Classification Importance of Seed Morphology and Insights on Large-Scale Climate-Driven Strophiole Size Changes in the Iberian Endemic Chasmophytic Genus Petrocoptis (Caryophyllaceae)
Abstract
1. Introduction
2. Results
2.1. Clustering and Recognisable Morphological Groups
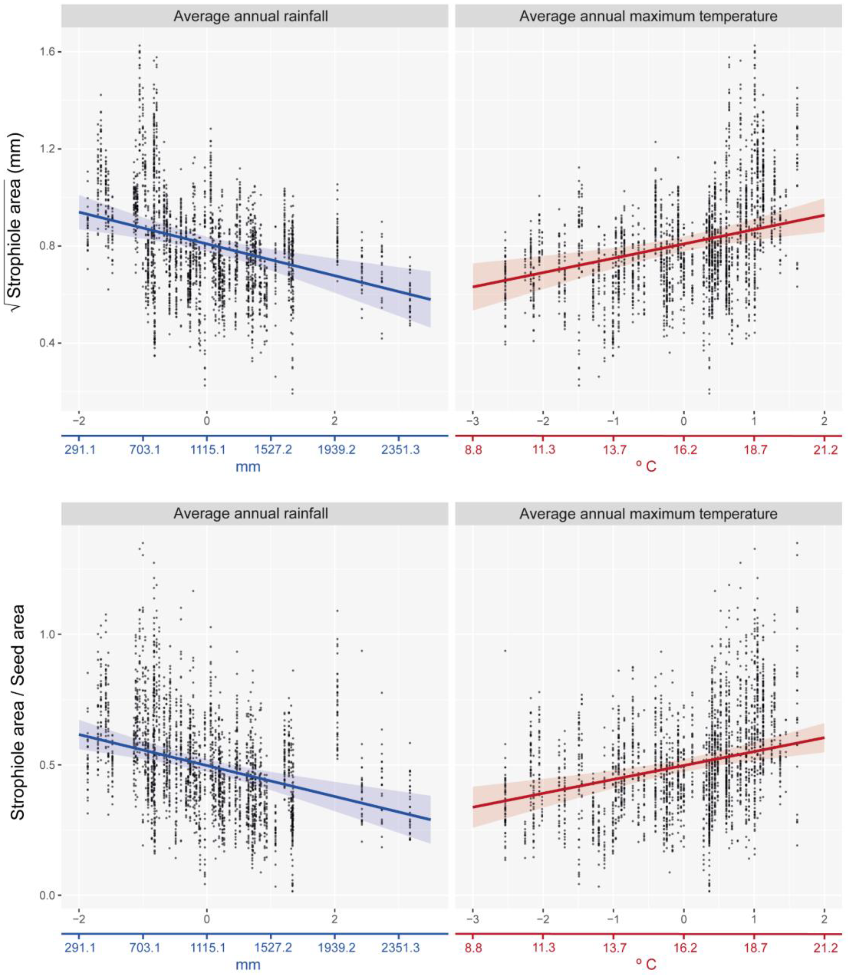
2.2. Climate—Seed Morphology Relationship
3. Discussion
3.1. On the Taxonomic Value of Morphometric Seed Traits in Petrocoptis Seeds
3.2. Relationship Between Climate and Morphological Traits of Petrocoptis Seeds
3.3. On the Biological Role of the Strophiole in Petrocoptis
4. Materials and Methods
4.1. Plant Material: The Genus Petrocoptis
4.2. Sampling
4.3. Measurement and Analysis of Morphological Traits
4.4. Identification of Relationships Among Seed Traits and Climatic Variables
5. Conclusions
Supplementary Materials
Author Contributions
Funding
Data Availability Statement
Acknowledgments
Conflicts of Interest
References
- Rioux, J.; Quézel, P. Contribution a l’etude Des Groupements Rupicoles Endemiques Des Alpes-Maritimes. Vegetatio 1949, 2, 1–13. [Google Scholar] [CrossRef]
- Davis, P.H. Cliff Vegetation in the Eastern Mediterranean. J. Ecol. 1951, 39, 63–93. [Google Scholar] [CrossRef]
- Larson, D.W.; Matthes, U.; Kelly, P.E. Cliff Ecology: Pattern and Process in Cliff Ecosystems; Cambridge University Press: Cambridge, UK, 2000; ISBN 9780521554893. [Google Scholar]
- Lavergne, S.; Garnier, E.; Debussche, M. Do Rock Endemic and Widespread Plant Species Differ under the Leaf–Height–Seed Plant Ecology Strategy Scheme? Ecol. Lett. 2003, 6, 398–404. [Google Scholar] [CrossRef]
- Buira, A.; Cabezas, F.; Aedo, C. Disentangling Ecological Traits Related to Plant Endemism, Rarity and Conservation Status in the Iberian Peninsula. Biodivers. Conserv. 2020, 29, 1937–1958. [Google Scholar] [CrossRef]
- Pérez-Gutiérrez, M.A.; Romero-García, A.T.; Salinas, M.J.; Blanca, G.; Fernández, M.C.; Suárez-Santiago, V.N. Phylogeny of the Tribe Fumarieae (Papaveraceae s.l.) Based on Chloroplast and Nuclear DNA Sequences: Evolutionary and Biogeographic Implications. Am. J. Bot. 2012, 99, 517–528. [Google Scholar] [CrossRef]
- Ebersbach, J.; Muellner-Riehl, A.N.; Michalak, I.; Tkach, N.; Hoffmann, M.H.; Röser, M.; Sun, H.; Favre, A. In and out of the Qinghai-Tibet Plateau: Divergence Time Estimation and Historical Biogeography of the Large Arctic-Alpine Genus Saxifraga, L. J. Biogeogr. 2017, 44, 900–910. [Google Scholar] [CrossRef]
- Machado, T.M.; Loiseau, O.; Paris, M.; Weigand, A.; Versieux, L.M.; Stehmann, J.R.; Lexer, C.; Salamin, N. Systematics of Vriesea (Bromeliaceae): Phylogenetic Relationships Based on Nuclear Gene and Partial Plastome Sequences. Bot. J. Linn. Soc. 2020, 192, 656–674. [Google Scholar] [CrossRef]
- Crespo, M.B.; Martínez-Azorín, M.; Alonso, M.Á.; Sáez, L. Two New Calcicolous Species of Pinguicula Sect. Pinguicula (Lentibulariaceae) Growing on Rocky Habitats of the Iberian Peninsula. Phytotaxa 2020, 456, 269–284. [Google Scholar] [CrossRef]
- Bobo-Pinilla, J.; Peñas, J.; Padilla-García, N.; Martínez-Ortega, M.M. Phylogeny and Phylogeography of Arenaria Section Pseudomoehringia. J. Syst. Evol. 2021, 59, 298–315. [Google Scholar] [CrossRef]
- Otero, A.; Fernández-Mazuecos, M.; Vargas, P. Evolution in the Model Genus Antirrhinum Based on Phylogenomics of Topotypic Material. Front. Plant. Sci. 2021, 12, 631178. [Google Scholar] [CrossRef]
- de Queiroz, L.P.; Cardoso, D.; Fernandes, M.F.; Moro, M.F. Diversity and Evolution of Flowering Plants of the Caatinga Domain. In Caatinga: The Largest Tropical Dry Forest Region in South America; Springer: Berlin/Heidelberg, Germany, 2018; pp. 23–63. [Google Scholar] [CrossRef]
- Médail, F. Plant Biogeography and Vegetation Patterns of the Mediterranean Islands. Bot. Rev. 2022, 88, 63–129. [Google Scholar] [CrossRef]
- Holderegger, R.; Thiel-Egenter, C. A Discussion of Different Types of Glacial Refugia Used in Mountain Biogeography and Phylogeography. J. Biogeogr. 2009, 36, 476–480. [Google Scholar] [CrossRef]
