Abstract
Brassinazole-Resistant (BZR) is an important transcription factor (TF) in the brassinosteroid (BR) signaling pathway, which plays a crucial role in plant growth, development and stress resistance. In this study, we performed a genome-wide analysis of BZRs in garlic (Allium sativum L.) and identified a total of 11 members of the AsBZR gene family. By comparing the expression patterns of AsBZR genes under salt stress, the candidate gene AsBZR11 with salt tolerance function was identified. Subcellular localization results showed that AsBZR11 was localized in the nucleus. The salt tolerance of overexpression lines improved, and the germination rate and root length of overexpression lines increased as compared with wild type. The content of reactive oxygen species (ROS) decreased, and the activity of antioxidant enzymes increased in AsBZR11-OE, suggesting that AsBZR11 has the function of improving plant salt tolerance. Our results enriched the knowledge of plant BZR family and laid a foundation for the molecular mechanism of salt tolerance of garlic, which will provide a theoretical basis for the subsequent creation of salt-tolerant germplasm resources.
1. Introduction
Garlic (Allium sativum L.) is annual and biennial herb of the Allium in the Liliaceae, which can be both edible and medicinal [1]. Salt stress is an unfavorable environmental factor that severely limits agricultural production [2]. Garlic is a shallow-rooted, moisture-loving vegetable and is highly susceptible to abiotic stresses including salt, which adversely affects yield and quality of garlic [3].
Brassinosteroids (BRs), as phytohormones, play critical roles in regulating plant response to abiotic stress, seed germination, photomorphogenesis and cell elongation, etc. The BR is a growth-promoting steroid hormone, which belongs to the six plant hormones together with growth hormone (IAA), cytokinin (CTK), ethylene (ETA), gibberellin (GA) and abscisic acid (ABA) [4]. BR can alleviate the damage of abiotic stresses on plants [5]. For example, the exogenous application of BR was able to reduce the negative effects of drought stress on apple (Malus domestica L.) [6]. The BR can alleviate lipid membrane peroxidation in mint (Mentha piperita L.) under salt stress, reduce the adverse effects on growth and development and increase the essential oil content of mint under salt stress [7]. Meanwhile, BR plays an important role in various physiological processes of development and metabolic synthesis in the plant, such as cell elongation, flowering, senescence and leaf morphogenesis [8].
Brassinazole-resistant transcription factor (BZR) is a family of transcription factors being located downstream of the BR signaling pathway, which regulates plant growth and development at abiotic stress by altering the expression of BR-responsive genes. In Arabidopsis, many BZR genes have been reported, and BZR1 can control the expression of BR-regulated genes. BZR1 is also a major transcription factor in the regulation of growth and development in plants, with a similar function of BZR2 [9,10]. The BZR family has already been identified in other plants, such as tomato, rice, etc. [11,12,13]. The rice BZR1/BES1 gene family in Oryza sativa L. plays a role in BR and ABA signaling pathways and responds to salt stress.
Garlic, an important economic crop, is widely cultivated worldwide. China is the world’s major garlic producer, consumer and exporter. Among Allium, garlic is the first species to complete whole genome sequencing and assembly, which provides an important reference for molecular genetic research of Allium plants. The public availability of garlic genomic data makes it possible to identify the AsBZR family. As an important transcription factor, BZR is a key regulator of the BR pathway. However, few studies related to the garlic BZR gene family have been reported. The BZR family is functionally diverse, and thereby it is important to study AsBZR. Herein, we performed bioinformatic analysis of the BZR family gene members in garlic. The expression patterns of AsBZRs in different organs under salt stress treatments were analyzed, and AsBZR11 was identified as the most significant gene in response to salt stress. Moreover, we investigated the AsBZR11 protein through subcellular localization. The biological functions of AsBZR11 were clarified by characterizing the physiological responses of the transgenic lines under salt stress, where Agrobacterium was applied to obtain Arabidopsis overexpression lines transduced with AsBZR11. This study will explore the function of the BZR gene family in improving plant salt tolerance and lay the foundation for further research on the molecular mechanism of AsBZR in salt tolerance improvement of garlic.
2. Results
2.1. AsBZR Family Members and Nomenclature
A total of 11 BZR members were identified in garlic (Figure 1). They were named as AsBZR1~AsBZR11 according to the previous nomenclature guideline [14]. AsBZR1 was found to be located on top of chromosome 1, whereas AsBZR2, AsBZR3 and AsBZR4 were distributed in chromosome 2, and AsBZR5, AsBZR6 and AsBZR7 were found on chromosome 6. In addition, AsBZR8, AsBZR9 and AsBZR10 were localized on chromosome 7, and AsBZR11 was located on scaffold17110.
Figure 1.
Chromosomal location of AsBZR genes.
2.2. Evolutionary Relationships of the AsBZR Gene Family Members
In order to study the evolutionary relationship between BZR genes from different plant species, MEGA was used to construct BZR family evolutionary trees for a total of four species, including garlic, Arabidopsis thaliana, tomato and rice. As shown in Figure 2, BZR were divided into five subfamilies, where AsBZR genes were distributed in all five groups, showing different affinities with the four species.
Figure 2.
Phylogenetic tree of BZR genes from garlic and other species.
