Patterns of Leaf and Fruit Morphological Variation in Marginal Populations of Acer tataricum L. subsp. tataricum
Abstract
1. Introduction
2. Materials and Methods
2.1. Plant Material
2.2. Leaf and Fruit Morphometric Analysis
2.3. Statistical Analysis
3. Results
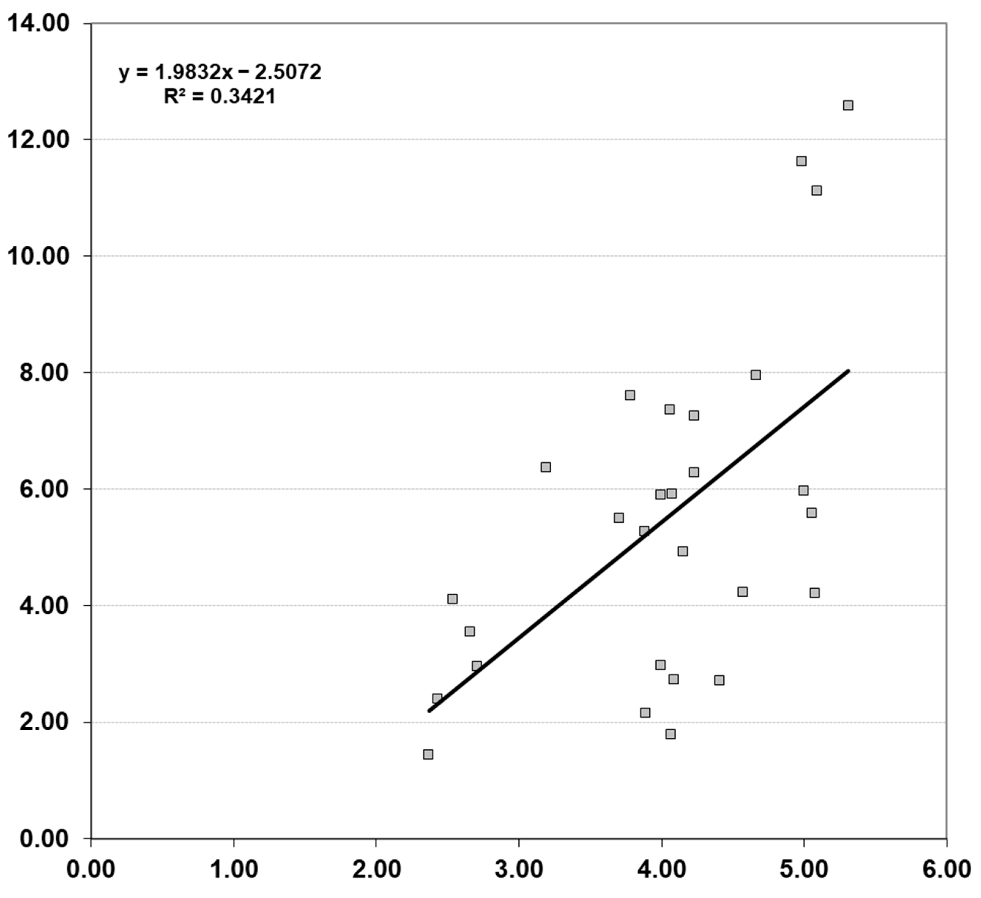
3.1. Correlations
3.2. Leaf Phenotypic Traits
3.3. Fruit Phenotypic Traits
3.4. Analysis of Variance—ANOVA
3.5. Mantel Test
4. Discussion
5. Conclusions
Supplementary Materials
Author Contributions
Funding
Data Availability Statement
Conflicts of Interest
References
- Matesanz, S.; Gianoli, E.; Valladares, F. Global change and the evolution of phenotypic plasticity in plants. Ann. N. Y. Acad. Sci. 2010, 1206, 35–55. [Google Scholar] [CrossRef] [PubMed]
- Khadivi-Khub, A.; Karimi, S.; Kameli, M. Morphological diversity of naturally grown Crataegus monogyna (Rosaceae, Maloideae) in Central Iran. Braz. J. Bot. 2015, 38, 921–936. [Google Scholar] [CrossRef]
- Vázquez, D.P.; Gianoli, E.; Morris, W.F.; Bozinovic, F. Ecological and evolutionary impacts of changing climatic variability. Biol. Rev. 2015, 92, 22–42. [Google Scholar] [CrossRef] [PubMed]
- Royer, D.L.; Meyerson, L.A.; Robertson, K.M.; Adams, J.M. Phenotypic Plasticity of Leaf Shape along a Temperature Gradient in Acer rubrum. PLoS ONE 2009, 4, e7653. [Google Scholar] [CrossRef]
- McKee, M.L.; Royer, D.L.; Poulos, H.M. Experimental evidence for species-dependent responses in leaf shape to temperature: Implications for paleoclimate inference. PLoS ONE 2019, 14, e0218884. [Google Scholar] [CrossRef]
- Leuschner, C.; Voß, S.; Foetzki, A.; Clases, Y. Variation in leaf area index and stand leaf mass of European beech across gradients of soil acidity and precipitation. Plant Ecol. 2006, 186, 247–258. [Google Scholar] [CrossRef]
- Souza, M.L.; Duarte, A.A.; Lovato, M.B.; Fagundes, M.; Valladares, F.; Lemos-Filho, J.P. Climatic factors shaping intraspecific leaf trait variation of a neotropical tree along a rainfall gradient. PLoS ONE 2018, 13, e0208512. [Google Scholar] [CrossRef]
- Ackerly, D.; Knight, C.; Weiss, S.; Barton, K.; Starmer, K. Leaf size, specific leaf area and microhabitat distribution of chaparral woody plants: Contrasting patterns in species level and community level analyses. Oecologia 2002, 130, 449–457. [Google Scholar] [CrossRef]
- Xu, F.; Guo, W.; Xu, W.; Wei, Y.; Wang, R. Leaf morphology correlates with water and light availability: What consequences for simple and compound leaves? Prog. Nat. Sci. 2009, 19, 1789–1798. [Google Scholar] [CrossRef]
- Soleimani, A.; Etemad, V.; Calagari, M.; Namiranian, M.; Shirvani, A. Influence of climatic factors on fruit morphological traits in Populus euphratica Oliv. Ann. For. Res. 2014, 57, 31–38. [Google Scholar] [CrossRef][Green Version]
