Next Article in Journal
Enhancing Wheat Spike Counting and Disease Detection Using a Probability Density Attention Mechanism in Deep Learning Models for Precision Agriculture
Previous Article in Journal
Soil Application of Selenium in Wheat (Triticum aestivum L.) Under Water Stress Improves Grain Quality and Reduces Production Losses
 
 
Font Type:
Arial Georgia Verdana
Font Size:
Aa Aa Aa
Line Spacing:
Column Width:
Background:
Article

Seasonal Morphological and Biochemical Variation of Coffea canephora Pierre ex A. Froehner (Rubiaceae) Leaves of Early, Intermediate and Late Maturing Genotypes

by
Jeane Crasque
1,*,
Jean Marcel Sousa Lira
2,
Giuseppe Tognere Polonini
1,
Thiago Corrêa de Souza
3,
Edilson Romais Schmildt
4,
Lúcio de Oliveira Arantes
1 and
Sara Dousseau-Arantes
1,*
1
Instituto Capixaba de Pesquisa, Assistência Técnica e Extensão Rural—Centro Regional de Desenvolvimento Rural—Norte, Linhares 29901-443, ES, Brazil
2
Setor de Fisiologia Vegetal, Departamento de Biologia, Universidade Federal de Lavras, Lavras 37200-900, MG, Brazil
3
Instituto de Ciências da Natureza—ICN, Universidade Federal de Alfenas, UNIFAL, Alfenas 37130-001, MG, Brazil
4
Departamento de Ciências Agrárias e Biológicas, Universidade Federal do Espírito Santo, CUNES, São Mateus 29932-540, ES, Brazil
*
Authors to whom correspondence should be addressed.
Plants 2024, 13(24), 3461; https://doi.org/10.3390/plants13243461
Submission received: 3 October 2024 / Revised: 9 November 2024 / Accepted: 28 November 2024 / Published: 11 December 2024
(This article belongs to the Section Plant Development and Morphogenesis)

Abstract

Understanding the growth patterns of genotypes optimizes their selection and management. The objective of this study is to investigate the seasonal variations in the morphology and biochemistry of Coffea canephora clone leaves, considering climatic conditions and the maturation cycle. Morphological characteristics and carbohydrate contents of the leaves were analyzed throughout the growth cycle. A nonlinear logistic model was applied, and critical points of the leaf emission rates of plagiotropic branches were determined. Leaf growth was greater at higher temperatures during the rainy periods and lower at milder temperatures during the dry season. Genotype 143 exhibited the largest leaf width in spring, while 104, A1, and P2 had the largest leaf width in summer. The logistic model was suitable for describing leaf emission, with the critical points of genotype 143 being earlier, while P2 displayed a longer leaf emission cycle. The peak growth period influenced the quantities of starch and total soluble sugars in the leaves. The dormancy period showed a higher availability of reducing sugars. Pearson correlation indicated significant coefficients between temperature, precipitation, photoperiod, and foliar characteristics. The results obtained serve as a reference for future investigations, particularly in response to environmental challenges.

1. Introduction

Coffee is the second most traded commodity in the world, just behind petroleum products, with Coffea arabica and Coffea canephora accounting for 99% of global production. Brazil stands out as the largest coffee producer [1], but in the Brazilian regions that cultivate C. canephora, there is already a reduction in rainfall and an increase in dry periods. Additionally, there has been an increase in the frequency of heat waves, resulting in significantly high temperatures [2]. In this context, the leaves, which are essential for photosynthesis and plant health, will be severely affected by these changes, leading to a reduction in coffee productivity [3].
The leaf captures sunlight and synthesizes photo-assimilates, consequently contributing to productivity [4]. In Brazil, most of the C. canephora crops are grown in full sun, where high temperatures, radiation intensity, and water deficit are frequent throughout the seasons. However, leaves of C. canephora may be tolerant to heat [5,6], but high intensity associated with the reduction in water availability, caused by climate change, may have significant consequences on productivity and quality [2,7,8].
Coffea canephora exhibits high genetic variability in its vegetative and reproductive development [9], with fruits that display distinct growth patterns and maturation times [10]. Although knowledge about clonal varieties of different maturation cycles is on the rise, many assessments do not consider this characteristic. Furthermore, simultaneous vegetative development during fruiting can lead to bienniality in production, as the imbalance in fruit load can compromise subsequent flowering [11].
Coffee leaf patterns vary seasonally in response to climatic conditions, with higher growth rates during rainy periods and high temperatures, and lower rates during drought [12]. Low water availability is the main signal of leaf abscission [13]. In addition, under high light, coffee trees increase the number of leaves, leaf area, and plant biomass. In contrast, in short photoperiods and low solar radiation, there is a decrease in the size of the leaves and an increase in thickness, specific dry mass, and starch content [8,14,15]. This leaf dynamics is very important for growth and, consequently, fruit production.
Identifying leaf patterns is important for a better understanding of crops in a climate change scenario. Analyses with nonlinear models have been conducted to investigate the accumulation patterns of dry matter, macronutrients, and micronutrients of fruits and leaves in C. canephora [16,17,18,19,20]. The Logistic and Gompertz models are the most used, and the Logistic model is preferentially used due to its better fit [21]. Through these models, it is possible to determine the highest growth rates and critical points, such as inflection points (IP), maximum acceleration (MAP), minimum deceleration (MDP), and asymptotic deceleration (ADP). To date, no studies have been conducted describing the critical points and the seasonal leaf pattern in different genotypes of C. canephora.
Seasonal variations in the morphology and biochemistry of coffee leaves are controlled by climatic conditions, availability of water resources, and the stage of maturation of the plant. However, the comprehensive understanding of the specific effects of these factors on early, intermediate, and late maturation genotypes of C. canephora is still limited. Knowledge of the process of leaf emission and expansion and its seasonal variations is important to establish management techniques to improve productivity. The complex interaction between climatic factors in the formation of leaf area and in the distribution of carbohydrates throughout the year directly interferes with production. The hypothesis is that there are distinct seasonal patterns in leaf morphology and biochemistry among Coffea canephora genotypes, influenced by climatic conditions and the maturation cycle. The objective of this study is to investigate the seasonal variations in the morphology and biochemistry of Coffea canephora clone leaves, considering climatic conditions and the maturation cycle.

2. Materials and Methods

2.1. Study Location

The experiment was carried out at the Experimental Farm of the Capixaba Institute of Research, Technical Assistance and Rural Extension (INCAPER), located in the municipality of Marilândia, Espírito Santo, Brazil (latitude of 19°24′19″ S, longitude of 40°32′20″ W and 188 m of altitude). The soil is classified as dystrophic Oxisol [22], and the climate is tropical, categorized as Aw according to the Köppen and Geiger classification [23].

2.2. Description of Culture

A 3-year-old crop was used, cultivated in full sun with a spacing of 3 m × 1.5 m, in the rainfed system, without a supplemental irrigation system. Genotypes of different early (104 and A1), intermediate (P2), and late (143) maturation cycles were evaluated.

2.3. Climatic Conditions

The weather conditions were obtained by the automatic weather station, belonging to the National Institute of Meteorology (INMET). The daily data for the entire evaluation period of the photoperiod was obtained from the Solar Topo electronic platform [24], and the photoperiod calculation was conducted for the specified month. Potential evapotranspiration (Etp) was obtained by the [25] method. The meteorological variables analyzed were between August 2021 and August 2022, and include average temperature (°C), minimum temperature (°C), maximum temperature (°C), average relative humidity (%), solar radiation (KJ/m2), accumulated precipitation (mm), potential evapotranspiration (mm d 1 ) and photoperiod.

