The Role of Salicylic Acid in Salinity Stress Mitigation in Dizygostemon riparius: A Medicinal Species Native to South America
Abstract
1. Introduction
2. Results
2.1. Phenotypic Aspects of Plants
2.2. Impact of SA Applications on Plant Ecophysiology During Exposure to Different Salinity Levels
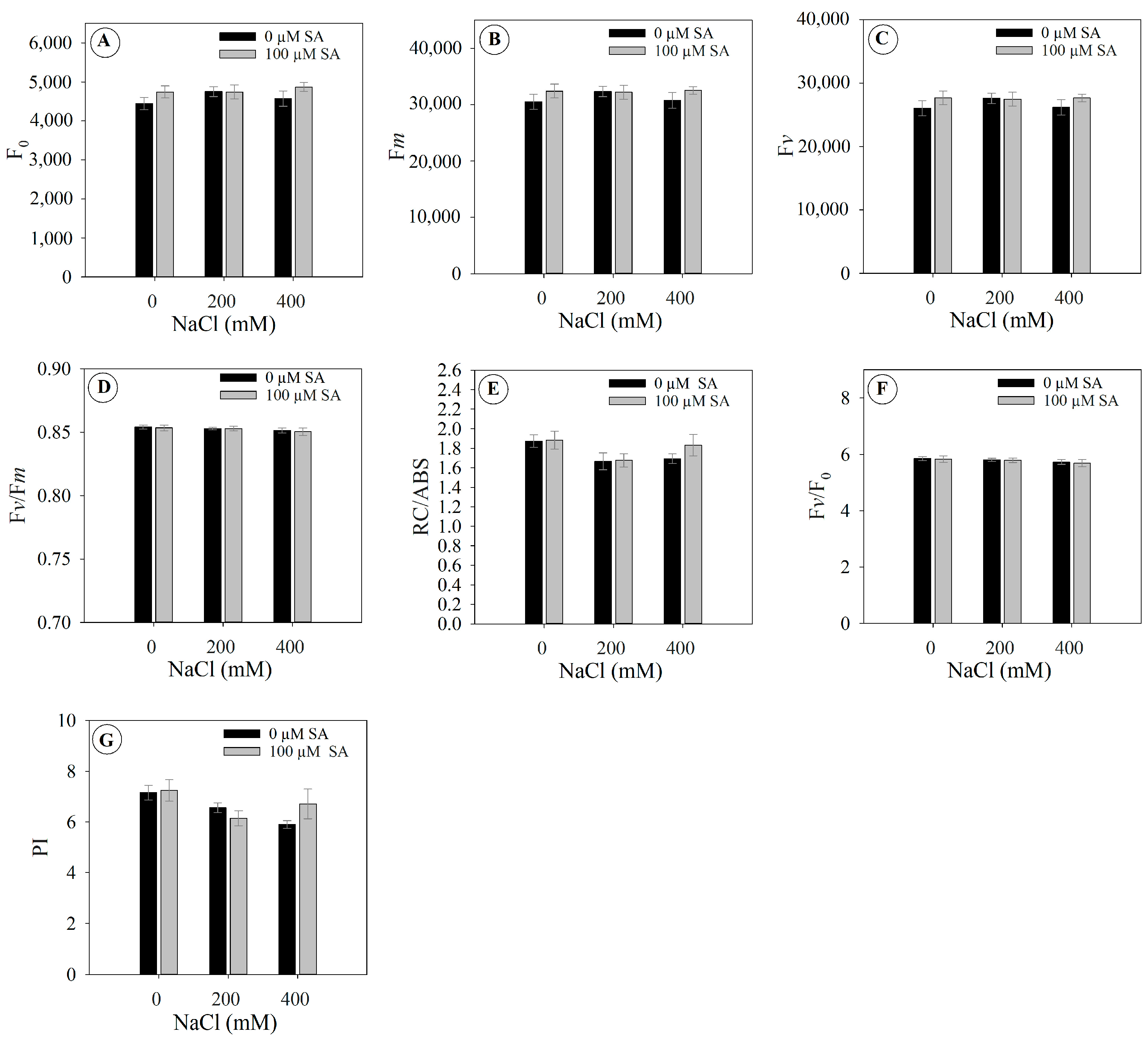
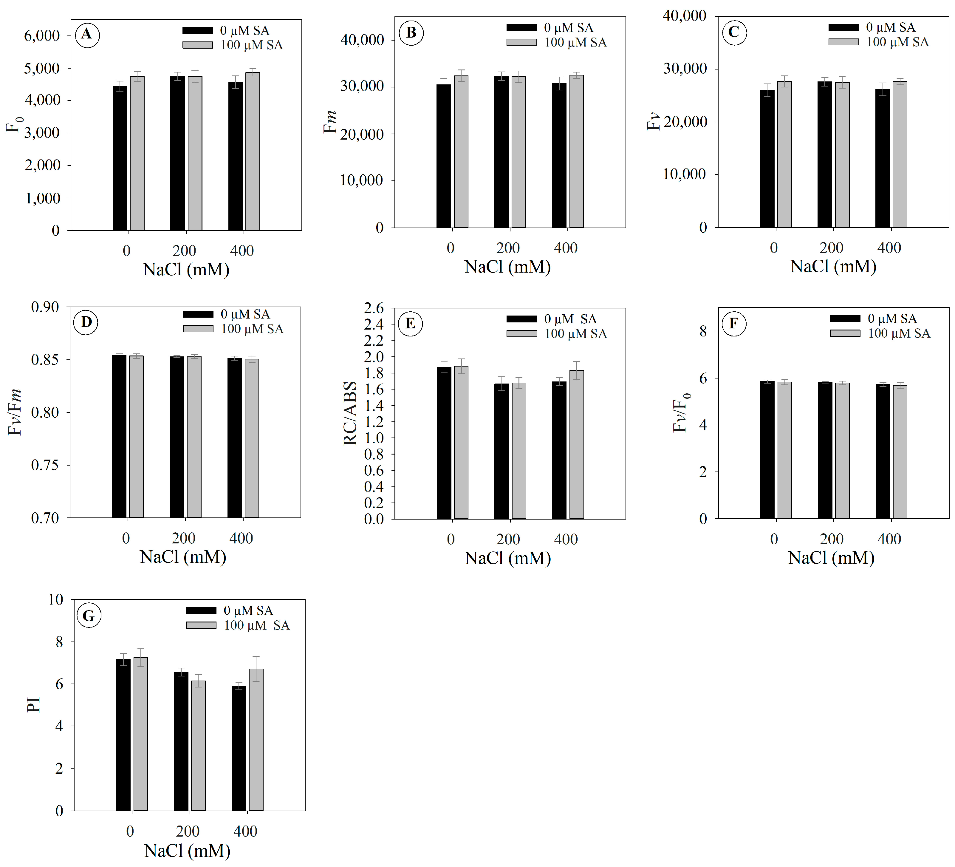
2.3. Impact of SA Applications on Chlorophyll Fluorescence and Photosynthetic Pigments After Six Days of Plant Under Different Salinity Levels
2.4. Impact of SA Applications on Gas Exchange After Six Days of Plant Under Different Salinity Levels
2.5. High Salinity Affects Leaf Temperature
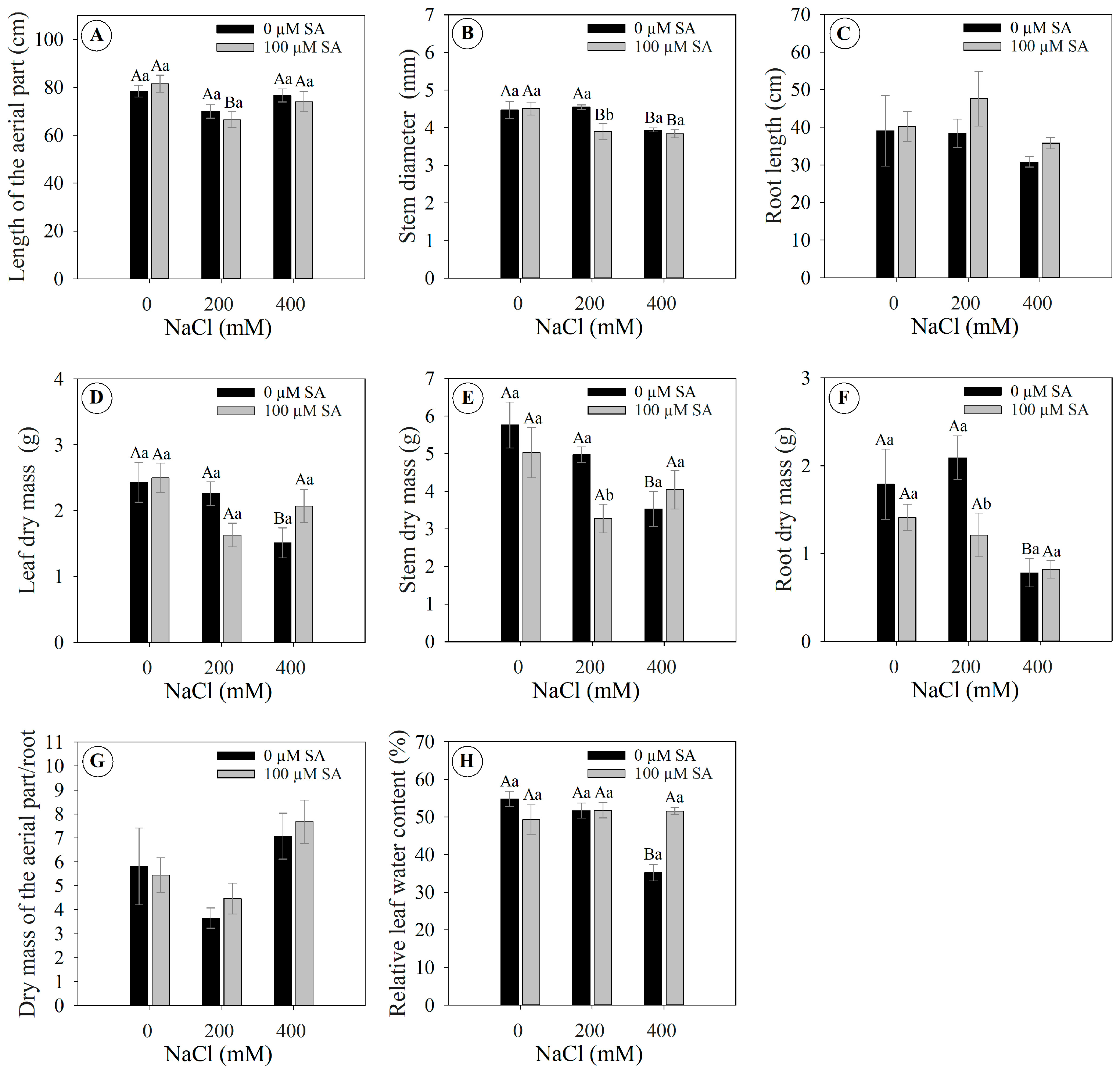