- Gao, S.; Wang, B.; Liu, F.; Zhao, J.; Yuan, J.; Xiao, S.; Masabni, J.; Zou, F.; Yuan, D. Variation in Fruit Morphology and Seed Oil Fatty Acid Composition of Camellia oleifera Collected from Diverse Regions in Southern China. Horticulturae 2022, 8, 818. [Google Scholar] [CrossRef]
- Ertan, E. Variability in leaf and fruit morphology and in fruit composition of chestnuts (Castanea sativa Mill.) in the Nazilli region of Turkey. Genet. Resour. Crop Evol. 2007, 54, 691–699. [Google Scholar] [CrossRef]
- Santos, R.C.; Pires, J.L.; Correa, R.X. Morphological characterization of leaf, flower, fruit and seed traits among Brazilian Theobroma L. species. Genet. Resour. Crop Evol. 2012, 59, 327–345. [Google Scholar] [CrossRef]
- Wójkiewicz, B.; Litkowiec, M.; Wachowiak, W. Contrasting patterns of genetic variation in core and peripheral populations of highly outcrossing and wind pollinated forest tree species. AoB Plants 2016, 8, plw054. [Google Scholar] [CrossRef] [PubMed]
- Kvesić, S.; Hodžić, M.M.; Ballian, D.; Gömöry, D.; Fussi, B. Genetic variation of a widespread subdominant tree species (Acer campestre L.) in Bosnia and Herzegovina. Tree Genet. Genomes 2020, 16, 82. [Google Scholar] [CrossRef]
- Motahari, B.; Shabanian, N.; Rahmani, M.-S.; Mohammad-Hasani, F. Genetic diversity and genetic structure of Acer monspessulanum L. across Zagros forests of Iran using molecular markers. Gene 2021, 769, 145245. [Google Scholar] [CrossRef]
- Hamrick, J.L.; Godt, M.J.W.; Sherman-Broyles, S.L. Factors influencing levels of genetic diversity in woody plant species. In Population Genetics of Forest Trees; Springer: Berlin/Heidelberg, Germany, 1992; pp. 95–124. [Google Scholar]
- Ramel, C. Biodiversity and intraspecific genetic variation. Pure Appl. Chem. 1998, 70, 2079–2084. [Google Scholar] [CrossRef][Green Version]
- Morente-López, J.; García, C.; Lara-Romero, C.; García-Fernández, A.; Draper, D.; Iriondo, J.M. Geography and Environment Shape Landscape Genetics of Mediterranean Alpine Species Silene ciliata Poiret. (Caryophyllaceae). Front. Plant Sci. 2018, 9, 1698. [Google Scholar] [CrossRef]
- Wright, S. Isolation by distance. Genetics 1943, 28, 114–138. [Google Scholar] [CrossRef]
- Wang, I.J.; Bradburd, G.S. Isolation by environment. Mol. Ecol. 2014, 23, 5649–5662. [Google Scholar] [CrossRef]
- Sexton, J.P.; Hangartner, S.B.; Hoffmann, A. Genetic isolation by environment or distance: Which pattern of gene flow is most common? Evolution 2013, 68, 1–15. [Google Scholar] [CrossRef] [PubMed]
- Kawecki, T.J. Adaptation to Marginal Habitats. Annu. Rev. Ecol. Evol. Syst. 2008, 39, 321–342. [Google Scholar] [CrossRef]
