Temperature Dependence and the Effects of Ultraviolet Radiation on the Ultrastructure and Photosynthetic Activity of Carpospores in Sub-Antarctic Red Alga Iridaea cordata (Turner) Bory 1826
Abstract
1. Introduction
2. Results
2.1. Morphological and Ultrastructural Traits of Carpospores
2.2. Photochemical Responses
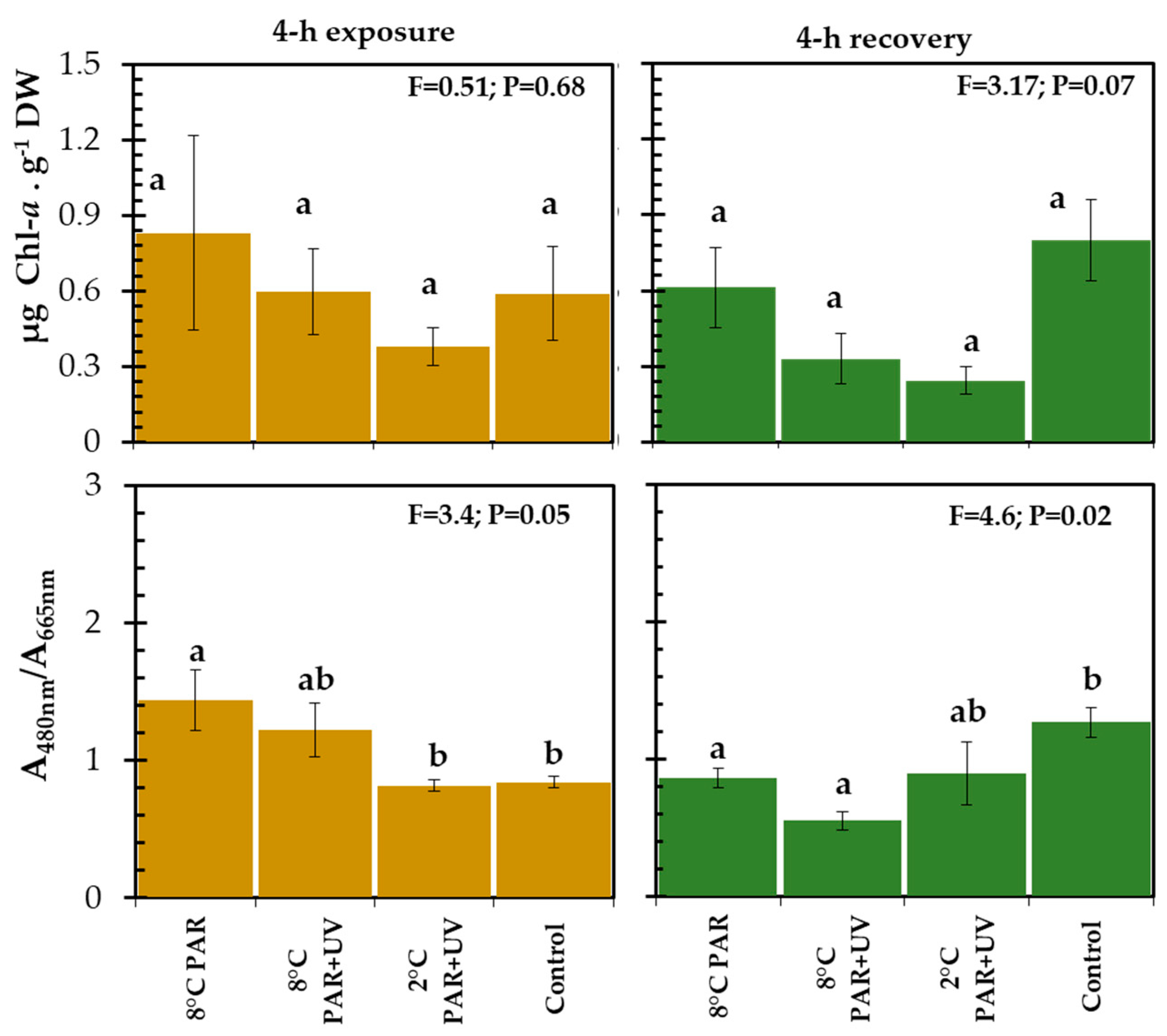
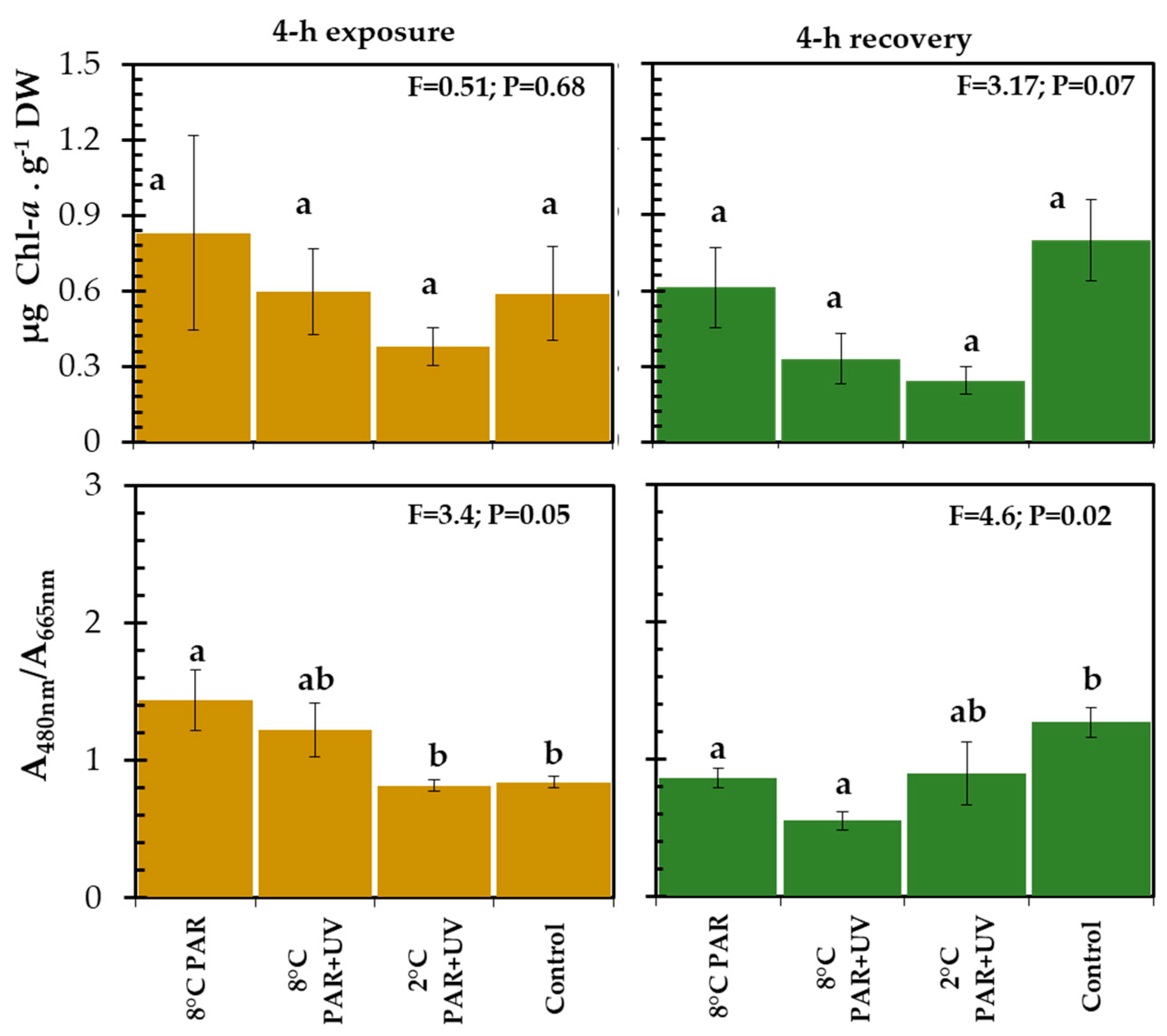
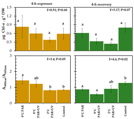
2.3. Chlorophyll-a Content and Analysis of Absorbance Spectra
3. Discussions
3.1. Changes in Photosynthetic Activity and Ultrastructure
3.2. Photoprotective Compounds and Mechanisms
4. Materials and Methods
4.1. The Environmental Context
4.2. Algal Collection and Processing
4.3. Short-Term Exposure to UV Radiation
4.4. Determination of Photosynthetic Activity
4.5. Bio-Optical Traits
4.6. Transmission Electron Microscopy
4.7. Data Analysis
5. Conclusions
Supplementary Materials
Author Contributions
Funding
Data Availability Statement
Acknowledgments
Conflicts of Interest
References
- Amsler, C.; Reed, D.; Neushul, M. The microclimate inhabited by macroalgal propagules. Eur. J. Phycol. 1992, 27, 253–270. [Google Scholar] [CrossRef]
- Zacher, K. The susceptibility of spores and propagules of Antarctic seaweeds to UV and photosynthetically active radiation—Field versus laboratory experiments. J. Exp. Mar. Biol. Ecol. 2014, 458, 57–63. [Google Scholar] [CrossRef]
- Coelho, S.M.; Rijstenbil, J.W.; Brown, M.T. Impacts of anthropogenic stresses on the early development stages of seaweeds. J. Aquat. Ecosyst. Stress Recov. 2000, 7, 317–333. [Google Scholar] [CrossRef]
- Véliz, K.; Edding, M.; Tala, F.; Gómez, I. Effects of ultraviolet radiation on different life cycle stages of the south Pacific kelps, Lessonia nigrescens and Lessonia trabeculata (Laminariales, Phaeophyceae). Mar. Biol. 2006, 149, 1015–1024. [Google Scholar] [CrossRef]
- Wiencke, C.; Roleda, M.Y.; Gruber, A.; Clayton, M.N.; Bischof, K. Susceptibility of zoospores to UV radiation determines upper depth distribution limit of Arctic kelps: Evidence through field experiments. J. Ecol. 2006, 94, 455–463. [Google Scholar] [CrossRef]
- Beach, K.S.; Smith, C.M.; Michael, T.M.; Shin, H.W. Photosynthesis in reproductive unicells of Ulva fasciata and Enteromorpha flexuosa: Implications for ecological success. Mar. Ecol. Prog. Ser. 1995, 125, 129–237. [Google Scholar] [CrossRef]
- Huovinen, P.S.; Oikari, A.O.; Soimasuo, M.R.; Cherr, G.N. Impact of UV radiation on the early development of the giant kelp (Macrocystis pyrifera) gametophytes. Photochem. Photobiol. 2000, 72, 308–313. [Google Scholar] [CrossRef]
- Roleda, M.Y.; Campana, G.L.; Wiencke, C.; Hanelt, D.; Quartino, M.L.; Wulff, A. Sensitivity of antarctic Urospora penicilliformis (Ulotrichales, Chlorophyta) to ultraviolet radiation is life-stage dependent. J. Phycol. 2009, 45, 600–609. [Google Scholar] [CrossRef]
- Zacher, K.; Roleda, M.Y.; Wulff, A.; Hanelt, D.; Wiencke, C. Responses of Antarctic Iridaea cordata (Rhodophyta) tetraspores exposed to ultraviolet radiation. Phycol. Res. 2009, 57, 186–193. [Google Scholar] [CrossRef]
