Comparative Analysis of Water Stress Regimes in Avocado Plants during the Early Development Stage
Abstract
1. Introduction
2. Results
2.1. Root Analyses
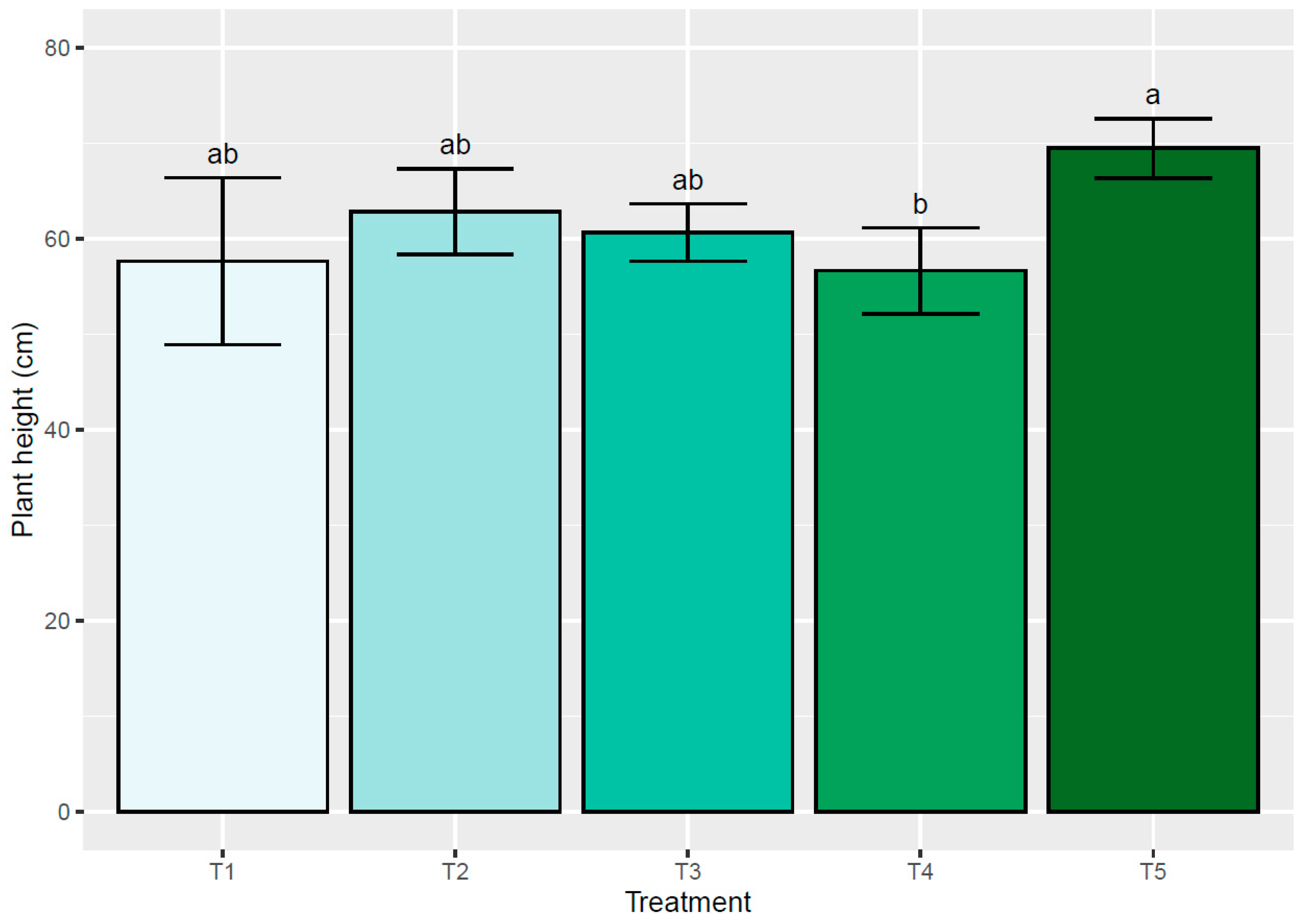
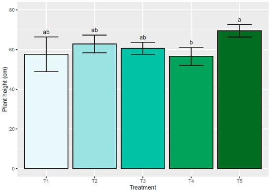
2.2. Plant Height, Leaf Area, Dry Matter Accumulation, and Organic Carbon Content
2.3. Analysis of Vegetation Indices
3. Discussion
4. Materials and Methods
4.1. Genetic Material and Experimental Conditions
4.2. Treatments and Experimental Design
4.3. Trial Management
4.4. Data Collection
4.5. Hyperspectral Image Acquisition and Vegetation Index
4.6. Data Analysis and Statistics
5. Conclusions
Supplementary Materials
Author Contributions
Funding
Data Availability Statement
Acknowledgments
Conflicts of Interest
References
- FAOSTAT. Avocado Trade–Crops and Livestock Products. 2023. Available online: https://www.fao.org/faostat/en/#data/TCL/visualize (accessed on 11 April 2024).