- Gentili, R.; Bacchetta, G.; Fenu, G.; Cogoni, D.; Abeli, T.; Rossi, G.; Salvatore, M.C.; Baroni, C.; Citterio, S. From Cold to Warm-Stage Refugia for Boreo-Alpine Plants in Southern European and Mediterranean Mountains: The Last Chance to Survive or an Opportunity for Speciation? Biodiversity 2015, 16, 247–261. [Google Scholar] [CrossRef]
- Cooper, A. Plant Species Coexistence in Cliff Habitats. J. Biogeogr. 1997, 24, 483–494. [Google Scholar] [CrossRef]
- Pérez-Gutiérrez, M.A.; Romero-García, A.T.; Fernández, M.C.; Blanca, G.; Salinas-Bonillo, M.J.; Suárez-Santiago, V.N. Evolutionary History of Fumitories (Subfamily Fumarioideae, Papaveraceae): An Old Story Shaped by the Main Geological and Climatic Events in the Northern Hemisphere. Mol. Phylogenet. Evol. 2015, 88, 75–92. [Google Scholar] [CrossRef]
- Nobis, M.; Klichowska, E.; Vintsek, L.; Wróbel, A.; Nobis, A.; Zalewska-Gałosz, J.; Nowak, A. Evolutionary Response of Cold-Adapted Chasmophytic Plants to Quaternary Climatic Oscillations in the Mountains of Central Asia (a World Hotspot of Biodiversity). Divers. Distrib. 2023, 29, 1458–1477. [Google Scholar] [CrossRef]
- Lavergne, S.; Thompson, J.D.; Garnier, E.; Lavergne, M.D.; Thompson, S.; Lavergne, S.; Thompson, J.D.; Garnier, E.; Debussche, M. The Biology and Ecology of Narrow Endemic and Widespread Plants: A Comparative Study of Trait Variation in 20 Congeneric Pairs. Oikos 2004, 107, 505–518. [Google Scholar] [CrossRef]
- Thompson, J.D. Plant Evolution in the Mediterranean, 2nd ed.; Oxford University Press: Oxford, UK, 2020; ISBN 0198835140. [Google Scholar]
- Minuto, L.; Grassi, F.; Casazza, G. Ecogeographic and Genetic Evaluation of Endemic Species in the Maritime Alps: The Case of Moehringia lebrunii and M. sedoides (Caryophyllaceae). Plant Biosyst.-Int. J. Deal. Asp. Plant Biol. 2006, 140, 146–155. [Google Scholar] [CrossRef]
- Dixon, C.J.; Gutermann, W.; Schönswetter, P.; Schneeweiss, G.M. Taxonomy and Nomenclature of the Polymorphic European High Mountain Species Androsace (L.) Lapeyr. (Primulaceae). PhytoKeys 2016, 75, 93. [Google Scholar] [CrossRef]
- Jiménez-López, F.J.; Ortiz, M.A.; Berjano, R.; Talavera, S.; Terrab, A. High Population Genetic Substructure in Hypochaeris leontodontoides (Asteraceae), an Endemic Rupicolous Species of the Atlas Mountains in NW Africa. Alp. Bot. 2016, 126, 73–85. [Google Scholar] [CrossRef]
- Postigo Mijarra, J.M.; Barrón, E.; Gómez Manzaneque, F.; Morla, C. Floristic Changes in the Iberian Peninsula and Balearic Islands (South-West Europe) during the Cenozoic. J. Biogeogr. 2009, 36, 2025–2043. [Google Scholar] [CrossRef]
- Barrón, E.; Rivas-Carballo, R.; Postigo-Mijarra, J.M.; Alcalde-Olivares, C.; Vieira, M.; Castro, L.; Pais, J.; Valle-Hernández, M. The Cenozoic Vegetation of the Iberian Peninsula: A Synthesis. Rev. Palaeobot. Palynol. 2010, 162, 382–402. [Google Scholar] [CrossRef]
- Jiménez-Moreno, G.; Fauquette, S.; Suc, J.P. Miocene to Pliocene Vegetation Reconstruction and Climate Estimates in the Iberian Peninsula from Pollen Data. Rev. Palaeobot. Palynol. 2010, 162, 403–415. [Google Scholar] [CrossRef]
- Quesada, C.Q.; Oliveira, J.T. The Geology of Iberia. A Geodynamic Approach—Volume 3: The Alpine Cycle; Springer Nature: Cham, Switzerland, 2019; ISBN 978-3-030-11294-3. [Google Scholar]
- Buira, A.; Aedo, C.; Medina, L. Spatial Patterns of the Iberian and Balearic Endemic Vascular Flora. Biodivers. Conserv. 2017, 26, 479–508. [Google Scholar] [CrossRef]
- Vargas, P.; Morton, C.M.; Jury, S.L. Biogeographic Patterns in Mediterranean and Macaronesian Species of Saxifraga (Saxifragaceae) Inferred from Phylogenetic Analyses of ITS Sequences. Am. J. Bot. 1999, 86, 724–734. [Google Scholar] [CrossRef]
- Fiz, O.; Vargas, P.; Alarcón, M.L.; Aldasoro, J.J. Phylogenetic Relationships and Evolution in Erodium (Geraniaceae) Based on TrnL-TrnF Sequences. Syst. Bot. 2006, 31, 739–763. [Google Scholar] [CrossRef]
- Vargas, P.; Carrió, E.; Guzmán, B.; Amat, E.; Güemes, J. A Geographical Pattern of Antirrhinum (Scrophulariaceae) Speciation since the Pliocene Based on Plastid and Nuclear DNA Polymorphisms. J. Biogeogr. 2009, 36, 1297–1312. [Google Scholar] [CrossRef]