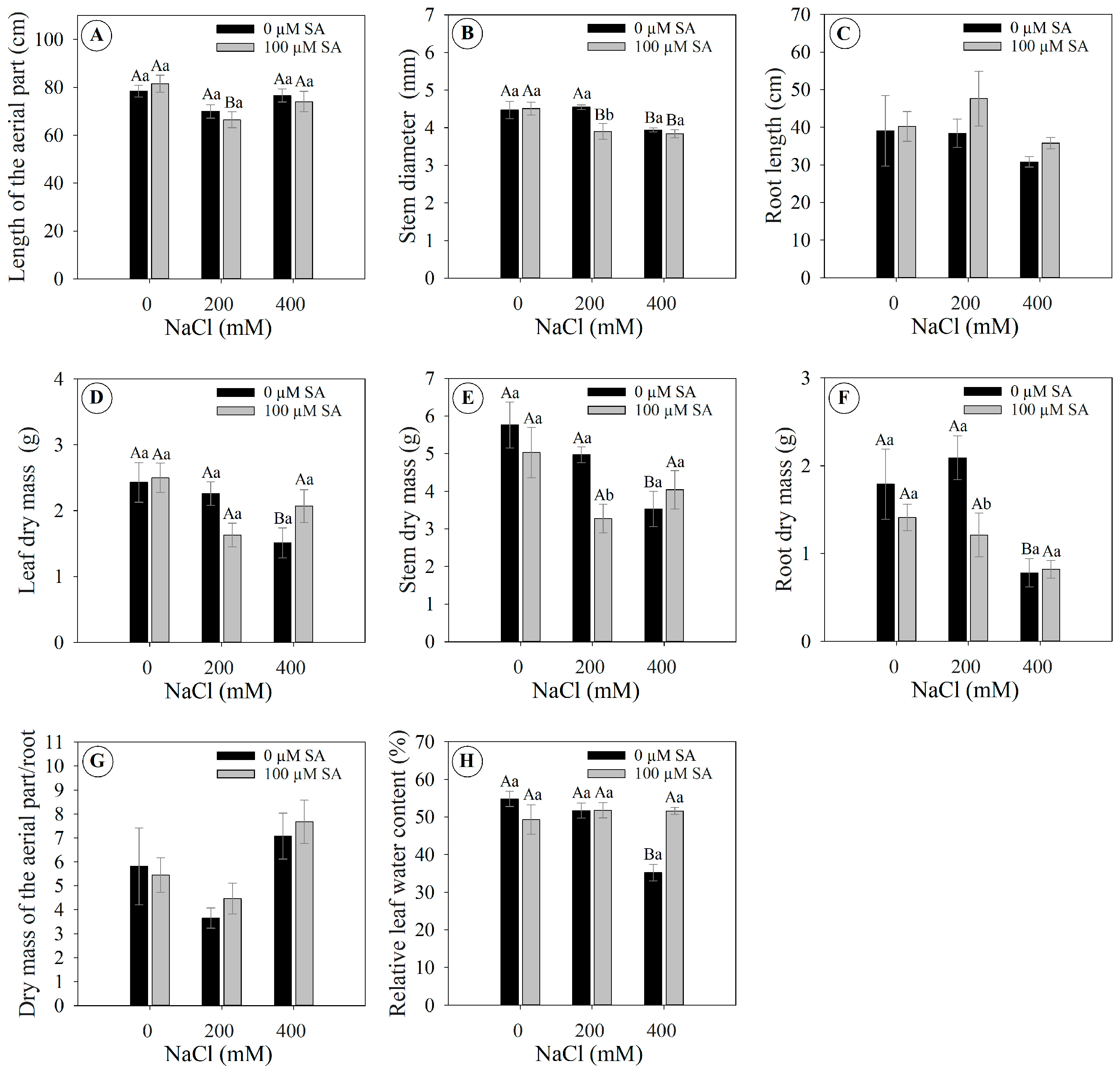
2.6. SA Applications and Salinity Levels Affect Growth and Dry Mass
2.7. Proline and Total Soluble Carbohydrates Concentrations in Leaves
3. Discussion
4. Materials and Methods
4.1. Plant Material and Experimental Conditions
4.2. Salicylic Acid and Salinity Treatments
4.3. Chlorophyll a Fluorescence and Leaf Gas Exchange
4.4. Extraction and Quantification of Photosynthetic Pigments
4.5. Leaf Thermography
4.6. Relative Leaf Water Content
4.7. Growth and Development Analysis
4.8. Total Carbohydrates Concentration in Leaf
4.9. Proline Concentration in Leaf
4.10. Experimental Design and Statistical Analysis
5. Conclusions
Supplementary Materials