- Sexton, J.P.; McIntyre, P.J.; Angert, A.L.; Rice, K.J. Evolution and Ecology of Species Range Limits. Annu. Rev. Ecol. Evol. Syst. 2009, 40, 415–436. [Google Scholar] [CrossRef]
- Eckert, C.G.; Samis, K.E.; Lougheed, S.C. Genetic variation across species’ geographical ranges: The central–marginal hypothesis and beyond. Mol. Ecol. 2008, 17, 1170–1188. [Google Scholar] [CrossRef] [PubMed]
- Langin, K.M.; Sillett, T.S.; Funk, W.C.; Morrison, S.A.; Ghalambor, C.K. Partial support for the central–marginal hypothesis within a population: Reduced genetic diversity but not increased differentiation at the range edge of an island endemic bird. Heredity 2017, 119, 8–15. [Google Scholar] [CrossRef] [PubMed]
- Hampe, A.; Petit, R.J. Conserving biodiversity under climate change: The rear edge matters. Ecol. Lett. 2005, 8, 461–467. [Google Scholar] [CrossRef]
- Vakkari, P.; Rusanen, M.; Heikkinen, J.; Huotari, T.; Kärkkäinen, K. Patterns of genetic variation in leading-edge populations of Quercus robur: Genetic patchiness due to family clusters. Tree Genet. Genomes 2020, 16, 73. [Google Scholar] [CrossRef]
- Morente-Lopez, J.; Lara-Romero, C.; Garica-Fernandez, A.; Rubio Teso, M.T.; Prieto-Benitez, S.; Iriondo, J.M. Gene flow effects on populations inhabiting marginal areas: Origin matters. J. Ecol. 2020, 109, 139–153. [Google Scholar] [CrossRef]
- Paica, I.C.; Banciu, C.; Maria, G.M.; Vladimirescu, M.; Manole, A. Genetic diversity in marginal populations of Nitraria schoberi L. from Romania. Forests 2022, 14, 882. [Google Scholar] [CrossRef]
- Kitamura, K.; Uchiyama, K.; Ueno, S.; Ishizuka, W.; Tsuyama, I.; Goto, S. Geographical Gradients of Genetic Diversity and Differentiation among the Southernmost Marginal Populations of Abies sachalinensis Revealed by EST-SSR Polymorphism. Forests 2020, 11, 233. [Google Scholar] [CrossRef]
- Farris, M.A.; Schaal, B.A. Morphological and genetic variation in ecologically central and marginal populations of Rumex acetosella L. (Polygonaceae). Am. J. Bot. 1983, 70, 246–255. [Google Scholar] [CrossRef]
- Bartha, D. Enzyklopadie der Holzgewachse; University of Sopron: Sopron, Hungary, 1997. [Google Scholar]
- Bartha, D. Acer tataricum L. In Enzyklopädie der Holzgewächse: Handbuch und Atlas der Dendrologie; Roloff, A., Weisberger, H., Lang, U.M., Stimm, B., Schütt., P., Eds.; Wiley-VCH: Weinheim, Germany, 2011; p. 11. [Google Scholar]
- Simpson, M.G. Plant collecting and Documentation. In Plant Systematics; Simpson, M.G., Ed.; Academic Press: Cambridge, MA, USA, 2010; pp. 627–635. [Google Scholar]
- WinFolia TM; Version PRO 2005b; Regent Instruments Inc.: Quebec, QC, Canada, 2001.