- Alarcón, M.; Vargas, P.; Sáez, L.; Molero, J.; Aldasoro, J.J. Genetic Diversity of Mountain Plants: Two Migration Episodes of Mediterranean Erodium (Geraniaceae). Mol. Phylogenet. Evol. 2012, 63, 866–876. [Google Scholar] [CrossRef]
- Scheunert, A.; Heubl, G. Diversification of Scrophularia (Scrophulariaceae) in the Western Mediterranean and Macaronesia—Phylogenetic Relationships, Reticulate Evolution and Biogeographic Patterns. Mol. Phylogenet. Evol. 2014, 70, 296–313. [Google Scholar] [CrossRef]
- Navarro, T. Systematics and Biogeography of the Genus Teucrium (Lamiaceae). In Teucrium Species: Biology and Applications; Springer Nature: Cham, Switzerland, 2020; pp. 1–38. [Google Scholar] [CrossRef]
- Oxelman, B.; Lidén, M.; Rabeler, R.K.; Popp, M. A Revised Generic Classification of the Tribe Sileneae (Caryophyllaceae). Nord. J. Bot. 2000, 20, 743–748. [Google Scholar] [CrossRef]
- Greenberg, A.K.; Donoghue, M.J. Molecular Systematics and Character Evolution in Caryophyllaceae. Taxon 2011, 60, 1637–1652. [Google Scholar] [CrossRef]
- Jafari, F.; Zarre, S.; Gholipour, A.; Eggens, F.; Rabeler, R.K.; Oxelman, B. A New Taxonomic Backbone for the Infrageneric Classification of the Species-Rich Genus Silene (Caryophyllaceae). Taxon 2020, 69, 337–368. [Google Scholar] [CrossRef]
- Walters, S.M. Flora Europaea, Vol.1: Psilotaceae to Platanaceae; Tutin, T.G., Heywood, V.H., Burges, N.A., Valentine, D.H., Walters, S.M., Webb, D.A., Eds.; Cambridge University Press: Cambridge, UK, 1993; pp. 139–246. [Google Scholar]
- Montserrat, P.; Fernández-Casas, J.; Petrocoptis, A. Braun ex Endl. Flora Iberica Vol.2 Platanaceae-Plumbaginaceae (partim); Castroviejo, S., Laínz, M., López-González, G., Montserrat, P., Muñoz-Garmendia, F., Paiva, J., Villar, L., Eds.; Real Jardín Botánico CSIC: Madrid, Spain, 1990; pp. 304–312. [Google Scholar]
- Bañares, Á.; Blanca, G.; Güemes, J.; Moreno-Saiz, J.C.; Ortiz, S. (Eds.) Atlas y Libro Rojo de La Flora Vascular Amenazada de España. Adenda 2010; Dirección General de Medio Natural y Política Forestal (Ministerio de Medio Ambiente, y Medio Rural y Marino)—Sociedad Española de Biología de la Conservación de Plantas: Madrid, Spain, 2010. [Google Scholar]
- Moreno-Saiz, J.; Iriondo-Alegría, J.; Martínez-García, F.; Martínez-Rodríguez, J.; Salazar-Mendías, C. (Eds.) Atlas y Libro Rojo de La Flora Vascular Amenazada de España. Adenda 2017; Ministerio para la Transición Ecológica—Sociedad Española de Biología de la Conservación de Plantas: Madrid, Spain, 2019. [Google Scholar]
- Rivas-Martínez, S.; Penas, Á.; Del Río, S.; Díaz González, T.E.; Rivas-Sáenz, S. Bioclimatology of the Iberian Peninsula and the Balearic Islands. In The Vegetation of the Iberian Peninsula; Springer: Cham, Switzerland, 2017; Volume 12, pp. 29–80. ISBN 978-3-319-54784-8. [Google Scholar]
- Bradshaw, A.D. Evolutionary Significance of Phenotypic Plasticity in Plants. Adv. Genet. 1965, 13, 115–155. [Google Scholar] [CrossRef]
- Schlichting, C.D. The Evolution of Phenotypic Plasticity in Plants. Annu. Rev. Ecol. Syst. 1986, 17, 667–693. [Google Scholar] [CrossRef]
- Schlichting, C.D.; Smith, H. Phenotypic Plasticity: Linking Molecular Mechanisms with Evolutionary Outcomes. Evol. Ecol. 2002, 16, 189–211. [Google Scholar] [CrossRef]
- Futuyma, D.J.; Moreno, G. The Evolution of Ecological Specialization. Annu. Rev. Ecol. Evol. Syst. 1988, 19, 207–233. [Google Scholar] [CrossRef]
- Kawecki, T.J.; Ebert, D. Conceptual Issues in Local Adaptation. Ecol. Lett. 2004, 7, 1225–1241. [Google Scholar] [CrossRef]
- Gould, B.; Moeller, D.A.; Eckhart, V.M.; Tiffin, P.; Fabio, E.; Geber, M.A. Local Adaptation and Range Boundary Formation in Response to Complex Environmental Gradients across the Geographical Range of Clarkia xantiana ssp. Xantiana. J. Ecol. 2014, 102, 95–107. [Google Scholar] [CrossRef]
- Sultan, S.E. Phenotypic Plasticity for Plant Development, Function and Life History. Trends Plant Sci. 2000, 5, 537–542. [Google Scholar] [CrossRef]
- Valladares, F.; Wright, S.J.; Lasso, E.; Kitajima, K.; Pearcy, R.W. Plastic Phenotypic Response to Light of 16 Congeneric Shrubs from a Panamanian Rainforest. Ecology 2000, 81, 1925–1936. [Google Scholar] [CrossRef]