- USDA; Nutrient Data Laboratory. Avocado, Almond, Pistachio and Walnut Composition. In USDA National Nutrient Database for Standard Reference, Release 24; U.S. Department of Agriculture: Washington, DC, USA, 2011. [Google Scholar]
- Dreher, M.L.; Davenport, A.J. Hass avocado composition and potential health effects. Crit. Rev. Food Sci. Nutr. 2013, 53, 738–750. [Google Scholar] [CrossRef]
- Ford, N.A.; Liu, A.G. The forgotten fruit: A case for consuming avocado within the traditional Mediterranean diet. Front. Nutr. 2020, 7, 78. [Google Scholar] [CrossRef]
- CBI. The European Market Potential for Avocados. Centre for the Promotion of Imports from Developing Countries. The Netherlands Ministry of Foreign Affairs. Available online: https://www.cbi.eu/market-information/fresh-fruit-vegetables/avocados/market-potential (accessed on 9 March 2024).
- Ferreira, G.; Perez, A. Fruit and Tree Nuts Outlook; Economic Research Service U.S. Department of Agriculture: Washington, DC, USA, 2017; 28p. Available online: https://www.ers.usda.gov/webdocs/outlooks/83036/fts-364.pdf?v=631.3 (accessed on 16 April 2024).
- USDA. Imports Play Dominant Role as U.S. Demand for Avocados Climbs. Economic Research Service U.S. Department of Agriculture. Available online: https://www.ers.usda.gov/data-products/chart-gallery/gallery/chart-detail/?chartId=103810 (accessed on 14 May 2024).
- MADR. Evaluaciones Agropecuarias Municipales—EVA. Ministerio de Agricultura y Desarrollo Rural. Available online: https://www.datos.gov.co/Agricultura-y-Desarrollo-Rural/Evaluaciones-Agropecuarias-Municipales-EVA/2pnw-mmge (accessed on 10 July 2024).
- Rondón, T.; Builes, S.; Casamitjana, M.; Duque, M.; Rodríguez-León, A.K.; Vega, C.; Ruiz, D.; Rodríguez, G.A. Perspectiva del ordenamiento productivo del aguacate cv. Hass en Antioquia. In Actualización Tecnológica y Buenas Prácticas Agrícolas (BPA) en el Cultivo de Aguacate; Bernal, J., Diaz, C., Eds.; Editorial AGROSAVIA: Bogotá, Colombia, 2020; pp. 715–758. [Google Scholar] [CrossRef]
- Hatfield, J.L.; Dold, C. Water-Use Efficiency: Advances and challenges in a changing climate. Front. Plant Sci. 2019, 10, 103. [Google Scholar] [CrossRef]
- Soothar, R.K.; Singha, A.; Soomro, S.A.; Chachar, A.; Kalhoro, F.; Rahaman, M.A. Effect of different soil moisture regimes on plant growth and water use efficiency of Sunflower: Experimental study and modeling. Natl. Bull. Res. Cent. 2021, 45, 121. [Google Scholar] [CrossRef]
- Zhao, M.; Boll, J. Adaptation of water resources management under climate change. Front. Water 2022, 4, 983228. [Google Scholar] [CrossRef]
- Marquez, A. Sobreexplotación del Agua: Causas, Consecuencias y Soluciones. Available online: https://www.ecologiaverde.com/sobreexplotacion-del-agua-causas-consecuencias-y-soluciones-3158.html (accessed on 15 July 2024).