2.3. Characterization of BZR Expression in Garlic
2.3.1. Expression Pattern of AsBZR Genes under Salt Stress
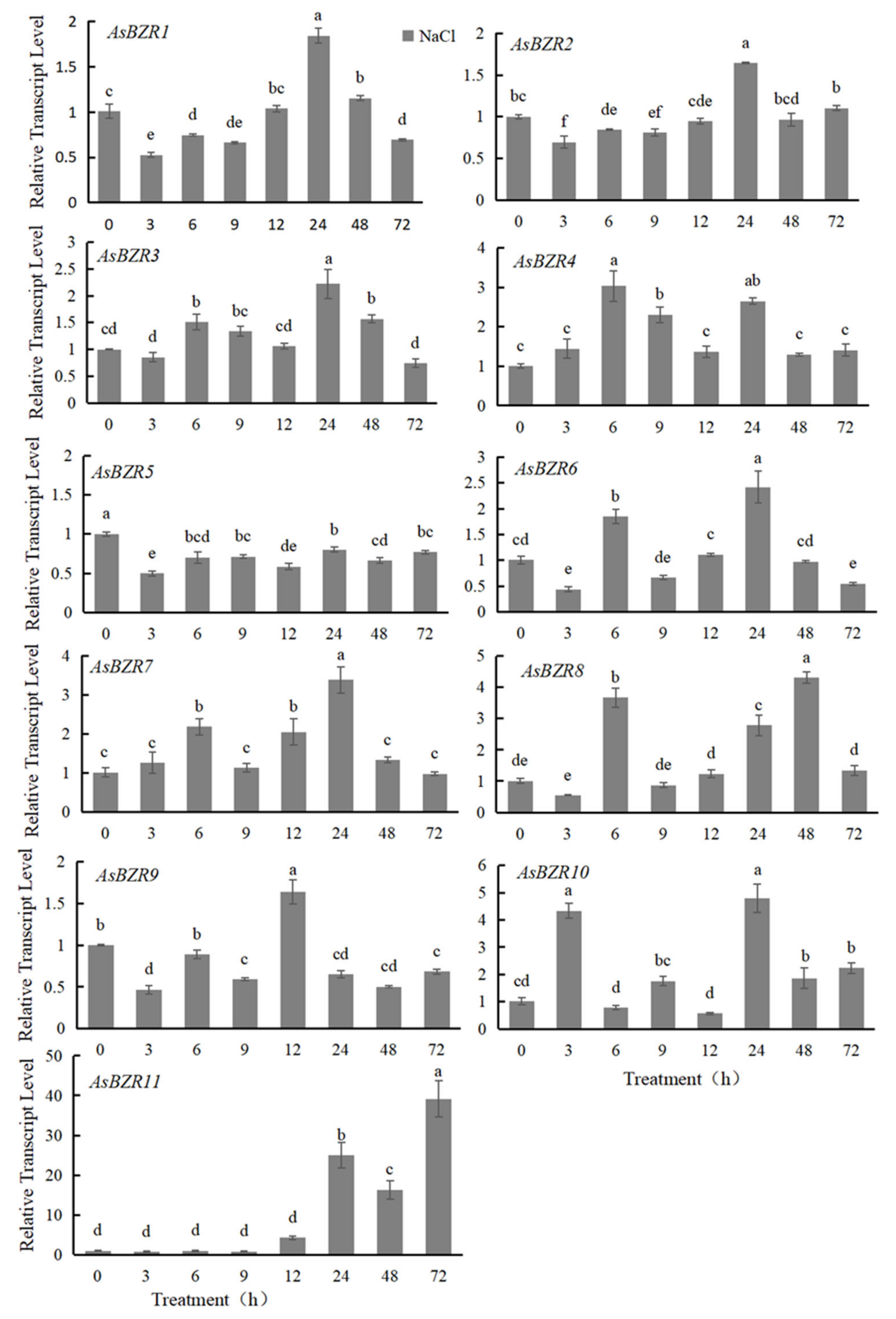
AsBZR5 was induced by the salt stress in all measured time points, and the rest of the genes were up-regulated part of the time (Figure 3). The relative expression of AsBZR1 and AsBZR2 peaked at the 24 h, and that of AsBZR9 was the highest at 12 h. There were two peaks in the expression of AsBZR4 and AsBZR10, and the expression of AsBZR4 was significantly higher at 6 h and 24 h of salt treatment than at other times. AsBZR3, AsBZR6, AsBZR7, AsBZR8, AsBZR9 and AsBZR11 all had one peak of expression, and the peaks of AsBZR3, AsBZR6, and AsBZR7 appeared at 24 h. Moreover, the AsBZR9 and AsBZR11 peaks appeared at 12 h and 72 h, respectively. Significant changes in the relative expression of AsBZR genes indicated that they might be involved in the salt tolerance response of garlic, among which AsBZR11 expression was up-regulated by nearly 40-fold at 72 h after salt treatment than control. It was hypothesized that AsBZR11 might play an important role in the salt tolerance of garlic, which needs to be further verified.
Figure 3.
Expression profiles of AsBZR genes under salt stress treatment. The numbers below the x-axis represent the time course of the salt stress treatment. Different letters represent significant difference (Tukey HSD, p < 0.05).
2.3.2. Tissue-Specific Expression Patterns of AsBZR Genes
Gene function was closely related to its expression pattern. The tissue-specific expression of 11 AsBZR genes in different organs was investigated using qRT-PCR (Figure 4). AsBZR genes were expressed in the roots, pseudostems, leaves and bulbs of garlic. Compared with other members, the transcription levels of AsBZR1/3/4 were highly expressed in roots. AsBZR2 and AsBZR9 highly expressed in the pseudostem. AsBZR6 was the highest in the leaves, and AsBZR5/7/8/10/11 genes were highly expressed in the bulbs of garlic. The relative expression of AsBZR11 was significantly higher than that of other tissues. AsBZR genes plays an important role in the development process of garlic tissues.
