An Extended Application of the Fast Multi-Locus Ridge Regression Algorithm in Genome-Wide Association Studies of Categorical Phenotypes
Abstract
1. Introduction
2. Materials and Methods
2.1. The Calculation of the Mixed Linear Model
2.2. Fast Multi-Locus Ridge Regression Algorithm
2.2.1. Continuous-Transformed Stage
2.2.2. Variable Reduction Stage
2.2.3. Parameter Estimation Stage
2.3. Comparison Methods
2.3.1. Logistic Regression
2.3.2. FarmCPU
2.3.3. FaST-LMM
2.3.4. POLMM
2.4. Experimental Materials
2.4.1. Simulation Data
2.4.2. Arabidopsis Data
3. Results
3.1. Simulation Studies
3.1.1. Statistical Power for QTN Detection
3.1.2. ROC Curves at Different Levels of Significance
3.1.3. Accuracy for Estimated QTN Effects
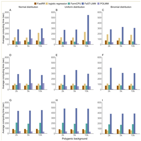
3.1.4. Computing Time
3.2. Analysis of Arabidopsis Dataset
3.2.1. Significant Loci Associated with Binary or Ordinal Traits
3.2.2. Known Genes around Significant Loci
3.2.3. Computing Time
4. Discussion
4.1. Advantages of FastRR over Current Methods
4.2. Extensive Applicability of the FastRR Method
4.3. Prospects of the FastRR Method
5. Conclusions
Supplementary Materials
Author Contributions
Funding
Data Availability Statement
Conflicts of Interest
Abbreviations
References
- Gianola, D. Theory and Analysis of Threshold Characters. J. Anim. Sci. 1982, 54, 1079–1096. [Google Scholar] [CrossRef]
- Kizilkaya, K.; Fernando, R.L.; Garrick, D.J. Reduction in accuracy of genomic prediction for ordered categorical data compared to continuous observations. Genet. Sel. Evol. GSE 2014, 46, 37. [Google Scholar] [CrossRef]
- Zhang, Y.M. Establishment, development and prospects of quantitative genetics in plant. J. Nanjing Agric. Univ. 2012, 35, 19–24. [Google Scholar] [CrossRef]
- Purcell, S.M.; Neale, B.M.; Todd-Brown, K.E.O.; Thomas, L.; Ferreira, M.A.R.; Bender, D.; Maller, J.B.; Sklar, P.; de Bakker, P.I.W.; Daly, M.J.; et al. PLINK: A tool set for whole-genome association and population-based linkage analyses. Am. J. Hum. Genet. 2007, 81, 559–575. [Google Scholar] [CrossRef] [PubMed]
- Bi, W.; Zhou, W.; Dey, R.; Mukherjee, B.; Sampson, J.N.; Lee, S. Efficient mixed model approach for large-scale genome-wide association studies of ordinal categorical phenotypes. Am. J. Hum. Genet. 2021, 108, 825–839. [Google Scholar] [CrossRef] [PubMed]
- Chen, H.; Wang, C.; Conomos, M.P.; Stilp, A.M.; Li, Z.; Sofer, T.; Szpiro, A.A.; Chen, W.; Brehm, J.M.; Celedón, J.C.; et al. Control for Population Structure and Relatedness for Binary Traits in Genetic Association Studies via Logistic Mixed Models. Am. J. Hum. Genet. 2016, 98, 653–666. [Google Scholar] [CrossRef]
- Zhou, W.; Nielsen, J.B.; Fritsche, L.G.; Dey, R.; Gabrielsen, M.E.; Wolford, B.N.; LeFaive, J.; VandeHaar, P.; Gagliano, S.A.; Gifford, A.; et al. Efficiently controlling for case-control imbalance and sample relatedness in large-scale genetic association studies. Nat. Genet. 2018, 50, 1335–1341. [Google Scholar] [CrossRef] [PubMed]
