Abstract
Phosphoenolpyruvate carboxylase (PEPC), as a necessary enzyme for higher plants to participate in photosynthesis, plays a key role in photosynthetic carbon metabolism and the stress response. However, the molecular biology of the PEPC family of Bambusoideae has been poorly studied, and the function of its members in the growth and development of Bambusoideae is still unclear. Here, we identified a total of 62 PEPC family members in bamboo. All the PEPC genes in the bamboo subfamily were divided into twelve groups, each group typically containing significantly fewer PEPC members in Olyra latifolia than in Phyllostachys edulis, Dendrocalamus latiflorus and Dendrocalamus brandisii. The results of an intraspecific and interspecies collinearity analysis showed that fragment replication and whole genome replication were the main driving forces of bamboo PEPC members. Furthermore, the Ka/Ks values of collinear genes showed that bamboo PEPC experienced purification selection. In addition, the promoter region of PEPC genes contains cis-acting elements related to light response, plant hormone response and response to stress. An analysis of the expression levels of the PEPC family in different developmental stages and tissues of bamboo shoots has shown that PhePEPC7, PhePEPC9 and PhePEPC10 were highly expressed in the leaves of non-flowering plants and culms. Furthermore, PhePEPC6 was significantly upregulated in leaves after GA treatment. Further research has shown that PhePEPC6 was mainly localized in the cell membrane. This provides a solid bioinformatics foundation for further understanding the biological functions of the bamboo PEPC family.
1. Introduction
PEPC (Phosphoenolpyruvate carboxylase) is a cytoplasmic enzyme necessary for higher plants to participate in photosynthesis carbon metabolism [1]. At present, it has been found that PEPC mainly exists in some higher vascular tissue plants, blue-green algae and non-photosynthetic bacteria, while it has not been reported in animals and fungi [2,3]. In the process of green plants assimilating CO2 for photosynthesis, PEPC mainly relies on Mg2+ or Mn2+ and other cofactors to catalyze phosphoenolpyruvate (PEP) to decarboxylate and produce inorganic phosphate, oxaloacetic acid (OAA) and other derivatives [4]. Many studies have shown that PEPC has different functions in different plants and different tissues. C4 and Crassulacean acid metabolizers (CAM) use PEPC to fix atmospheric CO2 to produce photosynthetic organic products. In C3 plant leaves and some non-photosynthetic tissues, PEPC is mainly involved in the synthesis of intermediate metabolites in the citrate cycle (TCA), and these intermediate metabolites are finally used in various biosynthetic pathways [5,6,7,8]. In addition, PEPC is also involved in regulating seed and fruit development, stomatal opening of plant leaves and regulation of plants’ response to stress [9,10,11,12].
At present, research on PEPC in most higher plants has found that there are several small ppc gene families encoding PEPC [13]. Six ppc genes were found in rice [14] and sorghum [15], and three in sugarcane, maize and pineapple [16,17]. Four ppc genes were identified from the dicotyledonous plant Arabidopsis thaliana (Atppc1–4) [18]. Nine and ten PEPC genes were identified in cranberry, peanut [19] and soybean [20], and six PEPC genes were identified in the tropical plant durian [21]. PEPC mainly plays a role in fixing CO2 and participating in light and carbon assimilation in C4 and CAM plants [22]. Recent studies have shown that transferring the PEPC gene from C4 plant species into C3 plants can enhance their photosynthetic properties. Specifically, by overexpressing the SiPEPC gene in rice, it was observed that the transgenic plants exhibited higher light saturation points and lower CO2 compensation points compared to the control plants, ultimately leading to improved photosynthetic efficiency [23]. Transferring the maize PEPC gene into Arabidopsis revealed that the PEPC enzyme activity and photosynthetic rate of plants overexpressing the ZmPEPC gene were significantly increased in Arabidopsis [24]. In Kalanchoe laxiflora, silencing the ppc1 affects stomata opening at night and CO2 fixation during the dark response, and also interferes with the stability of the circadian rhythm [25]. In addition to its significant role in the photosynthetic pathway, in C3 plants, PEPC can supplement the intermediate products required for the tricarboxylic acid cycle and catalyze the synthesis of OAA and subsequent synthesis of malic acid (Mal) and its derivatives to maintain the carbon skeleton and support synthetic metabolism [26].
The PEPC gene is widely present in various tissues of plants and may play different functions in different organs and tissues. Root-type PEPC may join in plant response to stress, and Atppc3 is mainly expressed in the roots. Atppc3 mutant lines are more sensitive to cadmium [27]. Sorghum Sbppc3 is mainly a protein that is specifically expressed in the roots. Its absence results in a lower yield per plant and delayed flowering. In addition, the silencing of Sbppc3 negatively regulates sorghum’s response to salt stress [28]. Tomato SlPEPC1 and SlPEPC4 were significantly upregulated in the roots after six hours of drought treatment [29]. Rice overexpressing maize ZmPEPC showed higher drought resistance, with a higher dry weight and water use efficiency under drought conditions compared to the control plant [30]. The transcriptome abundance of soybean GmPEPC3, GmPEPC6, GmPEPC8 and GmPEPC9 significantly increased after salt stress treatment [18].
Bamboo is an excellent carbon sequestration tree because of its unique biological characteristics and excellent carbon sequestration ability. As an important forest carbon reservoir, the bamboo forest plays a crucial role in carbon sequestration and emission reduction of the forest ecosystem and regional carbon balance. Moso bamboo belongs to Gramineae and Bambusoideae and is one of the most widely distributed and important bamboo resources in China [31]. The rapid growth rate of bamboo indicates that it may have a strong assimilation ability, which is closely related to photosynthesis [32]. At the same time, bamboo has strong carbon sequestration ability, and the growth process of bamboo shoots is significantly correlated with carbon flux [33,34]. The study on PEPC activity in culms of bamboo shows that the PEPC activity gradually increases with the rapid growth of culms, and the photosynthetic carbon sequestration increases at this time, which is conducive to the rapid growth of bamboo shoots [35]. PEPC is a crucial enzyme that is heavily involved in the carbon assimilation process of photosynthesis in higher plants, and it serves as a vital regulatory function in the photosynthesis of plants. However, previous studies have only compared and analyzed the PEPC content in bamboo plants [36], and the molecular biology of the PEPC family has been poorly studied. The purpose of this study was to investigate the evolutionary relationship of the PEPC in bamboo plants from diploid to hexaploid, as well as its functions under abiotic stress, hormone response conditions and different growth and development stages. This study first identified the gene family members encoding PEPC from the genomes of diploid O. latifolia, tetraploid P. edulis and hexaploid D. latiflorus and D. brandisii and systematically analyzed their gene structure, conserved motifs, family evolution and gene spatiotemporal expression patterns. The identification of the PEPC gene family in bamboo plants helps us understand the differentiation of gene functions during bamboo polyploidization and also helps us design new strategies to respond to various environmental stresses.
2. Results
2.1. Identification and Physicochemical Properties of PEPC Members in Bamboos
A hidden Markov model was constructed to identify the PEPC gene family members. Only when the protein sequence contained the PEPC family motif (IPR021135), a lysine active site (IPR08129) and a histidine active site (IPR033129) was it identified as a member of the bamboo PEPC family [37]. After removing the PEPcase free conserved domain sequences, 10 PEPC members were identified in P. edulis. In addition, 7, 21 and 24 PEPC sequences were identified in O. latifolia, D. latiflorus and D. brandisii, respectively. It seems that during the process of bamboo chromosome replication, some PEPC genes were lost, resulting in a decrease in the number of PEPCs.
Naming was based on the position of the PEPC gene on the bamboo chromosomes. The protein sequence analysis of the PEPC gene family of Bambusoideae showed that the amino acid number of the PEPC protein ranged from 697 to 1485 aa. The molecular weight of the proteins ranged from 79.36 to 164.28 kD, and their theoretical isoelectric points were less than seven, which are negatively charged proteins. The instability coefficients were all greater than 40%, indicating that they were unstable proteins. Furthermore, the hydrophilic prediction analysis of the protein revealed that the fat solubility index was between 85.75 and 96.67, showing that it was a hydrophilic protein. In addition, the subcellular localization prediction analysis of PEPC protein in bamboo subfamily showed that PhePEPC proteins were located in the cytoplasm, while the OlaPEPC proteins were located in the chloroplasts. The extracellular proteins’ localizations were also found in the vacuole. Most of DlaPEPC proteins were located in the cytoplasm, but some members were located in the nucleus and plasma membrane. Except for DhPEPC2, DhPEPC13 and DhPEPC14 located in the chloroplast, all the other DhPEPC proteins were located in the cytoplasm of the D. brandisii (Table S1).