- Navarro, N.P.; Huovinen, P.; Gómez, I. Stress tolerance of Antarctic macroalgae in the early life stage. Rev. Chil. Hist. Nat. 2016, 89, 5. [Google Scholar] [CrossRef]
- Avanzini, A. La ultraestructura de las esporas de Rhodophyta. Insula 1989, 19, 7–10. [Google Scholar]
- Pueschel, C.M.; Cole, K.M. Ultrastructure of germinating carpospores of Porphyra variegata (Kjellm.) Hus (Bangiales, Rhodophyta). J. Phycol. 1985, 21, 146–154. [Google Scholar] [CrossRef]
- Ouriques, L.C.; Bouzon, Z.L. Ultrastructure of germinating tetraspores of Hypnea musciformis (Gigartinales, Rhodophyta). Plant Biosyst. 2003, 137, 193–201. [Google Scholar] [CrossRef]
- Xue, L.; Zhang, Y.; Zhang, T.; An, L.; Wang, X. Effects of enhanced ultraviolet-B radiation on algae and cyanobacteria. Crit. Rev. Microbiol. 2005, 31, 79–89. [Google Scholar] [CrossRef] [PubMed]
- Vass, I. Adverse effects of UV-B light on the structure and function of the photosynthetic apparatus. In Handbook of Photosynthesis; Pessarakli, M., Ed.; Marcel Dekker Inc.: New York, NY, USA, 1997; pp. 931–949. [Google Scholar]
- Karsten, U.; Holzinger, A. Green algae in alpine biological soil crust communities: Acclimation strategies against ultraviolet radiation and dehydration. Biodivers. Conserv. 2014, 23, 1845–1858. [Google Scholar] [CrossRef]
- Asada, K. Production and scavenging of reactive oxygen species in chloroplasts and their functions. Plant. Physiol. 2006, 141, 391–396. [Google Scholar] [CrossRef]
- Verdaguer, D.; Jansen, M.A.; Llorens, L.; Morales, L.O.; Neugart, S. UV-A radiation effects on higher plants: Exploring the known unknown. Plant. Sci. 2017, 255, 72–81. [Google Scholar] [CrossRef]
- Roleda, M.Y.; van de Poll, W.H.; Hanelt, D.; Wiencke, C. PAR and UVBR effects on photosynthesis, viability, growth and DNA in different life stages of two coexisting Gigartinales: Implications for recruitment and zonation pattern. Mar. Ecol. Prog. Ser. 2004, 281, 37–50. [Google Scholar] [CrossRef]
- Navarro, N.P.; Huovinen, P.; Gómez, I. Photosynthetic characteristics of geographically disjunct seaweeds: A case study on the early life stages of Antarctic and Subantarctic species. Prog. Oceanogr. 2019, 174, 28–36. [Google Scholar] [CrossRef]
- Navarro, N.; Huovinen, P.; Gómez, I. Life history Strategies, photosynthesis, and stress tolerance in propagules of Antarctic seaweeds. In Antarctic Seaweeds: Diversity, Adaptation and Ecosystem Services; Gómez, I., Huovinen, P., Eds.; Springer Nature: Cham, Switzerland, 2020; pp. 193–215. [Google Scholar]
- Meindl, U.; Lütz, C. Effects of UV radiation on cell development and ultrastructure of the green alga Micrasterias. J. Photoch. Photobiol. B 1996, 36, 285–292. [Google Scholar] [CrossRef]
- Lütz, C.; Seidlitz, H.K.; Meindl, U. Physiological and structural changes in the chloroplast of the green alga Micrasterias denticulata induced by UV-B simulation. Plant Ecol. 1997, 128, 54–64. [Google Scholar] [CrossRef]
- Poppe, F.; Hanelt, D.; Wiencke, C. Changes in ultrastructure, photosynthetic activity and pigment in the Antarctic red alga Palmaria decipiens during acclimation to UV radiation. Bot. Mar. 2002, 45, 253–261. [Google Scholar] [CrossRef]