- Sultan, S.E. Phenotypic Plasticity for Fitness Components in Polygonum Species of Contrasting Ecological Breadth. Ecology 2001, 82, 328–343. [Google Scholar] [CrossRef]
- Gianoli, E.; Valladares, F. Studying Phenotypic Plasticity: The Advantages of a Broad Approach. Biol. J. Linn. Soc. 2012, 105, 1–7. [Google Scholar] [CrossRef]
- Dostál, P.; Fischer, M.; Prati, D. Phenotypic Plasticity Is a Negative, Though Weak, Predictor of the Commonness of 105 Grassland Species. Glob. Ecol. Biogeogr. 2016, 25, 464–474. [Google Scholar] [CrossRef]
- Palacio-López, K.; Beckage, B.; Scheiner, S.; Molofsky, J. The Ubiquity of Phenotypic Plasticity in Plants: A Synthesis. Ecol. Evol. 2015, 5, 3389–3400. [Google Scholar] [CrossRef]
- Valladares, F.; Gianoli, E.; Gómez, J.M. Ecological Limits to Plant Phenotypic Plasticity. New Phytol. 2007, 176, 749–763. [Google Scholar] [CrossRef]
- Murren, C.J.; Auld, J.R.; Callahan, H.; Ghalambor, C.K.; Handelsman, C.A.; Heskel, M.A.; Kingsolver, J.G.; Maclean, H.J.; Masel, J.; Maughan, H.; et al. Constraints on the Evolution of Phenotypic Plasticity: Limits and Costs of Phenotype and Plasticity. Heredity 2015, 115, 293–301. [Google Scholar] [CrossRef]
- Atkin, O.K.; Scheurwater, I.; Pons, T. High Thermal Acclimation Potential of Both Photosynthesis and Respiration in Two Lowland Plantago Species in Contrast to an Alpine Congeneric. Glob. Chang. Biol. 2006, 12, 500–515. [Google Scholar] [CrossRef]
- Emery, R.J.N.; Chinnappa, C.C.; Chmielewski, J.G. Specialization, Plant Strategies, and Phenotypic Plasticity in Populations of Stellaria longipes along an Elevational Gradient. Int. J. Plant Sci. 1994, 155, 203–219. [Google Scholar] [CrossRef]
- Hulshof, C.M.; Violle, C.; Spasojevic, M.J.; Mcgill, B.; Damschen, E.; Harrison, S.; Enquist, B.J. Intra-Specific and Inter-Specific Variation in Specific Leaf Area Reveal the Importance of Abiotic and Biotic Drivers of Species Diversity across Elevation and Latitude. J. Veg. Sci. 2013, 24, 921–931. [Google Scholar] [CrossRef]
- Stotz, G.C.; Salgado-Luarte, C.; Escobedo, V.M.; Valladares, F.; Gianoli, E. Global Trends in Phenotypic Plasticity of Plants. Ecol. Lett. 2021, 24, 2267–2281. [Google Scholar] [CrossRef]
- Tejero, P.; Otamendi, M.; Arrieta, M.; Etxeberria, M.; Agut, A.; Hermosilla, B.; Navarro, L.; Martínez-Ortega, M.M.; Calvo-Yuste, J.; Malvar-Ferreras, T.; et al. Informe Científico-Técnico Del Proyecto PRIOCONEX; Aranzadi: Cizur Menor, Spain, 2022. [Google Scholar]
- Ridley, H.N. The Dispersal of Plants Throughout the World; L. Reeve & Co: Ashford, UK, 1930. [Google Scholar]
- Rishbeth, J. The Flora of Cambridge Walls. J. Ecol. 1948, 36, 136. [Google Scholar] [CrossRef]
- Sernander, R. Entwurf Einer Monographie der Europäischen Myrmekochoren; Almqvist & Wiksells: Uppsala, Sweden, 1906. [Google Scholar]
- García, M.B.; Espadaler, X.; Olesen, J.M. Extreme Reproduction and Survival of a True Cliffhanger: The Endangered Plant Borderea chouardii (Dioscoreaceae). PLoS ONE 2012, 7, e44657. [Google Scholar] [CrossRef]
- Lengyel, S.; Gove, A.D.; Latimer, A.M.; Majer, J.D.; Dunn, R.R. Convergent Evolution of Seed Dispersal by Ants, and Phylogeny and Biogeography in Flowering Plants: A Global Survey. Perspect. Plant Ecol. Evol. Syst. 2010, 12, 43–55. [Google Scholar] [CrossRef]
- Ortega-Olivencia, A.; Rodríguez-Riaño, T.; López, J.; Valtueña, F.J. Elaiosome-Bearing Plants from the Iberian Peninsula and the Balearic Islands. Biodivers. Conserv. 2021, 30, 1137–1163. [Google Scholar] [CrossRef]
- Castroviejo, S.; Laínz, M.; López González, G.; Montserrat, P.; Muñoz Garmendia, F.; Paiva, J.; Villar, L. (Eds.) . Flora Iberica Vol. 2; Real Jardín Botánico CSIC: Madrid, Spain, 1990. [Google Scholar]
- Bewley, J.D.; Bradford, K.J.; Hilhorst, H.W.M.; Nonogaki, H. Seeds: Physiology of Development, Germination and Dormancy, 3rd ed.; Springer: Berlin/Heidelberg, Germany, 2013; ISBN 9781461446927. [Google Scholar]
- Leubner, G. The Seed Biology Place. Available online: http://www.seedbiology.eu (accessed on 10 November 2024).