- Kang, H.M.; Zaitlen, N.A.; Wade, C.M.; Kirby, A.; Heckerman, D.; Daly, M.J.; Eskin, E. Efficient Control of Population Structure in Model Organism Association Mapping. Genetics 2008, 178, 1709–1723. [Google Scholar] [CrossRef]
- Lippert, C.; Listgarten, J.; Liu, Y.; Kadie, C.M.; Davidson, R.I.; Heckerman, D. FaST linear mixed models for genome-wide association studies. Nat. Methods 2011, 8, 833–835. [Google Scholar] [CrossRef]
- Zhou, X.; Stephens, M. Genome-wide efficient mixed-model analysis for association studies. Nat. Genet. 2012, 44, 821–824. [Google Scholar] [CrossRef]
- Loh, P.R.; Tucker, G.; Bulik-Sullivan, B.K.; Vilhjálmsson, B.J.; Finucane, H.K.; Salem, R.M.; Chasman, D.I.; Ridker, P.M.; Neale, B.M.; Berger, B.; et al. Efficient Bayesian mixed-model analysis increases association power in large cohorts. Nat. Genet. 2015, 47, 284–290. [Google Scholar] [CrossRef] [PubMed]
- Jiang, L.; Zheng, Z.; Qi, T.; Kemper, K.E.; Wray, N.R.; Visscher, P.M.; Yang, J. A resource-efficient tool for mixed model association analysis of large-scale data. Nat. Genet. 2019, 51, 1749–1755. [Google Scholar] [CrossRef] [PubMed]
- Wang, X.; Philip, V.M.; Ananda, G.; White, C.C.; Malhotra, A.; Michalski, P.J.; Karuturi, K.R.M.; Chintalapudi, S.R.; Acklin, C.; Sasner, M.; et al. A Bayesian Framework for Generalized Linear Mixed Modeling Identifies New Candidate Loci for Late-Onset Alzheimer’s Disease. Genetics 2018, 209, 51–64. [Google Scholar] [CrossRef]
- Zhang, Y.M.; Jia, Z.; Dunwell, J.M. Editorial: The Applications of New Multi-Locus GWAS Methodologies in the Genetic Dissection of Complex Traits. Front. Plant Sci. 2019, 10, 100. [Google Scholar] [CrossRef]
- Xu, Y.; Xing, L.; Su, J.; Zhang, X.; Qiu, W. Model-based clustering for identifying disease-associated SNPs in case-control genome-wide association studies. Sci. Rep. 2019, 9, 13686. [Google Scholar] [CrossRef] [PubMed]
- Liu, X.; Huang, M.; Fan, B.; Buckler, E.S.; Zhang, Z. Iterative Usage of Fixed and Random Effect Models for Powerful and Efficient Genome-Wide Association Studies. PLoS Genet. 2016, 12, e1005767. [Google Scholar] [CrossRef]
- Wang, S.B.; Feng, J.Y.; Ren, W.L.; Huang, B.; Zhou, L.; Wen, Y.J.; Zhang, J.; Dunwell, J.M.; Xu, S.; Zhang, Y.M. Improving power and accuracy of genome-wide association studies via a multi-locus mixed linear model methodology. Sci. Rep. 2016, 6, 19444. [Google Scholar] [CrossRef]
- Zhang, J.; Feng, J.Y.; Ni, Y.L.; Wen, Y.J.; Niu, Y.; Tamba, C.L.; Yue, C.; Song, Q.; Zhang, Y.M. pLARmEB: Integration of least angle regression with empirical Bayes for multilocus genome-wide association studies. Heredity 2017, 118, 517–524. [Google Scholar] [CrossRef] [PubMed]