2.4. Vegetative Growth Assessments

After the 2021 harvest, two primary plagiotropic branches, emerging from the orthotropic branches in the upper third of the plant canopy, were selected to evaluate the number of leaves of the plagiotropic branches (NF) by direct count. In addition, the seasonal growth rate was determined by the initial and final value of each season.
The evaluations of leaf expansion of the limbus were carried out at all solstices and equinoxes of the year with the aid of a graduated ruler, in 12 plants of each genotype. The evaluations began on the following dates: 11 August 2021, 4 October 2021, 1 February 2022, and 26 April 2022. Two young leaves in the expansion phase were selected in the upper part of the canopy of each plant. The calculations were performed as described by [26]:
LA = 0.667 × LL × LW ,
where LA corresponds to estimated leaf area (cm2); LL is the length of the central rib of the sheet (cm) and LW is the maximum width of the leaf blade (cm). With the results of the estimated leaf area, the rate of expansion of the daily leaf area was determined (DLAFE, cm 2 d 1 ) in every season of the year.
DLAFE = ( ln Af 2 ln Af 1 ) / t 2 t 1
Af1 and Af2 represent the leaf areas (cm2) measured at two distinct times t1 and t2; t1 and t2 are the corresponding times of the evaluations, allowing for the calculation of the growth rate of leaf area over the time interval. At the end of each evaluation of the leaf area of the leaves in the season, the leaves were collected and washed to be dried in an oven at 65 °C until they reached constant weight, then the leaf dry mass (LDM) was obtained on an analytical scale and the specific leaf area (SLA) was obtained by the leaf area/mass ratio.

2.5. Carbohydrate Allocation

Carbohydrate allocation was evaluated by quantifying reducing sugars (RS), total soluble sugars (TSS), and leaf starch of each season, at harvest and after harvest Table 1.
The dried plant materials were ground in a Willeve knife mill model STAR FT-50, and stored in a freezer at −18 °C. The extracts were obtained according to [27], using 0.05 g for the late 55 after harvest (20/set (T55)) and 0.07 g for the other seasons. Starch extraction was carried out using the method of [12] with modifications. 0.5 mL (60,000 U/µmL) of thermostable a-amylase (A3306, Sigma-Aldrich Inc., St. Louis, MO, USA) diluted in buffer in potassium phosphate buffer 100 mM pH 6.5 were added. The samples were incubated at 75 °C for 30 min. This procedure was repeated once again totaling 60,000 enzyme units. The samples were cooled to 50 °C, and then 0.5 mL of a solution containing 260 U/µmL of amyloglucosidase (A7095, Sigma-Aldrich Inc.) was added to 200 mM potassium acetate buffer pH 4.5. The samples were incubated at 50 °C for 30 min. This procedure was repeated once again. After the incubations described above, 100 µmL of 0.8 M perchloric acid was added to stop the reaction and precipitate proteins. For the quantification of TSS and starch, the Antrona method was used [28], with modifications, using 2 mL of the 0.19% antrona solution in 93.33% sulfuric acid, in a reaction volume of 3 mL, subjected to 100 °C for 3 min. The RS were quantified according to the protocol described by [29], using the Dinitrosalicylic Acid (DNS) method.

2.6. Univariate Logistic Model and Critical Point Analysis in Growth Dynamics

For the univariate Logistic model, the following expression was used: yi = a/[1 + exp(−bcx)], where yi represents the ith observation of the dependent variable, where i = 1, 2, …, n; a is the asymptotic value or final growth value; b is the allocation parameter of the curve; c is the maximum relative growth rate or index of precocity; and x is the independent variable. The critical points of the model that was selected as the best in each treatment were calculated, namely the maximum acceleration point (MAP), the inflection point (IP), the maximum deceleration point (MDP), and the asymptotic deceleration point (ADP) for all genotypes according to the methodology of [30,31], as presented in Table 2 with the following equations:
The normality of the residuals was verified using the Shapiro–Wilk test. The null hypothesis of this test postulates that the residues follow a normal distribution. In addition, the homogeneity of the variance of the residuals was evaluated using the Breusch–Pagan test. The null hypothesis in this case is that the residuals are homoscedasticity, that is, that the variance of the residuals is constant in relation to the independent variables. To verify the presence of first-order residual autocorrelation, the Durbin–Watson test was used, whose null hypothesis presupposes independence between the residuals.
To evaluate the goodness of fit of the models, the following indicators were calculated: coefficient of determination ( R 2 ), adjusted coefficient of determination ( R a j 2 ), Akaike information criterion (AIC). The best-fit models are those with higher values of R 2 and R a j 2 , closer to 1, and lower values of AIC.

2.7. Experimental Design and Statistical Analysis

The adopted design was completely randomized and used three replicates of four plants in a split-plot scheme, where the plot was represented by the genotypes of different maturation cycles (early, intermediate, and late) and the subplot was the evaluation times. The data were submitted for analysis of variance and the means were compared by the Scott–Knott test at 5% probability. The relationship between the meteorological data, considered explanatory characteristics, and response variables analyzed, was obtained through principal component analysis (PCA) and Pearson’s correlation, considering the winter, spring, summer, and autumn seasons. Seasonal analysis is significant because it provides a comprehensive understanding of how genotype responses vary under different climatic conditions, offering insights into genotypes’ response to climate variability. Correlations with monthly climate variables were calculated from August to June (2021–2022). The analyses were performed using the R software version 4.2.1 through the packages and ExpDes.pt for statistical analyses and Pearson’s correlation analyses were performed using the PAST statistical program [2].

3. Results

Table 3 highlights the climatic conditions, showing an average annual air temperature of 24.26 °C, with monthly averages ranging from a minimum of 15.28 °C in June 2022. The coldest months occurred between April and August, while the months of January and February recorded the highest temperatures (33.5 °C), solar radiation (above 1500 KJ/m2), and potential evapotranspiration (above 160 mm d 1 ). January also had the longest length of the day. In September, there was a peak in humidity, reaching 65.10%. Annual rainfall totaled 972.80 mm, with rainfall between October and February accounting for 86% of the annual total.
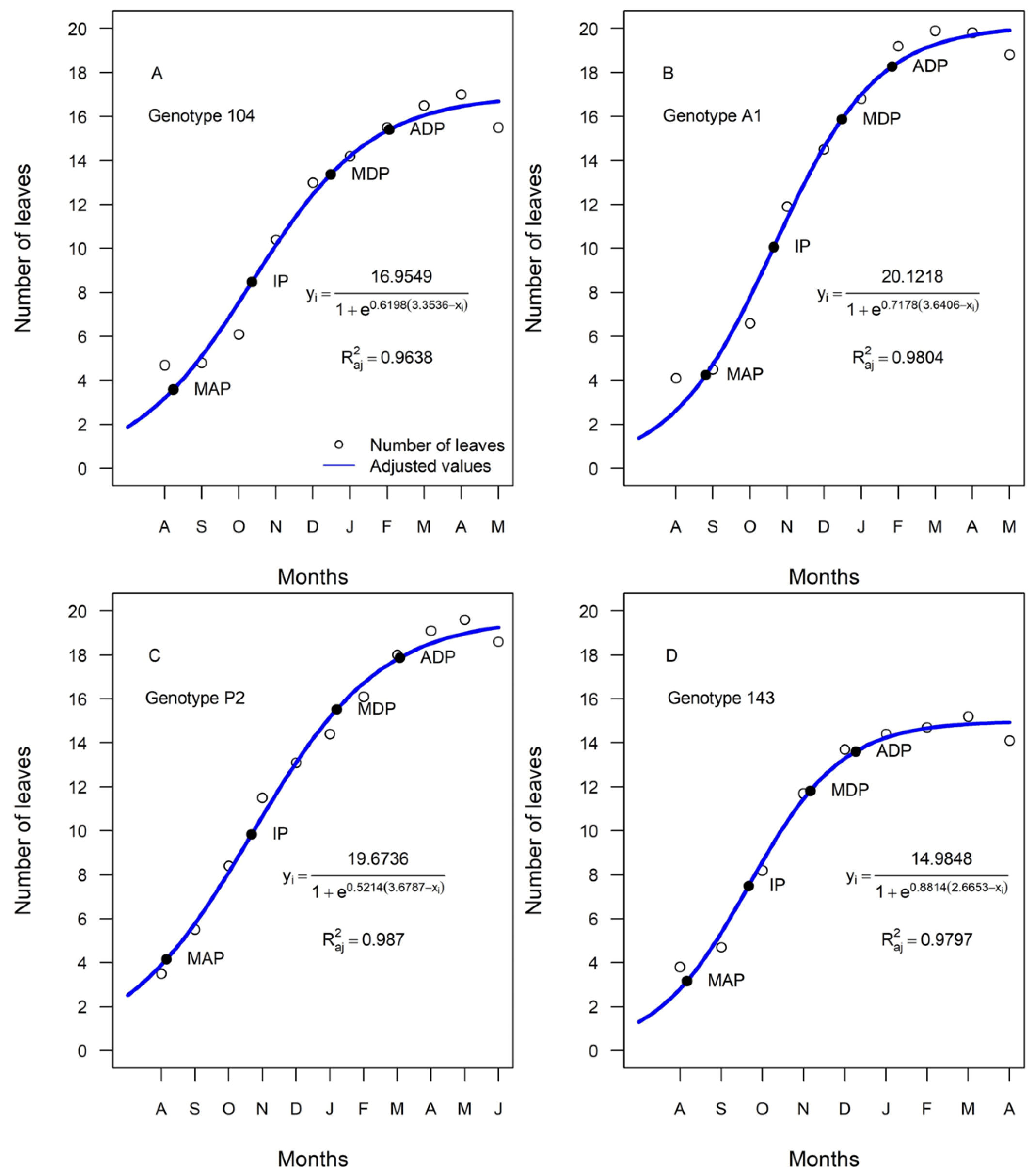
All assumptions were met with a p-value higher than 0.05 Table 4. For the Logistic model, the coefficients of determination ( R 2 ) ranged from 0.97 to 0.99, and the adjusted coefficient of determination ( R a j 2 ) was above 0.96. They are considered adequate, as they have higher values of R 2 and R a j 2 , closer to 1 [31], and lower values of AIC.
The curve data were analyzed considering the harvest period of each genotype and the beginning of defoliation. The maximum acceleration point (MAP) was identified in August (Figure 1). The tipping point (IP) varies between genotypes, with early and intermediate genotypes occurring in October and late in September. At the maximum deceleration point (MDP), the early genotypes reached in December, the intermediate genotypes in February, and the late genotype in November. The identification of the asymptotic deceleration point (ADP) occurred in February for the early genotypes, in March for the intermediate genotypes, and in December for the late genotypes. Regarding the beginning of the defoliation period, the early genotypes started in May, the intermediate ones in June, and the late genotype in April.