- Iglesias, A.; Garrote, L. Adaptation strategies for agricultural water management under climate change in Europe. Agric. Water Manag. 2015, 155, 113–124. [Google Scholar] [CrossRef]
- Prein, A.F.; Holland, G.J.; Rasmussen, R.M.; Clark, M.P.; Tye, M.R. Running dry: The U.S. Southwest’s drift into a drier climate state. Geophys. Res. Lett. 2016, 43, 1272–1279. [Google Scholar] [CrossRef]
- ICF. Interactive Country Fiches. Available online: https://dicf.unepgrid.ch/colombia/water#section-pressures (accessed on 5 August 2024).
- AQUASTAT. AQUASTAT Database. AQUASTAT Dissemination System. Available online: https://data.apps.fao.org/aquastat/?lang=en (accessed on 18 August 2024).
- Erazo-Mesa, E.; Ramírez-Gil, J.G.; Sánchez, A.E. Avocado cv. Hass needs water irrigation in tropical precipitation regime: Evidence from Colombia. Water 2021, 12, 1942. [Google Scholar] [CrossRef]
- Zuazo, V.H.D.; Lipan, L.; Rodríguez, B.C.; Sendra, E.; Franco Tarifa, D.; Nemś, A.; Gálvez Ruiz, B.; Carbonell–Barrachina, A.A.; García–Tejero, I.F. Impact of deficit irrigation on fruit yield and lipid profile of terraced avocado orchards. Agron. Sustain. Dev. 2021, 41, 69. [Google Scholar] [CrossRef]
- Li, T.; Hasegawa, T.; Yin, X.; Zhu, Y.; Boote, K.; Adam, M. Uncertainties in predicting rice yield by current crop models under a wide range of climatic conditions. Glob. Chang. Biol. 2015, 21, 1328–1341. [Google Scholar] [CrossRef]
- Schaffer, B.; Gil, P.; Micklbart, M.V.; Whiley, A.W. Ecophysiology. In Avocado: Botany, Production and Uses; Schaffer, B., Wolstenholme, B.N., Whiley, A.W., Eds.; CABI: Croydon, UK, 2013; pp. 168–199. [Google Scholar] [CrossRef]
- Ramírez-Gil, J.G.; Cobos, M.E.; Jiménez-García, D.; Morales-Osorio, J.G.; Peterson, A.T. Current and potential future distributions of Hass avocados in the face of climate change across the Americas. Crop Pasture Sci. 2019, 70, 694. [Google Scholar] [CrossRef]
- da Silva, S.R.; Cantuarias-Avilés, T.E.; Chiavelli, B.; Martins, M.A.; Oliveira, M.S. Phenological models for implementing management practices in rain-fed avocado orchards. Pesq. Agropec. Trop. 2017, 47, 321–327. [Google Scholar] [CrossRef]
- Ferreyra, R.; Selles, G. Avocado. In Crop Yield Response to Water. FAO Irrigation and Drainage Paper 66; Steduto, P., Hsiao, T.C., Fereres, E., Raes, D., Eds.; FAO: Rome, Italy, 2012; pp. 442–447. [Google Scholar]
- Carr, M.K.V. The water relations and irrigation requirements of avocado (Persea americana Mill.): A review. Exp. Agric. 2013, 49, 256–278. [Google Scholar] [CrossRef]
- Holzapfel, E.; de Souza, J.A.; Jara, J.; Guerra, H.C. Responses of avocado production to variation in irrigation levels. Irrig. Sci. 2017, 35, 205–215. [Google Scholar] [CrossRef]
- Escobar, V.; Cortes, M.; Correa, A.; Rondon, T.; Rodríguez, P. Hass avocado internal disorders under simulated export conditions and its relationship with flesh mineral content and preharvest variables. Horticulturae 2021, 7, 77. [Google Scholar] [CrossRef]
- Schaffer, B. Effects of soil oxygen deficiency on avocado (Persea americana Mill.) trees. In Proceedings of the International Seminar: Irrigation and Soil Management in Avocado Cultivation, La Cruz, Chile, 27–28 September 2006. [Google Scholar]
- Davies, W.J.; Bacon, M.A. Adaptation of roots to drought. In Root Ecology. Ecological Studies; de Kroon, H., Visser, E.J.W., Eds.; Springer: Berlin/Heidelberg, Germany, 2003; pp. 173–192. [Google Scholar] [CrossRef]
- Shekhar, V.; Stöckle, D.; Thellmann, M.; Vermeer, J.E.M. The role of plant root systems in evolutionary adaptation. Curr. Top. Dev. Biol. 2019, 131, 55–80. [Google Scholar] [CrossRef]