Author Contributions
Funding
Data Availability Statement
Acknowledgments
Conflicts of Interest
References
- Singh, A. Soil salinity: A global threat to sustainable development. Soil Use Manag. 2022, 38, 39–67. [Google Scholar] [CrossRef]
- Hualpa-Ramirez, E.; Carrasco-Lozano, E.C.; Madrid-Espinoza, J.; Tejos, R.; Ruiz-Lara, S.; Stange, C.; Norambuena, L. Stress salinity in plants: New strategies to cope with in the foreseeable scenario. Plant Physiol. Biochem. 2024, 208, 108507. [Google Scholar] [CrossRef]
- Negacz, K.; Malek, Ž.; de-Vos, A.; Vellinga, P. Saline soils worldwide: Identifying the most promising areas for saline agriculture. J. Arid Environ. 2022, 203, 104775. [Google Scholar] [CrossRef]
- Ribeiro, M.R.; Freire, F.J.; Montenegro, A.A. Solos halomórficos no Brasil: Ocorrência, gênese, classificação, uso e manejo sustentável. In Tópicos em Ciência do Solo; Curi, N., Marques, J.J., Guilherme, L.R.G., Lima, J.M., Lopes, A.S., Alvarez, V.V.H., Eds.; Sociedade Brasileira de Ciência do Solo: Viçosa, Brazil, 2003; pp. 165–208. [Google Scholar]
- Martins, A.L.S.; Teixeira, W.G.; Silva, M.B.E. Saline Soils in the Baixada Maranhense: A Case Study in Maranhäo State, Brazil. In Proceedings of the Global Symposium on Salt-Affected Soils, Online, 20–22 October; 2021. Available online: https://www.fao.org/fileadmin/user_upload/GSP/GSAS21/002.pdf (accessed on 29 October 2024).