Figure 4.
Expression profiles of AsBZR genes in different tissues and organs. Different letters represent significant difference (Tukey HSD, p < 0.05).
2.4. AsBZR11 Protein Was Located in the Nucleus
To address the possible functions of AsBZR11, subcellular localization was performed. The vector bearing the fusion construct PRI101-AsBZR11–GFP and the control GFP vector were individually transformed into leaves of Nicotiana benthamiana using a 2 mL needleless syringe. Green fluorescence was observed in all tobacco cells after injection of the PR101-GFP strain into tobacco, which appeared in the nucleus site after injection of AsBZR11-PR101-GFP (Figure 5). Confocal laser scanning microscopy analysis showed that the AsBZR11 protein was mainly located in the nucleus region.
Figure 5.
Subcellular localization of the garlic AsBZR11-GFP in Nicotiana benthamiana leaves. (a) Control vector PR101-GFP; (b) AsBZR11-PR101-GFP.
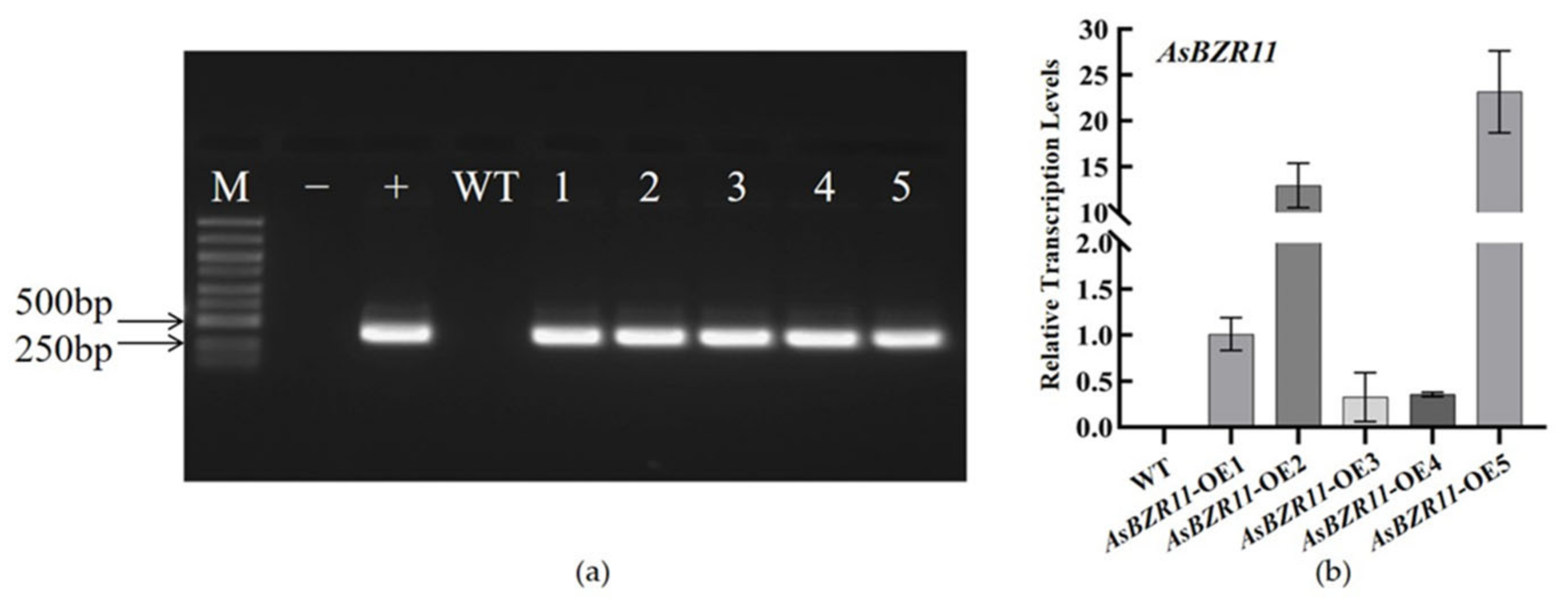
2.5. Identification of AsBZR11-OE Lines
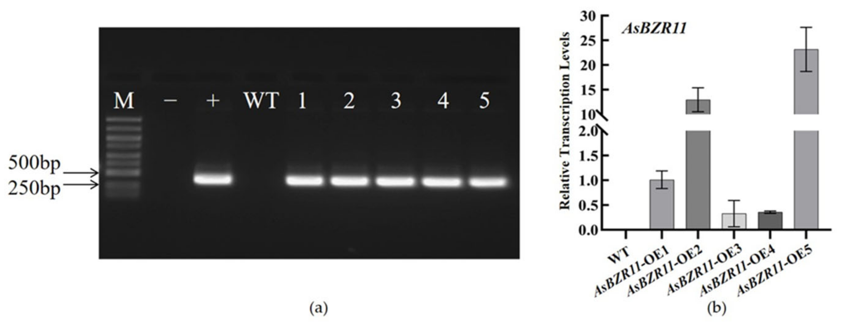
In order to reveal the function of AsBZR11 in garlic responding to salt stress, we constructed an overexpression vector for transgene. After infection, the Arabidopsis seeds were sterilized and flattened in kanamycin-containing medium, vernalized and then cultivated normally. Positive seedlings with normal growth were screened out at about 14 d, transferred to the substrate for further cultivation, and the DNA of the plants was extracted and detected by PCR assay. The results of the DNA assay and the relative expression are shown in Figure 6. Further RNA extraction and RT-qPCR identification showed that the expression level of AsBZR11 in overexpression plants was higher than that in WT, indicating that AsBZR11 gene was successfully transferred into Arabidopsis thaliana. Highly expressed lines were selected and cultured as homozygotes for further study.