- Kofidis, G.; Bosabalidis, A.M.; Chartzoulakis, K. Leaf anatomical alterations induced by drought stress in two avocado cultivars. J. Biol. Res. 2004, 1, 115–120. [Google Scholar]
- Kaneko, T.; Gould, N.; Campbell, D.; Clearwater, M.J. Isohydric stomatal behaviour alters fruit vascular flows and minimizes fruit size reductions in drought-stressed ‘Hass’ avocado (Persea americana Mill.). Ann. Bot. 2024, 133, 969–982. [Google Scholar] [CrossRef]
- Chartzoulakis, K.; Patakas, A.; Kofidis, G.; Bosabalidis, A.; Nastou, A. Water stress affects leaf anatomy, gas exchange, water relations and growth of two avocado cultivars. Sci. Hortic. 2002, 95, 39–50. [Google Scholar] [CrossRef]
- Reeksting, B.J.; Taylor, N.J.; van den Berg, N. Flooding and Phytophthora cinnamomi: Effects on photosynthesis and chlorophyll fluorescence in shoots of non-grafted Persea americana (mill.) rootstocks differing in tolerance to Phytophthora root rot. S. Afr. J. Bot. 2014, 95, 40–53. [Google Scholar] [CrossRef]
- Sanclemente, M.A.; Schaffer, B.; Gil, P.M.; Vargas, A.I.; Davies, F.S. Pruning after flooding hastens recovery of flood-stressed avocado (Persea americana Mill.) trees. Sci. Hortic. 2014, 169, 27–35. [Google Scholar] [CrossRef]
- Chung, S.W.; Rho, H.; Lim, C.K.; Jeon, M.K.; Kim, S.; Jang, Y.J.; An, J.H. Photosynthetic response and antioxidative activity of ‘Hass’ avocado cultivar treated with short-term low temperature. Sci. Rep. 2022, 12, 11593. [Google Scholar] [CrossRef] [PubMed]
- Wang, H.; Wang, H.; Shao, H.; Tang, X. Recent advances in utilizing transcription factors to improve plant abiotic stress tolerance by transgenic technology. Front. Plant Sci. 2016, 7, 67. [Google Scholar] [CrossRef]
- van den Berg, N.; Mahomed, W.; Olivier, N.A.; Swart, V.; Crampton, B.G. Transcriptome analysis of an incompatible Persea americana-Phytophthora cinnamomi interaction reveals the involvement of SA- and JA-pathways in a successful defense response. PLoS ONE 2018, 13, e0205705. [Google Scholar] [CrossRef]
- Moreno-Ortega, G.; Zumaquero, A.; Matas, A.; Nicholas, O.A.; van den Berg, N.; Palomo-Ríos, E.; Martínez-Ferri, E.; Pliego, C. Physiological and Molecular Responses of ‘Dusa’ Avocado Rootstock to Water Stress: Insights for Drought Adaptation. Plants 2021, 10, 2077. [Google Scholar] [CrossRef]
- Granum, E.; Pérez-Bueno, M.L.; Calderón, C.E.; Ramos, C.; de Vicente, A.; Cazorla, F.M.; Barón, M. Metabolic responses of avocado plants to stress induced by Rosellinia necatrix analysed by fluorescence and thermal imaging. Eur. J. Plant Pathol. 2015, 142, 625–632. [Google Scholar] [CrossRef]
- Guo, X.; Tseung, C.; Zare, A.; Liu, T. Hyperspectral image analysis for the evaluation of chilling injury in avocado fruit during cold storage. Postharvest Biol. Technol. 2023, 206, 112548. [Google Scholar] [CrossRef]
- Torres-Madronero, M.C.; Rondón, T.; Franco, R.; Casamitjana, M.; González, J.T. Spectral characterization of avocado Persea americana Mill. cv. Hass using spectrometry and imagery from the visible to near-infrared range. TecnoLógicas 2023, 26, e208. [Google Scholar] [CrossRef]
- Andrade-Hoyos, P. Selection of Avocado Rootstocks for Tolerance-Resistance to Phytophthora cinnamomi (Rands). Ph.D. Thesis, Colegio de Postgraduados, Montecillo, Mexico, 2012. Available online: http://colposdigital.colpos.mx:8080/xmlui/bitstream/handle/10521/1769/Andrade_Hoyos_P_DC_Fitopatolog%c3%ada_2012.pdf?sequence=1&isAllowed=y (accessed on 1 August 2023).