3.1. Leaf Evaluation

For all variables, no significant difference was observed between the genotypes in the seasons, with the exception of the variable maximum width of the leaf blade (Table 5). In winter, there was no difference between the genotypes for maximum width of the leaf blade (mean 1.28 cm), while in spring, genotype 143 showed the maximum width of the leaf blade (3.03 cm), followed by genotype P2 (2.35 cm), and early genotypes 104 and A1 showed no differences between them (mean of 1.53 cm). In the summer, the P2 genotype obtained the highest maximum width of the leaf blade (3.11 cm), while the others did not show differences (mean of 2.29 cm). In autumn, the highest averages were observed for genotypes A1 and P2 (mean 2.26 cm), followed by genotypes 104 and 143 (mean 1.58 cm).
When evaluating within the genotype level, for the early genotypes, genotype 104 presented the highest maximum width of the leaf blade in the summer, and the A1 genotype in the summer and autumn, with no statistical differences between the other seasons. The P2 genotype had a higher maximum width of the leaf blade in the summer and lower in the winter. Genotype 143 showed the highest maximum width of the leaf blade in spring, followed by summer, with no statistical differences between autumn and winter.
Evaluating the seasons during the summer period, an increase in the values of the variables leaf central vein length, leaf area, and daily leaf area expansion rate was observed, while these decreased during the winter (Table 5). No statistically significant differences were observed between the autumn and spring seasons for these variables. Specific leaf area was higher in winter, followed by summer, while spring and autumn did not show statistically significant differences. As for leaves of plagiotropic branches, the lowest value was observed in spring, followed by summer, autumn, and winter. The leaf dry mass was lower in the winter.
Within the genotype level, no statistically significant differences were identified between the genotypes at the stations in relation to the leaf central vein length and leaves of plagiotropic branches variables (Table 5).
The P2 genotype stood out with the highest values of leaf area, daily leaf area expansion rate, and leaf dry mass, while the other genotypes did not show significant differences between them. Regarding the specific leaf area variable, genotypes A1 and 143 presented the highest values observed.

3.2. Carbohydrates

The genotypes did not show significant differences between them during the evaluation periods in the starch and TSS variables (Table 6). The highest TSS content for all genotypes was observed during spring and autumn, followed by the other seasons, which did not show significant differences between them. Starch had the highest values in the summer, followed by the autumn. As for RS, the A1 genotype stands out in winter and spring with the highest averages. At harvest, genotype 143 presented the lowest averages. There are no significant differences between the genotypes in summer and fall. Evaluating the genotypes within each season, the winter had the highest RS values, and at harvest, genotypes P2 and 143 also presented the highest averages (Table 6).
During the evaluation times after harvest, T55 had higher values of starch and TSS, and P2 had higher TSS. The lowest values were observed in the summer, at harvest, and in P55 (Table 7). In relation to RS, the A1 genotype showed the highest mean in T55. The P2 and 143 genotypes did not vary significantly between P55, I55, and T55. Genotype 143 had the highest averages in I55 and T55.

3.3. Pearson Correlation Coefficients and Principal Components Analysis (PCA)

The climatic variables relate to the variables leaf central vein length, leaf area, and daily leaf area expansion rate, presenting positive and statistically significant correlations with all the climatic parameters considered, with the exception of the mean temperature (Table 8). On the other hand, specific leaf areas demonstrated a negative correlation with photoperiod and humidity. Leaves of plagiotropic branches, in turn, showed a positive correlation with minimum temperature, humidity, and precipitation. As for the maximum width of the leaf blade variable, a positive correlation was observed with most climatic parameters, except for maximum and average temperature. With regard to carbohydrates, a significantly positive correlation was found between ETp, radiation, and maximum temperature with starch content, while TSS showed a negative correlation with maximum temperature. RS obtained a significant negative correlation with most climatic variables except for maximum and mean temperature.
A Principal Component Analysis (PCA) was conducted using data with all genotypes throughout the seasons. The PCA results revealed that 73% of the total variability in the data was explained by Principal Components 1 (PC1) and 2 (PC2) (Figure 2). The environmental and leaf variables showed a seasonal distribution, grouped into winter-autumn and spring-summer periods, with the growth variables showing greater proximity to precipitation, radiation, humidity, minimum temperature, and photoperiod during spring and summer. Carbohydrate contents were associated with winter for RS, spring for TSS, and summer for starch.

