Antioxidant Active Phytochemicals in Ternstroemia lineata Explained by Aquaporin Mechanisms
Abstract
1. Introduction
2. Results
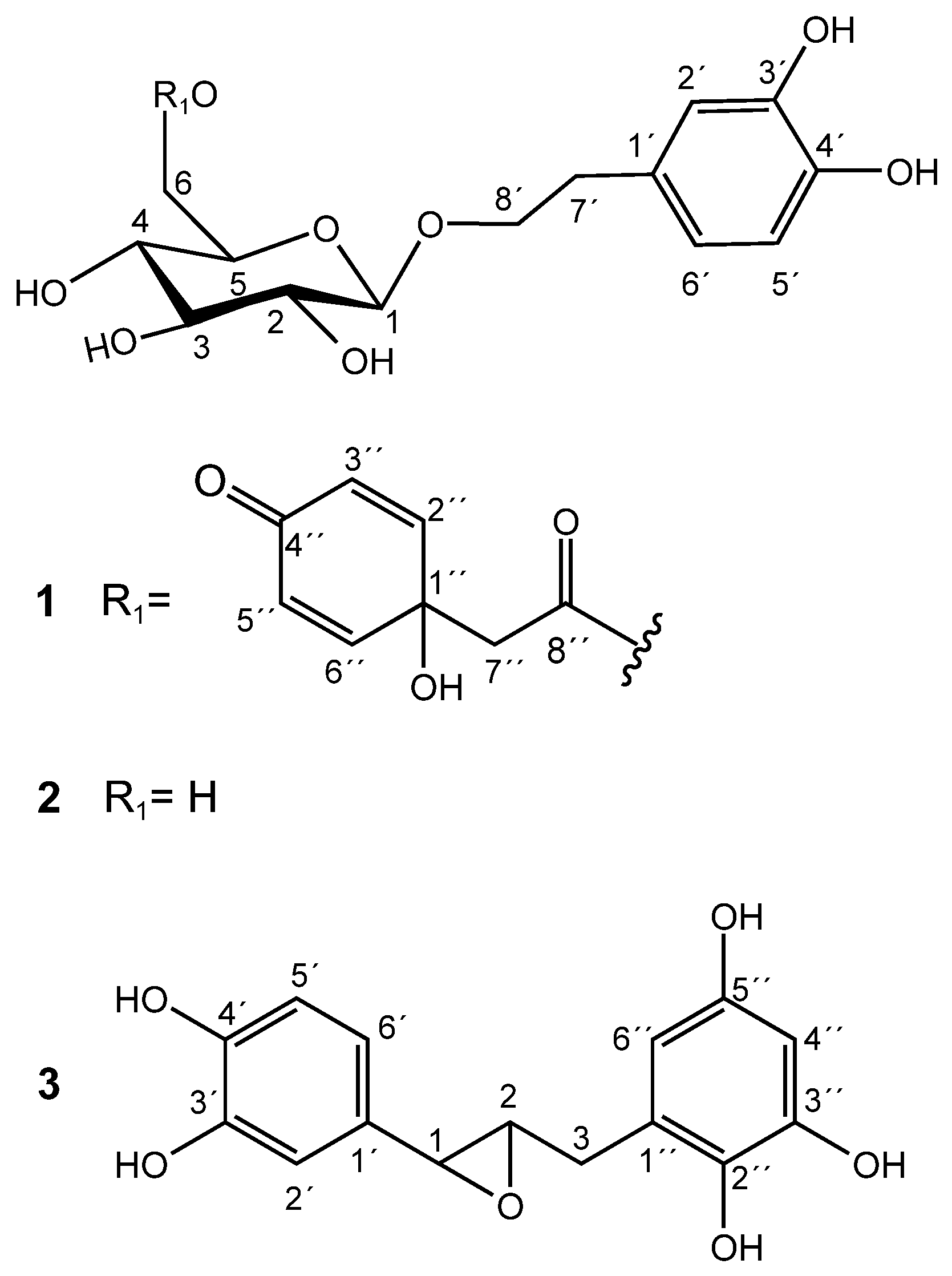
2.1. Isolation and Identification of Compounds 1, 2, and 3
2.2. Antiradical ABTS•+ Assay
2.3. In Vivo Antioxidant Test with Saccharomyces cerevisiae and H2O2
2.4. In Silico Antioxidant Analysis to Yeast Aquaporin-3 and Human Aquaporin-7
2.5. Cytotoxicity Assay
3. Discussion
4. Materials and Methods
4.1. Plant Material
4.2. Plant Extracts
4.3. Chromatographic Fractionation and Purification
4.4. Structural Characterization of the Isolated Compounds
4.5. Antiradical ABTS•+ Assay
4.6. In Vivo H2O2–Antioxidant Assay Using Saccharomyces cerevisiae
4.7. In Silico Antioxidant Analysis with Aquaporin-3 and -7
4.8. Cytotoxicity Assay
4.9. Statistical Analysis
5. Conclusions
Supplementary Materials
Author Contributions
Funding
Data Availability Statement
Acknowledgments
Conflicts of Interest
References
- Carranza-González, E. Theaceae. In Flora del Bajío y de Regiones Adyacentes; Instituto de Ecología, A.C. Centro Regional del Bajío: Pátzcuaro, Mexico, 1999; Available online: http://www1.inecol.edu.mx/publicaciones/resumeness/FLOBA/Flora%2073.pdf (accessed on 12 March 2024).