PEPC exists in various isoenzyme forms in plants, mainly divided into C4 type, C3 type and CAM type [2]. Due to the determination of PEPC protein isoenzymes by the 774 amino acid at the C-terminus of PEPC protein, C4 type PEPC protein is serine, C3 type is generally alanine and CAM plants are other amino acids [38]. In order to study the differences in the structural domains between the bamboo PEPC protein and C4 plant PEPC protein, we compared the amino acid sequences of bamboo and maize plant types PEPC. The results revealed that the amino acid sequences of bamboo PEPC were highly conserved. Moreover, the C-terminal 774 position of the protein peptide segment was alanine, suggesting that the bamboo PEPC protein belongs to the C3 type. All of them contain E/DR/KxxSIDAQ/LR phosphorylation sites near the N-terminal, and all contain amino acid sites related to PEPC enzyme activity (Figures S1 and S2).
2.2. Evolutionary Analysis of PEPCs Family
In order to study the evolutionary relationship of the PEPC gene family, MEGA11.0 was applied to perform a phylogenetic analysis of 108 PEPC protein sequences in algae, bryophytes, ferns, monocotyledonous and dicotyledonous plants and bamboo by using the neighbor-joining method. The phylogenetic analysis revealed that the proteins of PEPC from 18 different species can be divided into BTPC and PTPC based on their level of similarity. The BTPC subfamily mainly consists of 23 members and is further divided into five branches, BTPCI to BTPCV. Except PhePEPC3 from the BTPC subfamily, other PEPC proteins belong to the PTPC subfamily. They were mainly concentrated in the three subfamilies of PTPCIV, PTPCV and PTPCVII. A homologous relationship analysis showed that the bamboo was closely related to monocotyledonous plants, such as rice, maize and B. distachyon, and the sequence consistency among members of the same subfamily was high, which indicates they may have evolved from the same gene. In addition, a phylogenetic analysis revealed hierarchical topological relationships between monocotyledonous and dicotyledonous plants, indicating that PEPC gene differentiation occurs before monocotyledonous and dicotyledonous plant differentiation (Figure 1).
Figure 1.
Phylogenetic tree of PEPC genes in 18 different species. A total of 108 PEPC proteins were identified from P. edulis, A. thaliana, G. raimondii, P. trichocarpa, S. lycopersicum, G. max, R. communis, Z. mays, O. sativa, S. italica, S. bicolor, S. officinarum, B. distachyon, S. moellendorffii, P. patens, O. lucimarinus, C. reinhardtii and M. pusilla. Branches with different colors represent different subgroups, red font represents the Moso bamboo PEPC gene, bootstrap values are represented by triangles of different sizes and solid and dashed lines represent evolutionary distances.
Bamboo plants have multiple ploidies, and the evolution of the bamboo subfamily was driven by polyploidy. The copy number of the PEPC gene in polyploid woody bamboo was significantly higher than that in diploid herbaceous bamboo (Table S1). The phylogenetic tree of Bambusoideae was constructed using 62 PEPC protein sequences. It was found that the PEPCs of Bambusoideae were also divided into BTPC and PTPC subfamilies. Among them, OlaPEPC exists only in the PTPC subfamily, and PEPC presents hierarchical topological relationships in the PTPC subfamily (Figure 2).
Figure 2.
Phylogenetic tree of PEPC gene in P. edulis, O. latifolia, D. latiflorus and D. brandisii. Seven OlaPEPC genes, 10 PhePEPC genes, 21 DlmPEPC genes and 24 DhPEPC genes are clustered into seven subgroups. Branches with different colors represent different subgroups, and red font represents the Moso bamboo PEPC gene. The red numbers on the branches represent the bootstrap values with a credibility greater than 70.
2.3. Analysis of Gene Structure, Conservative Motif and Promoter Cis-Regulatory Element
A gene structure analysis showed that there were differences in the length of coding sequences of 62 PEPC genes, which ranged from 2094 to 4458 bp. In addition, the BTPC subfamily and PTPC subfamily have significant differences in gene structure, with eight BTPC subfamily members (PhePEPC3, DlaPEPC13, DlaPEPC17, DlaPEPC20, DhPEPC3, DhPEPC7, DhPEPC15, DhPEPC19) containing 20 exons and 19 introns. In addition to the PTPCVI subfamily (OlaPEPC6, PhePEPC7, DlaPEPC6, DlaPEPC8, DhPEPC2, DhPEPC14), which contains only nine exons and eight introns, PhePEPC9 contains seven exons and seven introns; the other 47 PEPC genes contain 10 exons and 9 introns (Figure 3). The difference in the number of introns and exons of PhePEPC9 reveals its potential functional differentiation.
Figure 3.
Phylogenetic relationships, conserved motifs and gene structures of PEPC genes in P. edulis, O. latifolia, D. latiflorus and D. brandisii. (A) The phylogenetic and conserved motifs of PEPC genes in P. edulis, O. latifolia, D. latiflorus and D. brandisii. Different colored blocks represent different conserved motifs identified. The gray, red, black, and orange fonts represent the PEPC gene members of P. edulis, O. latifolia, D. latiflorus and D. brandisii, respectively. (B) The PEPC gene structure of the P. edulis, O. latifolia and D. latiflorus and D. brandisii. The yellow box represents exon, the gray line connecting exon represents intron, and the blue box represents the untranslated region.
By using MEME software (V5.5.7) to predict the PEPC protein sequence of Moso bamboo, a total of 10 conserved motifs were obtained. Except for PhePEPC9, which lacks motifs 2 and 8, and OlaPEPC2, which lacks motifs 3 and 6, all the PTPC members contain 10 conserved motifs. Except for DhPEPC15, which only contains 5 motifs, all the other BTPC subfamily members contain nine motifs, lacking one motif 4. In addition, subfamilies within the same branch have relatively similar positions of conserved motifs in their PEPC proteins (Figure 3).