- Engelbrecht, J.; van den Berg, N. Expression of defense-related genes against Phytophthora cinnamomi in five avocado rootstocks. S. Afr. J. Sci. 2013, 109, 8. [Google Scholar] [CrossRef]
- Sánchez-González, E.I.; Gutiérrez-Soto, J.G.; Olivares-Sáenz, E.; Gutiérrez-Díez, A.; Barrientos-Priego, A.F.; Ochoa-Ascencio, S. Screening progenies of Mexican race avocado genotypes for resistance to Phytophthora cinnamomi Rands. HortScience 2019, 54, 809–813. [Google Scholar] [CrossRef]
- Mickelbart, M.V.; Arpaia, M.L. Rootstock influences changes in ion concentrations, growth, and photosynthesis of ‘Hass’ avocado trees in response to salinity. J. Am. Soc. Hortic. Sci. 2002, 127, 649–655. [Google Scholar] [CrossRef]
- Calderón-Vázquez, C.; Durbin, M.L.; Ashworth, V.E.T.M.; Tommasini, L.; Meyer, K.K.T.; Clegg, M.T. Quantitative genetic analysis of three important nutritive traits in the fruit of Avocado. J. Am. Soc. Hortic. Sci. 2013, 138, 283–289. [Google Scholar] [CrossRef]
- Jeudy, C.; Adrian, M.; Baussard, C.; Bernard, C.; Bernaud, E.; Bourion, V.; Busset, H.; Cabrera-Bosquet, L.; Cointault, F.; Han, S.; et al. RhizoTubes as a new tool for high throughput imaging of plant root development and architecture: Test, comparison with pot grown plants and validation. Plant Methods 2016, 12, 31. [Google Scholar] [CrossRef] [PubMed]
- Martins, S.M.; de Brito, G.G.; Gonçalves, W.C.; Tripode, B.M.D.; Lartaud, M.; Duarte, J.B.; Morello, C.L.; Giband, M. PhenoRoots: An inexpensive non-invasive phenotyping system to assess the variability of the root system architecture. Sci. Agric. 2020, 77, e20180420. [Google Scholar] [CrossRef]
- Coronado, V.; Barrera-Sánchez, C.F.; Guzmán, M. High-throughput phenotyping of maize roots using digital image analysis. Cienc. Tecnol. Agropecu. 2024, 25, e3312. [Google Scholar] [CrossRef]
- Trachsel, S.; Kaeppler, S.M.; Brown, K.M.; Lynch, J.P. Shovelomics: High throughput phenotyping of maize (Zea mays L.) root architecture in the field. Plant Soil 2011, 341, 75–87. [Google Scholar] [CrossRef]
- Colombi, T.; Kirchgessner, N.; Le Marié, C.A.; York, L.M.; Lynch, J.P.; Hund, A. Next generation shovelomics: Set up a tent and REST. Plant Soil 2015, 388, 1–20. [Google Scholar] [CrossRef]
- Derebe, A.D.; Dema, M.W.; Roro, A.G. Impact of waterlogging stress on grafted avocado (Persea americana) seedlings growth and physiological performance. Cogent Food Agric. 2023, 9, 2261837. [Google Scholar] [CrossRef]
- Marcelis, L.F.M.; Heuvelink, E.; Goudriaan, J. Modelling biomass production and yield of horticultural crops: A review. Sci. Hortic. 1998, 74, 83–111. [Google Scholar] [CrossRef]
- Higashide, T.; Heuvelink, E. Physiological and morphological changes over the past 50 years in yield components in tomato. J. Am. Soc. Hortic. Sci. 2009, 134, 460–465. [Google Scholar] [CrossRef]
- Homma, M.; Higashide, T.; Dong-Hyuk, A. Modeling short-term yield changes in sweet pepper based on dry matter production and fruit growth. J. Am. Soc. Hortic. Sci. 2023, 148, 292–303. [Google Scholar] [CrossRef]
- Liu, Y.; Su, L.; Quanjiu, W.; Zhang, J.; Shan, Y.; Deng, M. Comprehensive and quantitative analysis of growth characteristics of winter wheat in China based on growing degree days. In Advances in Agronomy; Sparks, D.L., Ed.; Academic Press: Cambridge, MA, USA, 2020; Volume 59, pp. 237–273. [Google Scholar] [CrossRef]
- Ferner, E.; Rennenberg, H.; Kreuzwieser, J. Effect of flooding on C metabolism of flood-tolerant (Quercus robur) and non-tolerant (Fagus sylvatica) tree species. Tree Physiol. 2012, 32, 135–145. [Google Scholar] [CrossRef]