- Sokal, R.R.; Rohlf, F.J. Biometry, 4th ed.; W.H. Freeman and Company: New York, NY, USA, 2012; p. 937. [Google Scholar]
- StatSoft, Inc. STATISTICA (Data Analysis Software System), Version 13; StatSoft, Inc.: Tulsa, OK, USA, 2018. [Google Scholar]
- Rohlf, F.J. NTSYS-pc: Numerical Taxonomy and Multivariate Analysis System, Version 2.2; Applied Biostatistics Inc.: New York, NY, USA, 2009; p. 44. [Google Scholar]
- Walters, S.M. Aceraceae. In Flora Europaea; Tutin, T.G., Heywood, V.H., Eds.; Cambridge University Press: Cambridge, UK, 1968; pp. 237–239. [Google Scholar]
- Idžojtić, M. Dendrologija—List [Dendrology—Leaf]; Fakultet Šumarstva i Drvne Tehnologije: Zagreb, Croatia, 2009; pp. 96–97. [Google Scholar]
- Kidner, C.A.; Umbreen, S. Why is leaf shape so variable? Int. J. Plant. Dev. Biol. 2010, 4, 64–75. [Google Scholar]
- Filartiga, A.L.; Klimeš, A.; Altman, J.; Nobis, M.P.; Crivellaro, A.; Schweingruber, F.; Doležal, J. Comparative anatomy of leaf petioles in temperate trees and shrubs: The role of plant size, environment and phylogeny. Ann. Bot. 2022, 129, 567–582. [Google Scholar] [CrossRef] [PubMed]
- Li, Y.; Kang, X.; Zhou, J.; Zhao, Z.; Zhang, S.; Bu, H.; Qi, W. Geographic Variation in the Petiole–Lamina Relationship of 325 Eastern Qinghai–Tibetan Woody Species: Analysis in Three Dimensions. Front. Plant Sci. 2021, 12, 748125. [Google Scholar] [CrossRef] [PubMed]
- Weijschedé, J.; Antonise, K.; de Caluwe, H.; de Kroon, H.; Huber, H. Effects of cell number and cell size on petiole length variation in a stoloniferous herb. Am. J. Bot. 2008, 95, 41–49. [Google Scholar] [CrossRef] [PubMed]
- Idžojtić, M. Dendrology: Cones, Flowers, Fruits and Seeds; Elsevier-Academic Press: London, UK; San Diego, CA, USA; Cambridge, UK; Oxford, UK, 2019; p. 800. [Google Scholar]
- Ren, J.; Ji, X.; Wang, C.; Hu, J.; Nervo, G.; Li, J. Variation and genetic parameters of leaf morphological traits of eight families from Populus simonii × P. nigra. Forests 2020, 11, 1319. [Google Scholar] [CrossRef]
- Krauze-Michalska, E.; Boratyńska, K. European geography of Alnus incana leaf variation. Plant Biosyst. 2013, 147, 601–610. [Google Scholar] [CrossRef]
- Koyama, K.; Smith, D.D. Scaling the leaf length-times-width equation to predict total leaf area of shoots. Ann. Bot. 2022, 130, 215–230. [Google Scholar] [CrossRef]
- Fishler, M.; Goldschmidt, E.E.; Monselise, S.P. Leaf Area and Fruit Size on Girdled Grapefruit Branches. J. Am. Soc. Hortic. Sci. 1983, 108, 218–221. [Google Scholar] [CrossRef]
- Wang, C.; Gong, H.; Feng, M.; Tian, C. Phenotypic variation in leaf, fruit and seed traits in natural populations of Eucommia ulmoides, a relict Chinese endemic tree. Forests 2023, 14, 462. [Google Scholar] [CrossRef]
- Li, H.; Wang, R.; Tian, Z.; Xu, J.; Sun, W.; Duan, R.; Fu, H.; Li, Y.; Zhang, Y.; Dong, L. Phenotypic variation and diversity in fruit, leaf, fatty acid, and their relationships to geoclimatic factors in seven natural populations of Malania oleifera Chun et S.K. Lee. Forests 2022, 13, 1733. [Google Scholar] [CrossRef]
- Chitwood, D.H.; Sinha, N.R. Evolutionary and Environmental Forces Sculpting Leaf Development. Curr. Biol. 2016, 26, R297–R306. [Google Scholar] [CrossRef] [PubMed]
- Wright, I.J.; Reich, P.B.; Westboy, M.; Ackerly, D.; Baruch, Z.; Bongers, F.; Cavender-Bares, J.; Chapin, T.; Cornelissen, J.H.C.; Diemer, M.; et al. The world-wide leaf economics spectrum. Nature 2004, 428, 821–827. [Google Scholar] [CrossRef] [PubMed]
- Shipley, B.; Lechowicz, M.J.; Wright, I.; Reich, P.B. Fundamental Trade-offs Generating the Worldwide Leaf Economics Spectrum. Ecology 2006, 87, 535–541. [Google Scholar] [CrossRef] [PubMed]