- Poppe, F.; Schmidt, R.A.; Hanelt, D.; Wiencke, C. Effects of UV radiation on the ultrastructure of several red algae. Phycol. Res. 2003, 51, 11–19. [Google Scholar] [CrossRef]
- Holzinger, A.; Lütz, C.; Karsten, U.; Wiencke, C. The effect of ultraviolet radiation on ultrastructure and photosynthesis in the red macroalgae Palmaria palmata and Odonthalia dentata from Arctic waters. Plant Biol. 2004, 6, 568–577. [Google Scholar] [CrossRef]
- Schmidt, E.C.; Scariot, L.A.; Rover, T.; Bouzon, Z.L. Changes in ultrastructure and histochemistry of two red macroalgae strains of Kappaphycus alvarezii (Rhodophyta, Gigartinales), as a consequence of ultraviolet B radiation exposure. Micron 2009, 40, 860–869. [Google Scholar] [CrossRef]
- Navarro, N.P.; Mansilla, A.; Plastino, E.M. UVB radiation induces changes in the ultra-structure of Iridaea cordata. Micron 2010, 41, 899–903. [Google Scholar] [CrossRef]
- Holzinger, A.; Karsten, U.; Lütz, C.; Wiencke, C. Ultrastructure and photosynthesis in the supralittoral green macroalga Prasiola crispa from Spitsbergen (Norway) under UV exposure. Phycologia 2006, 45, 168–177. [Google Scholar] [CrossRef]
- Steinhoff, F.S.; Wiencke, C.; Müller, R.; Bischof, K. Effects of ultraviolet radiation and temperature on the ultrastructure of zoospores of the brown macroalga Laminaria hyperborean. Plant Biol. 2008, 10, 388–397. [Google Scholar] [CrossRef] [PubMed]
- Izumi, M.; Ishida, H.; Nakamura, S.; Hidema, J. Entire photodamaged chloroplasts are transported to the central vacuole by autophagy. Plant Cell 2017, 29, 377–394. [Google Scholar] [CrossRef]
- Pérez-Pérez, M.E.; Crespo, J.L. Autophagy in the model alga Chlamydomonas reinhardtii. Autophagy 2010, 6, 562–563. [Google Scholar] [CrossRef]
- Zaytseva, A.; Chekanov, K.; Zaytsev, P.; Bakhareva, D.; Gorelova, O.; Kochkin, D.; Lobakova, E. Sunscreen Effect Exerted by Secondary Carotenoids and Mycosporine-like Amino Acids in the Aeroterrestrial Chlorophyte Coelastrella rubescens under High Light and UV-A Irradiation. Plants 2021, 10, 2601. [Google Scholar] [CrossRef]
- Gorelova, O.; Baulina, O.; Ismagulova, T.; Kokabi, K.; Lobakova, E.; Selyakh, I.; Semenova, L.; Chivkunova, O.; Karpova, O.; Scherbakov, P.; et al. Stress-induced changes in the ultrastructure of the photosynthetic apparatus of green microalgae. Protoplasma 2019, 256, 261–277. [Google Scholar] [CrossRef] [PubMed]
- Krause, G.H.; Weiss, E. Chlorophyll fluorescence and photosynthesis, the basics. Annu. Rev. Plant Physiol. Plant Mol. Biol. 1991, 42, 313–349. [Google Scholar] [CrossRef]
- Stroch, M.; Materova, Z.; Vrabl, D.; Karlický, V.; Sigut, L.; Nezval, J.; Spunda, V. Protective effect of UV-A radiation during acclimation of the photosynthetic apparatus to UV-B treatment. Plant Physiol. Biochem. 2015, 96, 90–96. [Google Scholar] [CrossRef]
- Bischof, K.; Gómez, I.; Molis, M.; Hanelt, D.; Karsten, U.; Lüder, U.; Roleda, M.Y.; Zacher, K.; Wiencke, C. Ultraviolet radiation shapes seaweed communities. Rev. Environ. Sci. Biotechnol. 2006, 5, 141–166. [Google Scholar] [CrossRef]