- Balasubramaniam, T.; Shen, G.; Esmaeili, N.; Zhang, H. Plants’ Response Mechanisms to Salinity Stress. Plants 2023, 12, 2253. [Google Scholar] [CrossRef] [PubMed]
- Fu, H.; Yang, Y. How Plants Tolerate Salt Stress. Curr. Issues Mol. Biol. 2023, 45, 5914–5934. [Google Scholar] [CrossRef]
- Song, L.; Ding, R.; Du, T.; Kang, S.; Tong, L.; Xue, F.; Wei, Z. Stomatal conductance parameters of tomatoes are regulated by reducing osmotic potential and pre-dawn leaf water potential via increasing ABA under salt stress. Environ. Exp. Bot. 2023, 206, 105176. [Google Scholar] [CrossRef]
- Aguiló-Nicolau, P.; Iñiguez, C.; Capó-Bauçà, S.; Galmés, J. Rubisco kinetic adaptations to extreme environments. Plant J. 2024, 119, 2599–2608. [Google Scholar] [CrossRef] [PubMed]
- Mahapatra, K.; Roy, S. SOG1 and BRCA1 interdependently regulate RAD54 expression for repairing salinity-induced DNA double-strand breaks in Arabidopsis. Plant Cell Physil. 2024, 65, 708–728. [Google Scholar] [CrossRef]
- Rizk, M.S.; Assaha, D.V.; Mekawy, A.M.M.; Shalaby, N.E.; Ramadan, E.A.; El-Tahan, A.M.; Ueda, A. Comparative analysis of salinity tolerance mechanisms in two maize genotypes: Growth performance, ion regulation, and antioxidant responses. BMC Plant Biol. 2024, 24, 818. [Google Scholar] [CrossRef]
- Basu, S.; Kumar, G. Regulation of nitro-oxidative homeostasis: An effective approach to enhance salinity tolerance in plants. Plant Cell Rep. 2024, 43, 193. [Google Scholar] [CrossRef]
- Rodrigues, M.J.; Neng, N.; Custódio, L. NaCl elicitation enhances metabolite accumulation and stress resilience in Inula crithmoides L. shoot cultures: Implications for its nutritional and medicinal value. Plant Cell Tissue Organ Cult. 2024, 157, 17. [Google Scholar] [CrossRef]
- Srivastava, A.K.; Pasala, R.; Minhas, P.S.; Suprasanna, P. Plant bioregulators for sustainable agriculture: Integrating redox signaling as a possible unifying mechanism. Adv. Agron. 2016, 137, 237–278. [Google Scholar] [CrossRef]
- Hussein, M.M.; Balbaa, L.K.; Gaballah, M.S. Salicylic acid and salinity effects on growth of maize plants. Res. J. Agric. Biol. Sci. 2007, 3, 321–328. [Google Scholar]
- Jayakannan, M.; Bose, J.; Babourina, O.; Rengel, Z.; Shabala, S. Salicylic acid in plant salinity stress signalling and tolerance. Plant Growth Regul. 2015, 76, 25–40. [Google Scholar] [CrossRef]
- Yang, W.; Zhou, Z.; Chu, Z. Emerging roles of salicylic acid in plant saline stress tolerance. Int. J. Mol. Sci. 2023, 24, 3388. [Google Scholar] [CrossRef]
- Ilyas, M.; Maqsood, M.F.; Shahbaz, M.; Zulfiqar, U.; Ahmad, K.; Naz, N.; Ali, H.M. Alleviating salinity stress in canola (Brassica napus L.) through exogenous application of salicylic acid. BMC Plant Biol. 2024, 24, 611. [Google Scholar] [CrossRef]
- Raskin, I. Role of salicylic acid in plants. Annu. Rev. Plant Biol. 1992, 43, 439–463. [Google Scholar] [CrossRef]
- Chen, Z.; Zheng, Z.; Huang, J.; Lai, Z.; Fan, B. Biosynthesis of salicylic acid in plants. Plant Signal. Behav. 2009, 4, 493–496. [Google Scholar] [CrossRef]
- Kaya, C.; Ugurlar, F.; Ashraf, M.; Ahmad, P. Salicylic acid interacts with other plant growth regulators and signal molecules in response to stressful environments in plants. Plant Physiol. Biochem. 2023, 196, 431–443. [Google Scholar] [CrossRef]