- Cescatti, A.; Zorer, R. Structural acclimation and radiation regime of silver fir (Abies alba Mill.) shoots along a light gradient. Plant Cell Environ. 2003, 26, 429–442. [Google Scholar] [CrossRef]
- Robakowski, P.; Wyka, T.; Samardakiewicz, S.; Kierzkowski, D. Growth, photosynthesis, and needle structure of silver fir (Abies alba Mill.) seedlings under different canopies. For. Ecol. Manag. 2004, 201, 221–227. [Google Scholar] [CrossRef]
- Petriţan, A.M.; von Lüpke, B.; Petriţan, I.C. Influence of light availability on growth, leaf morphology and plant architecture of beech (Fagus sylvatica L.), maple (Acer pseudoplatanus L.) and ash (Fraxinus excelsior L.) saplings. Eur. J. For. Res. 2009, 128, 61–74. [Google Scholar] [CrossRef]
- Ahmad, K.S.; Hameed, M.; Fatima, S.; Ashraf, M.; Ahmad, F.; Naseer, M.; Akhtar, N. Morpho-anatomical and physiological adaptations to high altitude in some Aveneae grasses from Neelum Valley, Western Himalayan Kashmir. Acta Physiol. Plant. 2016, 38, 93. [Google Scholar] [CrossRef]
- Liu, W.; Zheng, L.; Qi, D. Variation in leaf traits at different altitudes reflects the adaptive strategy of plants to environmental changes. Ecol. Evol. 2020, 10, 8166–8175. [Google Scholar] [CrossRef]
- Adamidis, G.C.; Varsamis, G.; Tsiripidis, I.; Dimitrakopoulos, P.G.; Papageorgiou, A.C. Patterns of leaf morphological traits of beech (Fagus sylvatica L.) along an altitudinal gradient. Forests 2021, 12, 1297. [Google Scholar] [CrossRef]
- Codarin, S.; Galopin, G.; Chasseriaux, G. Effect of air humidity on the growth and morphology of Hydrangea macrophylla L. Sci. Hortic. 2006, 108, 303–309. [Google Scholar] [CrossRef]
- Hovenden, M.J.; Schoor, J.K.V.; Osanai, Y. Relative humidity has dramatic impacts on leaf morphology but little effect on stomatal index or density in Nothofagus cunninghamii (Nothofagaceae). Aust. J. Bot. 2012, 60, 700–706. [Google Scholar] [CrossRef]
- Goba, K.A.E.; Kouonon, L.C.; Koffi, K.G.; Bony, B.S.; Diomandé, I.; Sylvère Sié, R. Morphological diversity within Pterocarpus erinaceus Poir. (Fabaceae), an overexploited species in the savannahs of Côte d’Ivoire. Am. J. Plant Sci. 2019, 10, 95460. [Google Scholar] [CrossRef]
- Sun, W.; Yuan, X.; Liu, Z.-J.; Lan, S.; Tsai, W.-C.; Zou, S.-Q. Multivariate analysis reveals phenotypic diversity of Euscaphis japonica population. PLoS ONE 2019, 14, e0219046. [Google Scholar] [CrossRef] [PubMed]
- Donskih, V.G.; Aniskina, T.S.; Kryuchkova, V.A. Variability and correlations of traits of the flower, leaf and fruit of Malus zumi. IOP Conf. Ser. Earth Environ. Sci. 2022, 1010, 012147. [Google Scholar] [CrossRef]
- Alcantra-Ayala, O.; Oyama, K.; Rios-Munoz, C.A.; Rivas, G.; Ramirez-Barahona, S.; Luna-Vega, I. Morphological variation of leaf traits in the Ternstroemia lineata species complex (Ericales: Penthyphylaceae) in response to geographic and climatic variation. Peer J. 2020, 8, e8307. [Google Scholar] [CrossRef] [PubMed]
- Lechowicz, M.J. Why do temperate deciduous trees leaf out at different times? Adaptation and ecology of forest communities. Am. Nat. 1984, 124, 821–842. [Google Scholar] [CrossRef]
- Pluess, A.R.; Schütz, W.; Stöcklin, J. Seed weight increases with altitude in the Swiss Alps between related species but not among populations of individual species. Oecologia 2005, 144, 55–61. [Google Scholar] [CrossRef]
- Li, F.; Bao, W. Elevational trends in leaf size of Campylotropis polyantha in the arid Minjiang River valley, SW China. J. Arid. Environ. 2014, 108, 1–9. [Google Scholar] [CrossRef]