- Mayol, M.; Rosselló, J.A. A Synopsis of Silene Subgenus Petrocoptis (Caryophyllaceae). Taxon 1999, 48, 471–482. [Google Scholar] [CrossRef]
- Navarro, L.; Guitián, J. Seed Germination and Seedling Survival of Two Threatened Endemic Species of the Northwest Iberian Peninsula. Biol. Conserv. 2003, 109, 313–320. [Google Scholar] [CrossRef]
- Prieto-Mossi, J.; García-Mut, L.; Estrelles Perpiñá, E.; Ibars Almonacil, A.M. Protocolo de Germinación y Cultivo de Petrocoptis pardoi Pau (CARYOPHYLLACEAE). Botanic asPPECTS 2017, 3, 7–12. [Google Scholar]
- García, M.B.; Antor, R.J.; Villar, L. Reproductive Biology of Petrocoptis crassifolia Rouy (Caryophyllaceae), a Chasmophilous Endemic Plant of the Central Pyrenes. Bot. Helv. 1993, 103, 133–140. [Google Scholar]
- Mayol, M.; Rosselló, J.A. Two New Combinations in Silene (Caryophyllaceae). An. Jardín Botánico Madr. 2000, 57, 404. [Google Scholar]
- Donohue, K.; Rubio De Casas, R.; Burghardt, L.; Kovach, K.; Willis, C.G. Germination, Postgermination Adaptation, and Species Ecological Ranges. Annu. Rev. Ecol. Evol. Syst. 2010, 41, 293–319. [Google Scholar] [CrossRef]
- Wofford, B.E. External Seed Morphology of Arenaria (Caryophyllaceae) of the Southeastern United States. Syst. Bot. 1981, 6, 126. [Google Scholar] [CrossRef]
- Wyatt, R. Intraspecific Variation in Seed Morphology of Arenaria uniflora (Caryophyllaceae). Syst. Bot. 1984, 9, 423. [Google Scholar] [CrossRef]
- Montserrat-Martí, J.M. Morfología de Las Semillas de Moehringia Gr. intricata (Caryophyllaceae). Lagascalia 1988, 15, 195–203. [Google Scholar]
- Ocaña, M.E.; Fernández González, I.; Pastor Díaz, J.E. Fruit and Seed Morphology in Paronychia Miller from South-West Spain. Lagascalia 1997, 19, 521–528. [Google Scholar]
- Yildiz, K. Seed Morphology of Caryophyllaceae Species from Turkey (North Anatolia). Pak. J. Bot. 2002, 34, 161–171. [Google Scholar]
- Minuto, L.; Fior, S.; Roccotiello, E.; Casazza, G. Seed Morphology in Moehringia, L. and Its Taxonomic Significance in Comparative Studies within the Caryophyllaceae. Plant Syst. Evol. 2006, 262, 189–208. [Google Scholar] [CrossRef]
- Prentice, H.C. Climate and Clinal Variation in Seed Morphology of the White Campion, Silene latifolia (Caryophyllaceae). Biol. J. Linn. Soc. 1986, 27, 179–189. [Google Scholar] [CrossRef]
- Zhou, X.; He, Z.-B.; Kang, H.-Z.; Sun, X.; Liu, C.-J. Variations of Seed Morphology Related to Climate for Quercus variabilis across Temperate-Subtropical China. Chin. J. Plant Ecol. 2013, 37, 481–491. [Google Scholar] [CrossRef]
- Padonou, E.A.; Ahossou, O.; Okou, F.; Assogbadjo, A.; Glèlè, K.; Lykke, A.M.; Sinsin, B. Impact of Climate on Seed Morphology and Plant Growth of Caesalpinia bonduc L. in West Africa. Int. J. Agron. Agric. Res. 2015, 6, 86–96. [Google Scholar]
- Leslie, A.B.; Beaulieu, J.M.; Mathews, S. Variation in Seed Size Is Structured by Dispersal Syndrome and Cone Morphology in Conifers and Other Nonflowering Seed Plants. New Phytol. 2017, 216, 429–437. [Google Scholar] [CrossRef]
- Mira, S.; Arnal, A.; Pérez-Garciá, F. Habitat-Correlated Seed Germination and Morphology in Populations of Phillyrea angustifolia, L. (Oleaceae). Seed Sci. Res. 2017, 27, 50–60. [Google Scholar] [CrossRef]
- Martínez-López, M.; Tinoco-Ojanguren, C.; Martorell, C. Drought Tolerance Increases with Seed Size in a Semiarid Grassland from Southern Mexico. Plant Ecol. 2020, 221, 989–1003. [Google Scholar] [CrossRef]
- Correns, C. Vererbungsversuche Mit Blass(Gelb)Grünen. Z. Indukt. Abstammungs- Vererbungsl. 1908; 1, 291–329. [Google Scholar] [CrossRef]
- Roach, D.A.; Wulff, R.D. Maternal Effects in Plants. Annu. Rev. Ecol. Syst. 1987, 18, 209–235. [Google Scholar] [CrossRef]
- Li, N.; Li, Y. Maternal Control of Seed Size in Plants. J. Exp. Bot. 2015, 66, 1087–1097. [Google Scholar] [CrossRef]
- Hagon, M.W.; Ballard, L.A.T. Reversibility of Strophiolar Permeability to Water in Seeds of Subterranean Clover (Trifolium subterraneum L.). Aust. J. Biol. Sci. 1970, 23, 519–528. [Google Scholar] [CrossRef]