- Wen, Y.; Zhang, Y.; Zhang, J.; Feng, J.; Zhang, Y. The improved FASTmrEMMA and GCIM algorithms for genome-wide association and linkage studies in large mapping populations. Crop J. 2020, 8, 723–732. [Google Scholar] [CrossRef]
- Wen, Y.J.; Zhang, H.; Ni, Y.L.; Huang, B.; Zhang, J.; Feng, J.Y.; Wang, S.B.; Dunwell, J.M.; Zhang, Y.M.; Wu, R. Methodological implementation of mixed linear models in multi-locus genome-wide association studies. Brief. Bioinform. 2018, 19, 700–712. [Google Scholar] [CrossRef]
- Zhang, Y.W.; Tamba, C.L.; Wen, Y.J.; Li, P.; Ren, W.L.; Ni, Y.L.; Gao, J.; Zhang, Y.M. mrMLM v4.0.2: An R Platform for Multi-locus Genome-wide Association Studies. Genom. Proteom. Bioinform. 2020, 18, 481–487. [Google Scholar] [CrossRef]
- Zhang, J.; Chen, M.; Wen, Y.; Zhang, Y.; Lu, Y.; Wang, S.; Chen, J. A Fast Multi-Locus Ridge Regression Algorithm for High-Dimensional Genome-Wide Association Studies. Front. Genet. 2021, 12, 649196. [Google Scholar] [CrossRef] [PubMed]
- Huang, A.; Xu, S.; Cai, X. Empirical Bayesian LASSO-logistic regression for multiple binary trait locus mapping. BMC Genet. 2013, 14, 5. [Google Scholar] [CrossRef]
- Feng, J.Y.; Zhang, J.; Zhang, W.J.; Wang, S.B.; Han, S.F.; Zhang, Y.M. An efficient hierarchical generalized linear mixed model for mapping QTL of ordinal traits in crop cultivars. PLoS ONE 2013, 8, e59541. [Google Scholar] [CrossRef] [PubMed]
- Kaur, S.; Gill, H.S.; Breiland, M.; Kolmer, J.A.; Gupta, R.; Sehgal, S.K.; Gill, U. Identification of leaf rust resistance loci in a geographically diverse panel of wheat using genome-wide association analysis. Front. Plant Sci. 2023, 14, 1090163. [Google Scholar] [CrossRef] [PubMed]
- Nelder, J.A.; Wedderburn, R.W.M. Generalized Linear Models. J. R. Stat. Soc. Ser. A (Gen.) 1972, 135, 370–384. [Google Scholar] [CrossRef]
- Wen, Y.J.; Zhang, Y.W.; Zhang, J.; Feng, J.Y.; Dunwell, J.M.; Zhang, Y.M. An efficient multi-locus mixed model framework for the detection of small and linked QTLs in F2. Brief. Bioinform. 2019, 20, 1913–1924. [Google Scholar] [CrossRef]
- Tamba, C.L.; Ni, Y.L.; Zhang, Y.M. Iterative sure independence screening EM-Bayesian LASSO algorithm for multi-locus genome-wide association studies. PLoS Comput. Biol. 2017, 13, e1005357. [Google Scholar] [CrossRef]
- Wang, M.; Li, R.; Xu, S. Deshrinking ridge regression for genome-wide association studies. Bioinformatics 2020, 36, 4154–4162. [Google Scholar] [CrossRef]
- Atwell, S.; Huang, Y.S.; Vilhjalmsson, B.J.; Willems, G.; Horton, M.; Li, Y.; Meng, D.; Platt, A.; Tarone, A.M.; Hu, T.T.; et al. Genome-wide association study of 107 phenotypes in Arabidopsis thaliana inbred lines. Nature 2010, 465, 627–631. [Google Scholar] [CrossRef]
- Alexander, D.H.; Novembre, J.; Lange, K. Fast model-based estimation of ancestry in unrelated individuals. Genome Res. 2009, 19, 1655–1664. [Google Scholar] [CrossRef] [PubMed]