Figure 6.
Identification of overexpressed transgenic Arabidopsis thaliana. (a) AsBZR11 overexpression in Arabidopsis DNA assay; M: DL5000; +: positive control; −: negative control; 1~5 represents five transgenic lines, (b) RT–qPCR analysis of AsBZR11 transcripts in AsBZR11-OE lines. Error bars represent standard deviations for the three replicates.
2.6. Seed Germination and Seedling Phenotyping of AsBZR11 Transgenic Arabidopsis under Salt Stress
We tested the salt tolerance of transgenic lines. There was no significant difference in root length and germination between wild-type and transgenic lines on normal MS medium (Figure 7). However, the root length of transgenic lines was significantly higher than that of the wild type at NaCl treatment. In addition, the germination rate of overexpression plants on salt-stressed medium was significantly higher than the wild type. Under salt stress, the development of the transgenic lines was better than that of the wild type, indicating that the transgenic lines had stronger salt tolerance.
Figure 7.
Growth of wild-type and AsBZR11-OE lines under salt stress. (a) Growth characteristics of wild-type and overexpressing plants under salt stress treatment; (b,c) Seed germination rates and root length of wild-type and transgenic Arabidopsis thaliana treated with 200 mg·L−1 NaCl. Different letters represent significant differences at the p < 0.05 level. The length of the ruler was 5 mm.
In order to further verify the function of the transgenic lines, the Arabidopsis seedlings were treated by salt stress. After salt stress was applied to transgenic Arabidopsis seedlings for 10 days, both AsBZR11 overexpression and WT plants can not stay green with wilted leaves, where more severe damage were observed on WT plants (Figure 8). This indicated that the transfection of AsBZR11 alleviated the salt stress injury and enhanced the salt tolerance.
Figure 8.
Phenotype of AsBZR11 overexpression lines under salt stress.
The differences in superoxide anion (O2•−) generation rate and hydrogen peroxide (H2O2) content in wild-type and transgenic Arabidopsis were not significant (Figure 9). Under salt treatment, the ROS content of overexpression lines was significantly reduced compared with the wild type, suggesting that the AsBZR11 transgenic plants were tolerant to salt.
Figure 9.
ROS accumulation in AsBZR11 Arabidopsis under salt treatment. (a) H2O2 content; (b) O2•− generation rate. Different letters represent significant difference (Duncan, p < 0.05).
In order to alleviate the oxidative damage caused by stress, plants regulate the activity of antioxidant enzymes in cells via metabolic activities. There was no significant difference in antioxidant enzyme activities between AsBZR11 overexpression lines and WT under control conditions (Figure 10). After salt stress, the activity levels of Superoxide dismutase (SOD), Catalase (CAT), Peroxidase (POD) and Ascorbate peroxidase (APX) in transgenic plants were significantly higher than those in WT under salt treatment. This indicated that the overexpression of AsBZR11 in Arabidopsis thaliana could effectively enhance the activity levels of its antioxidant enzymes, thus reducing the damage caused by reactive oxygen species to the plants, and further improving the ability of plants to tolerate salt stress.
Figure 10.
Changes in antioxidant enzyme systems in wild-type and AsBZR11 transgenic Arabidopsis under salt stress. (a) SOD activity; (b) POD activity; (c) CAT activity; (d) APX activity. Different letters represent significant difference (Tukey HSD, p < 0.05).
There were no significant differences in relative conductance, MDA content and proline content between control transgenic plants and wild-type plants (Figure 11). However, after salt treatment, the Malondialdehyde (MDA) content of wild-type Arabidopsis was significantly higher than those of the overexpression lines, demonstrating that AsBZR11 overexpression plants had lower membrane permeability than WT and was less damaged under stress. The REC was significantly lower than WT, and overexpression of AsBZR11 could reduce the damage of cell membrane caused by salt stress, reduce the degree of membrane lipid peroxidation and improve the salt tolerance of garlic. The proline content in AsBZR11 overexpression plants was significantly higher than that in the wild type under salt stress conditions. The proline content could represent the plant’s stress tolerance to a certain extent, suggesting that the overexpression lines had a stronger ability to withstand salt stress injury.
Figure 11.
Content of REC, MDA and proline in WT and AsBZR11-OE lines under salt stress. (a) Relative conductivity; (b) MDA content; (c) Proline content. Different letters represent significant difference (Tukey HSD, p < 0.05).
3. Discussion
The BZR transcription factor is a positive regulator of BR signaling. The BZR family is essential for plant growth and development, which is also involved in the plant stress response [12,15]. The BZR family has been reported in a variety of plants. For example, rice OsBZR1 is involved in the response of rice to BR and thereby regulates rice growth and development [13]. A total of 52 BZR genes were identified in seven legumes, many of which regulate organ differentiation and respond to abiotic stresses such as drought and salt [16]. TaBZR2 mediates the interaction between BR and drought signaling pathway [17].