- Jeyasri, R.; Muthuramalingam, P.; Karthick, K.; Shin, H.; Choi, S.H.; Ramesh, M. Methyl jasmonate and salicylic acid as powerful elicitors for enhancing the production of secondary metabolites in medicinal plants: An updated review. Plant Cell Tissue Organ Cult. 2023, 153, 447–458. [Google Scholar] [CrossRef]
- Scatigna, A.V.; Brandão, C.M.; Colletta, G.D.; Teles, R.d.M.; Cavalcante, K.S.B.; Souza, V.C.; Simões, A.O. Dizygostemon riparius (Plantaginaceae, Gratioleae), a new species from Maranhão, northeastern Brazil. Willdenowia 2019, 49, 177–186. [Google Scholar] [CrossRef]
- Scatigna, A.V.; Colletta, G.D.; Souza, V.C. Dizygostemon in Flora e Funga do Brasil. Jardim Botânico do Rio de Janeiro. Available online: https://floradobrasil.jbrj.gov.br/FB619096 (accessed on 29 October 2024).
- Galvão, F.S.; Rocha, C.Q.d.; Monteiro, O.S.; Figueiredo, P.L.B.; Santos, P.V.L.; Maia, J.G.S. Seasonal and Circadian Evaluation of the Essential Oil of Dizygostemon riparius (Plantaginaceae), a Wild Flavoring Herb from East Maranhão, Brazil. Chem. Biodivers. 2023, 20, e202300864. [Google Scholar] [CrossRef]
- Corrêa, L.A.D.; Rodrigues, A.A.C.; Dias, L.R.C.; Silva, E.K.C.; Monteiro, O.D.S.; Oliveira, L.d.J.M.G.d. Antifungal potential of essential oils from Pectis brevipedunculata and Dizygostemon riparius in anthracnose control in mango. Rev. Bras. Frutic. 2023, 45, e-889. [Google Scholar] [CrossRef]
- Brandão, C.M.; Cavalcante, K.S.B.; Teles, R.d.M.; Marques, G.E.d.C.; Monteiro, O.S.; Andrade, E.H.A.; Maia, J.G.S. Composition and Larvicidal Activity of the Oil of Dizygostemon riparius (Plantaginaceae), a New Aromatic Species Occurring in Maranhão, Brazil. Chem. Biodivers. 2020, 17, e2000462. [Google Scholar] [CrossRef]
- Ferreira, M.C.; Nojosa, E.C.N.; Marques, I.S.; Santos, D.R.d.; Marques, G.E.d.C.; Cavalcante, K.S.B.; Teles, R.d.M.; Barbosa, D.R.e.S. Bioactivity of essential oils of Dizygostemon riparius (Plantaginaceae) on Tetranychus neocaledonicus (Acari: Tetranychidae). Search Sq. 2024, 1, 1–16. [Google Scholar] [CrossRef]
- Martins, S.M.A.; Cavalcante, K.S.B.; Teles, R.d.M.; Brandão, C.M.; Godinho, A.S.; Silva, L.K.; Holanda, C.A.; da Rocha, C.Q. Chemical profiling of Dizygostemon riparius (Plantaginaceae) plant extracts and its application against larvae of Aedes aegypti L. (diptera: Culicidae). Acta Trop. 2023, 237, 106706. [Google Scholar] [CrossRef]
- Munns, R.; Tester, M. Mechanisms of salinity tolerance. Annu Rev Plant Biol. 2008, 59, 651–681. [Google Scholar] [CrossRef] [PubMed]
- Toscano, S.; Romano, D.; Ferrante, A. Molecular Responses of Vegetable, Ornamental Crops, and Model Plants to Salinity Stress. Int. J. Mol. Sci. 2023, 24, 3190. [Google Scholar] [CrossRef] [PubMed] [PubMed Central]
- Duarte, B.; Santos, D.; Marques, J.C.; Caçador, I. Ecophysiological constraints of two invasive plant species under a saline gradient: Halophytes versus glycophytes. Estuar. Coast. Shelf Sci. 2015, 167, 154–165. [Google Scholar] [CrossRef]
- Cheeseman, J.M. The evolution of halophytes, glycophytes and crops, and its implications for food security under saline conditions. New Phytol. 2015, 206, 557–570. [Google Scholar] [CrossRef]