- Ballard, L. Strophiolar Water Conduction in Seeds of the Trifolieae Induced by Action on the Testa at Non-Strophiolar Sites. Funct. Plant Biol. 1976, 3, 465–469. [Google Scholar] [CrossRef]
- Kigel, J.; Galili, G. Seed Development and Germination; Kigel, J., Galili, G., Eds.; Routledge: New York, NY, USA, 1995; ISBN 9780203740071. [Google Scholar]
- Gould, S.J.; Vrba, E.S. Exaptation—A Missing Term in the Science of Form. Paleobiology 1982, 8, 4–15. [Google Scholar] [CrossRef]
- Barker, N.P. A Review and Survey of Basicarpy, Geocarpy and Amphicarpy in the African and Madagascan Flora. Ann. Mo. Bot. Gard. 2005, 92, 445–462. [Google Scholar]
- Llorens, L. Un Nuevo Endemismo de La Isla de Menorca: Apium bermejoi. Folia Botanica Miscellanea 1982, 3, 27–33. [Google Scholar]
- Ellison, A.M.; Gotelli, N.J. Evolutionary Ecology of Carnivorous Plants. Trends Ecol. Evol. 2001, 16, 623–629. [Google Scholar] [CrossRef]
- Müller-Schneider, P.; Lhotská, M. Zur Terminologie der Verbreitungsbiologie der Blütenpflanzen. Folia Geobot. Phytotaxon. 1971, 6, 407–417. [Google Scholar] [CrossRef]
- Gorb, E.; Gorb, S. Seed Dispersal by Ants in a Deciduous Forest Ecosystem; Springer Netherlands: Dordrecht, The Netherlands, 2003; ISBN 978-90-481-6317-5. [Google Scholar]
- Rothmaler, W. Monographie Der Gattung Petrocoptis. Bot. Jahrb. Syst. Pflanzengesch. Pflanzengeogr. 1941, 72, 117–130. [Google Scholar]
- Merxmüller, H.; Grau, J. Ergänzende Studien an Petrocoptis (Caryophyllaceae). Collect. Bot. 1968, 7, 787–797. [Google Scholar]
- de Bolòs, O.; Rivas-Martínez, S. Comentarios Sobre El Género Petrocoptis. Petrocoptis Montsicciana Sp. Nova. An. Inst. Botánico Cavanilles 1970, 26, 53–60. [Google Scholar]
- Mayol, M.; Rosselló, J.A. Seed Isozyme Variation in Petrocoptis A. Braun (Caryophyllaceae). Biochem. Syst. Ecol. 2001, 29, 379–392. [Google Scholar] [CrossRef]
- Cires, E.; Prieto, J.A.F. Phylogenetic Relationships of Petrocoptis A. Braun Ex Endl. (Caryophyllaceae), a Discussed Genus from the Iberian Peninsula. J. Plant Res. 2015, 128, 223–238. [Google Scholar] [CrossRef]
- Holmgren, P.K.; Holmgren, N.H.; Barnett, L.C. Index Herbariorum. Part I: The Herbaria of the World; Regnum vegetabile. New York Botanical Gardens; Bohn Stafleu van Loghum: Houten, Netherlands, 1990; p. 120. [Google Scholar]
- Thiers, B. Index Herbariorum: A Global Directory of Public Herbaria and Associated Staff. Am. J. Plant Sci. 2017, 8. [Google Scholar]
- Talavera, S.; Silene, L. Flora iberica Vol. 2 Platanaceae-Plumbaginaceae (partim); Castroviejo, S., Laínz, M., López-González, G., Montserrat, P., Muñoz-Garmendia, F., Paiva, J., Villar, L., Eds.; Real Jardín Botánico, CSIC: Madrid, Spain, 1990; pp. 313–406. [Google Scholar]
- Eggens, F. Systematics in Sileneae (Caryophyllaceae)—Taxonomy and Phylogenetic Patterns; Acta Universitatis Upsaliensis: Uppsala, Sweden, 2006. [Google Scholar]
- Hartigan, J.A.; Wong, M.A. A K-Means Clustering Algorithm. Appl. Stat. 1979, 28, 100–108. [Google Scholar] [CrossRef]
- Ahmed, M.; Seraj, R.; Islam, S.M.S. The K-Means Algorithm: A Comprehensive Survey and Performance Evaluation. Electronics 2020, 9, 1295. [Google Scholar] [CrossRef]
- Charrad, M.; Ghazzali, N.; Boiteau, V.; Niknafs, A. NbClust: An R Package for Determining the Relevant Number of Clusters in a Data Set. J. Stat. Softw. 2014, 61, 1–36. [Google Scholar] [CrossRef]
- Kassambara, A.; Mundt, F. Extract and Visualize the Results of Multivariate Data Analyses [R Package Factoextra Version 1.0.7]; Gesis: Mannheim, Germany, 2020. [Google Scholar]
- Patil, I. Visualizations with Statistical Details: The “ggstatsplot” Approach. J. Open Source Softw. 2021, 6, 3167. [Google Scholar] [CrossRef]
- Breiman, L. Random Forests. Mach. Learn. 2001, 45, 5–32. [Google Scholar] [CrossRef]
- Breiman, L. Manual on Setting Up, Using, and Understanding Random Forests v3; Statistics Department University of California Berkeley, CA, USA, 2002.