BZR genes were differentially expressed in different parts of the plant and at different stages of growth and development. The abundance of BZR gene transcripts significantly increased at the tasseling stage in rice, and all members except OsBZR1 had high expression levels in the healing tissues, pistils and roots [18]. In wheat, all TaBZRs were highly expressed in stems and spikelets, and some family members also had high expression levels in internodal tissues [16]. This suggested that BZR genes play a role in regulating a variety of growth and development in rice and wheat [18]. Many BZR genes regulate organ development and differentiation in legumes and respond significantly to drought and salt stress [16]. SlBZR genes significantly differentially expressed in various tissues and organs at different stages of growth and development in tomato, and some of the genes had tissue-specific expression [19]. In this study, 11 members of the garlic BZR family were identified, and the bioinformatics characteristics such as protein physicochemical properties, conserved domains and cis-acting elements in the promoter region were analyzed. The AsBZRs were differentially expressed in various organs of garlic and may play different roles in regulating the growth and development of each organ. Under salt stress, AsBZR11 and AsBZR8 were screened as candidate genes, since AsBZR11 and AsBZR8 could improve the salt tolerance of plants.
Genes responsible for regulating protein synthesis may undergo changes in expression due to external stimuli when the environment changes [20]. BZRs, as key genes regulating protein synthesis, undergo changes in expression when the growth environment changes, e.g., NnBZR1.2 in Lotus responded significantly to abiotic stresses such as low temperature, drought and the induction of Cd and NaCl [21]. In this study, the expression of AsBZRs also changed to different degrees after salt stress was applied to garlic plants, of which AsBZR11 up-regulated the most significantly.
Genetic transformation of plants can change the genetic material of plants at the genetic level, thereby improving plant traits. By introducing the SlBZR1D gene from tomato, Arabidopsis plants were more sensitive to the growth regulator BR, and their tolerance to salt stress was also enhanced [22]. After overexpression of SlBZR1D, the MDA content in Arabidopsis significantly reduced, and the chlorophyll content significantly increased [22]. This indicated that the overexpression lines may have less cell membrane damage and higher POD and CAT activity than the wild type [23]. These results were consistent with our findings.
The result show that 35s: AsBZR11 showed improved salt tolerance, the germination rate and root length of AsBZR11 overexpression lines significantly increased under salt stress. One of the major intrinsic manifestations of plant response to abiotic stress is ROS accumulation, and ROS is also a major regulator of plant response to a variety of abiotic stresses [24,25]. The transfer of AsBZR11 significantly reduced the accumulation of ROS in Arabidopsis plants under salt stress and increased the activity of antioxidant enzymes, which could enhance plant tolerance [26,27]. MDA characterizes the degree of lipid peroxidation in the cell membrane [28]. Relative conductivity reflects the degree of damage to plant cells [29]. Here, the AsBZR11 transgenic plants showed lower MDA levels and relative conductivity under salt stress, which indicated that their cell membrane permeability was weakened and plant tolerance to stress was improved. Proline is an important intracellular osmoregulatory substance, and its content can be used as an indicator of plant stress resistance [30]. The proline content of AsBZR11 transgenic Arabidopsis was significantly higher than wild type under salt stress, suggesting that the transfection of AsBZR11 improved the accumulation of osmotic substances at stress condition. Compared with the wild type, the transgenic lines had less ROS production, lower MDA content and higher proline content in Arabidopsis. The overexpression lines increased the transcript level of AsBZR11, resulting in less ROS production, lower MDA content and higher proline content, thereby improving the salt tolerance of the plants.
4. Materials and Methods
4.1. Identification and Cloning of AsBZR Genes
Sun et al. (2020) sequenced and assembled the garlic genome to obtain a highly complete garlic genome map, and 16.9 GB of garlic genome was detected [31]. To identify a complete list of garlic RBZ genes, the nucleotide and amino acid sequences of the predicted AsRBZ genes were downloaded via https://doi.org/10.1016/j.molp.2020.07.019 [31]. The HMM profile of the RBZ conserved domain (PF05687) was downloaded from the PFAM database (http://pfam.xfam.org) and used to survey all proteins on 25 June 2023. The ExPasy website (http://web.expasy.org/protparam/) was used to survey protein length, molecular weights and isoelectric points of deduced polypeptides on 28 June 2023. The BZR gene family database was downloaded from the Database of Arabidopsis (http://datf.cbi.pku.edu.cn/), rice (https://www.ricedata.cn/gene/) and tomato (https://solgenomics.net/) on 11 July 2023.
4.2. Plant Growth Conditions and Salt Stress Treatment
Allium sativum L. ‘Jinxiang’ garlic were used as plant materials. Garlic bulbs were grown in a climate chamber (14/10 h light/dark regimen, 25 °C/18 °C, photosynthetically active radiation of 360 µmol m−2 s−1 and 70% relative humidity).
The salt stress treatment was performed using the seedling with five leaves. The seedings were irrigated using 2 L nutrient solution with 200 mmol·L−1 NaCl and 0 mmol·L−1 NaCl as salt treatment and control, respectively. Samples were collected after 0, 3, 6, 9, 12, 24, 48 and 72 h of treatment for real-time fluorescence quantitative PCR (qRT-PCR) assay. Three biological replicates were taken at each time point and three mixed samples were taken for each replicate.
4.3. Garlic RNA Extraction and qRT-PCR
Total RNA was extracted using Trizol (Invitrogen, Waltham, MA, USA) and reverse transcribed to cDNA by HiScript IV 1st Strand cDNA Synthesis Kit (Novizen, Nanjing, China). The primers were designed by Primer 5.0 (Table 1). qRT-PCR was conducted using an Quantstudio 3 real-time quantitative fluorescent PCR apparatus (AppliedBiosystems, Foster City, CA, USA) with the TOROIVD qRT Master Mix kit (Toroivd, Shanghai, China). The procedure was performed as follows: 95 °C 60 s; 95 °C 10 s, 60 °C 30 s, 40 cycles. The relative expression levels were calculated using the 2−∆∆Ct method with AsACTIN as a reference gene.