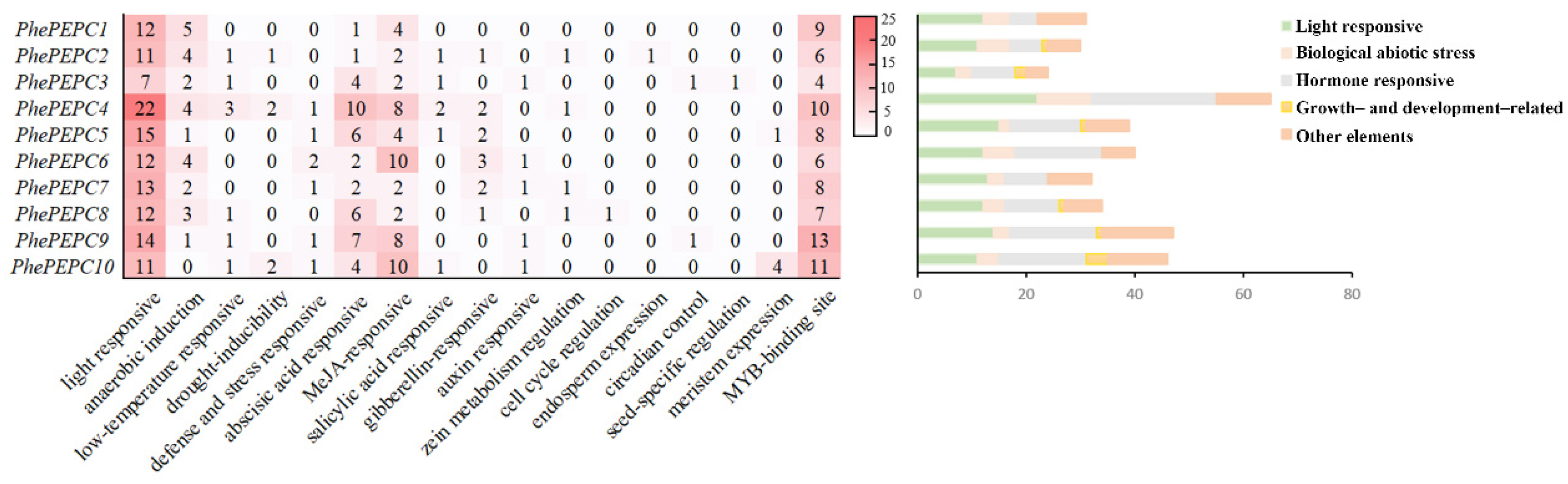
Furthermore, through the analysis of the cis acting elements of the PEPC family promoter in Moso bamboo, the results showed that all the PEPC family members contained light and anaerobic induced response elements. In addition, the PEPC gene family was also involved in plant hormone response, and all the genes contained abscisic acid (ABA) and methyl jasmonate (MeJA) response elements. All the genes except PhePEPC1, PhePEPC9 and PhePEPC10 contained gibberellin (GA) response elements; PhePEPC2, PhePEPC4, PhePEPC5 and PhePEPC10 promoter regions contained salicylic acid (SA) response elements; PhePEPC2, PhePEPC4, PhePEPC7 and PhePEPC8 contained zein metabolic elements; and PhePEPC6, PhePEPC7, PhePEPC9 and PhePEPC10 contained auxin response elements. The PhePEPC2 promoter region also contained specific endosperm expression elements, suggesting that PhePEPC2 may be involved in regulating the formation of a bamboo embryo. Only PhePEPC8 has cell cycle regulation elements, while PhePEPC5 and PhePEPC10 have meristem expression elements. PhePEPC5 and PhePEPC9 contained circadian rhythm control elements. PhePEPC2, PhePEPC4, PhePEPC8, PhePEPC9 and PhePEPC10 contained response elements in response to low temperature and drought, and PhePEPC4, PhePEPC5, PhePEPC6, PhePEPC7, PhePEPC9 and PhePEPC10 all contained defense and stress response elements, indicating that most of the PEPC family of Moso bamboo respond to stress injury (Figure 4).
Figure 4.
Analysis of the functional components of the PEPC promoter region in Moso bamboo. The rounded rectangular squares with different colors represent different cis-regulatory elements in the promoter area.
2.4. Collinearity Analysis and Evolutionary Pressure of PEPC in Bamboo
The number of PEPC members varies greatly in diploid and hexaploid bamboo, and we hypothesized that the PEPC gene family is the result of gene amplification caused by chromosome doubling. To validate this hypothesis, we used MCScanX software (V1.3.1) to analyze the genomic collinearity among diploid bamboo, tetraploid bamboo and hexaploid bamboo. The results indicated that homologous genes of the PEPC gene appeared in collinear segments of different genomes. Furthermore, five O. latifolia PEPC genes share common ancestors with P. edulis and D. latiflorus (Figure 5). These results offer compelling evidence that PEPC primarily achieves gene amplification through whole genome replication (WGD) or segmental duplications. In addition, a collinearity analysis of the PhePEPC genes in bamboo revealed eight pairs of homologous PhePEPCs, indicating that these eight pairs were formed through fragment replication (Figure 6).
Figure 5.
Colinear analysis of PEPC genes in P. edulis, O. latifolia and D. latiflorus. The squares with different colors represent chromosomes of different bamboo species, and the red lines represent homeotic gene pairs with collinear fragments.
Figure 6.
Collinearity analysis of the PEPC family in P. edulis. Different colored lines represent collinear pairs of PhePEPC.
To explore the evolutionary pressure on PEPC genes across different bamboo species, an analysis of evolutionary pressure was carried out on orthologous and paralogous homologous PEPC gene pairs in O. latifolia, P. edulis and D. latiflorus. The results showed that both orthologous and paralogous PEPC homeotic gene pairs exhibited strong purification and selection (Ka/Ks < 0.5). The Ks value can be used to indicate the time when a gene replication event occurred. In diploid O. latifolia, the Ks of the accessory homeotic gene are higher than that of most accessory homeotic gene pairs in polyploid woody bamboos (Table S2), indicating that the formation of accessory homeotic gene copies of herbaceous bamboos may be caused by large segments of DNA replication before bamboo species differentiation.
2.5. Expression Patterns of the PEPC Family in P. edulis
To explore the role of PEPC genes in the growth and development of bamboo shoots, we assessed the expression of PhePEPCs in different stages of shoot growth (winter shoots, 50 cm, 100 cm, 300 cm, 600 cm, 900 cm and 1200 cm shoot tips and culms of fully unfolded leaves) and flower organs (flower buds, bracts, glumes, lemmas, pistils, stamens, young embryos and leaves of a non-flowering bamboo plant) [39]. An analysis of the transcriptome data revealed that PhePEPC1 was predominantly expressed in the culms of Moso bamboo. PhePEPC7, 9 and 10 were highly expressed in the culms and leaves of a non-flowering bamboo plant, while PhePEPC4 and PhePEPC5 were mainly expressed in winter bamboo shoots. The expression patterns of PhePEPC2, 6 and 8 were similar, mainly playing a major regulatory role in the early stage of shoot growth and development (Figure 7). In addition, the expression patterns of PhePEPC4 and PhePEPC6 in the flower organs were similar. Except for low expression in the leaves of a non-flowering bamboo plant and glumes, the expression levels were higher in immature embryos, flower buds and bracts, while PhePEPC2 was significantly higher in the flower buds and bracts than in other tissues (Figure 8).
Figure 7.
Expression level of PEPC gene in different stages of Moso bamboo shoot development. T0. winter bamboo shoots, T1. 50 cm, T2. 100 cm, T3. 300 cm, T4. 600 cm, T5. 900 cm, T6. 1200 cm, T7. culms of fully unfolded leaves.
Figure 8.
The relative expression of PEPC family in different tissues of Moso bamboo.
The PEPC gene exists in various tissues of plants. In order to explore the specific expression site of the PhePEPC gene in Moso bamboo basal roots, in this study, we used single-cell transcriptome sequencing data from previous measurements of bamboo basal roots to study the PEPC gene family of bamboo [40]. We found that PhePEPC2 was mainly expressed in the basic tissue group cluster, while PhePEPC5 was specifically expressed in the root cap. In addition, PhePEPC6, PhePEPC8 and PhePEPC9 genes were all expressed in the basic tissues and root cap clusters (Figure 9 and Figure S2).
Figure 9.
Visualization of PhePEPCs in scRNA-seq data of Moso bamboo basal roots. The depth of the color represents the expression of the genes.
2.6. PhePEPCs Responds to the Exogenous GA Treatments
Due to the presence of GA responsive elements in the promoter region, these four genes were selected for exogenous GA treatment in this study. Under exogenous GA treatment, their roots, culms and leaves showed obvious oscillatory changes (Figure 10). After 100 μM GA3 treatment of Moso bamboo seedlings, the expression of PhePEPC2 transcripts in the culms showed a trend of first increasing and then decreasing and reached its peak at six hours of treatment. PhePEPC5 was not significantly expressed in the roots and culms after GA treatment but significantly increased in the leaves after 12 h of GA treatment. In addition, as the time point of GA treatment increased, the expression level of PhePEPC6 in the leaf transcripts gradually increased, suggesting that it responds to GA treatment and participates in leaf growth and development. In the later stage of GA treatment, the expression of PhePEPC7 significantly increased in the culms and leaves compared to the control.
Figure 10.
qRT-PCR analysis of PhePEPC genes in Moso bamboo after exogenous GA treatment. (A–C) represent expression patterns of 5 PEPC genes in the root, culm and leaf after GA treatment. PheTIP41 was used as a reference gene in Moso bamboo. The error bars represent the standard deviation of the means of three biological replicates of each sample (n = 3). * Analysis of the difference in expression levels between representative and control (0.01 ≤ p ≤ 0.05 *, p < 0.01 **, p < 0.001 ***).
2.7. Subcellular Localizations of PhePEPC Proteins
To confirm the subcellular localization of the PhePEPC protein predicted by PlantmPLoc, we selected C3 photo zyme PhePEPC6 for a tobacco subcellular localization experiment. First, we cloned the full-length CDS sequence of PhePEPC6 gene, then constructed it into a PCAMBIA23300-35S-eGFP vector and injected it into tobacco leaves through Agrobacterium infection. The results showed that the PhePEPC6 protein was mainly localized to the cell membrane compared with the GFP unloaded control (Figure 11).