4. Discussion

4.1. Univariate Logistic Model and Critical Point Analysis in Growth Dynamics

The estimated critical points represent valuable tools in the management of the conilon coffee crop. The maximum acceleration point (MAP) marks the beginning of plant growth [32], characterized by a significant increase in the number of leaves in this study, being observed in August. The A1 genotype has a later onset of growth, occurring at the end of August, (at 8 weeks), compared to the other genotypes. This indicator is crucial as it indicates before the MAP that plants have a reduced growth capacity [32].
The difference observed at the beginning of the defoliation period between the early, intermediate, and late genotypes may have influenced the occurrence of an earlier inflection point (IP) for genotype 143 and consequently the defoliation period. The PI is the moment when the growth rate reaches its maximum, characterized by the emission of a greater amount of leaves by the plants [32].
Considering the early onset of PI and defoliation of genotype 143, it is possible to infer that this genotype has different growth dynamics in relation to the other genotypes. In addition, genotype 143 obtained fewer final leaves than the other genotypes. In this sense, smaller branches, fewer leaves, and/or smaller leaves have fewer photoassimilates available to sustain growth [33]. Reference [34] observed that the decline in tree growth induced by defoliation is due to limitations in carbon production and consumption, with a more pronounced impact in cases of intense defoliation.
The anticipation of PI in the late genotype can influence agronomic management, such as fertilization, requiring better programming to optimize practices and maximize the productivity of conilon coffee. If any intervention in crop growth is needed, such as fertilization, it will be more effective between MAP and IP [35]. According to [36], nitrogen and potassium are the nutrients that most limit coffee production. At the beginning of growth, these nutrients have a greater absorption, resulting in a rapid increase in nutritional demand, a period that can be compared to the interval between the maximum acceleration points (MAP) and inflection points (IP).
The maximum deceleration point (MDP) corresponds to the point at which the growth rate of the function reaches its maximum [32], indicating the moment when the growth of the curve slows to the maximum before stabilizing. During the period between the IP point and the MDP, there was an increase in precipitation (from October to February) and a long photoperiod (above 12 h). Reference [14] shows that the photoperiod of short days affects plant growth by reducing the number of leaves, thickness, chlorophyll content, and dry matter. However, studies indicate that the presence of fruits on the branches affects more than the change in the photoperiod [12], but regardless of the long photoperiod regime or not between mid-March and early May, it coincides with high drops in the growth of branches and leaf area.
Asymptotic deceleration point (ADP), is the point at which the growth rate of the function stabilizes and approaches zero. After ADP, excess nutrition will not significantly promote crop growth [35]. The identification of ADP becomes important because it allows predicting the end of the crop cycle.
The phenology of defoliation in coffee is poorly documented for coffee, and the beginning of defoliation occurred in April for late and May for early. However, it is notable that the P2 genotype differs from this pattern, demonstrating a later onset of defoliation, specifically in June. In addition, the P2 genotype exhibits a higher leaf area, expansion rate, and dry mass compared to other genotypes evaluated. Tolerant genotypes can extend the duration of new leaves, maintaining a larger leaf and root area throughout the growth cycle [37,38]. Reference [37] studied the diversity of root characteristics and observed that the P2 genotype had the highest root volume and A1 the highest amount of deep root. These observations, combined with the larger leaf area associated with the P2 genotype, highlight its relevance for genetic improvement studies aimed at improving the performance of cultivars. Genotypes such as P2 and A1 are often objects of study due to their production potential and vegetative vigor, being considered superior genotypes [37,38,39].

4.2. Leaf Evaluation and Carbohydrates

The higher leaf dry mass of the P2 genotype may be related to both its larger leaf area and its higher expansion rate. These combined factors have the potential to significantly increase the plant’s total biomass production, an important aspect of grain production and resilience to environmental stresses. This relationship between leaf area and grain yield was corroborated by [40], who observed that for every 100 cm2 of leaf area, there is an estimated increase of 2.37 g of green cherry coffee. These findings highlight the importance of leaf area in coffee productivity and reinforce the relevance of the P2 genotype in terms of yield potential.
Reference [41] highlights the importance of selecting genotypes with larger leaves of C. canephora in breeding programs, as this may indicate a yield potential of the crop. Genotypes with larger leaf areas have larger surfaces for light interception, which can result in higher photosynthetic rates and carbohydrate availability [42]. In addition, heat tolerance was positively associated with leaf size [6].
Each genotype can exhibit a distinct growth dynamic. Genotype 143 had its highest growth rate during the spring, while genotypes 104, P2, and A1 showed a significant increase during the summer. This variation suggests that each genotype responds individually to seasonal changes. The beginning and end of the season occur when a limiting factor, such as air temperature, radiation intensity, and water availability, exceeds the threshold below which photosynthesis is restricted [43]. In this sense, the minimum temperatures of winter (15.3 to 16.9 °C) prove to be a limiting factor for leaf development, as it had a low correlation and association with the growth variables. For coffee C. canephora, temperatures below 17 °C the growth of the branches is reduced [44] in addition, the rate of photosynthesis decreases, which can lead to productivity drops [45].
In correlation and PCA analysis, it is shown that the leaves develop better during the summer when temperatures are higher and starch is higher. However, the emission of new leaves seems to have a positive relationship with moderate maximum temperatures between 29 and 30 °C. Although C. canephora leaves can tolerate a temperature of up to 37 °C by maintaining photoprotection and antioxidant mechanisms [5], extreme temperatures affect productivity by reducing grain weight and yield [45] due to heat stress.
Radiation at the end of the growing season limits growth [43]. Net carbon absorption decreases according to the decrease in radiation intensity during autumn and limits photosynthesis [46], causing the end of the growing season [46], indicates that radiation is the main abiotic limitation in the photosynthetic period that explains the difference between spring and winter.
During the winter, when the plants enter a state of dormancy or reduced growth, a decrease in the leaf area of the coffee plant is observed [47], due to unfavorable environmental conditions for growth, such as low temperatures and lower availability of sunlight. For example, in the present study, it was found that solar radiation during the winter (July and August) is about 33% lower than in the summer (January and February), in addition to a reduced photoperiod.
During spring, they begin a new growth cycle, driven by the increase in temperatures, photoperiod, and radiation observed in the present study. In this study, water availability in spring was also decisive in achieving a higher plagiotropic branch leaves rate and, in summer, a higher leaf area. During this period, it is possible that resources have been directed mainly to the development of new leaves, to the detriment of the greater availability of TSS.
The higher leaf area tends to be associated with a higher seasonal availability of water. These findings are in line with the results presented by [48], who observed higher leaf area values in plants under irrigation. In this sense, it was observed that rainfall was close to the average recorded in the state of Espírito Santo, around 1000 mm [2]), but below the average expected for the months of January to March (137 mm). In these months, the reduction in the volume of rainfall is more harmful than a dry period during the winter [2]. During this period, there is usually a combined effect of drought, heat, and high irradiance, affecting the physiological performance of the crop, especially production [2]. Leaf fall observed in the warmer period may be a common response to water stress in C. canephora genotypes, where plants subjected to a water deficit affect the photosynthetic process [13].
In our study, we observed that specific leaf area was the most affected trait, mainly due to variations in light hours. Reductions in the availability of solar luminosity resulted in an increase in specific leaf area. According to the results of [15] compared to coffee plants grown in the shade, those grown in the sun had higher specific leaf area, even with smaller leaf area and total dry mass.
In general, carbohydrate levels increase at the end of winter. During this season, plants tend to direct their resources toward starch storage, as they are in a period of dormancy. Similar results were observed by [49] in C. arabica L.
With the increase in temperatures and the prolongation of the days, the plants intensify their metabolic activity, promoting an active growth of leaves and the development of new tissues, which demands a considerable amount of energy derived from soluble sugars [49]. This process is observed by the increase in TSS, especially because in this period it begins the process of reaffiliation and formation of coffee fruits that are considered priority sinks and require large amounts of carbohydrates [4].
In summary, our results highlight the importance of seasonal climatic conditions in the growth and development of the conilon coffee plant, as well as in the accumulation of starch reserves in the leaves.

5. Conclusions

Genotype 143 has a shorter growth cycle and potentially a lower leaf production compared to the others. This may require adjustments in agronomic management practices, such as fertilization, particularly during critical periods like between the MAP (maximum accumulation of photosynthetic) and IP (initial phase), when nutritional demand is higher. The genotype P2, with a later onset of defoliation and a larger leaf area, indicates greater photosynthetic capacity and biomass accumulation, suggesting a superior productive potential.
Regardless of the harvest timing, all genotypes exhibited high starch levels in the summer and elevated total soluble sugars in the spring, meeting the developmental demands of fruits and leaves. Overall, the results suggest that the P2 genotype of C. canephora possesses favorable characteristics for greater leaf biomass production and growth potential compared to other genotypes, making it particularly promising for optimization in cultivation practices.
The different morphological and biochemical responses of the leaves among C.canephora genotypes in response to seasonal variations provide important insights for crop management, especially considering scenarios of climate change, particularly in full-sun cultivation areas. Furthermore, to the best of our knowledge, this study is pioneering in the application of the logistic model, taking critical points into account, to describe the leaf emission of coffee genotypes. No previous research has assessed the recovery of carbohydrate metabolism post-harvest, underscoring the relevance and innovation of our findings.

Author Contributions

Conceptualization, writing, review, editing, formal analysis, J.C.; review, J.M.S.L.; methodology, G.T.P.; review, T.C.d.S.; methodology, review, E.R.S.; project administration, methodology, L.d.O.A.; funding acquisition, review, project administration, supervision, S.D.-A. All authors have read and agreed to the published version of the manuscript.