- Xu, Y.; Woeste, K.; Cai, N.; Kang, X.; Li, G.; Chen, S.; Duan, A. Variation in needle and cone traits in natural populations of Pinus yunnanensis. J. For. Res. 2016, 27, 41–49. [Google Scholar] [CrossRef]
- Wang, L.; Li, J.; Zhao, J.; He, C. Evolutionary developmental genetics of fruit morphological variation within the Solanaceae. Front. Plant Sci. 2015, 6, 248. [Google Scholar] [CrossRef] [PubMed]
- Zhang, T.; Hong, Y.; Zhang, X.; Yuan, X.; Chen, S. Relationship between key environmental factors and the architecture of fruit shape and size in near-isogenic lines of cucumber (Cucumus sativus L.). Int. J. Mol. Sci. 2022, 23, 14033. [Google Scholar] [CrossRef] [PubMed]
- Bolvanský, M.; Užík, M. Morphometric variation and differentiation of European chestnut (Castanea sativa) in Slovakia. Biologia 2005, 60, 423–429. [Google Scholar]
- Idžojtić, M.; Zebec, M.; Poljak, I.; Medak, J. Variation of sweet chestnut (Castanea sativa Mill.) populations in Croatia according to the morphology of fruits. Sauteria 2009, 18, 232–333. [Google Scholar]
- Poljak, I.; Idžojtić, M.; Zebec, M.; Perković, N. The variability of European sweet chestnut (Castanea sativa Mill.) in the region of northwest Croatia according to morphology of fruits. Šumar. List 2012, 136, 479–489. [Google Scholar]
- Poljak, I.; Vahčić, N.; Liber, Z.; Šatović, Z.; Idžojtić, M. Morphological and chemical variation of wild sweet chestnut (Castanea sativa Mill.) populations. Forests 2022, 13, 55. [Google Scholar] [CrossRef]
- Zebec, M.; Idžojtić, M.; Mihaldinec, I.; Trogrlić, N. Morfološka varijabilnost brijesta veza (Ulmus laevis Pall.) u Hrvatskoj. In Proceedings of the 5th Croatian Botanical Symposium, Primošten, Croatia, 22–25 September 2016; Rešetnik, I., Ljubešić, Z., Eds.; Hrvatsko Botaničko Društvo: Zagreb, Croatia, 2016; pp. 23–24. [Google Scholar]
- Poljak, I.; Vahčić, N.; Liber, Z.; Tumpa, K.; Pintar, V.; Zegnal, I.; Vidaković, A.; Valković, B.; Kajba, D.; Idžojtić, M. Morphological and chemical diversity and antioxidant capacity of the service tree (Sorbus domestica L.) fruits from two eco-geographical regions. Plants 2021, 10, 1691. [Google Scholar] [CrossRef]
- Ramsey, M.W.; Cairns, S.C.; Vaughton, G.V. Geographic variation in morphological and reproductive characters of coastal and tableland populations of Blandfordia grandiflora (Liliaceae). Plant Syst. Evol. 1994, 192, 215–230. [Google Scholar] [CrossRef]
- Valladares, F.; Matesanz, S.; Guilhaumon, F.; Araújo, M.B.; Balaguer, L.; Benito-Garzón, M.; Cornwell, W.; Gianoli, E.; van Kleunen, M.; Naya, D.E.; et al. The effects of phenotypic plasticity and local adaptation on forecasts of species range shifts under climate change. Ecol. Lett. 2014, 17, 1351–1364. [Google Scholar] [CrossRef]
- Boratyński, A.; Jasińska, A.K.; Marcysiak, K.; Mazur, M.; Romo, A.M.; Boratyńska, K.; Sobierajska, K.; Iszkuło, G. Morphological differentiation supports the genetic pattern of the geographic structure of Juniperus thurifera (Cupressaceae). Plant Syst. Evol. 2013, 299, 773–784. [Google Scholar] [CrossRef]
- Jasińska, A.K.; Boratyńska, K.; Dering, M.; Sobierajska, K.I.; Ok, T.; Romo, A.; Boratyński, A. Distance between south-European and south-west Asiatic refugial areas involved morphological differentiation: Pinus sylvestris case study. Plant Syst. Evol. 2014, 300, 1487–1502. [Google Scholar] [CrossRef]
- Parisod, C.; Joost, S. Divergent selection in trailing- versus leading-edge populations of Biscutella laevigata. Ann. Bot. 2010, 105, 655–660. [Google Scholar] [CrossRef] [PubMed]



| Trait | Descriptive Parameters | Population | Total | |||||||
|---|---|---|---|---|---|---|---|---|---|---|