Figure 11.
Subcellular localization of PhePEPC6. Bars = 10 μm.
3. Discussion
Phosphoenolpyruvate carboxylase plays a major role in fixing CO2 and maintaining photosynthetic carbon assimilation in C4- and CAM-metabolizing plants. In C3 plants, PEPC is mainly involved in tricarboxylic acid cycle (TCA) to compensate for oxaloacetic acid OAA’s function [5,6,7,8]. In addition, PEPC plays a wide range of roles in maintaining carbon–nitrogen interactions [37,41], seed formation and germination [42] and fruit ripening [26]. It has been reported that PEPC is also involved in plants’ response to abiotic stresses, such as drought [19,43,44,45], cold stress and heat stress [19,46,47].
Research of the molecular biology of bamboo PEPC genes remains scarce. In this study, we identified 10 PEPC members within the Moso bamboo genome, a number significantly greater than that found in Arabidopsis (4) and rice (6). The genome of bamboo was 1.91G [48], which was much larger than that of Arabidopsis and rice. The occurrence of genome replication events in bamboo may lead to an increase in the number of PEPC family members. In order to study the evolutionary relationship of the PEPC gene among different species of Bambusoideae, we also identified the members of the PEPC gene family of diploid O. latifolia and hexaploid D. latiflorus and D. brandisii. Seven PEPC members were identified in O. latifolia, and 21 PEPC genes were identified in D. latiflorus. Furthermore, 24 PEPC genes were identified in D. brandisii. We speculated that this might be due to the amplification of PEPC genes in D. latiflorus and D. brandisii during its evolution due to chromosome doubling. In addition, a thorough examination of collinearity events and Ka/Ks values revealed that whole genome replication and fragment replication were the primary mechanisms of amplification in the PEPC family, which is subject to continuous purification selection throughout evolution. Furthermore, a collinearity analysis between P. edulis, O. latifolia and D. latiflorus indicated that members of the PEPC gene family exhibit a certain degree of functional conservation during the evolution of the bamboo subfamily, highlighting the possibility of similar biological functions among different species.
A phylogenetic analysis of PEPC in different species revealed that the PEPC was mainly divided into two subfamilies: PTPC (plant type PEPC) and BTPC (bacterial type PEPC) [14]. The PTPC gene encodes a peptide of 100–110 kDa, with a conserved serine phosphorylation site at the N-terminus and a conserved QNTG tetrapeptide at the C-terminus [4]. The BTPC gene encodes a 116–118 kDa peptide with a tetrapeptide of RNTG at the C-terminus [49]. A phylogenetic analysis of bamboo PEPC proteins showed that except for PhePEPC3 belonging to the BTPC subfamily, all the other bamboo PEPC proteins belong to the PTPC subfamily and are mainly concentrated in the three subfamilies of PTPC IV, PTPC V and PTPC VII. In addition, the phylogenetic analysis revealed that the BTPC type was not present in O. latifolia. This might be due to incomplete genome assembly in the diploid herbaceous bamboo. Through the analysis of the phylogenetic tree of PEPC in different species, it can be concluded that almost all members of PEPC in Moso bamboo are clustered in monocotyledonous plant subgroups, while their evolutionary relationship with dicotyledonous plants, such as Arabidopsis, is relatively distant, indicating that PEPC genes may have existed before monocotyledonous and dicotyledonous differentiation. The phylogenetic analysis showed that Moso bamboo was closely related to monocotyledonous plants, such as rice, maize and B. distachyon, and the sequence similarity among members of the same subfamily is high, which may be derived from the evolution of the same gene, suggesting that its function may be conservative. Through analysis of the PEPC gene structure in bamboo, it was found that the PTPC and BTPC subfamily have significantly different structures. The PTPC subfamily has 9 introns and 10 exons, while the BTPC subfamily contains 20 exons and 19 introns [4]. Eight BTPC subfamily members (PhePEPC3, DlaPEPC13, DlaPEPC17, DlaPEPC20, DhPEPC3, DhPEPC7, DhPEPC15, DhPEPC19) contained 20 exons and 19 introns. The PTPC I subfamily (OlaPEPC6, PhePEPC7, DlaPEPC6, DlaPEPC8, DhPEPC2, DhPEPC14) only contained nine exons and eight introns, and PhePEPC9 contained seven exons and seven introns; the remaining 47 PEPC genes all contained 10 exons and 9 introns, which is consistent with the gene structure of the PTPC subfamily. As is well known, the function of genes is closely related to their structure. An analysis of the PhePEPC9 gene structure revealed that it is significantly different from other PTPC type members, indicating that it may have undergone functional differentiation during evolution. In addition, the conserved domain results of the bamboo PEPC protein showed that members of the family have highly conserved sequence characteristics, and all contain PEPcase domains, but there are slight differences in the location of the domains. PEPC contains multiple forms of isoenzymes. Multi-sequence alignment of the bamboo PEPC protein revealed that the bamboo PEPC proteins were C3 type, and there was no C4 type isoenzyme form. This is consistent with previous research, indicating that bamboo may be a species that primarily metabolizes energy through the C3 photosynthetic pathway [36]. A prediction of the conserved motifs in the PEPC proteins of the bamboo subfamily showed that except for PhePEPC9 lacking motifs 2 and 8, and OlaPEPC2 lacking motifs 3 and 6, all the other PTPC members contain 10 conserved motifs, and all the genes located in the same subfamily contain conserved domains with similar positions.
According to previous research, the expression of PEPC in specific organs and tissues may indicate its different biological functions. For example, PEPC plays different functions in Arabidopsis seedlings, castor and soybean roots and wheat leaves [50,51]. Interestingly, previous studies of the anatomical structure of the culm during the rapid growth period after bamboo shoots have found that chloroplasts in the culm of bamboo are mainly distributed in the basic tissues and cells around the vascular bundle sheath, which is similar to Kranz anatomy of C4 plants, indicating that the C4 photosynthetic pathway may exist in the culm of bamboo [34]. In this study, the expression levels of PEPC in different growth stages, flower organs and tissues of Moso bamboo showed that PhePEPC1 is mainly specifically expressed in the culms of Moso bamboo, while PhePEPC7, PhePEPC9, and PhePEPC10 are highly expressed in the culms and leaves of a non-flowering bamboo plant, indicating that these genes were likely involved in photosynthesis of bamboo culms. Furthermore, consistent with previous research, our findings further support the possible existence of a C4 photosynthetic pathway in the culm of bamboo. In addition, PhePEPC4 and PhePEPC5 were mainly expressed at high levels in winter bamboo shoots, suggesting that these genes may regulate material accumulation during the development of winter bamboo shoots. The expression patterns of PhePEPC2, PhePEPC6 and PhePEPC8 were similar, mainly playing a major regulatory role in the early stages of shoot growth and development. In addition, the expression patterns of PhePEPC4 and PhePEPC6 in the flower organs were similar. Except for a low expression in the leaves of a non-flowering bamboo plant and its glumes, they were highly expressed in immature embryos, flower buds and bracts and flagella, indicating that these two genes may regulate flower organ development, while PhePEPC2 was specifically expressed in the flagella. The specific spatiotemporal expression pattern of its genes indicates that the functions of the PEPC gene family in Moso bamboo are complex and diverse. PEPC genes in non-photosynthetic organs, such as roots, also have a wide range of expression. PhePEPC4, PhePEPC6, PhePEPC8 and PhePEPC9 in the transcriptome data of Moso bamboo single-cell basal roots have confirmed this view. Root-type PEPC may be involved in plants’ response to stress, and it was suggested that root-type PEPC of bamboo may be involved in the regulation of stress response. Combining the tissue specificity and unique spatiotemporal expression pattern of different genes, the next research work can further focus on the regulation pattern of its genes, explore the mechanism of its differential expression and provide a new way to reveal the growth and development mechanism of Moso bamboo.