Funding

This research was funded by Fundação de Amparo à Pesquisa e Inovação do Espírito Santo grant number 10/2020, Fundo de Apoio à Pesquisa (FAP) and Consórcio Brasileiro de Pesquisa e Desenvolvimento do Café grant number 044789/2019.

Data Availability Statement

The original contributions presented in the study are included in the article, further inquiries can be directed to the corresponding authors.

Conflicts of Interest

The authors declare no conflicts of interest.

References

  1. FAO. Food and Agriculture of the United Nations. Statistical Databases; FAO: Rome, Italy, 2022; Available online: http://www.fao.org/faostat/en/ (accessed on 30 September 2022).
  2. Hammer, Ø.; Harper, D.A. Past: Paleontological statistics software package for education and data analysis. Palaeontol. Electron. 2001, 4, 1. [Google Scholar]
  3. Da Matta, F.M.; Maestri, M.; Barros, R.S.; Regazzi, A.J. Water relations of coffee leaves (Coffea arabica and C. canephora) Response Drought. J. Hortic. Sci. 1993, 68, 741–746. [Google Scholar] [CrossRef]
  4. Bote, A.D.; Jan, V. Branch growth dynamics, photosynthesis, yield and bean size distribution in response to fruit load manipulation in coffee trees. Trees 2016, 30, 1275–1285. [Google Scholar] [CrossRef]
  5. Rodrigues, W.P.; Martins, M.Q.; Fortunato, A.S.; Rodrigues, A.P.; Semedo, J.N.; Simões-Costa, M.C.; Pais, I.P.; Leitão, A.E.; Colwell, F.; Goulao, L.; et al. Long-term elevated air [CO2] strengthens photosynthetic functioning and mitigates the impact of supra-optimal temperatures in tropical Coffea arab. C. canephora Species. Glob. Chang. Biol. 2016, 22, 415–431. [Google Scholar] [CrossRef]
  6. Vilas-Boas, T.; Duarte, A.A.; Della Torre, F.; Lovato, M.B.; Lemos-Filho, J.P. Does acclimation in distinct light conditions determine differences in the photosynthetic heat tolerance of coffee plants? Plant Biol. 2023, 25, 1101–1108. [Google Scholar] [CrossRef]
  7. Craparo, A.C.W.; Van Asten, P.J.; Läderach, P.; Jassogne, L.T.; Grab, S.W. Coffea arabica yields decline in Tanzania due to climate change: Global implications. Agric. For. Meteorol. 2015, 207, 1–10. [Google Scholar] [CrossRef]
  8. Rodríguez-López, N.F.; Martins, S.C.; Cavatte, P.C.; Silva, P.E.; Morais, L.E.; Pereira, L.F.; Reis, J.V.; Ávila, R.T.; Godoy, A.G.; Lavinski, A.O.; et al. Morphological and physiological acclimations of coffee seedlings to growth over a range of fixed or changing light supplies. Environ. Exp. Bot. 2014, 102, 1–10. [Google Scholar] [CrossRef]
  9. Giles, J.A.D.; Partelli, F.L.; Ferreira, A.; Rodrigues, J.P.; Olios, G.; Silva, F.H. Genetic diversity of promising ‘conilon’ coffee clones based on morpho-agronomic variables. An. Da Acad. Bras. De Ciências 2018, 90, 2437–2446. [Google Scholar] [CrossRef]
  10. Pezzopane, J.R.M.; Pedro-Júnior, M.J.; Thomaziello, R.A.; Camargo, M.B.P.D. Escala para avaliação de estádios fenológicos do cafeeiro arábica. Bragantia 2003, 62, 499–505. [Google Scholar] [CrossRef]
  11. Rodrigues, W.N.; Tomaz, M.A.; Ferrão, R.G.; Ferrão, M.A.G.; da Fonseca, A.F.A.; Martins, L.D. Crop yield bienniality in groups of genotypes of conilon coffee. Afr. J. Agric. Res. 2013, 8, 4422–4426. [Google Scholar]
  12. Amaral, L.I.V.D.; Gaspar, M.; Costa, P.M.F.; Aidar, M.P.M.; Buckeridge, M.S. Novo método enzimático rápido e sensível de extração e dosagem de amido em materiais vegetais. Hoehnea 2007, 34, 425–431. [Google Scholar] [CrossRef]
  13. Lima, A.L.S.; DaMatta, F.M.; Pinheiro, H.A.; Totola, M.R.; Loureiro, M.E. Photochemical responses and oxidative stress in two clones of Coffea canephora Water Deficit Conditions. Environ. Exp. Bot. 2002, 47, 239–247. [Google Scholar] [CrossRef]
  14. Djerrab, D.; Bertrand, B.; Breitler, J.C.; Léran, S.; Dechamp, E.; Campa, C.; Barrachina, C.; Conejero, G.; Etienne, H.; Sulpice, R. Photoperiod-dependent transcriptional modifications in key metabolic pathways in Coffea arabica. Tree Physiol. 2021, 41, 302–316. [Google Scholar] [CrossRef]
  15. Encalada-Córdova, M.; Soto-Carreño, F.; Morales-Guevara, D.; Álvarez-Bello, I. Influencia de la luz en algunas características fisiológicas del cafeto (Coffea Arab. L. Cv. Caturra) En Condiciones De Vivero. Cultiv. Trop. 2016, 37, 89–97. [Google Scholar] [CrossRef]
  16. Covre, A.M.; Partelli, F.L.; Bonomo, R.; Gontijo, I. Micronutrients in the fruits and leaves of irrigated and non-irrigated coffee plants. J. Plant Nutr. 2018, 41, 1119–1129. [Google Scholar] [CrossRef]
  17. Dubberstein, D.; Partelli, F.L.; Dias, J.R.M.; Espindola, M.C. Concentration and accumulation of macronutrients in leaf of coffee berries in the Amazon, Brazil. Aust. J. Crop Sci. 2016, 10, 701–710. [Google Scholar] [CrossRef]
  18. Dubberstein, D.; Partelli, F.L.; Espindola, M.C.; Dias, J.R.M. Concentration and accumulation of micronutrients in robust coffee. Acta Sci. Agron. 2019, 41, e42685. [Google Scholar] [CrossRef]
  19. Fernandes, T.J.; Pereira, A.A.; Muniz, J.A. Modelos duplo sigmoidais na descrição do crescimento de frutos do cafeeiro. Ciência Rural 2017, 47, e20160646. [Google Scholar] [CrossRef]
  20. Partelli, F.L.; Espindula, M.C.; Marré, W.B.; Vieira, H.D. Dry matter and macronutriente accumulation in fruits of conilon coffee with different ripening cycles. Rev. Bras. Ciência Solo 2014, 38, 214–222. [Google Scholar] [CrossRef]
  21. Senra, J.F.d.B.; da Silva, J.A.; Ferreira, A.; Degli Esposti, M.D.; Silva, U.R.; Milheiros, I.S.; Zacarias, A.J. Seleção de modelos não lineares e o estudo do crescimento dos frutos de café conilon. Res. Soc. Dev. 2022, 11, e21511427093. [Google Scholar] [CrossRef]
  22. Embrapa (Empresa Brasileira de Pesquisa Agropecuária). Manual de Métodos de Análises de Solo; Mapa: Rio de Janeiro, Brazil, 1997; 212p. [Google Scholar]
  23. Köppen, W.; Geiger, R. Klimate der Erde; Verlag Justus Perthes: Gotha, Germany, 1928. [Google Scholar]
  24. Solar Topo. Comprimento do Dia, o Nascer e o Por do Sol: Calculadora. 2022. Available online: http://www.solartopo.com/duracao-do-dia.htm (accessed on 1 February 2012).
  25. Hargreaves, G.H.; Samani, Z.A. Reference crop evapotranspiration from temperature. Appl. Eng. Agric. 1985, 1, 96–99. [Google Scholar] [CrossRef]
  26. Barros, R.S.; Maestri, M.; Vieira, M.; Braga-Filho, L.J. Determinação de área foliar de café (Coffea arábica L. cv. ‘Bourbon Amarelo’). Rev. Ceres 1973, 20, 44–52. [Google Scholar]
  27. Zanandrea, I.; Bacarin, M.A.; Braga, E.J.B.; Bianchi, V.J.; Peters, J.A. Morphological and physiological photon flux influence under in vitro culture of apple shoots. Braz. Arch. Biol. Technol. 2009, 52, 1091–1098. [Google Scholar] [CrossRef]
  28. Yemm, E.W.; Willis, A. The estimation of carbohydrates in plant extracts by anthrone. Biochem. J. 1954, 57. [Google Scholar] [CrossRef]
  29. Miller, G.L. Use of dinitrosalicylic acid reagent for determination of reducing sugar. Anal. Chem. 1959, 31, 426–428. [Google Scholar] [CrossRef]
  30. Mischan, M.M.; Pinho, S.Z.D.; Carvalho, L.R.D. Determination of a point sufficiently close to the asymptote in nonlinear growth functions. Sci. Agric. 2011, 68, 109–114. [Google Scholar] [CrossRef]
  31. Silva, É.M.D.; Fruhauf, A.C.; Silva, E.M.; Muniz, J.A.; Fernandes, T.J.; Silva, V.F.D. Evaluation of the critical points of the most adequate nonlinear model in adjusting growth data of ‘green dwarf’ coconut fruits. Rev. Bras. Frutic. 2021, 43, e-726. [Google Scholar] [CrossRef]
  32. Korkmaz, M.; Volkan, O.D.A.; Basustaoglu, E.O. A study over determination of asymptotic deceleration and absolute acceleration points in logistic growth model. Turk. J. Math. Comput. Sci. 2018, 10, 33–37. [Google Scholar]
  33. Custodio, A.M.; de Menezes Silva, P.E.; Santos, T.R.D.; Lourenço, L.L.; Avila, R.G.; da Silva, A.; Silva, F.H.L. Espindula, M.C.; Dias, J.R.M.; Silva, F.G. Seasonal Variation in Physiological Traits of Amazonian Coffea canephora Genotypes in Cultivation Systems with Contrasting Water Availability. Agronomy 2022, 12, 3197. [Google Scholar] [CrossRef]