- Tardieu, F.; Granier, C.; Muller, B. Water deficit and growth. Coordinating processes without an orchestrator? Curr. Opin. Plant Biol. 2011, 14, 283–289. [Google Scholar] [CrossRef]
- Stefaniak, E.; Tissue, D.T.; Dewar, R.C.; Medlyn, B.E. Optimal carbon storage during drought. Tree Physiol. 2024, tpae032. [Google Scholar] [CrossRef] [PubMed]
- Paula, S.; Pausas, J.G. Root traits explain different foraging strategies between resprouting life strategies. Oecologia 2011, 165, 321–331. [Google Scholar] [CrossRef] [PubMed][Green Version]
- Tariq, A.; Graciano, C.; Sardans, J.; Zeng, F.; Hughes, A.C.; Ahmed, Z.; Ullah, A.; Ali, S.; Gao, Y.; Peñuelas, J. Plant root mechanisms and their effects on carbon and nutrient accumulation in desert ecosystems under changes in land use and climate. New Phytol. 2024, 242, 916–934. [Google Scholar] [CrossRef]
- Moreno, L. Respuestas de las plantas al estrés por déficit hídrico. Una revisión. Agron. Colomb. 2009, 27, 179–191. [Google Scholar]
- Rocha-Arroyo, J.L.; Salazar-García, S.; Bárcenas-Ortega, A.E.; González-Durán, I.J.; Cossio-Vargas, L.E. Fenología del aguacate ‘Hass’ en Michoacán. Rev. Mex. Cienc. Agrícolas 2011, 2, 303–316. [Google Scholar]
- Schaffer, B.; Whiley, A. Environmental physiology. In The Avocado, Botany, Production and Uses; Whiley, A., Schaffer, B., Wolstenholme, B., Eds.; CABI Publishing: London, UK, 2002; pp. 133–154. [Google Scholar]
- Garzón, D.; Vélez-Sanchez, J.; Orduz, J. Efecto del déficit hídrico en el crecimiento y desarrollo de los frutos de naranja Valencia (Citrus sinensis Osbeck) en el piedemonte del Meta, Colombia. Acta Agronómica 2013, 62, 136–147. [Google Scholar]
- Zyalalov, A.A. Water flows in higher plants: Physiology, evolution, and system analysis. Russ. J. Plant Physiol. 2004, 51, 547–555. [Google Scholar] [CrossRef]
- Cushman, J.C. Osmoregulation in plants: Implications for agriculture. Amer. Zool. 2001, 41, 758–769. [Google Scholar] [CrossRef]
- Campbell, J.B.; Wynne, R.H. Introduction to Remote Sensing, 5th ed.; The Guilford Press: New York, NY, USA, 2013; 717p. [Google Scholar]
- Cañas-Gutiérrez, G.P.; Arango-Isaza, R.E.; Saldamanto-Benjumea, C.I. Microsatellites revealed genetic diversity and population structure in Colombian avocado (Persea americana Mill.) germplasm collection and its natural populations. J. Plant Breed. Crop Sci. 2019, 11, 106–119. [Google Scholar] [CrossRef]
- Reyes-Herrera, P.H.; Muñoz-Baena, L.; Velásquez-Zapata, V.; Patiño, L.; Delgado-Paz, O.A.; Diaz-Diez, C.A.; Navas-Arboleda, A.A.; Cortés, A.J. Inheritance of Rootstock Effects in Avocado (Persea americana Mill.) cv. Hass. Front. Plants Sci. 2020, 11, 555071. [Google Scholar] [CrossRef] [PubMed]
- Cañas-Gutiérrez, G.P.; Sepulveda-Ortega, S.; López-Hernández, F.; Navas-Arboleda, A.A.; Cortés, A.J. Inheritance of yield components and morphological traits in avocado cv. Hass from “Criollo” “Elite trees” via half-sib seedling rootstocks. Front. Plants Sci. 2022, 13, 43099. [Google Scholar] [CrossRef] [PubMed]
- Dorado-Guerra, D.; Grajales-Guzmán, L.C.; Rebolledo-Roa, A. Requerimientos Hídricos del Cultivo de Aguacate (Persea americana) Variedad Hass en Zonas Productoras de Colombia; Corporación Colombiana de Investigación Agropecuaria: Mosquera, Colombia, 2016; 92p, Available online: https://editorial.agrosavia.co/index.php/publicaciones/catalog/download/14/12/115-1?inline=1?inline=1 (accessed on 16 November 2023).