4. Materials and Methods
4.1. Identification and Characterization of PEPC in P. edulis, O. latifolia, D. latiflorus and D. brandisii
We downloaded the protein sequences of Arabidopsis PEPC family members from the Arabidopsis thaliana database TAIR (https://www.arabidopsis.org/, accessed on 21 April 2024) [52]. The genome sequences and annotation file information of P. edulis, diploid O. latifolia and hexaploid D. latiflorus and D. brandisii were obtained from the BambooBase (https://bamboo.genobank.org/, accessed on 11 May 2024) [53]. We downloaded the PEPC gene family (PF00311) hidden Markov models (HMM) online from the Pfam database (http://pfam.xfam.org/, accessed on 21 April 2024) [54]. We used the E value (E) < 10–40 as the threshold and HMMER 3.0 software to identify the PEPC genes in four bamboo species [55]. In addition, the conserved domain analysis in the NCBI database (https://www.ncbi.nlm.nih.gov/Structure/bwrpsb/bwrpsb.cgi, accessed on 11 May 2024) [56] was used to screen the retrieved candidate proteins and analyze whether these candidate protein sequences contained a complete PEPcase domain. Only the sequences with a complete PEPcase domain were considered to be PEPC family genes. We analyzed the physicochemical properties of the PEPC proteins of Bambusoideae through the online tool ExPASY (https://www.expasy.org/, accessed on 18 June 2024) [57].
To investigate the evolutionary relationships of the PEPC genes among different species, three algae (Chlamydomonas reinhardtii V5.6, Micromonas pusilla V3.0 and Ostreococcus lucimarinus V2.0), Physcomitrium patens V3.3, Selaginella moellendorffii V1.0, six dicotyledonous plants’ (Arabidopsis thaliana TAIR10, Gossypium raimondii V2.1, Populus trichocarpa V3.0, Solanum lycopersicum ITAG2.4, Glycine max Lee V1.1 and Ricinus communis V0.1) and six monocotyledonous plants’ (Brachypodium distachyon V3.1, Oryza sativa V7.0, Zea mays RefGen_V4, Setaria italica V2.2, Sorghum bicolor V5.1 and Saccharum officinarum V2.1) PEPC family protein sequences were collected from the Phytozome V13.0 database (https://phytozome-next.jgi.doe.gov/, accessed on 21 April 2024) [58].
4.2. Evolutionary Analysis and Protein Multi-Sequence Alignment of PEPC in P. edulis, O. latifolia, D. latiflorus and D. brandisii
We used ClusterX2.1 software (V2.1.1) to align the PEPC protein sequences of 21 species, including C. reinhardtii, O. lucimarinus, M. pusilla, P. patens, S. tamariscina, A. thaliana, G. max, R. communis, G. raimondii, P. trichocarpa, S. lycopersicum, O. sativa, Z. mays, B. distachyon, S. italica, S. bicolor, S. officinarum, P. edulis, O. latifolia, D. latiflorus and D. brandisii, and used MEGA11 software (V11.0) to analyze the results [59]. We used the neighbor-joining method to set the self-expanding value to 1000 to build a rootless phylogenetic tree and visualized the results through the online website iTOL (http://itol.embl.de, accessed on 18 June 2024) [60].
4.3. Analysis of Gene Structure, Conservative Motif and Promoter Cis-Regulatory Element
GSDS2.0 (http://gsds.gao-lab.org/, accessed on 18 June 2024) software was used to analyze the gene structure of the introns, exons and other genes of each member of the bamboo PEPC family, and TBtools (V2.096) was used for visual mapping [61,62]. We used the online tool MEME Version 4.12.0 (http://memesuite.org/tools/meme, accessed on 18 June 2024) [63] to analyze the protein conserved motifs of bamboo PEPC family members, and set the motif retrieval value to 10. According to the whole genome data of P. edulis, the promoter subsequence encoding the PEPC gene of Moso bamboo (2000 bp upstream of the transcription start site) was extracted, and we predicted the cis acting elements through PlantCARE (http://bioinformatics.psb.ugent.be/webtools/plantcare/html/, accessed on 18 June 2024) [64]. Finally, we visualized the results using TBtools [62].
4.4. Collinearity Analysis and the Ka/Ks Ratio of P. edulis, O. latifolia, D. latiflorus and D. brandisii PEPC Genes
We performed a collinearity analysis of four bamboo PEPC families using the method described by previous research [65]. According to previous research methods, Ka/Ks values between PEPC homologous gene pairs were calculated using TBtools for selection pressure analysis [66].
4.5. Analysis of Gene Expression Patterns
In order to study the expression levels of the PEPC genes in different tissues and shoots at different developmental stages, the transcriptome data measured were from previous studies [39]. These included different developmental stages of Moso bamboo shoots and different organs, as well as single-cell transcriptome data of Moso bamboo basal root [40]. We measured the relative expression abundance of different tissues based on previous research [39], and the hotspot map was drawn by TBtools software (V2.096).
4.6. RNA Extraction, cDNA Synthesis and qRT-PCR
The total RNA was extracted according to a Prime ScriptTM RT reagent Kit. RNA reverse transcription was performed with a gDNA Eraser (TaKaRa) kit. According to the SYBR Green I Master (Roche) kit protocol, the qRT-PCR system was set up: SYBR Master Mix 10 μL, upstream primer 0.4 μL, downstream primer 0.4 μL, template cDNA 2 μL and added ddH2O 20 μL. Using Roche LightCycler480® System, the sample was amplified by qRT-PCR with PheTIP41 as the internal reference [67]. Three biological replicates were performed to calculate the relative expression of the target gene. The list of primers is shown in Table S3.
4.7. Subcellular Localization Experiment of PhePEPC Proteins in Moso Bamboo
The subcellular localization fusion vector was constructed by seamless cloning. The PCR product of PhePEPC6 was digested with the restriction endonuclease KpnI in a linear plant binary vector pCAMBIA2300-35S-eGFP connection. Enzyme digestion of the carrier was performed according to the instructions of endonuclease KpnI (1068S) cutting system (20 μL): endonuclease 1 μL, endonuclease buffer 1 μL, plasmid DNA 1 μg, ddH2O supplementation to 20 μL. Purification was performed after 37 °C 2 h. Subcellular localization of the PhePEPC6 protein was analyzed with reference to the transient transformation method of tobacco leaves [68]. After injecting the infective solution through the back of the leaf, we cultured it in low light or dark light for 3–5 days, then performed eGFP by confocal laser microscopy observation of fluorescence.
4.8. Plant Material, Growth Conditions and Treatments
Moso bamboo seedlings and Bentley tobacco seedings were germinated in long daylight incubators maintained at 23 °C and 24 °C, respectively. The light intensity was 140 μmol photons m−2s−1, and the relative humidity was 70%. Three-month-old Moso bamboo seedlings of the same size were irrigated with 100 μM GA3. After treatment for 0, 3, 6, 12 and 24 h, the bamboo roots, culms, and leaves were collected as experimental materials and quickly frozen in liquid nitrogen before being stored at −80 °C. Moso bamboo seedlings irrigated with water were used as the control, and biological repeats were performed 3 times for each treatment. In order to study the subcellular localization of PEPC protein in bamboo, 4-week-old tobacco leaves were selected for a subcellular localization experiment, and the third to fifth leaves were selected for agrobacterium injection. The experiment was repeated three times.
4.9. Statistical Analysis
The statistical analysis was conducted using SPSS software (V27.0), with three biological replicates set for all the experiments. We used Student’s testing to assess the differences (0.01 ≤ p ≤ 0.05 *, p < 0.01 **).
5. Conclusions
This study identified the members of the PEPC gene family from diploid bamboo to hexaploid bamboo and conducted a systematic bioinformatics analysis of the PEPC gene family in the Bambusoideae. The investigation uncovered stark disparities in the abundance of PEPC gene members across this polyploidy transition, hinting at a potential role of chromosome duplication in the amplification of PEPC genes. The collinearity analysis suggests that the amplification of PEPC genes from diploid to hexaploid may be due to chromosome duplication. Further analysis of the gene structure and phylogenetic status of PEPC members revealed that the majority of PEPC members are relatively conserved in Bambusoideae, and PhePEPC9 may emerge as a potential outlier exhibiting functional divergence due to its distinct structural differences. In addition, through promoter analysis and expression pattern analysis, it was found that the PEPC gene can respond to hormone signals and abiotic stress, such as drought and low temperature. It is noteworthy that PhePEPC6, PhePEPC7 and PhePEPC9 are highly expressed in leaves under exogenous GA3 application, suggesting that these genes may be involved in leaf growth and development under the GA pathway. Moreover, subcellular localization experiments confirmed that PhePEPC6 protein plays a critical role on the cell membrane. In summary, this study screened and identified PEPC genes in Bambusoideae and found that they respond to exogenous GA signals, providing a reference for delving deeper into the mechanism by which the PEPC gene regulates photosynthesis in bamboo (Table S1).