  34. Wang, Z.; Zhou, Z.; Wang, C. Defoliation-induced tree growth declines are jointly limited by carbon source and sink activities. Sci. Total Environ. 2021, 762, 143077. [Google Scholar] [CrossRef]
  35. Mello, A.C.; Toebe, M.; Souza, R.R.D.; Paraginski, J.A.; Somavilla, J.C.; Martins, V.; Pinto, A.C.V. Modelos não lineares na descrição de altura da cultivar de girassol Rhino. Ciência Rural 2021, 52, e20210213. [Google Scholar] [CrossRef]
  36. Santos, M.M.D.; Silva, C.A.D.; Oza, E.F.; Gontijo, I.; Amaral, J.F.T.D.; Partelli, F.L. Concentration of nutrients in leaves, flowers, and fruits of genotypes of Coffea canephora. Plants 2021, 10, 2661. [Google Scholar] [CrossRef]
  37. Silva, L.O.E.; Schmidt, R.; Valani, G.P.; Ferreira, A.; Ribeiro-Barros, A.I.; Partelli, F.L. Root trait variability in Coffea canephora genotypes and its relation to plant height and crop yield. Agronomy 2020, 10, 1394. [Google Scholar] [CrossRef]
  38. Partelli, F.L.; Oliosi, G.; Dalazen, J.R.; da Silva, C.A.; Vieira, H.D.; Espindula, M.C. Proportion of ripe fruit weight and volume to green coffee: Differences in 43 genotypes of Coffea canephora. Agron. J. 2021, 113, 1050–1057. [Google Scholar] [CrossRef]
  39. Covre, A.M.; Canal, L.; Partelli, F.L.; Alexandre, R.S.; Ferreira, A.; Vieira, H.D. Development of clonal seedlings of promising Conilon coffee (‘Coffea canephora’) genotypes. Aust. J. Crop. Sci. 2016, 10, 385–392. [Google Scholar] [CrossRef]
  40. Montoya-Restrepo, E.; Hernández-Arredondo, J.; Unigarro-Muñoz, C.; Flórez-Ramos, C. Estimación del área foliar en café variedad Castillo a libre exposición y su relación con la producción. Rev. Cenicafé 2017, 68, 55–61. [Google Scholar]
  41. Dubberstein, D.; Oliveira, M.G.; Aoyama, E.M.; Guilhen, J.H.; Ferreira, A.; Marques, I.; Ramalho, J.C.; Partelli, F.L. Diversity of leaf stomatal traits among Coffea canephora Pierre ex A. Froehner genotypes. Agronomy 2021, 11, 1126. [Google Scholar] [CrossRef]
  42. Mauri, R.; Cardoso, A.A.; Da Silva, M.M.; Oliveira, L.A.; Avila, R.T.; Martins, S.C.; Damatta, F.M. Leaf hydraulic properties are decoupled from leaf area across coffee species. Trees 2020, 34, 1507–1514. [Google Scholar] [CrossRef]
  43. Descals, A.; Verger, A.; Yin, G.; Filella, I.; Fu, Y.H.; Piao, S.; Janssens, I.A.; Peñuelas, J. Radiation-constrained boundaries cause nonuniform responses of the carbon uptake phenology to climatic warming in the Northern Hemisphere. Glob. Chang. Biol. 2023, 29, 719–730. [Google Scholar] [CrossRef]
  44. Partelli, F.L.; Vieira, H.D.; Silva, M.G.; Ramalho, J.C. Crescimento vegetativo sazonal em ramos de diferentes idades do cafeeiro conilon. Semina Ci. Agric. 2010, 31, 619–626. [Google Scholar] [CrossRef]
  45. Ramalho, J.C.; DaMatta, F.M.; Rodrigues, A.P.; Scotti-Campos, P.; Pais, I.; Batista-Santos, P.; Partelli, F.L.; Ribeiro, A.; Lidon, F.C.; Leitão, A.E. Cold impact and acclimation response of Coffea spp. plants. Theor. Exp. Plant Physiol. 2014, 26, 5–18. [Google Scholar] [CrossRef]
  46. Zhang, Y.; Commane, R.; Zhou, S.; Williams, A.P.; Gentine, P. Light limitation regulates the response of autumn terrestrial carbon uptake to warming. Nat. Clim. Chang. 2020, 10, 739–743. [Google Scholar] [CrossRef]
  47. Camargo, Â.P.D.; Camargo, M.B.P.D. Definição e esquematização das fases fenológicas do cafeeiro arábica nas condições tropicais do Brasil. Bragantia 2001, 60, 65–68. [Google Scholar] [CrossRef]
  48. Criollo, E.H.; Muñoz, B.J.; Checa, B.J.; Noguera, R.W. Initial growth of coffee (Coffea arabica L. var) castillo in the coffee zone of Nariño. Rev. De Cienc. Agrícolas 2019, 36, 124–137. [Google Scholar] [CrossRef]
  49. Silva, E.A.; DaMatta, F.M.; Ducatti, C.; Regazzi, A.J.; Barros, R.S. Seasonal changes in vegetative growth and photosynthesis of Arabica coffee trees. Field Crop. Res. 2004, 89, 349–357. [Google Scholar] [CrossRef]
Figure 1. Growth curves adjusted by the Logistic model for the number of leaves of the plagiotropic branches of the early maturation genotypes 104 and A1, intermediate P2, and late 143. (A). Genotype 104. (B). Genotype A1. (C). Genotype P2. (D). Genotype 143.
Figure 1. Growth curves adjusted by the Logistic model for the number of leaves of the plagiotropic branches of the early maturation genotypes 104 and A1, intermediate P2, and late 143. (A). Genotype 104. (B). Genotype A1. (C). Genotype P2. (D). Genotype 143.
Plants 13 03461 g001
Figure 2. Principal component analysis (PCA) of the mean values of leaf variables and climatic factors: maximum temperature (Max. T.); minimum temperature (Min. T.); average temperature (Avg. T.); average relative humidity (Humidity); accumulated precipitation (Precipitation); solar radiation (Radiation); potential evapotranspiration (ETp); photoperiod (Photoperiod); leaf central vein length (LL); maximum leaf blade width (LW); leaf area (LA); daily leaf area expansion rate (DLAFE); leaf dry mass (LDM); specific leaf area (SLA); leaves of plagiotropic branches (NL); reducing sugars (RS); total soluble sugars (TSS) and starch of early maturation genotypes 104 and A1, intermediate P2 and late 143 in four seasons of the year.
Figure 2. Principal component analysis (PCA) of the mean values of leaf variables and climatic factors: maximum temperature (Max. T.); minimum temperature (Min. T.); average temperature (Avg. T.); average relative humidity (Humidity); accumulated precipitation (Precipitation); solar radiation (Radiation); potential evapotranspiration (ETp); photoperiod (Photoperiod); leaf central vein length (LL); maximum leaf blade width (LW); leaf area (LA); daily leaf area expansion rate (DLAFE); leaf dry mass (LDM); specific leaf area (SLA); leaves of plagiotropic branches (NL); reducing sugars (RS); total soluble sugars (TSS) and starch of early maturation genotypes 104 and A1, intermediate P2 and late 143 in four seasons of the year.
Plants 13 03461 g002
Table 1. Characterization of the evaluation times of the leaves of early genotypes 104 and A1, intermediate P2, and late 143 in four seasons of the year.
Table 1. Characterization of the evaluation times of the leaves of early genotypes 104 and A1, intermediate P2, and late 143 in four seasons of the year.
GenotypesHarvestReviewsPeriod Between Harvest and Last Evaluation
104 and A19 June2 August (P55)103 days
P229 June23 August (I55)83 days
14327 July20 September (T55)55 days
Table 2. Critical points of the Logistics model. a, b, and c are the estimated parameters.
Table 2. Critical points of the Logistics model. a, b, and c are the estimated parameters.
MAPIPMDPADP
· b 1.319 c b c · b + 1.319 c c · b + 2.2924 c
a 3 + 3 a 2 a · 3 + 3 6 a · a 1.1010
Table 3. Average data of the meteorological parameters of maximum temperature (Max. T., °C), minimum temperature (Min. T., °C), average temperature (Avg. T., °C), average relative humidity (Humidity, %), accumulated precipitation (Precipitation, mm), solar radiation (Radiation, KJ/m2), potential evapotranspiration (ETp, mm d 1 ) and photoperiod (Phot.) from August 2021 to August 2022.
Table 3. Average data of the meteorological parameters of maximum temperature (Max. T., °C), minimum temperature (Min. T., °C), average temperature (Avg. T., °C), average relative humidity (Humidity, %), accumulated precipitation (Precipitation, mm), solar radiation (Radiation, KJ/m2), potential evapotranspiration (ETp, mm d 1 ) and photoperiod (Phot.) from August 2021 to August 2022.
MonthsASONDJFMAMJJAAnnual
Max. T.29.8531.4029.5429.2030.0433.5332.4833.5033.3029.6928.6328.2728.9130.64 a
Min. T.17.8520.5021.4419.9521.1121.9622.2721.2619.9717.6015.2816.2516.8919.41 a
Avg. T.25.6627.1325.4623.7924.6726.6525.9326.1025.2722.3120.5020.8721.0224.26 a
Humidity68.0065.1073.4877.1277.1070.7375.5772.1169.6871.1671.4273.3168.8571.82 a
Precipitation2.22.297.6162.8197.697.6284.231.81244.63.424.612.2972.80 b
Radiation1266.071306.391130.561178.231138.921553.811352.861550.151350.121058.891085.431003.251183.271242.92 a
ETp125.63143.04135.64143.92153.43182.80146.95163.98139.89108.5795.2798.54112.941750.59 b