Table 1.
Primer list for qRT-PCR.
4.4. Subcellular Localization of AsBZR11 Protein
The primer sequences for subcellular localization are shown in Table 2. The coding sequence of AsBZR11 without the stop codon was cloned into PR101 to generate the 35S::AsBZR11-GFP fusion gene. The 35S::AsBZR11-GFP and control GFP were individually transferred into leaves of Nicotiana benthamiana. The plants incubated in the dark for 12 h. The suspension contained 10 mM MgCl2, 150 μM As and 10 Mm MES (PH 5.7), and the OD600 was adjusted to about 0.8. Images of transformed tobacco cells were captured using a ×40 objective lens with bright field and GFP.
Table 2.
Primer list for subcellular localization.
4.5. Overexpression Vector Construction and Plant Transformation
The primer sequences for overexpression vector are shown in Table 3. The coding sequence of AsBZR11 was cloned into the pBI121 vector, and the AsBZR11-pBI121 recombinant plasmid was transformed to GV3101.
Table 3.
Primer list for vector construction.
Wild Arabidopsis seeds were sterilized, and the seeds were spread flat on MS plates, which were firstly subjected to low temperature vernalization followed by normal incubation, and then transplanted into sterilized substrates 2 weeks later. AsBZR11 was transfected into Arabidopsis using the flower-dipping method during the flowering period. After harvesting the Arabidopsis seeds, the positive seedlings were screened using screening medium, and the DNA was extracted using CTAB method for positive identification. The positive lines were cultured to T3 generation for purification for all experiments.
4.6. Transgenic Plants Salt Stress Treatment and Physiological Indexes Determination
Overexpressed lines and wild-type Arabidopsis were vernalized in MS medium containing 200 mg·L−1 NaCl and 0 mg·L−1 NaCl, respectively. The root length of the Arabidopsis seedlings was measured, and the germination rate was counted after 1 month. The samples were taken for the subsequent determination of physiological indexes.
The O2− generation rate and H2O2 content was determined according to the method from Ke et al. (2007) and potassium iodide spectrophotometry [32,33], respectively. The SOD, POD, CAT and APX activities were determined using nitrogen blue tetrazolium (NBT) method, the guaiacol method, the methods from Aebi (1984) and the method of Nakano et al. (1981), respectively [34,35,36,37]. The REC, MDA and proline content were determined according to the method of Kong et al. (2008), thiobarbituric acid method and ninhydrin colorimetric method, respectively [38,39,40].
4.7. Data Analysis
The data were analyzed using Excel 2007 and IBM SPSS Statistics 25.0 software. The significance of the differences between the different time points was tested using Tukey HSD, p < 0.05, and graphs were plotted using GraphPad prism 8.0.
Author Contributions
Conceptualization, Z.W.; methodology, X.P.; software, X.P.; validation, X.P. and J.R.; formal analysis, X.P., J.R. and Z.W.; data curation, F.J.; writing—original draft preparation, X.P. and J.R.; writing—review and editing, F.J., R.Z. and J.R.; supervision, R.Z. and Z.W. All authors have read and agreed to the published version of the manuscript.
Funding
This research was funded by National Natural Science Foundation of China (31372056; 31872125), Priority Academic Program Development of Jiangsu Higher Education Institutions (PAPD), and Basic Research Funds for Central University—Science and Technology Poverty Alleviation Project (KJFP201702).
Data Availability Statement
The original contributions presented in the study are included in the article, further inquiries can be directed to the corresponding author.
Conflicts of Interest
The authors declare no conflict of interest.
References
- Ried, K.; Frank, O.R.; Stocks, N.P. Aged garlic extract reduces blood pressure in hypertensives: A dose-response trial. Eur. J. Clin. Nutr. 2013, 67, 64–70. [Google Scholar] [CrossRef] [PubMed]
- Zhao, C.; Zhang, H.; Song, C.; Zhu, J.-K.; Shabala, S. Mechanisms of Plant Responses and Adaptation to Soil Salinity. Innovation 2020, 1, 100017. [Google Scholar] [CrossRef] [PubMed]
- Kong, Q.; Mostafa, H.; Yang, W.; Wang, J.; Nuerawuti, M.; Wang, Y.; Song, J.; Zhang, X.; Ma, L.; Wang, H.; et al. Comparative transcriptome profiling reveals that brassinosteroid-mediated lignification plays an important role in garlic adaption to salt stress. Plant Physiol. Bioch 2021, 158, 34–42. [Google Scholar] [CrossRef] [PubMed]