Supplementary Materials
The following supporting information can be downloaded at: https://www.mdpi.com/article/10.3390/plants13172426/s1, Figure S1: Multiple sequence alignment of PEPC proteins in P. edulis, D. latiflorus and Z. mays; Figure S2: Multiple sequence alignment of PEPC proteins in P. edulis and D. brandisii; Figure S3: Expression patterns of PhePEPCs in single-cell transcriptome cell clusters of Moso bamboo basal roots; Figure S4: RNA nucleic acid gel electrophoresis of different tissues of Moso bamboo seedlings treated with GA; Figure S5: Numerical analysis of RNA integrity in different tissues of Moso bamboo seedlings treated with GA; Figure S6: Melting curves analysis of PhePEPC6, PhePEPC7, PhePEPC9 in RT-PCR experiments after GA treatment; Table S1: Physicochemical properties of proteins of PEPC gene family members of P. edulis, O. latifolia, D. latiflorus and D. brandisii; Table S2: The Ka/Ks values of homologous PEPC pairs in P. edulis, O. latifolia and D. latiflorus; Table S3: The primer sequences used in this study.
Author Contributions
J.G. was responsible for conceiving of and revising the study. Z.C. performed the experiments and revised the manuscript. W.C. was responsible for conducting the experiments, analyzing the data and drafting the original manuscript. J.X., C.M. and J.J. assisted in sample collection and quantitative experiments. All authors have read and agreed to the published version of the manuscript.
Funding
This research was funded by the Fundamental Research Funds of ICBR (1632021017) and the National Key Research and Development Program of China (2021YFD2200505).
Data Availability Statement
All the data to support the study results in this paper are in the Supplementary Materials.
Acknowledgments
We sincerely thank Chongyang Wu, Ruiman Geng, Yuping Dou and He Li for their assistance in molecular biology experiments during the research process.
Conflicts of Interest
The authors declare no conflicts of interest.
References
- Engelmann, S.; Blsing, O.; Gowik, U.; Svensson, P.; Westhoff, P. Molecular evolution of C4 phosphoenolpyruvate carboxylase in the genus Flaveria—A gradual increase from C3 to C4 characteristics. Planta 2003, 217, 717–725. [Google Scholar] [CrossRef]
- Izui, K.; Matsumura, H.; Furumoto, T.; Kai, Y. Phosphoenolpyruvate carboxylase: A new era of structural biology. Annu. Rev. Plant Biol. 2004, 55, 69–84. [Google Scholar] [CrossRef] [PubMed]
- Masumoto, C.; Miyazawa, S.; Ohkawa, H.; Fukuda, T.; Taniguchi, Y.; Murayama, S.; Kusano, M.; Saito, K.; Fukayama, H.; Miyao, M. Phosphoenolpyruvate carboxylase intrinsically located in the chloroplast of rice plays a crucial role in ammonium assimilation. Proc. Natl. Acad. Sci. USA 2010, 107, 5226–5231. [Google Scholar] [CrossRef] [PubMed]
- Chen, J.; Lang, C.; Hu, Z.; Liu, Z.; Huang, R. Antisense PEP gene regulates to ratio of protein and lipid content in Brassica napus seeds. J. Agric. Biotechnol. 1999, 7, 316–320. [Google Scholar]
- Blonde, J.; Plaxton, W. Structural and kinetic properties of high and low molecular mass phosphoenolpyruvate carboxylase isoforms from the endosperm developing castor oilseeds. J. Biol. Chem. 2003, 278, 11867–11873. [Google Scholar] [CrossRef]
- González, M.; Echevarría, C.; Vidal, J.; Cejudo, F. Isolation and characterization of a wheat phosphoenolpyruvate carboxylase gene. Modelling of the encoded protein. Plant Sci. 2002, 162, 233–238. [Google Scholar] [CrossRef]
- Nimmo, H. The regulation of phosphoenolpyruvate carboxylase in CAM plants. Trends Plant Sci. 2000, 5, 75–80. [Google Scholar] [CrossRef]
- O’Leary, B.; Park, J.; Plaxton, W. The remarkable diversity of plant PEPC (phosphoenolpyruvate carboxylase): Recent insights into the physiological functions and post-translational controls of non-photosynthetic PEPCs. Biochem. J. 2011, 436, 15–34. [Google Scholar] [CrossRef]
- Cousins, A.; Baroli, I.; Badger, M.; Ivakov, A.; Lea, P.; Leegood, R.; von Caemmerer, S. The role of phosphoenolpyruvate carboxylase during during C4 photosynthetic isotope exchange and stomatal conductance. Plant Physiol. 2007, 145, 1006–1017. [Google Scholar] [CrossRef]
- Hysková, V.; Miedzinska, L.; Dobrá, J.; Vankova, R.; Ryslavá, H. Phosphoenolpyruvate carboxylase, NADP-malic enzyme, and pyruvate, phosphate dikinase are involved in the acclimation of Nicotiana tabacum L. to drought stress. J. Plant Physiol. 2014, 171, 19–25. [Google Scholar] [CrossRef]
- Cheng, G.; Wang, L.; Lan, H. Cloning of PEPC-1 from a C4 halophyte Suaeda aralocaspica without Kranz anatomy and its recombinant enzymatic activity in responses to abiotic stresses. Enzym. Microb. Technol. 2016, 83, 57–67. [Google Scholar] [CrossRef]
- Wei, S.; Li, Y. Functions of plant Phosphoenolpyruvate carboxylase and its applications for genetic engineering. Chin. J. Biotechnol. 2011, 27, 1702–1710. [Google Scholar]
- Sánchez, R.; Cejudo, F. Identification and expression analysis of a gene encoding a bacterial-type phosphoenolpyruvate carboxylase from Arabidopsis and rice. Plant Physiol. 2003, 132, 949–957. [Google Scholar] [CrossRef] [PubMed]
- Besnard, G.; Pinçon, G.; D’Hont, A.; Hoarau, J.; Cadet, F.; Offmann, B. Characterisation of the phosphoenolpyruvate carboxylase gene family in sugarcane (Saccharum spp.). Theor. Appl. Genet. 2003, 107, 470–478. [Google Scholar] [CrossRef] [PubMed]
- Dong, L.; Masuda, T.; Kawamura, T.; Hata, S.; Izui, K. Cloning, expression, and characterization of a root-form phosphoenolpyruvate carboxylase from Zea mays: Comparison with the C4-form enzyme. Plant Cell Physiol. 1998, 39, 865–873. [Google Scholar] [CrossRef]
- Ma, H.; Zhao, Q.; Chen, S. Bioinformatics Analysis of PEPC Gene Family in Pineapple. Chin. J. Trop. Crops 2020, 41, 7. (In Chinese) [Google Scholar]
- González, M.; Sánchez, R.; Cejudo, F. Abiotic stresses affecting water balance induce phosphoenolpyruvate carboxylase expression in roots of wheat seedlings. Planta 2003, 216, 985–992. [Google Scholar] [CrossRef] [PubMed]
- Wang, N.; Zhong, X.; Cong, Y.; Wang, T.; Yang, S.; Li, Y.; Gai, J. Genome-wide Analysis of Phosphoenolpyruvate Carboxylase Gene Family and Their Response to Abiotic Stresses in Soybean. Sci. Rep. 2016, 6, 38448. [Google Scholar] [CrossRef]
- Tu, J.; Gan, L.; Feng, L.; Yuan, L.; Yin, L. Bioinformatics Analysis of PEPC Gene Family in Arachis duranensis. J. Trop. Subtrop. Bot. 2018, 26, 107–115. (In Chinese) [Google Scholar]