- Schmidt, E.C.; Pereira, B.; Pontes, C.L.M.; Santos, R.D.; Scherner, F.; Horta, P.A.; de Paula Martins, R.; Latini, A.; Maraschin, M.; Bouzon, Z.L. Alterations in architecture and metabolism induced by ultraviolet radiation-B in the carragenophyte Chondracanthus teedei (Rhodophyta, Gigartinales). Protoplasma 2012, 249, 353–367. [Google Scholar] [CrossRef]
- Hoyer, K.; Karsten, U.; Sawall, T.; Wiencke, C. Photoprotective substances in Antarctic macroalgae and their varia-tion with respect to depth distribution, different tissues and developmental stages. Mar. Ecol. Prog. Ser. 2001, 211, 117–129. [Google Scholar] [CrossRef]
- Navarro, N.P.; Figueroa, F.L.; Korbee, N. Mycosporine-like amino acids vs carrageenan yield in Mazzaella laminarioides (Gigartinales; Rhodophyta) under high and low UV solar irradiance. Phycologia 2017, 56, 570–578. [Google Scholar] [CrossRef]
- Cockell, C.S.; Knowland, J. Ultraviolet radiation screening compounds. Biol. Rev. 1999, 74, 311–345. [Google Scholar] [CrossRef] [PubMed]
- Navarro, N.P.; Figueroa, F.L.; Korbee, N.; Bonomi, J.; Álvarez-Gómez, F.; de la Coba, P. MAAs from red algae to develop natural UV sunscreens. In Sunscreens: Source, Formulations, Efficacy and Recommendations; Rastogi, R., Ed.; NOVA Publisher: Hauppauge, NY, USA, 2018. [Google Scholar]
- Roleda, M.Y.; Zacher, K.; Wulff, A.; Hanelt, D.; Wiencke, C. Susceptibility of spores of different ploidy levels from Antarctic Gigartina skottsbergii (Gigartinales, Rhodophyta) to ultraviolet radiation. Phycologia 2008, 47, 361–370. [Google Scholar] [CrossRef]
- Kräbs, G.; Bischof, K.; Hanelt, D.; Karsten, U.; Wiencke, C. Wavelength-dependent induction of UV-absorbing mycosporine-like amino acids in the red alga Chondrus crispus under natural solar radiation. J. Exp. Mar. Biol. 2002, 268, 69–82. [Google Scholar] [CrossRef]
- Navarro, N.P.; Figueroa, F.L.; Korbee, N.; Mansilla, A.; Plastino, E.M. Differential responses of tetrasporophytes and gametophytes of Mazzaella laminarioides (Gigartinales, Rhodophyta) under solar UV radiation. J. Phycol. 2016, 52, 451–462. [Google Scholar] [CrossRef] [PubMed]
- Navarro, N.P.; Huovinen, P.; Jofre, J.; Gómez, I. Ultraviolet radiation stress response of haploid and diploid spores of Mazzaella laminarioides: Do bio-optical traits matter? Algal Res. 2021, 54, 102230. [Google Scholar] [CrossRef]
- Wiencke, C.; Gómez, I.; Pakker, H.; Flores-Moya, A.; Altamirano, M.; Hanelt, D.; Bischof, K.; Figueroa, F.L. Impact of UV radiation on viability, photosynthetic characteristics and DNA of brown algal zoospores: Implications for depth zonation. Mar. Ecol. Prog. Ser. 2000, 197, 217–229. [Google Scholar] [CrossRef]
- Wiencke, C.; Amsler, C.D.; Clayton, M.N. Chapter 5.1: Macroalgae. In Biogeographic Atlas of the Southern Ocean; Scientific Committee on Antarctic Research: Cambridge, UK, 2014; pp. 65–73. [Google Scholar]
- Wiencke, C.; Clayton, M.N. Antarctic Seaweeds; ARG Gantner: Ruggell, Liechtenstein, 2002; pp. 1–239. [Google Scholar]