- Felipe, S.H.S.; Batista, D.S.; Vital, C.E.; Chagas, K.; Silva, P.O.; Silva, T.D.; Otoni, W.C. Salinity-induced modifications on growth, physiology and 20-hydroxyecdysone levels in Brazilian-ginseng [Pfaffia glomerata (Spreng.) Pedersen]. Plant Physiol. Biochem. 2019, 140, 43–54. [Google Scholar] [CrossRef] [PubMed]
- Parida, A.K.; Das, A.B. Salt tolerance and salinity effects on plants: A review. Ecotoxicol. Environ. Saf. 2005, 60, 324–349. [Google Scholar] [CrossRef] [PubMed]
- Ashraf, M. Biotechnological approach of improving plant salt tolerance using antioxidants as markers. Biotechnol. Adv. 2009, 27, 84–93. [Google Scholar] [CrossRef] [PubMed]
- Keya, S.S.; Mostofa, M.G.; Rahman, M.M.; Das, A.K.; Sultana, S.; Ghosh, P.K.; Tran, L.S.P. Salicylic acid application improves photosynthetic performance and biochemical responses to mitigate saline stress in cotton. J. Plant Growth Regul. 2023, 42, 5881–5894. [Google Scholar] [CrossRef]
- Maqsood, M.F.; Shahbaz, M.; Zulfiqar, U.; Saman, R.U.; Rehman, A.; Naz, N.; Haider, F.U. Enhancing wheat growth and yield through salicylic acid-mediated regulation of gas exchange, antioxidant defense, and osmoprotection under salt stress. Stresses 2023, 3, 372–386. [Google Scholar] [CrossRef]
- Apon, T.A.; Ahmed, S.F.; Bony, Z.F.; Chowdhury, M.R.; Asha, J.F.; Biswas, A. Sett priming with salicylic acid improves salinity tolerance of sugarcane (Saccharum officinarum L.) during early stages of crop development. Heliyon 2023, 9, e16030. [Google Scholar] [CrossRef]
- Farooq, M.; Hussain, M.; Rehman, H. Salicylic acid induced enhancement in the growth and yield of maize under saline conditions. J. Plant Growth Regul. 2015, 34, 316–326. [Google Scholar] [CrossRef]
- Lacerda, C.N.D.; Lima, G.S.D.; Soares, L.A.D.A.; Fátima, R.T.D.; Gheyi, H.R.; de Azevedo, C.A. Morphophysiology and production of guava as a function of water salinity and salicylic acid. Rev. Bras. Eng. Agrícola Ambient. 2022, 26, 451–458. [Google Scholar] [CrossRef]
- Oliveira, V.K.N.; Lima, G.D.; Soares, M.D.M.; Soares, L.D.A.; Gheyi, H.R.; Silva, A.D.; Fernandes, P.D. Salicylic acid does not mitigate salt stress on the morphophysiology and production of hydroponic melon. Braz. J. Biol. 2022, 82, e262664. [Google Scholar] [CrossRef]
- Nobre, R.G.; Araujo, J.B.; de Carvalho, K.M.; Bezerra, I.L.; Silva, L.D.A.; Anjos Soares, L.A.; Filho, R.A.R. Quality of yellow passion fruit seedlings under saline water irrigation and salicylic acid concentrations. Rev. Caatinga 2022, 26, e11879. [Google Scholar] [CrossRef]
- Silveira, J.A.G.; Araújo, S.A.M.; Lima, J.P.M.S.; Viégas, R.A. Roots and leaves display contrasting osmotic adjustment mechanisms in response to NaCl-salinity in Atriplex nummularia. Environ. Exp. Bot. 2009, 66, 1–8. [Google Scholar] [CrossRef]
- Viégas, R.A.; Silveira, J.A.G. Ammonia assimilation and proline accumulation in cashew plants subjected to long term exposure to NaCl-salinity. Braz. J. Plant Physiol. 1999, 11, 153–159. [Google Scholar]
- Karamian, R.; Ghasemlou, F.; Amiri, H. Physiological evaluation of drought stress tolerance and recovery in Verbascum sinuatum plants treated with methyl jasmonate, salicylic acid and titanium dioxide nanoparticles. Plant Biosyst.-Int. J. Deal. All Asp. Plant Biol. 2020, 154, 277–287. [Google Scholar] [CrossRef]