- Xing, L.; Lesperance, M.L.; Zhang, X. Simultaneous prediction of multiple outcomes using revised stacking algorithms. Bioinformatics 2020, 36, 65–72. [Google Scholar] [CrossRef] [PubMed]






| Trait | Hierarchical Level Number | Optimal K Value a | Method | ||||
|---|---|---|---|---|---|---|---|
| FastRR | Logistic Regression | FarmCPU | FaST-LMM | POLMM | |||
| avrPphB | 2 | 3 | 61/12 | 0 | 0 | 7/3 | 6/3 |
| avrRpm1 | 2 | 2 | 71/9 | 0 | 0 | 2/1 | 3/2 |
| avrRpt2 | 2 | 3 | 64/9 | 0 | 8/5 | 3/2 | 2/2 |
| avrB | 2 | 3 | 66/8 | 0 | 8/3 | 2/2 | 4/2 |
| Anthocyanin 10 | 2 | 5 | 26/8 | 0 | 7/1 | 0 | 0 |
| Anthocyanin 16 | 2 | 6 | 40/2 | 0 | 0 | 0 | 0 |
| Anthocyanin 22 | 2 | 5 | 6/0 | 0 | 1/0 | 0 | 0 |
| Leaf roll 10 | 2 | 5 | 28/4 | 0 | 0 | 0 | 0 |
| Leaf roll 16 | 2 | 6 | 20/3 | 0 | 0 | 0 | 0 |
| Leaf roll 22 | 2 | 4 | 18/1 | 0 | 0 | 0 | 0 |
| Leaf serr 10 | 5 | 4 | 18/3 | 0 | 0 | 0 | 0 |
| Leaf serr 16 | 5 | 6 | 20/9 | 0 | 3/0 | 0 | 0 |
| Leaf serr 22 | 5 | 4 | 15/5 | 0 | 1/0 | 0 | 0 |
| Silique 22 | 10 | 3 | 26/3 | 0 | 8/1 | 0 | 0 |
| total | 479/76 | 0 | 36/10 | 14/8 | 15/9 | ||
| Trait | Known Gene | Gene Symbol | Chr | QTN Position | Method | p-Value |
|---|---|---|---|---|---|---|
| avrPphB | AT1G12210 | RFL1 RFL1 | 1 | 4,144,558~4,150,466 | 1, 4, 5 | 3.10 × 10−39~1.67 × 10−5 |
| AT1G12220 | RPS5 | |||||
| AT1G12240 | VIN2 | |||||
| AT3G05360 | RLP30 | 3 | 1,522,038 | 1 | 1.32 × 10−4 | |
| AT3G26450 AT3G26460 AT3G26470 | 3 | 9,700,429 | 1 | 8.30 × 10−5 | ||
| AT3G28450 | BIR2 | 3 | 10,662,541 | 1 | 4.50 × 10−6 | |
| AT3G26470 | 3 | 9,603,932 | 1 | 9.64 × 10−6 | ||
| AT4G08480 | MEKK2 | 4 | 5,412,236 | 1 | 1.31 × 10−4 | |
| AT4G23680 | F9D16.150 | 4 | 12,348,175 | 1 | 6.70 × 10−5 | |
| AT5G52640 | HSP83 | 5 | 21,355,939 | 1 | 3.52 × 10−5 | |
| avrRpm1 | AT1G62660 | VI1 | 1 | 23,220,671 | 1 | 5.93 × 10−5 |
| AT1G32070 | NSI | 1 | 11,531,340 | 1 | 1.37 × 10−6 | |
| AT2G38240 | F16M14.17 | 2 | 16,080,224 | 1 | 1.33 × 10−5 | |
| AT3G06980 | 3 | 2,224,686 | 1, 5 | 1.33 × 10−7~1.05 × 10−4 | ||
| AT3G07040 | RPM1 | 3 | 2,225,659~2,230,186 | 1, 4, 5 | 3.80 × 10−9~7.61 × 10−6 | |
| AT3G59700 | LECRK1 | 3 | 22,058,868 | 1 | 3.08 × 10−4 | |
| AT3G59730 | LECRK-V.6 | |||||
| AT3G59740 | LECRK-V.7 | |||||
| AT3G59750 | LECRK-V.8 | |||||
| avrRpt2 | ATIG27950 | LTPG1 | 1 | 9,728,388 | 3 | 2.36 × 10−8 |
| AT3G50450 | HR1 | 3 | 18,705,188 | 1 | 1.33 × 10−4 | |
| AT4G10490 | DLO2 | 4 | 6,474,413 | 1 | 2.07 × 10−6 | |
| AT4G10500 | DLO1 | 4 | 6,474,413 | 1 | 2.07 × 10−6 | |
| AT4G14400 | ACD6 | 4 | 8,276,863 | 1 | 2.89 × 10−4 | |
| AT4G12020 | WRKY19 | 4 | 7,216,346 | 3 | 2.58 × 10−8 | |
| AT4G12010 | F16J13.80 | 4 | 7,216,346 | 3 | 2.58 × 10−8 | |
| AT4G26090 | RPS2 | 4 | 13,224,915~13,225,030 | 1, 3, 4, 5 | 6.62 × 10−34~2.53 × 10−7 | |
| AT4G26120 | F20B18.230 | 4 | 13,224,573~13,225,030 | 1, 3, 4, 5 | 2.55 × 10−14~4.70 × 10−9 | |
| AT4G32551 | RON2 | 4 | 15,711,776 | 1 | 1.26 × 10−5 | |
| AT4G32570 | TIFY8 | |||||