Phot.11.2611.7412.3012.7913.1412.9812.4112.0011.3611.0910.5610.8811.23153.74 b
a Monthly average, b sum of monthly average.
Table 4. p-values of the Shapiro–Wilk (SW), Breusch–Pagan (BP), and Durbin–Watson (DW) tests and estimates of the fit of the data to the nonlinear Logistic model on the growth of the vegetative characteristics of the early maturation genotypes 104 and A1, intermediate P2, and late maturation 143 in different seasons of the year.
Table 4. p-values of the Shapiro–Wilk (SW), Breusch–Pagan (BP), and Durbin–Watson (DW) tests and estimates of the fit of the data to the nonlinear Logistic model on the growth of the vegetative characteristics of the early maturation genotypes 104 and A1, intermediate P2, and late maturation 143 in different seasons of the year.
GenotypeSWBPDW R 2 R a j 2 AIC
1040.49880.12870.1040.970.9632.4163
A10.72620.16850.1080.980.9831.5385
P20.44270.56680.0500.990.9925.5608
1430.76860.05810.2060.980.9822.5035
Table 5. Growth variables in different seasons. Maximum width of the leaf blade (LW; cm), leaf central vein length (LL; cm), leaf area (LA; cm2), daily leaf area expansion rate (DLAFE; cm2 d−1), leaf dry mass (LDM; g), specific leaf area (SLA; cm2 g−1), leaves of plagiotropic branches (NL), early maturation genotypes 104 and A1, intermediate P2 and late 143.
Table 5. Growth variables in different seasons. Maximum width of the leaf blade (LW; cm), leaf central vein length (LL; cm), leaf area (LA; cm2), daily leaf area expansion rate (DLAFE; cm2 d−1), leaf dry mass (LDM; g), specific leaf area (SLA; cm2 g−1), leaves of plagiotropic branches (NL), early maturation genotypes 104 and A1, intermediate P2 and late 143.
GenotypesWinterSpringSummerAutumnAverages
Maximum width of the leaf blade (LW)
1041.34 Ab1.44 Cb2.29 Ba1.64 Bb1.68
A11.25 Ab1.63 Cb2.46 Ba2.11 Aa1.86
P21.29 Ac2.35 Bb3.11 Aa2.41 Ab2.29
1431.23 Ac3.03 Aa2.12 Bb1.52 Bc1.98
Averages1.282.112.501.92
Leaf central vein length (LL)
1042.703.166.654.854.34 a
A13.044.106.666.465.06 a
P22.735.587.145.635.27 a
1433.026.116.354.374.96 a
Averages2.87 C4.74 B6.7 A5.33 B
Leaf area (LA)
1044.977.7220.6811.1711.13 b
A15.1211.1822.7818.4014.37 b
P24.8425.5829.8518.6619.73 a
1435.0017.7718.309.1312.55 b
Averages4.98 C15.56 B22.9 A14.34 B
Daily leaf area expansion rate (DLAFE)
1040.060.752.230.860.97 b
A10.030.802.421.321.14 b
P20.152.263.081.331.71 a
1430.061.481.950.581.02 b
Averages0.07 C1.32 B2.42 A1.02 B
Leaf dry mass (LDM)
1040.090.170.420.260.23 b
A10.060.240.370.330.25 b
P20.100.660.650.470.47 a
1430.070.320.300.190.22 b
Averages0.08 B0.35 A0.44 A0.31 A
Specific leaf area (SLA)
10453.0239.5251.0643.1246.68 b
A191.7246.6062.1855.5964.02 a
P248.4440.0245.6739.7743.47 b
14372.6855.3560.4748.8459.34 a
Averages66.47 A45.37 C54.85 B46.83 C
Leaves of plagiotropic branches (NL)
1040.256.794.330.002.84 a
A11.018.724.540.003.57 a
P22.645.384.740.083.21 a
1431.925.750.950.002.16 a
Averages1.45 C6.66 A3.64 B0.02 D
Means followed by the same lowercase letter in the row or uppercase letter in the column do not differ significantly from each other according to the Scott-Knott grouping test p 0.05 .
Table 6. Quantification of reducing sugars (RS, µmol/g, DM), total soluble sugars (TSS, µmol/g, DM) and starch (µmol/g, DM) of early maturation genotypes 104 and A1, intermediate P2 and late maturation genotypes 143 in four seasons of the year.
Table 6. Quantification of reducing sugars (RS, µmol/g, DM), total soluble sugars (TSS, µmol/g, DM) and starch (µmol/g, DM) of early maturation genotypes 104 and A1, intermediate P2 and late maturation genotypes 143 in four seasons of the year.
GenotypesWinterSpringSummerAutumnHarvestAverages
RS
104634.31 Ba385.6 Bc372.31 Ac480.08 Ab318.86 Ac547.79
A1762.33 Aa500 Ab430.36 Ab467.58 Ab466.14 Ab656.60
P2651.11 Ba400.69 Bb439.6 Ab424.15 Ab561.03 Aa619.15
143565.55 Ba354.71 Bb430.37 Ab414.49 Ab557.24 Ba580.59
Averages653.33410.25418.16446.58475.82
SST
104253434433013268614162618.25 a
A1278239791828285915942608.54 a
P2212930792642324825852736.67 a
143261730862256312927972777.05 a
Averages2515.71 B3396.74 A2434.85 B2980.28 A2098.06 B
Starch
104284327573205295429272936.86 a
A1277530573116294630832995.41 a
P2280428663294309430163014.71 a
143276026772945297328502840.81 a
Averages2795.49 C2839.24 C3139.69 A2991.51 B2968.81 B
Means followed by the same lowercase letter in the row or uppercase letter in the column do not differ significantly from each other according to the Scott-Knott grouping test p 0.05 .
Table 7. Quantification of reducing sugars (RS, µmol/g, DM), total soluble sugars (TSS, µmol/g, DM) and starch (µmol/g, DM) of early maturation genotypes 104 and A1, intermediate P2, and late 143 of leaves harvested 55 days after harvest (Aug 2 (P55), Aug 23 (I55), and Sep 20 (T55).
Table 7. Quantification of reducing sugars (RS, µmol/g, DM), total soluble sugars (TSS, µmol/g, DM) and starch (µmol/g, DM) of early maturation genotypes 104 and A1, intermediate P2, and late 143 of leaves harvested 55 days after harvest (Aug 2 (P55), Aug 23 (I55), and Sep 20 (T55).
GenotypesP55I55T55Averages
RS
104369.05 Ab492.97 Aa437.64 Ba324.92
A1480.56 Ab528.37 Ab622.69 Aa407.91
P2515.79 Aa482.75 Aa445.44 Ba361.00
143471.44 Aa438.03 Aa540.3 Aa362.44
Averages366.95362.29402.11
SST
1042336244333402706.49 a
A12032258933022641.02 a
P22164263026792490.98 b
1431974296531042681.03 a
Averages2126.47 C2656.63 B3106.53 A
Starch
1043136294544223500.99 a
A13037297542003404.11 a
P23255300742613507.5 a
14330463051431134369.09 a
Averages3118.35 B2994.48 B4298.44 A
Means followed by the same lowercase letter in the row or uppercase letter in the column do not differ significantly from each other according to the Scott-Knott grouping test p 0.05 .
Table 8. Pearson’s correlation coefficients between leaf variables and climatic factors in four seasons of the year of early maturation genotypes 104 and A1, intermediate P2 and late 143 in four seasons of the year.
Table 8. Pearson’s correlation coefficients between leaf variables and climatic factors in four seasons of the year of early maturation genotypes 104 and A1, intermediate P2 and late 143 in four seasons of the year.
VariableEtpRadiationPhot.Max. T.Min. T.Avg. T.HumidityStarchTSSRSNLLLLWLALDMSLADLAFE
Precip.0.91 *0.76 *0.78 *0.440.98 *0.340.87 *0.440.07−0.67 *0.69 *0.66 *0.66 *0.71 *0.6 *−0.250.82 *
Etp 0.96 *0.94 *0.56 *0.82 *−0.020.91 *0.61 *0.12−0.83 *0.460.83 *0.73 *0.8 *0.71 *−0.400.88 *
Radiation 0.9 *0.69 *0.66 *−0.170.78 *0.71 *0.03−0.80 *0.210.88 *0.7 *0.8 *0.7 *−0.390.85 *
Photo. 0.320.64 *−0.320.95 *0.490.34−0.900.450.76 *0.67 *0.73 *0.69 *−0.54 *0.76 *
Max. T. 0.470.280.150.75 *−0.53 *−0.26−0.210.66 *0.440.55 *0.390.080.64 *
Min. T. 0.52 *0.76 *0.41−0.04−0.53 *0.68 *0.58 *0.6 *0.64 *0.52 *−1.130.77 *
Avg. T. −0.130.00−0.460.340.31−0.110.000.00−0.110.450.12
Humidity 0.340.40−0.84 *0.67 *0.64 *0.64 *0.67 *0.64 *−0.50 *0.72 *
Starch −0.01−0.350.070.56 *0.270.330.13−0.020.67 *
TSS −0.290.42−0.15−0.13−0.15−0.06−0.41−0.12
RS −1.35 *−0.68 *−0.65 *−0.69 *−0.70 *0.74 *−0.68 *
NL 0.060.130.140.09−0.140.33
LL 0.890.93 *0.80 *−0.220.85 *
LW 0.92 *0.84 *−0.260.74 *
LA 0.95 *−1.320.75 *
LDM −0.470.57 *
SLA −0.12
* p 0.05 . Accumulated precipitation (Precip.); potential evapotranspiration (ETp); solar radiation (Radiation); photoperiod (Phot.); maximum temperature (Max. T.); minimum temperature (Min. T.); average temperature (Avg. T.); average relative humidity (Humidity); starch; total soluble sugars (TSS); reducing sugars (RS); plagiotropic branch leaves (NL); Leaf midrib length (LL); maximum leaf blade width (LW); leaf area (LA); leaf dry mass (LDM); specific leaf area (SLA); daily leaf area expansion rate (DLAFE).
Disclaimer/Publisher’s Note: The statements, opinions and data contained in all publications are solely those of the individual author(s) and contributor(s) and not of MDPI and/or the editor(s). MDPI and/or the editor(s) disclaim responsibility for any injury to people or property resulting from any ideas, methods, instructions or products referred to in the content.

