAC |
| CsCKX7 | F-CGTAATCTCACTTCTGGCGTCTTCC | R-AACACCTCCTCGTCGGGTATCAC |
| CsCKX8 | F-TCTCCTCTGCTGCTACCGACTTC | R-TTGAAAGGAACAGAACGGGAGTTGG |
| Locus Name | Gene Name | Protein Name | Number of Amino Acids | Molecular Weight/kD | Isoelectric Point/pI | Instability Index | Aliphatic Index | Grand Average of Hydropathicity | Subcellular Localization |
|---|---|---|---|---|---|---|---|---|---|
| CsaV3_5G006200.1 | CsCKX1 | CsCKX1 | 547 | 61.96 | 9.10 | 37.48 | 93.73 | −0.090 | Vacuole |
| CsaV3_4G036030.1 | CsCKX2 | CsCKX2 | 518 | 57.37 | 5.27 | 33.75 | 96.12 | −0.077 | Extracellular |
| CsaV3_4G027750.1 | CsCKX3 | CsCKX3 | 699 | 79.32 | 8.52 | 34.02 | 96.38 | 0.027 | Vacuole |
| CsaV3_3G040790.1 | CsCKX4 | CsCKX4 | 547 | 62.00 | 7.05 | 36.88 | 91.26 | −0.214 | Vacuole |
| CsaV3_2G029070.1 | CsCKX5 | CsCKX5 | 545 | 60.77 | 5.87 | 33.29 | 89.41 | −0.241 | Extracellular |
| CsaV3_2G001450.1 | CsCKX6 | CsCKX6 | 526 | 59.92 | 8.10 | 42.00 | 84.24 | −0.312 | Extracellular |
| CsaV3_1G040510.1 | CsCKX7 | CsCKX7 | 518 | 58.06 | 6.24 | 35.17 | 91.04 | −0.036 | Extracellular |
| CsaV3_1G040500.1 | CsCKX8 | CsCKX8 | 516 | 58.15 | 6.21 | 35.84 | 88.20 | −0.231 | Extracellular |
| CsaV3_6G003310.1 | CsIPT1 | CsIPT1 | 320 | 35.80 | 9.00 | 49.55 | 92.62 | −0.163 | Chloroplast |
| CsaV3_5G034390.1 | CsIPT2 | CsIPT2 | 350 | 39.38 | 8.74 | 47.48 | 86.37 | −0.278 | Mitochondrion |
| CsaV3_7G028650.1 | CsIPT3 | CsIPT3 | 330 | 37.05 | 8.91 | 36.40 | 90.73 | −0.204 | Chloroplast |
| CsaV3_7G023250.1 | CsIPT4 | CsIPT4 | 323 | 36.30 | 5.71 | 33.53 | 89.04 | −0.352 | Mitochondrion |
| CsaV3_6G018570.1 | CsIPT5 | CsIPT5 | 326 | 36.85 | 8.60 | 37.94 | 92.36 | −0.222 | Mitochondrion |
| CsaV3_1G014570.1 | CsIPT6 | CsIPT6 | 474 | 53.14 | 6.44 | 37.58 | 85.93 | −0.380 | Chloroplast |
| CsaV3_3G013770.1 | CsIPT7 | CsIPT7 | 324 | 36.51 | 6.56 | 39.09 | 95.96 | −0.219 | Chloroplast, mitochondrion, peroxisome |
| CsaV3_4G008350.1 | CsIPT8 | CsIPT8 | 390 | 44.66 | 6.05 | 53.17 | 71.08 | −0.564 | Chloroplast, cytoplasm, mitochondrion, peroxisome |
| Protein Name | Sequence Length | α-Helix/% | β-Turn/% | Random Coil/% | Extended Strand/% |
|---|---|---|---|---|---|
| CsCKX1 | 547 | 34.55 | 7.13 | 40.77 | 17.55 |
| CsCKX2 | 518 | 33.78 | 5.41 | 41.89 | 18.92 |
| CsCKX3 | 699 | 34.33 | 6.29 | 40.92 | 18.45 |
| CsCKX4 | 547 | 31.44 | 4.94 | 45.52 | 18.10 |
| CsCKX5 | 545 | 33.39 | 6.06 | 42.02 | 18.53 |
| CsCKX6 | 526 | 34.60 | 5.70 | 41.06 | 18.63 |
| CsCKX7 | 518 | 31.66 | 6.18 | 41.51 | 20.66 |
| CsCKX8 | 516 | 35.85 | 6.01 | 41.09 | 17.05 |
| CsIPT1 | 320 | 50.94 | 7.19 | 29.69 | 12.19 |
| CsIPT2 | 350 | 46.29 | 6.00 | 35.14 | 12.57 |
| CsIPT3 | 330 | 43.33 | 6.36 | 36.97 | 13.33 |
| CsIPT4 | 323 | 56.35 | 7.74 | 25.39 | 10.53 |
| CsIPT5 | 326 | 48.47 | 8.59 | 30.06 | 12.88 |
| CsIPT6 | 474 | 52.11 | 4.43 | 33.1 | 10.34 |
| CsIPT7 | 324 | 50.62 | 7.41 | 29.94 | 12.04 |
| CsIPT8 | 390 | 50.51 | 4.87 | 34.10 | 10.51 |
Disclaimer/Publisher’s Note: The statements, opinions and data contained in all publications are solely those of the individual author(s) and contributor(s) and not of MDPI and/or the editor(s). MDPI and/or the editor(s) disclaim responsibility for any injury to people or property resulting from any ideas, methods, instructions or products referred to in the content. |
© 2024 by the authors. Licensee MDPI, Basel, Switzerland. This article is an open access article distributed under the terms and conditions of the Creative Commons Attribution (CC BY) license (https://creativecommons.org/licenses/by/4.0/).
Share and Cite
Xu, Y.; Ran, S.; Li, S.; Lu, J.; Huang, W.; Zheng, J.; Hou, M.; Zhong, F. Genome-Wide Identification and Abiotic Stress Expression Analysis of CKX and IPT Family Genes in Cucumber (Cucumis sativus L.). Plants 2024, 13, 422. https://doi.org/10.3390/plants13030422
Xu Y, Ran S, Li S, Lu J, Huang W, Zheng J, Hou M, Zhong F. Genome-Wide Identification and Abiotic Stress Expression Analysis of CKX and IPT Family Genes in Cucumber (Cucumis sativus L.). Plants. 2024; 13(3):422. https://doi.org/10.3390/plants13030422
Chicago/Turabian StyleXu, Yang, Shengxiang Ran, Shuhao Li, Junyang Lu, Weiqun Huang, Jingyuan Zheng, Maomao Hou, and Fenglin Zhong. 2024. "Genome-Wide Identification and Abiotic Stress Expression Analysis of CKX and IPT Family Genes in Cucumber (Cucumis sativus L.)" Plants 13, no. 3: 422. https://doi.org/10.3390/plants13030422
APA StyleXu, Y., Ran, S., Li, S., Lu, J., Huang, W., Zheng, J., Hou, M., & Zhong, F. (2024). Genome-Wide Identification and Abiotic Stress Expression Analysis of CKX and IPT Family Genes in Cucumber (Cucumis sativus L.). Plants, 13(3), 422. https://doi.org/10.3390/plants13030422