- Peng, W.; Yang, C.; Cui, Z.; Zhao, C.; Wang, H. Genome-wide Identification and Expression Analysis of PEPC Gene Family in Durian (Durio zibethinus Murr.). Mol. Plant Breed. 2022, 20, 76–85. (In Chinese) [Google Scholar]
- Liese, W. Bamboo and rattan in the world. J. Bamboo Ratt. 2003, 2, 189. [Google Scholar] [CrossRef]
- Deng, H.; Zhang, L.; Zhang, G.; Zheng, B.; Liu, Z.; Wang, Y. Evolutionary history of PEPC genes in green plants: Implications for the evolution of CAM in orchids. Mol. Phylogenetics Evol. 2016, 94, 559–564. [Google Scholar] [CrossRef]
- Zhang, F.; Chi, W.; Jing, C.; Wang, Q.; Zhang, Q.; Wu, N. Molecular cloning of C4 type phosphoenolpyruvate carboxylase gene from sorghum and cultivation of transgenic rice. Sci. Bull. 2003, 48, 5. [Google Scholar] [CrossRef]
- Wang, Y. Cloning of Key Enzyme Genes (PPDK, NADP-ME) in Maize C4 Pathway and Expression Analysis of PPDK and PEPC in Arabidopsis. Ph.D. Thesis, Henan Agricultural University, Zhengzhou, China, 2012. [Google Scholar]
- Boxall, S.; Nirja, K.; Dever, L.; Kneová, J.; Waller, J.; Gould, P.; Hartwell, J. Kalancho PPC1 Is Essential for Crassulacean Acid Metabolism and the Regulation of Core Circadian Clock and Guard Cell Signaling Genes. Plant Cell 2020, 4, 4. [Google Scholar]
- O’Leary, B.; Fedosejevs, E.; Hill, A.; Bettridge, J.; Park, J.; Rao, S.; Leach, C.; Plaxton, W. Tissue-specific expression and post-translational modifications of plant- and bacterial-type phosphoenolpyruvate carboxylase isozymes of the castor oil plant, Ricinus communis L. J. Exp. Bot. 2011, 62, 5485–5495. [Google Scholar] [CrossRef]
- Pérez-López, J.; Gandullo, J.; De, la.; Osa, C.; Feria, A.; Echevarría, C.; Monreal, J.; García-Mauriño, S. Responses to aluminum and cadmium of a RNAi sorghum line with decreased levels of phosphoenolpyruvate carboxylase 3 (PPC3). Environ. Exp. Bot. 2023, 205, 105139. [Google Scholar] [CrossRef]
- de la Osa, C.; Pérez-López, J.; Feria, A.; Baena, G.; Marino, D.; Coleto, I.; Pérez-Montaño, F.; Gandullo, J.; Echevarría, C.; García-Mauriño, S. Knock-down of phosphoenolpyruvate carboxylase 3 negatively impacts growth, productivity, and responses to salt stress in sorghum (Sorghum bicolor L.). Plant J. 2022, 111, 231–249. [Google Scholar] [CrossRef]
- Waseem, M.; Ahmad, F. The phosphoenolpyruvate carboxylase gene family identification and expression analysis under abiotic and phytohormone stresses in Solanum lycopersicum L. Gene 2019, 690, 11–20. [Google Scholar] [CrossRef]
- Liu, X.; Li, X.; Zhang, C.; Dai, C.; Zhou, J.; Ren, C.; Zhang, J. Phosphoenolpyruvate carboxylase regulation in C4-PEPC-expressing transgenic rice during early responses to drought stress. Physiol. Plant 2017, 159, 178–200. [Google Scholar] [CrossRef]
- Jiang, Z. Progress in Bamboo Genomics Research. For. Sci. 2012, 48, 159–166. [Google Scholar]
- Chen, Y.; Jiang, H.; Zhou, G. Estimation of CO2 fluxes and its seasonal variations from the effective management lei bamboo (Phyllostachys violascens). Acta Ecol. Sin. 2013, 33, 3434–3444. [Google Scholar] [CrossRef]
- Xu, C.; Wen, G.; Wang, H. Change Rule of Carbon Flux and Shoots High Growth of Moso Bamboo (Phyllostachys edulis) during Its Fast Growth Stage. J. Northeast For. Univ. 2016, 44, 1–4. [Google Scholar]
- Wang, X.; Liu, L.; Zhang, J.; Wang, Y.; Zhang, R. Changes of photosynthetic pigment and photosynthetic enzyme activity in stems of Phyllostachys pubescens during rapid growth stage after shooting. Chin. J. Plant Ecol. 2012, 36, 456–462. [Google Scholar] [CrossRef]
- Liu, L.; Wang, Y.; Wang, X.; Zhang, J.; Gao, Y.; Wen, G.; Gao, R.; Zhang, R. Correlation between pigment content and reflectance spectrum of Phyllostachys pubescens stems during its rapid growth stage. Acta Ecol. Sin. 2013, 33, 2703–2711. [Google Scholar] [CrossRef]
- Tang, G.; Lin, S.; Wang, S. Contents of Phosphoenolpyruvate Caboxylase (PEPC) in Bamboo Plants. J. West China For. Sci. 2015, 44, 107–111. [Google Scholar] [CrossRef]
- Huppe, H.; Turpin, D. Integration of carbon and nitrogen metabolism in plant and algal cells. Annu. Rev. Plant Physiol. Plant Mol. Biol. 1994, 45, 577–607. [Google Scholar] [CrossRef]
- Wang, L. The research progress of plant phosphoenolpyruvate carboxylase. Territ. Nat. Resour. Study 2017, 5, 86–89. [Google Scholar]
- Li, L.; Cheng, Z.; Ma, Y.; Bai, Q.; Li, X.; Cao, Z.; Wu, Z.; Gao, J. The association of hormone signalling genes, transcription and changes in shoot anatomy during Moso bamboo growth. Plant Biotechnol. J. 2018, 16, 72–85. [Google Scholar] [CrossRef]
- Cheng, Z.; Mu, C.; Li, X.; Cheng, W.; Cai, M.; Wu, C.; Jiang, J.; Fang, H.; Bai, Y.; Zheng, F. Single-cell transcriptome atlas reveals spatiotemporal developmental trajectories in the basal roots of Moso bamboo (Phyllostachys edulis). Hortic. Res. 2023, 10, uhad122. [Google Scholar] [CrossRef] [PubMed]
- Shi, J.; Yi, K.; Liu, Y.; Xie, L.; Zhou, Z.; Chen, Y.; Hu, Z.; Zheng, T.; Liu, R.; Chen, Y. Phosphoenolpyruvate Carboxylase in Arabidopsis Leaves Plays a Crucial Role in Carbon and Nitrogen Metabolism. Plant Physiol. 2015, 167, 671–681. [Google Scholar] [CrossRef]
- Ruiz-Ballesta, I.; Baena, G.; Gandullo, J.; Wang, L.; She, Y.M.; Plaxton, W.C.; Echevarría, C. New insights into the post-translational modification of multiple phosphoenolpyruvate carboxylase isoenzymes by phosphorylation and monoubiquitylation during sorghum seed development and germination. J. Exp. Bot. 2016, 67, 3523–35536. [Google Scholar] [CrossRef] [PubMed]
- Sánchez, R.; Flores, A.; Cejudo, F. Arabidopsis phosphoenolpyruvate carboxylase genes encode immunologically unrelated polypeptides and are differentially expressed in response to drought and salt stress. Planta 2006, 223, 901–909. [Google Scholar] [CrossRef] [PubMed]
- Qian, B.; Li, X.; Liu, X.; Chen, P.; Ren, C.; Dai, C. Enhanced drought tolerance in transgenic rice over-expressing of maize C4 phosphoenolpyruvate carboxylase gene via NO and Ca2+. J. Plant Physiol. 2015, 175, 9–20. [Google Scholar] [CrossRef] [PubMed]
- Liu, X.; Li, X.; Dai, C.; Zhou, J.; Yan, T.; Zhang, J. Improved short-term drought response of transgenic rice over-expressing maize C4 phosphoenolpyruvate carboxylase via calcium signal cascade. J. Plant Physiol. 2017, 218, 206–221. [Google Scholar] [CrossRef]