- Lozoya, X.; Aguilar, A.; Camacho, J.R. Encuesta sobre el uso actual de plantas en la medicina tradicional mexicana. Rev. Méd. IMSS 1987, 25, 283–291. [Google Scholar]
- Lozada, L.J.; Villarreal, M.L.; Fliniaux, M.A.; Bensaddek, L.; Mesnard, F.; Gutiérrez, M.; Cardoso, T.A.T. Isolation of jacaranone, a sedative constituent extracted from the flowers of the Mexican tree Ternstroemia pringlei. J. Ethnopharmacol. 2010, 127, 551–554. [Google Scholar] [CrossRef] [PubMed]
- Conigliaro, P.; Triggianese, P.; De Martino, E.; Fonti, G.L.; Chimenti, M.S.; Sunzini, F.; Viola, A.C.C.; Perricone, R. Challenges in the treatment of rheumatoid arthritis. Autoimmun. Rev. 2019, 18, 706–713. [Google Scholar] [CrossRef]
- Fonseca, S.D.L.J.; Nunes, S.V.; Goulart, M.O.F.; Rabelo, L.A. Oxidative stress in rheumatoid arthritis: What the future might hold regarding novel biomarkers and add-on therapies. Oxid. Med. Cell. Longev. 2019, 2019, 7536805. [Google Scholar] [CrossRef] [PubMed]
- Luna-Vega, I.; García-Gómez, I.; Alcántara-Ayala, O.; Rodríguez-Ramírez, E.C.; Terrazas, T. Anatomy and foliar architecture of two Mexican species of Terstroemia Muits ex L.f. (Pentaphylacaceae). Bot. Sci. 2023, 101, 476–492. [Google Scholar] [CrossRef]
- Jo, Y.; Kim, M.; Shin, M.H.; Chung, H.Y.; Jung, J.H.; Im, K.S. Antioxidative phenolics from the fresh leaves of Ternstroemia japonica. J. Nat. Prod. 2006, 60, 1399–1403. [Google Scholar] [CrossRef] [PubMed]
- Moreno, Q.C.V.; Sánchez, M.A.; Vázquez, H.M.; Reyes, A.G.H.; García, R.R.V. Antioxidant, anti-inflammatory and antinociceptive potential of Ternstroemia sylvatica Schltdl. & Cham. Asian Pac. J. Trop. Med. 2017, 10, 1047–1053. [Google Scholar] [CrossRef]
- Li, H.X.; Xiao, C.J.; Wang, M.; Cui, S.J.; Li, H.F.; Wang, K.L.; Dong, X.; Jiang, B. Four new phenylethanoid glycosides from Ternstroemia gymnanthera and their analgesic activities. Phytochem. Lett. 2019, 34, 25–29. [Google Scholar] [CrossRef]
- Verkman, A.S. Aquaporins. Curr. Biol. 2013, 23, R52–R55. [Google Scholar] [CrossRef]
- Wragg, D.; Leoni, S.; Casini, A. Aquaporin-driven hydrogen peroxide transport: A case of molecular mimicry? RSC Chem. Biol. 2020, 1, 390–394. [Google Scholar] [CrossRef]
- Dong, Y.; Hou, Q.; Lei, J.; Wolf, P.G.; Avansola, H.; Zhang, B. Quercetin alleviates intestinal oxidative damage induced by H2O2 via modulation of GSH: In vitro screening and in vivo evaluation in a colitis model of mice. ACS Omega 2020, 5, 8334–8346. [Google Scholar] [CrossRef] [PubMed]
- Bridel, M.; Béguin, C. Recherches biochimiques sur la composition du Salix triandra L. C. R. Acad. Sci. 1926, 183, 231–233. [Google Scholar]
- Yahara, S.; Satoshiro, M.; Nishioka, I.; Nagasawa, T.; Oura, H. Isolation and characterization of phenolic compounds from Coptis Rhizoma. Chem. Pharm. Bull. 1985, 33, 527–531. [Google Scholar] [CrossRef]