- Liaw, A.; Wiener, M. Classification and Regression by RandomForest. R News 2002, 2, 18–22. [Google Scholar]
- Rothmaler, W. Flora Europaea Vol.1: Lycopodiaceae to Platanaceae; Tutin, T.G., Heywood, V.H., Burges, N.A., Valentine, D.H., Walters, S.M., Webb, D.A., Eds.; Cambridge University Press: Cambridge, UK, 1964. [Google Scholar]
- Kuhn, M. Building Predictive Models in R Using the Caret Package. J. Stat. Softw. 2008, 28, 1–26. [Google Scholar] [CrossRef]
- Cohen, J. A Coefficient of Agreement for Nominal Scales. Educ. Psychol. Meas. 1960, 20, 37–46. [Google Scholar] [CrossRef]
- Sim, J.; Wright, C.C. The Kappa Statistic in Reliability Studies: Use, Interpretation, and Sample Size Requirements. Phys. Ther. 2005, 85, 257–268. [Google Scholar] [CrossRef]
- Greenwell, B.M.; Boehmke, B.C. Variable Importance Plots—An Introduction to the Vip Package. R J. 2020, 12, 343. [Google Scholar] [CrossRef]
- Meyer, D.; Dimitriadou, E.; Hornik, K.; Weingessel, A.; Leisch, F.; Chang, C.-C.; Lin, C.-C. E1071: Misc Functions of the Department of Statistics, Probability Theory Group (Formerly: E1071), TU Wien. CRAN.R-Project; 2023.
- Greenwell, B.M. Pdp: An R Package for Constructing Partial Dependence Plots. R J. 2017, 9, 421. [Google Scholar] [CrossRef]
- Ninyerola, M.; Pons, X.; Roure, J.M. Atlas Climático Digital de La Peninsula Ibérica. Metodología y Aplicaciones En Bioclimatología y Geobotánica; Universitat Autónoma de Barcelona: Barcelona, Spain, 2005; ISBN 932860-8-7. [Google Scholar]
- Sakamoto, Y.; Ishiguro, M.; Kitagawa, G. Akaike Information Criterion Statistics; D. Reidel: Dordrecht, The Netherlands, 1986. [Google Scholar]
- Cavanaugh, J.E. Unifying the Derivations for the Akaike and Corrected Akaike Information Criteria. Stat. Probab. Lett. 1997, 33, 201–208. [Google Scholar] [CrossRef]
- Biecek, P. DALEX: Explainers for Complex Predictive Models. J. Mach. Learn. Res. 2018, 19, 1–48. [Google Scholar]
- Biecek, P.; Baniecki, H.; Ingredients: Effects and Importances of Model Ingredients. CRAN 2023. Available online: https://cran.r-project.org/web/packages/ingredients/ingredients.pdf (accessed on 10 November 2024).







| Reference | Accuracy | 0.8723 | ||||||
| a | b | c | 95% CI | (0.8475, 0.8943) | ||||
| Prediction | a | 74 | 2 | 8 | No Information Rate | 0.6107 | ||
| b | 5 | 460 | 41 | p-value [Acc > NIR] | <2 × 10−16 | |||
| c | 9 | 40 | 183 | Kappa | 0.7606 | |||
| Statistics by class | a | b | c | |||||
| Sensitivity | 0.8409 | 0.9163 | 0.7888 | |||||
| Specificity | 0.9864 | 0.8562 | 0.9169 | |||||
| Balanced Accuracy | 0.9136 | 0.8863 | 0.8529 | |||||
| (a) | ||||||
| Modeli | Variables | df | AICi | ΔAICbest-i | R2 (marg.) | |
| Mbest | rainfall | tmax | 6 | −4721.343 | 0.627 | |
| M1 | rainfall | 5 | −4716.826 | 4.517 | 0.547 | |
| M2 | tmax | 5 | −4714.916 | 6.427 | 0.514 | |
| Mnull | 4 | −4700.129 | 21.214 | 0.000 | ||
| (b) | ||||||
| Modeli | Variables | df | AICi | ΔAICbest-i | R2 (marg.) | |
| Mbest | rainfall | tmax | 6 | −5545.624 | 0.461 | |
| M1 | rainfall | 5 | −5539.669 | 7.019 | 0.376 | |
| M2 | tmax | 5 | −5538.395 | 7.334 | 0.330 | |
| Mnull | 4 | −5521.420 | 25.378 | 0.000 | ||
| (a) | |||||||
| Parameter | Coefficient | SE | 95% CI | t | df | p Value | |
| Fixed effects | (Intercept) | 0.81 | 0.02 | (0.78, 0.84) | 53.41 | 2137 | <0.001 |
| rainfall | −0.07 | 0.02 | (−0.10, −0.03) | −4.02 | 78 | <0.001 | |
| tmax | 0.06 | 0.02 | (0.03, 0.09) | 3.74 | 78 | <0.001 | |
| Random effects | SD pop (Intercept) | 0.13 | |||||
| SD pop:ind (Intercept) | 0.08 | ||||||
| SD pop:ind (Residual) | 0.08 | ||||||
| (b) | |||||||
| Parameter | Coefficient | SE | 95% CI | t | df | p value | |
| Fixed effects | (Intercept) | 0.50 | 0.01 | (0.47, 0.52) | 40.79 | 2137 | <0.001 |
| rainfall | −0.06 | 0.01 | (−0.08, −0.03) | −4.22 | 78 | <0.001 | |
| tmax | 0.05 | 0.01 | (0.03, 0.08) | 4.17 | 78 | <0.001 | |
| Random effects | SD pop (Intercept) | 0.10 | |||||
| SD pop:ind (Intercept) | 0.09 | ||||||
| SD pop:ind (Residual) | 0.10 | ||||||
| Montserrat & Fernández Casas (1990) [39] | Walters (1993) [38] | Mayol & Rosselló (1999, corr. 2000) [71,75] | Present Study | ||||
|---|---|---|---|---|---|---|---|