- Hommersand, M.H.; Fredericq, S.; Freshwater, D.W.; Hughey, J. Recent developments in the systematics of the Gigartinaceae (Gigartinales, Rhodophyta) based on rbcL sequence analysis and morphological evidence. Phycol. Res. 1999, 47, 139–151. [Google Scholar] [CrossRef]
- Billard, E.; Reyes, J.; Mansilla, A.; Faugeron, S.; Guillemin, M.-L. Deep genetic divergence between austral populations of the red alga Gigartina skottsbergii reveals a cryptic species endemic to the Antarctic continent. Polar Biol. 2015, 38, 2021–2034. [Google Scholar] [CrossRef]
- Ocaranza-Barrera, P.; González-Wevar, C.A.; Guillemin, M.-L.; Rosenfeld, S.; Mansilla, A. Molecular divergence between Iridaea cordata (Turner) Bory de Saint-Vincent from the Antarctic Peninsula and the Magellan Region. J. Appl. Phycol. 2019, 31, 939–949. [Google Scholar] [CrossRef]
- Navarro, N.P.; Mansilla, A.; Plastino, E.M. Iridaea cordata (Gigartinales, Rhodophyta): Responses to artificial UVB radiation. J. Appl. Phycol. 2009, 22, 385–394. [Google Scholar] [CrossRef]
- Tsekos, I. The endomembrane system of differentiating carposporangia in the red alga Chondria tenuissima: Occurrence and participation in secretion of polysaccharidic and proteinaceous substances. Protoplasma 1985, 129, 127–136. [Google Scholar] [CrossRef]
- Öquist, G.; Hurry, V.M.; Huner, P.A. The temperature dependence of the redox state of QA and susceptibility of photosynthesis to photoinhibition. J. Plant Physiol. Biochem. 1993, 31, 683–689. [Google Scholar]
- Rautenberger, R.; Bischof, K. Impact of temperature on UV-susceptibility of two Ulva (Chlorophyta) species from Antarctic and Subantarctic regions. Polar Biol. 2006, 28, 988–996. [Google Scholar] [CrossRef]
- Rautenberger, R.; Huovinen, P.; Gómez, I. Effects of increased seawater temperature on UV-tolerance of Antarctic marine macroalgae. Mar. Biol. 2015, 162, 1087–1097. [Google Scholar] [CrossRef]
- Nishiyama, Y.; Yamamoto, H.; Allakhverdiev, S.I.; Inaba, M.; Yokota, A.; Murata, N. Oxidative stress inhibits the repair of photodamage to the photosynthetic machinery. EMBO J. 2001, 20, 5587–5594. [Google Scholar] [CrossRef]
- Wünschmann, G.; Brand, J.J. Rapid turnover of a component required for photosynthesis explains temperatura dependence and kinetics of photoinhibition in a cyanobacterium, Synechococcus 6301. Planta 1992, 186, 426–433. [Google Scholar] [CrossRef] [PubMed]
- Becker, S.; Graeve, M.; Bischof, K. Photosynthesis and lipid composition of the Antarctic endemic rhodophyte Palmaria decipiens: Effects of changing light and temperature levels. Polar Biol. 2010, 33, 945–955. [Google Scholar] [CrossRef]
- Malanga, G.; Puntarulo, S. Oxidative stress and antioxidant content in Chlorella vulgaris after exposure to ultraviolet-B radiation. Physiol. Plant. 1995, 94, 672–679. [Google Scholar] [CrossRef]
- Burritt, D.J.; Larkindale, J.; Hurd, C. Antioxidant metabolism in the intertidal red seaweed Stictosiphonia arbuscula following desiccation. Planta 2002, 215, 829–838. [Google Scholar] [CrossRef]