- Nolan, T.; Chen, J.; Yin, Y. Cross-talk of Brassinosteroid signaling in controlling growth and stress responses. Biochem. J. 2017, 474, 2641–2661. [Google Scholar] [CrossRef] [PubMed]
- Bajguz, A.; Hayat, S. Effects of brassinosteroids on the plant responses to environmental stresses. Plant Physiol. Bioch 2009, 47, 1–8. [Google Scholar] [CrossRef]
- Kumari, S.; Thakur, A.; Singh, N.; Chandel, J.; Rana, N. Influence of drought stress and brassinosteroid on growth and Physio-biochemical characteristics of apple plants. Indian J. Hortic. 2020, 77, 88. [Google Scholar] [CrossRef]
- Çoban, Ö.; Göktürk Baydar, N. Brassinosteroid effects on some physical and biochemical properties and secondary metabolite accumulation in peppermint (Mentha piperita L.) under salt stress. Ind. Crop Prod. 2016, 86, 251–258. [Google Scholar] [CrossRef]
- Clouse, S.D. Brassinosteroid signal transduction: From receptor kinase activation to transcriptional networks regulating plant development. Plant Cell 2011, 23, 1219–1230. [Google Scholar] [CrossRef]
- Yu, X.; Li, L.; Zola, J.; Aluru, M.; Ye, H.; Foudree, A.; Guo, H.; Anderson, S.; Aluru, S.; Liu, P.; et al. A brassinosteroid transcriptional network revealed by genome-wide identification of BESI target genes in Arabidopsis thaliana. Plant J. 2011, 65, 634–646. [Google Scholar] [CrossRef]
- Sun, Y.; Fan, X.Y.; Cao, D.M.; Tang, W.; He, K.; Zhu, J.-Y.; He, J.-X.; Bai, M.-Y.; Zhu, S.; Oh, E.; et al. Integration of brassinosteroid signal transduction with the transcription network for plant growth regulation in Arabidopsis. Dev. Cell 2010, 19, 765–777. [Google Scholar] [CrossRef]
- Xu, C.; Chunyang, S.; Fulei, M.; Rui, L.; Xinmao, L.; Zhitao, D.; Aoxue, W. Identification of BZR gene family in tomato and expression patterns analysis under abiotic stress. J. Northeast. Agric. Univ. 2021, 52, 9–17. [Google Scholar]
- Ye, H.; Liu, S.; Tang, B.; Chen, J.; Xie, Z.; Nolan, T.M.; Jiang, H.; Guo, H.; Lin, H.Y.; Li, L.; et al. RD26 mediates crosstalk between drought and brassinosteroid signalling pathways. Nat. Commun. 2017, 8, 14573. [Google Scholar] [CrossRef]
- Bai, M.Y.; Zhang, L.Y.; Gampala, S.S.; Zhu, S.-W.; Song, W.-Y.; Chong, K.; Wang, Z.-Y. Functions of OsBZR1 and 14-3-3 proteins in brassinosteroid signaling in rice. P. Natl. Acad. Sci. USA 2007, 104, 13839–13844. [Google Scholar] [CrossRef]
- Jin, J.F.; Wang, Z.Q.; He, Q.Y.; Wang, J.Y.; Li, P.F.; Xu, J.M.; Zheng, S.J.; Fan, W.; Yang, J.L. Genome-wide identification and expression analysis of the NAC transcription factor family in tomato (Solanum lycopersicum) during aluminum stress. BMC Genom. 2020, 21, 288. [Google Scholar] [CrossRef] [PubMed]
- Wang, Z.Y.; Nakano, T.; Gendron, J.; He, J.; Chen, M.; Vafeados, D.; Yang, Y.; Fujioka, S.; Yoshida, S.; Asami, T.; et al. Nuclear-localized BZR1 mediates brassinosteroid-induced growth and feedback suppression of brassinosteroid biosynthesis. Dev. Cell 2002, 2, 505–513. [Google Scholar] [CrossRef]
- Li, Y.; He, L.; Li, J.; Chen, J.; Liu, C. Genome-Wide Identification, Characterization, and Expression Profiling of the Legume BZR Transcription Factor Gene Family. Front. Plant Sci. 2018, 9, 1332. [Google Scholar] [CrossRef]
- Cui, X.Y.; Gao, Y.; Guo, J.; Yu, T.-F.; Zheng, W.-J.; Liu, Y.-W.; Chen, J.; Xu, Z.-S.; Ma, Y.-Z. BES/BZR Transcription Factor TaBZR2 Positively Regulates Drought Responses by Activation of TaGST1. Plant Physiol. 2019, 180, 605–620. [Google Scholar] [CrossRef] [PubMed]
- Ullah, U.; Shalmani, A.; Ilyas, M.; Raza, A.; Ahmad, S.; Shah, A.Z.; Buttar, Z.A. BZR proteins: Identification, evolutionary and expression analysis under various exogenous growth regulators in plants. Mol. Biol. Rep. 2022, 49, 12039–12053. [Google Scholar] [CrossRef]
- Wang, B.; Zhu, X.; Wei, X. Genome-wide identification, structural analysis, and expression profiles of the BZR gene family in tomato. J. Plant Biochem. Biot. 2022, 31, 739–750. [Google Scholar] [CrossRef]
- Zhang, H.; Zhao, Y.; Zhu, J.K. Thriving under Stress: How Plants Balance Growth and the Stress Response. Dev. Cell 2020, 55, 529–543. [Google Scholar] [CrossRef]
- Zhou, P.; Jiang, H.; Li, J.; Jin, Q.; Wang, Y.; Xu, Y. Genome-Wide Identification Reveals That BZR1 Family Transcription Factors Involved in Hormones and Abiotic Stresses Response of Lotus (Nelumbo). Horticulturae 2023, 9, 882. [Google Scholar] [CrossRef]
- Tomar, V.; Saini, S.S.; Juneja, K.; Agrawal, P.K.; Sircar, D. Transgenic Technologies and Their Potential Applications in Horticultural Crop Improvement. In Advances in Plant Transgenics: Methods and Applications; Springer: Berlin/Heidelberg, Germany, 2019; pp. 189–212. [Google Scholar]