| Taxa | Petrocoptis grandiflora Rothm. | Petrocoptis grandiflora Rothm. | Petrocoptis grandiflora Rothm. | Petrocoptis grandiflora Rothm. | Silene laxipruinosa Mayol & Rosselló | Silene laxipruinosa Mayol & Rosselló | b ▲ |
| Petrocoptis pyrenaica (Bergeret) A.Braun ex Walp. | P. pyrenaica subsp. viscosa (Rothm.) P.Monts. & Fern.Casas | Petrocoptis pyrenaica (Bergeret) A.Braun ex Walp. | P. pyrenaica subsp. viscosa (Rothm.) P.Monts. & Fern.Casas | Silene pyrenaica (Bergeret) Mayol & Rosselló | S. pyrenaica subsp. pyrenaica | b ▲ | |
| P. pyrenaica subsp. glaucifolia (Lag.) P.Monts. & Fern.Casas | P. pyrenaica subsp. glaucifolia (Lag.) P.Monts. & Fern.Casas | b ▲ * | |||||
| P. pyrenaica subsp. pyrenaica | P. pyrenaica subsp. pyrenaica | b ▲ | |||||
| Petrocoptis hispanica Pau | Petrocoptis hispanica Pau | Petrocoptis hispanica Pau | Petrocoptis hispanica Pau | c ■ | |||
| Petrocoptis pseudoviscosa Fern. Casas | Petrocoptis pseudoviscosa Fern. Casas | S. pyrenaica subsp. pseudoviscosa (Fern. Casas) Mayol & Rosselló | b ▲ | ||||
| Petrocoptis crassifolia Rouy | Petrocoptis crassifolia Rouy | Petrocoptis crassifolia Rouy | Petrocoptis crassifolia Rouy | Silene montserratii (Fern. Casas) Mayol & Rosselló | S. montserratii subsp. crassifolia (Rouy) Mayol & Rosselló | a ● | |
| Petrocoptis montserratii Fern. Casas | Petrocoptis montserratii Fern. Casas | S. montserratii subsp. montserratii | a ● * | ||||
| Petrocoptis guarensis Fern. Casas | Petrocoptis guarensis Fern. Casas | Petrocoptis pardoi Pau | Petrocoptis pardoi Pau | Silene pardoi (Pau) Mayol & Rosselló | S. pardoi subsp. guarensis (Fern. Casas) Mayol & Rosselló | c ■ | |
| Petrocoptis montsicciana O.Bolòs & Rivas Mart. | Petrocoptis montsicciana O.Bolòs & Rivas Mart. | S. pardoi subsp. pardoi | c ■ * | ||||
| Petrocoptis pardoi Pau | Petrocoptis pardoi Pau | c ■ | |||||
| Ngroups | 9 (species) | 11 (species + subspecies) | 5 (species) | 7 (species + subspecies) | 4 (species) | 7 (species + subspecies) | 3 (morpho- groups) |
| Accuracy | 63.14% | 47.69% | 68.49% | 53.77% | 76.89% | 68.61% | 87.23% |
Disclaimer/Publisher’s Note: The statements, opinions and data contained in all publications are solely those of the individual author(s) and contributor(s) and not of MDPI and/or the editor(s). MDPI and/or the editor(s) disclaim responsibility for any injury to people or property resulting from any ideas, methods, instructions or products referred to in the content. |
© 2024 by the authors. Licensee MDPI, Basel, Switzerland. This article is an open access article distributed under the terms and conditions of the Creative Commons Attribution (CC BY) license (https://creativecommons.org/licenses/by/4.0/).
Share and Cite
Calvo-Yuste, J.; Ruiz-Rodríguez, Á.L.; Hermosilla, B.; Agut, A.; Martínez-Ortega, M.M.; Tejero, P. Classification Importance of Seed Morphology and Insights on Large-Scale Climate-Driven Strophiole Size Changes in the Iberian Endemic Chasmophytic Genus Petrocoptis (Caryophyllaceae). Plants 2024, 13, 3208. https://doi.org/10.3390/plants13223208
Calvo-Yuste J, Ruiz-Rodríguez ÁL, Hermosilla B, Agut A, Martínez-Ortega MM, Tejero P. Classification Importance of Seed Morphology and Insights on Large-Scale Climate-Driven Strophiole Size Changes in the Iberian Endemic Chasmophytic Genus Petrocoptis (Caryophyllaceae). Plants. 2024; 13(22):3208. https://doi.org/10.3390/plants13223208
Chicago/Turabian StyleCalvo-Yuste, Jorge, Ángela Lis Ruiz-Rodríguez, Brais Hermosilla, Agustí Agut, María Montserrat Martínez-Ortega, and Pablo Tejero. 2024. "Classification Importance of Seed Morphology and Insights on Large-Scale Climate-Driven Strophiole Size Changes in the Iberian Endemic Chasmophytic Genus Petrocoptis (Caryophyllaceae)" Plants 13, no. 22: 3208. https://doi.org/10.3390/plants13223208
APA StyleCalvo-Yuste, J., Ruiz-Rodríguez, Á. L., Hermosilla, B., Agut, A., Martínez-Ortega, M. M., & Tejero, P. (2024). Classification Importance of Seed Morphology and Insights on Large-Scale Climate-Driven Strophiole Size Changes in the Iberian Endemic Chasmophytic Genus Petrocoptis (Caryophyllaceae). Plants, 13(22), 3208. https://doi.org/10.3390/plants13223208