- Lee, T.M.; Shiu, C.T. Implications of mycosporine-like amino acid and antioxidant defenses in UV-B radiation tolerance for the algae species Pterocladiella capillacea and Gelidium amansii. Mar. Environ. Res. 2009, 27, 8–16. [Google Scholar] [CrossRef]
- Müller, R.; Desel, C.; Steinhoff, F.S.; Wiencke, C.; Bischof, K. UV-radiation and elevated temperatures induce formation of reactive oxygen species in gametophytes of cold-temperate/Arctic kelps (Laminariales, Phaeophyceae). Phycol. Res. 2012, 60, 27–36. [Google Scholar] [CrossRef]
- Maharana, D.; Das, P.B.; Verlecar, X.N.; Pise, N.M.; Gauns, M. Oxidative stress tolerance in intertidal red seaweed Hypnea musciformis (Wulfen) in relation to environmental components. Environ. Sci. Pollut. Res. 2015, 22, 18741–18749. [Google Scholar] [CrossRef]
- Celis-Plá, P.S.; Moenne, F.; Rodríguez-Rojas, F.; Pardo, D.; Lavergne, C.; Moenne, A.; Brown, M.T.; Huovinen, P.; Gómez, I.; Navarro, N.P.; et al. Antarctic intertidal macroalgae under predicted increased temperatures mediated by global climate change: Would they cope? Sci. Total Environ. 2020, 740, 140379. [Google Scholar] [CrossRef] [PubMed]
- Senser, M.; Schötz, F.; Beck, E. Seasonal changes in structure and function of spruce chloroplasts. Planta 1975, 126, 1–10. [Google Scholar] [CrossRef]
- Steinhoff, F.S. Phlorotannins as UV-Protective Substances in Early Developmental Stages of Brown Algae. Master’s Thesis, University Bremen, Bremen, Germany, 2010. [Google Scholar]
- Holzinger, A.; Roleda, M.Y.; Lütz, C. The vegetative arctic freshwater green alga Zygnema is insensitive to experimental UV exposure. Micron 2009, 40, 831–838. [Google Scholar] [CrossRef] [PubMed]
- Holzinger, A.; Di Piazza, L.; Lütz, C.; Roleda, M.Y. Sporogenic and vegetative tissues of Saccharina latissima (Laminariales, Phaeophyceae) exhibit distinctive sensitivity to experimentally enhanced ultraviolet radiation: Photosynthetically active radiation ratio. Phycol. Res. 2011, 59, 221–235. [Google Scholar] [CrossRef]
- Oliveira, E.M.; Schmidt, E.C.; Pereira, D.T.; Bouzon, Z.L.; Ouriques, L.C. Effects of UV-B radiation on germlings of the red macroalga Nemalion helminthoides (Rhodophyta). J. Microsc. Ultrastruct. 2016, 4, 85–94. [Google Scholar]
- Bouzon, Z.L.; Ouriques, L.C.; Oliveira, E.C. Ultrastructure of tetraspore germination in the agar-producing seaweed Gelidium floridanum (Gelidiales, Rhodophyta). Phycologia 2005, 44, 409–415. [Google Scholar] [CrossRef]
- Tsekos, I. Plastid development and floridean starch grain formation during carposporogenesis in the red algae Gigartina teedii. Cryptogam. Algol. 1982, 3, 91–103. [Google Scholar]
- Vesk, M.; Borowitzka, M. Ultrastructure of tetrasporogenesis in the coralline alga Haliptilon cuvieri (Rhodophyta). J. Phycol. 1984, 20, 501–515. [Google Scholar] [CrossRef]
- Ouriques, L.C.; Schmidt, E.C.; Bouzon, Z.L. The mechanism of adhesion and germination in the carpospores of Porphyra spiralis var. amplifolia (Rhodophyta, Bangiales). Micron 2012, 43, 269–277. [Google Scholar] [CrossRef]
- Avanzini, A.; Honsell, G. Membrane tubules in the tetraspores of a red alga. Protoplasma 1984, 119, 156–158. [Google Scholar] [CrossRef]