- UCV. Métodos de Análisis de Suelos y Plantas Utilizados en el Laboratorio General de Suelos del Instituto de Edafología; Cuadernos de Agronomía, Facultad de Agronomía, UCV: Maracay, Venezuela, 1993; Year 1, Number 6; 89p. [Google Scholar]
- López-Calderón, M.J.; Estrada-Ávalos, J.; Rodríguez-Moreno, V.M.; Mauricio-Ruvalcaba, J.E.; Martínez-Sifuentes, A.R.; Delgado-Ramírez, G.; Miguel-Valle, E. Estimation of total nitrogen content in forage maize (Zea mays L.) using spectral indices: Analysis by random forest. Agriculture 2020, 10, 451. [Google Scholar] [CrossRef]
- Shao, H.; Shi, D.; Shi, W.; Ban, X.; Chen, Y.; Ren, W.; Chen, F.; Mi, G. Genotypic difference in the plasticity of root system architecture of field-grown maize in response to plant density. Plant Soil 2019, 439, 201–217. [Google Scholar] [CrossRef]






| Source of Variation | DPR (cm) | AREA (cm2) (×1000) | TRL (mm) (×1000) | LRA (°) | RRA (°) | RAO (°) |
|---|---|---|---|---|---|---|
| Repetition (Rep) | 18.41 | 0.9 | 246.1 | 179.2 | 80.7 | 157.40 |
| Rootstock (RS) | 20.81 ns | 37.3 * | 4772.6 *** | 139.8 ns | 1040.7 ** | 508.77 ** |
| Error A (Rep × RS) | 0.34 | 2.0 | 74.4 | 85.72 | 95.1 | 415.81 |
| Water regime (WR) | 65.58 * | 9.9 * | 6920.6 *** | 300.7 * | 5101.0 *** | 139.36 ns |
| RS × WR | 65.47 ns | 3.3 ns | 1411.0 *** | 1266.9 *** | 2491.0 *** | 619.92 * |
| Error B (Rep × RS × WR) | 21.43 | 3.3 | 259.2 | 114.14 | 84.8 | 126.37 |
| CV, % A | 21.4 | 15.2 | 13.2 | 14.2 | 15.1 | 22.4 |
| CV% B | 28.1 | 19.0 | 24.6 | 16.4 | 14.3 | 31.3 |
| Genotype | Treatments | DPR (cm) | AREA (cm2) | TRL (mm) | LRA (°) | RRA (°) | RAO (°) |
|---|---|---|---|---|---|---|---|
| ANRR88 | T1 | 26.45 ab | 295.38 bc | 2353.9 abc | 49.03 c | 69.41 abc | 61.56 ab |
| T2 | 23.03 bc | 253.22 c | 2240.6 bc | 68.04 a | 77.60 a | 34.38 c | |
| T3 | 31.77 a | 281.08 c | 2317.6 bc | 70.37 a | 32.83 d | 32.83 c | |
| T4 | 15.24 c | 190.09 d | 1805.5 cd | 67.77 a | 66.05 bc | 46.17 bc | |
| T5 (Control) | 23.54 ab | 301.95 bc | 2644.9 ab | 70.56 a | 77.98 a | 31.48 c | |
| ANGI52 | T1 | 28.77 ab | 290.69 c | 1680.4 d | 70.23 a | 72.34 ab | 38.43 c |
| T2 | 23.27 bc | 354.82 ab | 1560.5 d | 63.96 ab | 69.53 ab | 46.51 bc | |
| T3 | 22.94 bc | 397.23 a | 1848.9 cd | 56.51 bc | 60.21 c | 63.30 a | |
| T4 | 24.29 b | 298.46 bc | 1779.9 cd | 63.92 ab | 63.58 bc | 52.53 ab | |
| T5 (Control) | 28.63 ab | 357.26 ab | 2904.0 a | 68.09 a | 66.36 bc | 45.57 bc | |
| Mean | 24.95 | 303.14 | 2071.78 | 65.29 | 64.60 | 45.11 |
| Source of Variation | PH | LA (×1000) | Dry Matter (×1000) | Organic Carbon | |||||
|---|---|---|---|---|---|---|---|---|---|
| Leaves | Stems | Roots | Total | Leaves | Stems | Roots | |||
| Repetition (Rep) | 35.9 | 66.4 | 7.0 | 8.0 | 27.6 | 198.6 | 0.06 | 1.53 | 0.37 |