| P1 | P2 | P3 | P4 | P5 | P6 | P7 | P8 | |||
| LA (cm2) | M | 20.51 | 21.76 | 18.22 | 18.20 | 17.31 | 19.76 | 19.64 | 14.04 | 18.38 |
| CV | 34.96 | 26.66 | 40.85 | 33.82 | 38.39 | 36.08 | 29.37 | 25.50 | 36.45 | |
| LL (cm) | M | 6.70 | 6.75 | 6.30 | 6.26 | 6.08 | 6.36 | 6.49 | 5.76 | 6.29 |
| CV | 18.59 | 14.00 | 20.27 | 16.06 | 18.28 | 17.85 | 14.20 | 13.76 | 17.64 | |
| MLW (cm) | M | 4.28 | 4.55 | 3.96 | 4.07 | 3.95 | 4.28 | 4.29 | 3.56 | 4.08 |
| CV | 20.72 | 15.73 | 23.18 | 19.71 | 21.36 | 20.10 | 17.41 | 14.68 | 20.70 | |
| PMLW (cm) | M | 2.33 | 2.32 | 2.10 | 2.05 | 1.93 | 2.08 | 2.15 | 1.87 | 2.08 |
| CV | 26.72 | 20.78 | 29.42 | 25.80 | 28.21 | 24.75 | 24.21 | 24.30 | 26.75 | |
| LW1 (cm) | M | 3.73 | 4.00 | 3.50 | 3.58 | 3.40 | 3.75 | 3.69 | 2.98 | 3.54 |
| CV | 19.84 | 17.17 | 22.98 | 20.51 | 22.60 | 20.75 | 17.65 | 15.18 | 21.56 | |
| LW2 (cm) | M | 0.79 | 0.89 | 0.83 | 0.81 | 0.81 | 0.82 | 0.80 | 0.60 | 0.78 |
| CV | 31.07 | 33.38 | 35.20 | 36.91 | 40.96 | 38.74 | 36.98 | 26.61 | 37.40 | |
| PL (cm) | M | 4.63 | 5.30 | 4.05 | 3.99 | 4.28 | 4.56 | 4.69 | 3.63 | 4.30 |
| CV | 28.75 | 22.31 | 33.60 | 30.87 | 28.44 | 29.91 | 32.85 | 25.94 | 31.47 | |
| FC | M | 0.65 | 0.62 | 0.60 | 0.62 | 0.67 | 0.69 | 0.63 | 0.55 | 0.63 |
| CV | 13.52 | 14.95 | 15.34 | 15.18 | 12.26 | 13.19 | 17.37 | 15.61 | 16.29 | |
| LA1 (°) | M | 67.41 | 68.73 | 67.21 | 67.85 | 68.10 | 69.10 | 68.14 | 67.09 | 67.91 |
| CV | 3.86 | 3.72 | 4.42 | 4.83 | 4.13 | 4.07 | 4.29 | 4.73 | 4.44 | |
| LA2 (°) | M | 49.58 | 51.05 | 48.93 | 50.00 | 50.31 | 51.32 | 50.70 | 48.83 | 50.00 |
| CV | 5.10 | 5.76 | 6.80 | 6.66 | 6.70 | 5.58 | 6.47 | 6.47 | 6.50 | |
| Trait | Descriptive Parameters | Population | Total | |||||||
|---|---|---|---|---|---|---|---|---|---|---|
| P1 | P2 | P3 | P4 | P5 | P6 | P7 | P8 | |||
| MA (cm2) | M | 2.96 | 2.30 | 2.59 | 2.45 | 2.58 | 2.80 | 2.93 | 1.87 | 2.53 |
| CV | 16.47 | 21.14 | 22.38 | 16.96 | 22.67 | 19.96 | 27.24 | 26.43 | 25.96 | |
| ML (cm) | M | 3.48 | 3.15 | 3.22 | 3.18 | 3.21 | 3.35 | 3.18 | 2.75 | 3.18 |
| CV | 7.55 | 9.29 | 10.33 | 7.24 | 10.38 | 9.94 | 14.08 | 13.92 | 12.38 | |
| MMW (cm) | M | 1.26 | 1.06 | 1.19 | 1.16 | 1.17 | 1.24 | 1.35 | 0.97 | 1.17 |
| CV | 12.41 | 17.47 | 18.29 | 13.50 | 15.30 | 13.16 | 17.01 | 15.66 | 18.18 | |
| PMMW (cm) | M | 2.43 | 2.26 | 2.30 | 2.30 | 2.29 | 2.44 | 2.26 | 1.98 | 2.27 |
| CV | 9.85 | 11.95 | 13.79 | 7.83 | 11.13 | 9.61 | 14.91 | 14.03 | 13.33 | |
| NW90 (cm) | M | 0.90 | 0.78 | 0.86 | 0.83 | 0.84 | 0.93 | 1.00 | 0.71 | 0.85 |
| CV | 16.84 | 17.36 | 19.28 | 14.28 | 18.35 | 14.64 | 16.87 | 16.38 | 19.39 | |
| NL (cm) | M | 1.30 | 1.25 | 1.31 | 1.24 | 1.19 | 1.28 | 1.26 | 1.03 | 1.23 |
| CV | 9.89 | 8.80 | 10.43 | 8.54 | 8.33 | 8.15 | 12.87 | 13.59 | 12.67 | |
| NW (cm) | M | 0.66 | 0.64 | 0.66 | 0.65 | 0.57 | 0.67 | 0.62 | 0.59 | 0.63 |
| CV | 9.56 | 13.04 | 14.31 | 15.34 | 11.05 | 13.66 | 15.62 | 13.06 | 14.54 | |
| WA | M | 59.67 | 71.56 | 70.75 | 66.99 | 55.02 | 73.35 | 65.97 | 64.13 | 66.35 |
| CV | 15.13 | 15.94 | 20.90 | 19.89 | 20.31 | 16.23 | 17.76 | 16.75 | 19.88 | |
| Trait | Variance Component | df | % Variation | F | p |
|---|---|---|---|---|---|
| LA | Among populations | 7 | 11.02 | 7.68 | *** |
| Within populations | 89 | 17.40 | 5.87 | *** | |
| Error | 71.58 | ||||
| LL | Among populations | 7 | 6.69 | 5.03 | *** |
| Within populations | 89 | 16.49 | 5.29 | *** | |
| Error | 76.82 | ||||
| MLW | Among populations | 7 | 11.34 | 8.12 | *** |
| Within populations | 89 | 16.51 | 5.58 | *** | |
| Error | 72.15 | ||||
| PMLW | Among populations | 7 | 6.10 | 4.40 | *** |