- Wellburn, A.R. The spectral determination of chlorophylls a and b, as well as total carotenoids, using various solvents with spectrophotometers of different resolution. J. Plant Physiol. 1994, 144, 307–313. [Google Scholar] [CrossRef]
- Barr, H.D.; Weatherley, P.E. A re-examination of the relative turgidity technique for estimating water deficit in leaves. Aust. J. Biol. Sci. 1962, 15, 413–428. [Google Scholar] [CrossRef]
- Dubois, M.; Gilles, K.A.; Hamilton, J.K.; Rebers, P.A.; Smith, F. Colorimetric method for determination of sugars and related substances. Anal. Chem. 1956, 28, 350–356. [Google Scholar] [CrossRef]
- Bates, L.S.; Waldren, R.P.; Teare, I.D. Rapid determination of free proline for water-stress studies. Short communication. Plant Soil 1973, 39, 205–207. [Google Scholar] [CrossRef]
- Cruz, C.D. Genes Software—extended and integrated with the R, Matlab and Selegen. Acta Sci. Agron. 2016, 38, 547–552. [Google Scholar] [CrossRef]








Disclaimer/Publisher’s Note: The statements, opinions and data contained in all publications are solely those of the individual author(s) and contributor(s) and not of MDPI and/or the editor(s). MDPI and/or the editor(s) disclaim responsibility for any injury to people or property resulting from any ideas, methods, instructions or products referred to in the content. |
© 2024 by the authors. Licensee MDPI, Basel, Switzerland. This article is an open access article distributed under the terms and conditions of the Creative Commons Attribution (CC BY) license (https://creativecommons.org/licenses/by/4.0/).
Share and Cite
Albuquerque, I.C.; Silva-Moraes, V.K.d.O.; Alves, G.L.; Pinheiro, J.F.; Henschel, J.M.; Lima, A.d.S.; Rivas, P.M.S.; Andrade, J.R.d.; Batista, D.S.; Reis, F.d.O.; et al. The Role of Salicylic Acid in Salinity Stress Mitigation in Dizygostemon riparius: A Medicinal Species Native to South America. Plants 2024, 13, 3111. https://doi.org/10.3390/plants13213111
Albuquerque IC, Silva-Moraes VKdO, Alves GL, Pinheiro JF, Henschel JM, Lima AdS, Rivas PMS, Andrade JRd, Batista DS, Reis FdO, et al. The Role of Salicylic Acid in Salinity Stress Mitigation in Dizygostemon riparius: A Medicinal Species Native to South America. Plants. 2024; 13(21):3111. https://doi.org/10.3390/plants13213111
Chicago/Turabian StyleAlbuquerque, Irislene Cutrim, Vitória Karla de Oliveira Silva-Moraes, Givago Lopes Alves, Jordanya Ferreira Pinheiro, Juliane Maciel Henschel, Aldilene da Silva Lima, Priscila Marlys Sá Rivas, Jailma Ribeiro de Andrade, Diego Silva Batista, Fabrício de Oliveira Reis, and et al. 2024. "The Role of Salicylic Acid in Salinity Stress Mitigation in Dizygostemon riparius: A Medicinal Species Native to South America" Plants 13, no. 21: 3111. https://doi.org/10.3390/plants13213111
APA StyleAlbuquerque, I. C., Silva-Moraes, V. K. d. O., Alves, G. L., Pinheiro, J. F., Henschel, J. M., Lima, A. d. S., Rivas, P. M. S., Andrade, J. R. d., Batista, D. S., Reis, F. d. O., Ferraz, T. M., Figueiredo, F. A. M. M. d. A., Catunda, P. H. A., Corrêa, T. R., & Felipe, S. H. S. (2024). The Role of Salicylic Acid in Salinity Stress Mitigation in Dizygostemon riparius: A Medicinal Species Native to South America. Plants, 13(21), 3111. https://doi.org/10.3390/plants13213111