Share and Cite

MDPI and ACS Style

Crasque, J.; Lira, J.M.S.; Polonini, G.T.; Souza, T.C.d.; Schmildt, E.R.; Arantes, L.d.O.; Dousseau-Arantes, S. Seasonal Morphological and Biochemical Variation of Coffea canephora Pierre ex A. Froehner (Rubiaceae) Leaves of Early, Intermediate and Late Maturing Genotypes. Plants 2024, 13, 3461. https://doi.org/10.3390/plants13243461

AMA Style

Crasque J, Lira JMS, Polonini GT, Souza TCd, Schmildt ER, Arantes LdO, Dousseau-Arantes S. Seasonal Morphological and Biochemical Variation of Coffea canephora Pierre ex A. Froehner (Rubiaceae) Leaves of Early, Intermediate and Late Maturing Genotypes. Plants. 2024; 13(24):3461. https://doi.org/10.3390/plants13243461

Chicago/Turabian Style

Crasque, Jeane, Jean Marcel Sousa Lira, Giuseppe Tognere Polonini, Thiago Corrêa de Souza, Edilson Romais Schmildt, Lúcio de Oliveira Arantes, and Sara Dousseau-Arantes. 2024. "Seasonal Morphological and Biochemical Variation of Coffea canephora Pierre ex A. Froehner (Rubiaceae) Leaves of Early, Intermediate and Late Maturing Genotypes" Plants 13, no. 24: 3461. https://doi.org/10.3390/plants13243461

APA Style

Crasque, J., Lira, J. M. S., Polonini, G. T., Souza, T. C. d., Schmildt, E. R., Arantes, L. d. O., & Dousseau-Arantes, S. (2024). Seasonal Morphological and Biochemical Variation of Coffea canephora Pierre ex A. Froehner (Rubiaceae) Leaves of Early, Intermediate and Late Maturing Genotypes. Plants, 13(24), 3461. https://doi.org/10.3390/plants13243461

Note that from the first issue of 2016, this journal uses article numbers instead of page numbers. See further details here.

Article Metrics

Back to TopTop