| Within populations | 89 | 17.22 | 5.49 | *** | |
| Error | 76.68 | ||||
| LW1 | Among populations | 7 | 13.39 | 7.97 | *** |
| Within populations | 89 | 21.69 | 7.69 | *** | |
| Error | 64.92 | ||||
| LW2 | Among populations | 7 | 7.15 | 4.11 | *** |
| Within populations | 89 | 26.81 | 9.15 | *** | |
| Error | 66.03 | ||||
| PL | Among populations | 7 | 13.37 | 7.57 | *** |
| Within populations | 89 | 20.75 | 7.30 | *** | |
| Error | 65.88 | ||||
| FC | Among populations | 7 | 16.28 | 6.75 | *** |
| Within populations | 89 | 36.64 | 16.60 | *** | |
| Error | 47.08 | ||||
| LA1 | Among populations | 7 | 4.58 | 2.60 | ** |
| Within populations | 89 | 32.61 | 11.40 | *** | |
| Error | 62.81 | ||||
| LA2 | Among populations | 7 | 6.52 | 3.43 | ** |
| Within populations | 89 | 31.19 | 11.04 | *** | |
| Error | 62.29 |
| Trait | Variance Component | df | % Variation | F | p |
|---|---|---|---|---|---|
| MA | Among populations | 7 | 25.87 | 7.25 | *** |
| Within populations | 89 | 51.59 | 46.83 | *** | |
| Error | 22.54 | ||||
| ML | Among populations | 7 | 24.42 | 7.32 | *** |
| Within populations | 89 | 49.72 | 39.52 | *** | |
| Error | 25.86 | ||||
| MMW | Among populations | 7 | 25.87 | 6.90 | *** |
| Within populations | 89 | 52.64 | 50.00 | *** | |
| Error | 21.49 | ||||
| PMMW | Among populations | 7 | 19.68 | 7.23 | *** |
| Within populations | 89 | 41.16 | 22.07 | *** | |
| Error | 39.16 | ||||
| NW90 | Among populations | 7 | 23.65 | 7.73 | *** |
| Within populations | 89 | 41.83 | 25.24 | *** | |
| Error | 34.52 | ||||
| NL | Among populations | 7 | 31.50 | 9.86 | *** |
| Within populations | 89 | 47.47 | 46.21 | *** | |
| Error | 21.03 | ||||
| NW | Among populations | 7 | 11.34 | 3.40 | ** |
| Within populations | 89 | 54.71 | 33.25 | *** | |
| Error | 33.95 | ||||
| WA | Among populations | 7 | 15.74 | 3.84 | ** |
| Within populations | 89 | 62.17 | 57.24 | *** | |
| Error | 22.09 |
Disclaimer/Publisher’s Note: The statements, opinions and data contained in all publications are solely those of the individual author(s) and contributor(s) and not of MDPI and/or the editor(s). MDPI and/or the editor(s) disclaim responsibility for any injury to people or property resulting from any ideas, methods, instructions or products referred to in the content. |
© 2024 by the authors. Licensee MDPI, Basel, Switzerland. This article is an open access article distributed under the terms and conditions of the Creative Commons Attribution (CC BY) license (https://creativecommons.org/licenses/by/4.0/).
Share and Cite
Poljak, I.; Vidaković, A.; Benić, L.; Tumpa, K.; Idžojtić, M.; Šatović, Z. Patterns of Leaf and Fruit Morphological Variation in Marginal Populations of Acer tataricum L. subsp. tataricum. Plants 2024, 13, 320. https://doi.org/10.3390/plants13020320
Poljak I, Vidaković A, Benić L, Tumpa K, Idžojtić M, Šatović Z. Patterns of Leaf and Fruit Morphological Variation in Marginal Populations of Acer tataricum L. subsp. tataricum. Plants. 2024; 13(2):320. https://doi.org/10.3390/plants13020320
Chicago/Turabian StylePoljak, Igor, Antonio Vidaković, Luka Benić, Katarina Tumpa, Marilena Idžojtić, and Zlatko Šatović. 2024. "Patterns of Leaf and Fruit Morphological Variation in Marginal Populations of Acer tataricum L. subsp. tataricum" Plants 13, no. 2: 320. https://doi.org/10.3390/plants13020320
APA StylePoljak, I., Vidaković, A., Benić, L., Tumpa, K., Idžojtić, M., & Šatović, Z. (2024). Patterns of Leaf and Fruit Morphological Variation in Marginal Populations of Acer tataricum L. subsp. tataricum. Plants, 13(2), 320. https://doi.org/10.3390/plants13020320