- Qi, X.; Xu, W.; Zhang, J.; Guo, R.; Zhao, M.; Hu, L.; Wang, H.; Dong, H.; Li, Y. Physiological characteristics and metabolomics of transgenic wheat containing the maize C4 phosphoenolpyruvate carboxylase (PEPC) gene under high temperature stress. Protoplasma 2017, 254, 1017–1030. [Google Scholar] [CrossRef]
- Karami-Moalem, S.; Maali-Amiri, R.; Kazemi-Shahandashti, S. Effect of cold stress on oxidative damage and mitochondrial respiratory properties in chickpea. Plant Physiol. Biochem. 2018, 122, 31–39. [Google Scholar] [CrossRef]
- Zhao, H.; Gao, Z.; Wang, L.; Wang, J.; Wang, S.; Fei, B.; Chen, C.; Shi, C.; Liu, X.; Zhang, H. Chromosome-level reference genome and alternative splicing atlas of Moso bamboo (Phyllostachys edulis). Giga Sci. 2018, 7, giy115. [Google Scholar] [CrossRef]
- Gennidakis, S.; Rao, S.; Greenham, K.; Uhrig, R.; O’Leary, B.; Snedden, W.; Lu, C.; Plaxton, W. Bacterial- and plant-type phosphoenolpyruvate carboxylase polypeptides interact in the hetero-oligomeric Class-2 PEPC complex of developing castor oil seeds. Plant J. 2007, 52, 839–849. [Google Scholar] [CrossRef]
- Gregory, A.; Hurley, B.; Tran, H.; Valentine, A.; She, Y.; Knowles, V.; Plaxton, W. In vivo regulatory phosphorylation of the phosphoenolpyruvate carboxylase AtPPC1 in phosphate-starved Arabidopsis thaliana. Biochem. J. 2009, 420, 57–65. [Google Scholar] [CrossRef]
- Murmu, J.; Plaxton, W. Phosphoenolpyruvate carboxylase protein kinase from developing castor oil seeds: Partial purification, characterization, and reversible control by photosynthate supply. Planta 2007, 226, 1299–1310. [Google Scholar] [CrossRef]
- Lamesch, P.; Berardini, T.; Li, D.; Swarbreck, D.; Wilks, C.; Sasidharan, R.; Muller, R.; Dreher, K.; Alexander, D.; Garcia-Hernandez, M. The Arabidopsis Information Resource (TAIR): Improved gene annotation and new tools. Nucleic Acids Res. 2012, 40, D1202–D1210. [Google Scholar] [CrossRef]
- Guo, Z.; Ma, P.; Yang, G.; Hu, J.; Liu, Y.; Xia, E.; Zhong, M.; Zhao, L.; Sun, G.; Xu, Y. Genome Sequences Provide Insights into the Reticulate Origin and Unique Traits of Woody Bamboos. Mol. Plant 2019, 12, 1353–1365. [Google Scholar] [CrossRef]
- Finn, R.; Coggill, P.; Eberhardt, R.; Eddy, S.; Mistry, J.; Mitchell, A.; Potter, S.; Punta, M.; Qureshi, M.; Sangrador-Vegas, A. The Pfam protein family’s database: Towards a more sustainable future. Nucleic Acids Res. 2016, 44, D279–D285. [Google Scholar] [CrossRef] [PubMed]
- Finn, R.; Clements, J.; Eddy, S. HMMER web server: Interactive sequence similarity searching. Nucleic Acids Res. 2011, 39, W29–W37. [Google Scholar] [CrossRef] [PubMed]
- Marchler-Bauer, A.; Derbyshire, M.; Gonzales, N.; Lu, S.; Chitsaz, F.; Geer, L.; Geer, R.; He, J.; Gwadz, M.; Hurwitz, D. CDD: NCBI’s conserved domain database. Nucleic Acids Res. 2015, 43, D222–D226. [Google Scholar] [CrossRef]
- Gasteiger, E.; Gattiker, A.; Hoogland, C.; Ivanyi, I.; Appel, R.; Bairoch, A. ExPASy: The proteomics server for in-depth protein knowledge and analysis. Nucleic Acids Res. 2003, 31, 3784–3788. [Google Scholar] [CrossRef] [PubMed]
- Goodstein, D.; Shu, S.; Howson, R.; Neupane, R.; Hayes, R.; Fazo, J.; Mitros, T.; Dirks, W.; Hellsten, U.; Putnam, N. Phytozome: A comparative platform for green plant genomics. Nucleic Acids Res. 2012, 40, D1178–D1186. [Google Scholar] [CrossRef] [PubMed]
- Tamura, K.; Stecher, G.; Kumar, S. MEGA11 Molecular Evolutionary Genetics Analysis Version 11. Mol. Biol. Evol. 2021, 38, 3022–3027. [Google Scholar] [CrossRef]
- Letunic, I.; Bork, P. Interactive Tree of Life (iTOL) v5: An online tool for phylogenetic tree displays and annotation. Nucleic Acids Res. 2021, 49, W293–W296. [Google Scholar] [CrossRef]
- Hu, B.; Jin, J.; Guo, A.; Zhang, H.; Luo, J.; Gao, G. GSDS 2.0: An upgraded gene features visualization server. Bioinformatics 2015, 31, 1296–1297. [Google Scholar] [CrossRef]
- Chen, C.; Chen, H.; Zhang, Y.; Thomas, H.; Frank, M.; He, Y.; Xia, R. TBtools: An Integrative Toolkit Developed for Interactive Analyses of Big Biological Data. Mol. Plant 2020, 13, 1194–1202. [Google Scholar] [CrossRef] [PubMed]
- Bailey, T.L.; Boden, M.; Buske, F.A.; Frith, M.; Grant, C.E.; Clementi, L.; Ren, J.; Li, W.W.; Noble, W.S. MEME SUITE: Tools for motif discovery and searching. Nucleic Acids Res. 2009, 37, W202–W208. [Google Scholar] [CrossRef]
- Lescot, M.; Déhais, P.; Thijs, G.; Marchal, K.; Moreau, Y.; Van, de.; Peer, Y.; Rouzé, P.; Rombauts, S. PlantCARE, a database of plant cis-acting regulatory elements and a portal to tools for in silico analysis of promoter sequences. Nucleic Acids Res. 2002, 30, 325–327. [Google Scholar] [CrossRef] [PubMed]
- Wang, Y.; Tang, H.; Debarry, J.D.; Tan, X.; Li, J.; Wang, X.; Lee, T.H.; Jin, H.; Marler, B.; Guo, H.; et al. MCScanX: A toolkit for detection and evolutionary analysis of gene synteny and collinearity. Nucleic Acids Res. 2012, 40, e49. [Google Scholar] [CrossRef] [PubMed]
- Peng, Z.; Lu, Y.; Li, L.; Zhao, Q.; Feng, Q.; Gao, Z.; Lu, H.; Hu, T.; Yao, N.; Liu, K. The draft genome of the fast-growing non-timber forest species Moso bamboo (Phyllostachys heterocycla). Nat. Genet. 2013, 45, 456–461. [Google Scholar] [CrossRef]
- Trapnell, C.; Roberts, A.; Goff, L.; Pertea, G.; Kim, D.; Kelley, D.; Pimentel, H.; Salzberg, S.; Rinn, J.; Pachter, L. Differential gene and transcript expression analysis of RNA-seq experiments with TopHat and Cufflinks. Nat. Protoc. 2012, 7, 562–578. [Google Scholar] [CrossRef]
- Fan, C.; Ma, J.; Guo, Q.; Li, X.; Wang, H.; Lu, M. Selection of Reference Genes for Quantitative Real-Time PCR in Bamboo (Phyllostachys edulis). PLoS ONE 2013, 8, e56573. [Google Scholar] [CrossRef]
Disclaimer/Publisher’s Note: The statements, opinions and data contained in all publications are solely those of the individual author(s) and contributor(s) and not of MDPI and/or the editor(s). MDPI and/or the editor(s) disclaim responsibility for any injury to people or property resulting from any ideas, methods, instructions or products referred to in the content. |
© 2024 by the authors. Licensee MDPI, Basel, Switzerland. This article is an open access article distributed under the terms and conditions of the Creative Commons Attribution (CC BY) license (https://creativecommons.org/licenses/by/4.0/).