- Jia, C.; Zhao, S.; Bao, T.; Zhao, P.; Peng, K.; Guo, Q.; Qin, J. Tomato BZR/BES transcription factor SlBZR1 positively regulates BR signaling and salt stress tolerance in tomato and Arabidopsis. Plant Sci. 2021, 302, 110719. [Google Scholar] [CrossRef]
- Matsushita, K.; Azuma, Y.; Kosaka, T.; Yakushi, T.; Hoshida, H.; Akada, R.; Yamada, M. Genomic analyses of thermotolerant microorganisms used for high-temperature fermentations. Biosci. Biotech. Bioch 2016, 80, 655–668. [Google Scholar] [CrossRef]
- Zhang, S.; Fu, W.; Li, N.; Zhang, F.; Liu, T.X. Antioxidant responses of Propylaea japonica (Coleoptera: Coccinellidae) exposed to high temperature stress. J. Insect Physiol. 2015, 73, 47–52. [Google Scholar] [CrossRef] [PubMed]
- Zhuo, C.; Wang, T.; Guo, Z.; Lu, S. Overexpression of MfPIP2-7 from Medicago falcata promotes cold tolerance and growth under NO3 (-) deficiency in transgenic tobacco plants. BMC Plant Biol. 2016, 16, 138. [Google Scholar] [CrossRef]
- Xu, Y.; Hu, W.; Liu, J.; Zhang, J.; Jia, C.; Miao, H.; Xu, B.; Jin, Z. A banana aquaporin gene, MaPIP1;1, is involved in tolerance to drought and salt stresses. Bmc Plant Biol. 2014, 14, 59. [Google Scholar] [CrossRef]
- Stewart, R.R.; Bewley, J.D. Lipid peroxidation associated with accelerated aging of soybean axes. Plant Physiol. 1980, 65, 245–248. [Google Scholar] [CrossRef] [PubMed]
- Zhou, L.; Zhou, J.; Xiong, Y.; Liu, C.; Wang, J.; Wang, G.; Cai, Y. Overexpression of a maize plasma membrane intrinsic protein ZmPIP1;1 confers drought and salt tolerance in Arabidopsis. PLoS ONE 2018, 13, e218234. [Google Scholar] [CrossRef]
- Yamada, M.; Morishita, H.; Urano, K.; Shiozaki, N.; Yamaguchi-Shinozaki, K.; Shinozaki, K.; Yoshiba, Y. Effects of free proline accumulation in petunias under drought stress. J. Exp. Bot. 2005, 56, 1975–1981. [Google Scholar] [CrossRef]
- Sun, X.; Zhu, S.; Li, N.; Cheng, Y.; Zhao, J.; Qiao, X.; Lu, L.; Liu, S.; Wang, Y.; Liu, C.; et al. A Chromosome-Level Genome Assembly of Garlic (Allium sativum) Provides Insights into Genome Evolution and Allicin Biosynthesis. Mol. Plant 2020, 13, 1328–1339. [Google Scholar] [CrossRef]
- Chakrabarty, D.; Datta, S.K. Micropropagation of gerbera: Lipid peroxidation and antioxidant enzyme activities during acclimatization process. Acta Physiol. Plant 2008, 30, 325–331. [Google Scholar] [CrossRef]
- Ke, D.; Sun, G.; Wang, Z. Effects of superoxide radicals on ACC synthase activity in chilling-stressed etiolated mungbean seedlings. Plant Growth Regul. 2007, 51, 83–91. [Google Scholar] [CrossRef]
- Muñoz-Muñoz, J.L.; García-Molina, F.; García-Ruiz, P.; Arribas, E.; Tudela, J.; García-Cánovas, F.; Rodríguez-López, J. Enzymatic and chemical oxidation of trihydroxylated phenols. Food Chem. 2009, 113, 435–444. [Google Scholar] [CrossRef]
- Aebi, H. Catalase in vitro. Method. Enzymol. 1984, 105, 121–126. [Google Scholar]
- Nakano, Y.; Asada, K. Hydrogen-peroxide is scavenged by ascorbate-specific peroxidase in spinach-chloroplasts. Plant Cell Physiol. 1981, 22, 867–880. [Google Scholar]
- Beauchamp, C.; Fridovich, I. Superoxide dismutase: Improved assays and an assay applicable to acrylamide gels. Anal. Biochemistry 1971, 44, 276–287. [Google Scholar] [CrossRef]
- Kong, M.; Chen, X.G.; Liu, C.S.; Meng, X.H.; Yu, L.J. Antibacterial mechanism of chitosan microspheres in a solid dispersing system against E. coli. Colloids and Surfaces B Biointerfaces 2008, 65, 197–202. [Google Scholar] [CrossRef] [PubMed]
- Kumar, G.; Knowles, N.R. Changes in Lipid Peroxidation and Lipolytic and Free-Radical Scavenging Enzyme Activities during Aging and Sprouting of Potato (Solanum tuberosum) Seed-Tubers. Plant Physiol. 1993, 102, 115–124. [Google Scholar] [CrossRef]
- Truzzi, C.; Annibaldi, A.; Illuminati, S.; Finale, C.; Scarponi, G. Determination of proline in honey: Comparison between official methods, optimization and validation of the analytical methodology. Food Chem. 2014, 150, 477–481. [Google Scholar] [CrossRef]
Disclaimer/Publisher’s Note: The statements, opinions and data contained in all publications are solely those of the individual author(s) and contributor(s) and not of MDPI and/or the editor(s). MDPI and/or the editor(s) disclaim responsibility for any injury to people or property resulting from any ideas, methods, instructions or products referred to in the content. |
© 2024 by the authors. Licensee MDPI, Basel, Switzerland. This article is an open access article distributed under the terms and conditions of the Creative Commons Attribution (CC BY) license (https://creativecommons.org/licenses/by/4.0/).