| AT4G35580 | CBNAC | 4 | 16,896,369 | 1 | 4.46 × 10−6 | |
| avrB | AT1G17250 | RLP3 | 1 | 5,906,765 | 1 | 1.31 × 10−4 |
| AT1G32070 | NSI | 1 | 11,531,340 | 1 | 7.55 × 10−7 | |
| AT2G46400 | WRKY46 | 2 | 19,033,370 | 3 | 8.62 × 10−14 | |
| AT2G46380 | F11C10.7 | 2 | 19,033,370 | 3 | 8.62 × 10−14 | |
| AT3G06980 | 3 | 2,181,673~2,224,686 | 1, 5 | 2.11 × 10−9~2.78 × 10−6 | ||
| AT3G59700 | LECRK1 | 3 | 22,058,868 | 1 | 2.75 × 10−4 | |
| AT3G59730 | LECRK-V.6 | |||||
| AT3G59740 | LECRK-V.7 | |||||
| AT3G59750 | LECRK-V.8 | |||||
| AT3G07030 | 3 | 2,227,823 | 4 | 4.08 × 10−9 | ||
| AT3G07040 | RPM1 | 3 | 2,227,823 | 1, 3, 4, 5 | 7.21 × 10−41~1.58 × 10−5 | |
| Anthocyanin 10 | AT3G02130 | RPK2 | 3 | 365,429~368,145 | 1, 3 | 9.21 × 10−8~1.94 × 10−4 |
| AT1G06220 | MEE5 | 1 | 1,921,764 | 1 | 4.78 × 10−4 | |
| AT1G06350 | ADS4 | 1 | 1,921,764 | 1 | 1.03 × 10−4 | |
| AT2G47700 | RFI2 | 2 | 19,561,188 | 1 | 1.94 × 10−4 | |
| AT3G27690 | DEG13 | 3 | 10,240,471 | 1 | 8.21 × 10−5 | |
| AT3G44110 | ATJ3 | 3 | 15,883,329 | 1 | 9.64 × 10−5 | |
| AT3G46610 | 3 | 17,151,835 | 1 | 2.60 × 10−4 | ||
| AT3G49260 | IQD21 | 3 | 18,257,704 | 1 | 5.11 × 10−5 | |
| Anthocyanin 16 | AT4G15910 | DI21 | 4 | 9,044,964 | 1 | 6.53 × 10−5 |
| AT1G10120 | CIB4 | 1 | 3,310,433 | 1 | 8.62 × 10−5 | |
| Leaf roll 10 | AT1G69588 | CLE45 | 1 | 26,192,702 | 1 | 1.56 × 10−4 |
| AT2G21970 | Sep2 | 2 | 9,349,684 | 1 | 6.91 × 10−5 | |
| AT4G38860 | SAUR16 | 4 | 18,146,349 | 1 | 2.66 × 10−4 | |
| AT4G39130 | T22F8.30 | 4 | 18,211,438 | 1 | 2.25 × 10−4 | |
| Leaf roll 16 | AT2G02820 | MYB88 | 2 | 794,422 | 1 | 3.43 × 10−5 |
| AT1G29860 | WRKY71 | 1 | 10,442,076 | 1 | 1.08 × 10−4 | |
| AT2G42200 | SPL9 | 2 | 17,529,095 | 1 | 2.43 × 10−5 | |
| Leaf roll 22 | AT1G51500 | ABCG12 | 1 | 19,092,267 | 1 | 1.09 × 10−4 |
| Leaf serr 10 | AT4G18870 | F13C5.40 | 4 | 10,330,949 | 1 | 4.32 × 10−5 |
| AT4G18880 | HSF A4A | |||||
| AT5G03310 | SAUR44 | 5 | 809,032 | 1 | 2.32 × 10−4 | |
| Leaf serr 16 | AT1G29420 | SAUR61 | 1 | 10,298,618 | 1 | 1.67 × 10−4 |
| AT1G29430 | SAUR62 | |||||
| AT1G29460 | SAUR65 | |||||
| AT1G29640 | F15D2.20 | 1 | 10,301,221 | 1 | 1.50 × 10−4 | |
| AT1G51760 | IAR3 | 1 | 19,198,124 | 1 | 5.76 × 10−5 | |
| AT1G51780 | ILL5 | |||||
| AT2G01420 | PIN4 | 2 | 180,480 | 1 | 7.40 × 10−5 | |
| AT4G11880 | AGL14 | 4 | 7,137,798 | 1 | 1.83 × 10−4 | |
| AT4G16150 | CAMTA5 | 4 | 9,154,429 | 1 | 2.64 × 10−4 | |
| Leaf serr 22 | AT1G14350 | FLP | 1 | 4,923,296 | 1 | 1.82 × 10−4 |
| AT1G69588 | CLE45 | 1 | 26,159,219 | 1 | 2.46 × 10−4 | |
| AT2G19620 | NDL3 | 2 | 8,504,630 | 1 | 1.60 × 10−4 | |
| AT2G19690 | F6F22.28 | |||||
| AT2G19730 | EL28Z | |||||
| Silique 22 | AT4G36020 | CSP1 | 4 | 17,057,521 | 1 | 7.87 × 10−5 |
| AT1G65500 | F5I14.4 | 1 | 24,373,119 | 1 | 6.57 × 10−4 | |
| AT1G77080 | MAF1 | 1 | 28,946,359 | 3 3 | 4.08 × 10−8 | |
| AT3G02130 | RPK2 | 3 | 399,288 | 1 | 4.01 × 10−4 |