- Siefermann-Harms, D. The light-harvesting and protective functions of carotenoids in photosynthetic membranes. Physiol. Plant. 1987, 69, 561–568. [Google Scholar] [CrossRef]
- Young, A.J. The photoprotective role of carotenoids in higher plants. Physiol. Plant. 1991, 83, 702–708. [Google Scholar] [CrossRef]
- Edge, R.; McGarvey, D.J.; Truscott, T.G. The carotenoids as antioxidants—A review. J. Photoch. Photobiol. B 1997, 41, 189–200. [Google Scholar] [CrossRef] [PubMed]
- Schoenwaelder, M.E.A.; Clayton, M.N. Secretion of phenolic substances into the zygote wall and cell plate in embryos of Hormosira and Acrocarpia (Fucales, Phaeophyceae). J. Phycol. 1998, 34, 969–980. [Google Scholar] [CrossRef]
- Schoenwaelder, M.E.A. The occurrence and cellular significance of physodes in brown algae. Phycologia 2002, 41, 125–139. [Google Scholar] [CrossRef]
- Gómez, I.; Huovinen, P. Brown algal phlorotannins: An overview of their functional roles. In Antarctic Seaweeds: Diversity, Adaptation and Ecosystem Services; Gómez, I., Huovinen, P., Eds.; Springer Nature: Cham, Switzerland, 2020; pp. 365–388. [Google Scholar]
- Ayres, L.; Plastino, E.M. Effects of UV-B radiation on growth rates, pigment content and ultrastructure of red (wild type), greenish-brown and green strains of Gracilaria birdiae (Gracilariales, Rhodophyta). Eur. J. Phycol. 2014, 49, 197–212. [Google Scholar] [CrossRef]
- Cruces, E.; Flores-Molina, M.R.; Di, M.J.; Huovinen, P.; Gómez, I. Phenolics photoprotective mechanism against combined action of UV radiation and temperature in the red alga Gracilaria chilensis? J. Appl. Phycol. 2018, 30, 1247–1257. [Google Scholar] [CrossRef]
- Pichrtová, M.; Remias, D.; Lewis, L.A.; Holzinger, A. Changes in phenolic compounds and cellular ultrastructure of arctic and antarctic strains of Zygnema (Zygnematophyceae, Streptophyta) after exposure to experimentally enhanced UV to PAR ratio. Microb. Ecol. 2013, 65, 68–83. [Google Scholar] [CrossRef]
- Cruces, E.; Huovinen, P.; Gómez, I. Phlorotannin and antioxidant responses upon short term exposure to UV radiation and elevated temperature in three South Pacific kelps. Photochem. Photobiol. 2012, 88, 58–66. [Google Scholar] [CrossRef]
- Pueschel, C.M. Ultrastructure of tetrasporogenesis in Palmaria palmata (Rhodophyta). J. Phycol. 1979, 15, 409–424. [Google Scholar]
- Mojzeš, P.; Gao, L.; Ismagulova, T.; Pilátová, J.; Moudríková, S.; Gorelova, O.; Solovchenko, A.; Nedbal, L.; Salihg, A. Guanine, a high-capacity and rapid-turnover nitrogen reserve in microalgal cells. Proc. Natl. Acad. Sci. USA 2020, 117, 32722–32730. [Google Scholar] [CrossRef] [PubMed]
- Madronich, S.; Flocke, S. The role of solar radiation in atmospheric chemistry. In Handbook of Environmental Chemistry; Boule, P., Ed.; Springer: New York, NY, USA, 1999; pp. 1–26. [Google Scholar]
- Ritchie, R.J. Universal chlorophyll equations for estimating chlorophylls a, b, c, and d and total chlorophylls in natural assemblages of photosynthetic organisms using acetone, methanol, or ethanol solvents. Photosynth. Res. 2008, 46, 115–126. [Google Scholar] [CrossRef]