| Rootstock (RS) | 2.1 ns | 1679 ns | 10.6 ns | 5.3 ns | 332 ns | 602.8 ns | 0.10 * | 615.3 *** | 5.33 * |
| Error A (Rep × RS) | 14.5 | 206.2 | 8.8 | 20.9 | 40.4 | 202.8 | 0.01 | 4.92 | 0.46 |
| Water regime (WR) | 107.9 * | 2952 *** | 280.8 *** | 116.1 *** | 202.6 * | 1705.1 *** | 0.50 *** | 58.08 *** | 3.09 *** |
| RS × WR | 26.9 ns | 521.8 ns | 31.2 ns | 47.3 * | 10.4 ns | 111.9 ns | 0.07 ns | 18.07 *** | 1.15 ns |
| Error B (Rep × RS × WR) | 32.0 | 290.6 | 26.0 | 10.7 | 59.2 | 166.5 | 0.05 | 1.55 | 0.43 |
| Mean | 61.3 | 1.563 | 19.14 | 19.59 | 23.46 | 61.34 | 0.46 | 5.48 | 1.75 |
| CV, % A | 6.22 | 29.05 | 15.53 | 23.35 | 27.10 | 23.22 | 23.93 | 40.5 | 38.79 |
| CV% B | 9.22 | 34.48 | 26.68 | 16.74 | 32.81 | 21.04 | 51.67 | 22.78 | 37.69 |
| Vegetation Index | Sum Square | Mean Square | F | Prob > F | CV% |
|---|---|---|---|---|---|
| NDVI | 0.02297 | 0.00574 | 19.59 | 5.13 × 10−16 *** | 1.09 |
| MTCI | 186.69 | 46.6718 | 23.76 | 1.71 × 10−19 *** | 10.52 |
| CIRE | 1639.1 | 409.769 | 5.87 | 0.0001 ** | 16.72 |
Disclaimer/Publisher’s Note: The statements, opinions and data contained in all publications are solely those of the individual author(s) and contributor(s) and not of MDPI and/or the editor(s). MDPI and/or the editor(s) disclaim responsibility for any injury to people or property resulting from any ideas, methods, instructions or products referred to in the content. |
© 2024 by the authors. Licensee MDPI, Basel, Switzerland. This article is an open access article distributed under the terms and conditions of the Creative Commons Attribution (CC BY) license (https://creativecommons.org/licenses/by/4.0/).
Share and Cite
Rondon, T.; Guzmán-Hernández, M.; Torres-Madronero, M.C.; Casamitjana, M.; Cano, L.; Galeano, J.; Goez, M. Comparative Analysis of Water Stress Regimes in Avocado Plants during the Early Development Stage. Plants 2024, 13, 2660. https://doi.org/10.3390/plants13182660
Rondon T, Guzmán-Hernández M, Torres-Madronero MC, Casamitjana M, Cano L, Galeano J, Goez M. Comparative Analysis of Water Stress Regimes in Avocado Plants during the Early Development Stage. Plants. 2024; 13(18):2660. https://doi.org/10.3390/plants13182660
Chicago/Turabian StyleRondon, Tatiana, Manuel Guzmán-Hernández, Maria C. Torres-Madronero, Maria Casamitjana, Lucas Cano, July Galeano, and Manuel Goez. 2024. "Comparative Analysis of Water Stress Regimes in Avocado Plants during the Early Development Stage" Plants 13, no. 18: 2660. https://doi.org/10.3390/plants13182660
APA StyleRondon, T., Guzmán-Hernández, M., Torres-Madronero, M. C., Casamitjana, M., Cano, L., Galeano, J., & Goez, M. (2024). Comparative Analysis of Water Stress Regimes in Avocado Plants during the Early Development Stage. Plants, 13(18), 2660. https://doi.org/10.3390/plants13182660