| Trait | Hierarchical Level Number | Method | ||||
|---|---|---|---|---|---|---|
| FastRR | Logistic Regression | FarmCPU | FaST-LMM | POLMM | ||
| avrPphB | 2 | 56.694 | 820.554 | 580.096 | 184.906 | 639.752 |
| avrRpm1 | 2 | 60.543 | 777.928 | 569.730 | 193.724 | 577.811 |
| avrRpt2 | 2 | 60.361 | 874.381 | 382.826 | 207.916 | 661.600 |
| avrB | 2 | 61.786 | 819.524 | 308.278 | 276.553 | 571.332 |
| Anthocyanin 10 | 2 | 63.490 | 966.688 | 170.400 | 337.322 | 602.908 |
| Anthocyanin 16 | 2 | 63.124 | 968.497 | 170.031 | 345.887 | 562.880 |
| Anthocyanin 22 | 2 | 63.483 | 966.562 | 187.875 | 353.152 | 712.398 |
| Leaf roll 10 | 2 | 63.700 | 981.194 | 190.665 | 357.159 | 594.057 |
| Leaf roll 16 | 2 | 64.672 | 981.164 | 184.358 | 368.970 | 534.023 |
| Leaf roll 22 | 2 | 63.868 | 962.953 | 187.759 | 397.664 | 584.306 |
| Leaf serr 10 | 5 | 64.083 | 976.726 | 176.467 | 359.268 | 781.890 |
| Leaf serr 16 | 5 | 63.196 | 959.743 | 175.202 | 373.683 | 917.177 |
| Leaf serr 22 | 5 | 66.011 | 992.060 | 177.251 | 352.197 | 569.712 |
| Silique 22 | 10 | 62.799 | 786.014 | 376.251 | 304.925 | 603.166 |
Disclaimer/Publisher’s Note: The statements, opinions and data contained in all publications are solely those of the individual author(s) and contributor(s) and not of MDPI and/or the editor(s). MDPI and/or the editor(s) disclaim responsibility for any injury to people or property resulting from any ideas, methods, instructions or products referred to in the content. |
© 2024 by the authors. Licensee MDPI, Basel, Switzerland. This article is an open access article distributed under the terms and conditions of the Creative Commons Attribution (CC BY) license (https://creativecommons.org/licenses/by/4.0/).
Share and Cite
Zhang, J.; Shen, B.; Zhou, Z.; Cai, M.; Wu, X.; Han, L.; Wen, Y. An Extended Application of the Fast Multi-Locus Ridge Regression Algorithm in Genome-Wide Association Studies of Categorical Phenotypes. Plants 2024, 13, 2520. https://doi.org/10.3390/plants13172520
Zhang J, Shen B, Zhou Z, Cai M, Wu X, Han L, Wen Y. An Extended Application of the Fast Multi-Locus Ridge Regression Algorithm in Genome-Wide Association Studies of Categorical Phenotypes. Plants. 2024; 13(17):2520. https://doi.org/10.3390/plants13172520
Chicago/Turabian StyleZhang, Jin, Bolin Shen, Ziyang Zhou, Mingzhi Cai, Xinyi Wu, Le Han, and Yangjun Wen. 2024. "An Extended Application of the Fast Multi-Locus Ridge Regression Algorithm in Genome-Wide Association Studies of Categorical Phenotypes" Plants 13, no. 17: 2520. https://doi.org/10.3390/plants13172520
APA StyleZhang, J., Shen, B., Zhou, Z., Cai, M., Wu, X., Han, L., & Wen, Y. (2024). An Extended Application of the Fast Multi-Locus Ridge Regression Algorithm in Genome-Wide Association Studies of Categorical Phenotypes. Plants, 13(17), 2520. https://doi.org/10.3390/plants13172520