- Chekanov, K.; Shibzukhova, K.; Lobakova, E.; Solovchenko, A. Differential responses to UV-A stress recorded in carotenogenic microalgae Haematococcus rubicundus, Bracteacoccus aggregatus, and Deasonia sp. Plants 2022, 11, 1431. [Google Scholar] [CrossRef] [PubMed]
- Santelices, B.; Correa, J.; Meneses, I.; Aedo, D.; Varela, D. Sporeling coalescence and intraclonal variation in Gracilaria chilensis (Gracilariales, Rhodophyta). J. Phycol. 1996, 32, 313–322. [Google Scholar] [CrossRef]
- Reynolds, E.S. The use of lead citrate at light pH as an electron opaquestain in electron microscopy. J. Cell. Biol. 1963, 17, 208–212. [Google Scholar] [CrossRef]






| df | F-Value | p-Value | df | F-Value | p-Value | |
|---|---|---|---|---|---|---|
| Fv/Fm (4 h exposure) | Fv/Fm (4 h recovery) | |||||
| Radiation (A) | 2 | 110 | <0.001 | 2 | 103 | <0.001 |
| Temperature (B) | 1 | 243 | <0.001 | 1 | 75 | <0.001 |
| A × B | 2 | 19 | <0.001 | 2 | 7 | 0.001 |
| Variation of Fv/Fm (4-h exposure) | Variation of Fv/Fm (4-h recovery) | |||||
| Radiation (A) | 1 | 20 | <0.001 | 1 | 33 | <0.001 |
| Temperature (B) | 1 | 7 | <0.001 | 1 | 3 | <0.001 |
| A × B | 1 | 2 | <0.001 | 1 | 8 | <0.001 |
Disclaimer/Publisher’s Note: The statements, opinions and data contained in all publications are solely those of the individual author(s) and contributor(s) and not of MDPI and/or the editor(s). MDPI and/or the editor(s) disclaim responsibility for any injury to people or property resulting from any ideas, methods, instructions or products referred to in the content. |
© 2024 by the authors. Licensee MDPI, Basel, Switzerland. This article is an open access article distributed under the terms and conditions of the Creative Commons Attribution (CC BY) license (https://creativecommons.org/licenses/by/4.0/).
Share and Cite
Navarro, N.P.; Huovinen, P.; Jofre, J.; Gómez, I. Temperature Dependence and the Effects of Ultraviolet Radiation on the Ultrastructure and Photosynthetic Activity of Carpospores in Sub-Antarctic Red Alga Iridaea cordata (Turner) Bory 1826. Plants 2024, 13, 2547. https://doi.org/10.3390/plants13182547
Navarro NP, Huovinen P, Jofre J, Gómez I. Temperature Dependence and the Effects of Ultraviolet Radiation on the Ultrastructure and Photosynthetic Activity of Carpospores in Sub-Antarctic Red Alga Iridaea cordata (Turner) Bory 1826. Plants. 2024; 13(18):2547. https://doi.org/10.3390/plants13182547
Chicago/Turabian StyleNavarro, Nelso P., Pirjo Huovinen, Jocelyn Jofre, and Iván Gómez. 2024. "Temperature Dependence and the Effects of Ultraviolet Radiation on the Ultrastructure and Photosynthetic Activity of Carpospores in Sub-Antarctic Red Alga Iridaea cordata (Turner) Bory 1826" Plants 13, no. 18: 2547. https://doi.org/10.3390/plants13182547
APA StyleNavarro, N. P., Huovinen, P., Jofre, J., & Gómez, I. (2024). Temperature Dependence and the Effects of Ultraviolet Radiation on the Ultrastructure and Photosynthetic Activity of Carpospores in Sub-Antarctic Red Alga Iridaea cordata (Turner) Bory 1826. Plants, 13(18), 2547. https://doi.org/10.3390/plants13182547