- Shimomura, H.; Sashida, Y.; Adachi, T. Cyanogenic and phenylpropanoid glucosides from Prunus grayana. Phytochemistry 1987, 26, 2363–2366. [Google Scholar] [CrossRef]
- Wang, H.; Sun, Y.; Ye, W.C.; Xiong, F.; Wu, J.J.; Yang, C.H.; Zhao, S.X. Antioxidative phenylethanoid and phenolic glycosides from Picrorhiza scrophulariiflora. Chem. Pharm. Bull. 2004, 52, 615–617. [Google Scholar] [CrossRef] [PubMed]
- Huang, W.Z.; Zhang, C.F.; Zhang, M.; Wang, Z.T. A new biphenylpropanoid from Alpinia katsumadai. J. Chin. Chem. Soc. 2007, 54, 1553–1556. [Google Scholar] [CrossRef]
- Skehan, P.; Storeng, R.; Scudiero, D.; Monks, A.; McMahon, J.; Vistica, D.; Warren, T.J.; Bokesh, H.; Kenney, S.; Boyd, M.R. New colorimetric cytotoxicity assay for anticancer-drug screening. JNCI J. Nat. Cancer Inst. 1990, 82, 1107–1112. [Google Scholar] [CrossRef] [PubMed]
- Suffness, M.; Pezzuto, J. Assays related to cancer drug discovery. In Methods in Plant Biochemistry; Hostettmann, K., Ed.; Academic Press: London, UK, 1991; pp. 71–133. [Google Scholar]
- Organización Mundial de la Salud (WHO). Estrategia de la OMS Sobre Medicina Tradicional 2014–2023. 2023. Available online: https://www.who.int/es/publications/i/item/9789241506096 (accessed on 12 March 2024).
- Medina, E.; Romero, C.; García, P.; Brenes, M. Characterization of bioactive compounds in commercial olive leaf extracts, and olive leaves and their infusions. Food Funct. 2019, 10, 4716–4724. [Google Scholar] [CrossRef] [PubMed]
- Deligiannidou, G.E.; Gougoula, V.; Bezirtzoglou, E.; Kontogiorgis, C.; Constantinides, T.K. The role of natural products in rheumatoid arthritis: Current knowledge of basic in vitro and in vivo research. Antioxidants 2021, 10, 599. [Google Scholar] [CrossRef]
- Owen, R.W.; Giacosa, A.; Hull, W.E.; Haubner, R.; Würtele, G.; Spiegelhalder, B.; Bartsch, H. Olive-oil consumption and health: The possible role of antioxidants. Lancet Oncol. 2000, 1, 107–112. [Google Scholar] [CrossRef]
- Robles-Almazan, M.; Pulido, M.M.; Moreno, F.J.; Ramírez, T.C.; Rodríguez, G.C.; Quiles, J.L.; Ramírez, T.M. Hydroxytyrosol: Bioavailability, toxicity, and clinical applications. Food Res. Int. 2018, 105, 654–667. [Google Scholar] [CrossRef] [PubMed]
- Romero, C.; Brenes, M.; García, P.; Garrido, F.A. Hydroxytyrosol 4-β-D-glucoside, an important phenolic compound in olive fruits and derivatives products. J. Agric. Food Chem. 2002, 50, 3835–3839. [Google Scholar] [CrossRef]
- Allouche, N.; Feki, M.; Damak, M.; Sayadi, S. Isolation of hydroxytyrosol 4-β-D-glucoside and 3,4-dihydroxyphenylglycol with antioxidant activity from olive mill wastewaters. J. Soc. Chim. Tunis. 2005, 7, 231–238. [Google Scholar]
- Salgado, N.; Aragón, P.N.; Acevedo, M.; Corona, L.; Rodríguez, V.; Mesnard, F.; Fliniaux, M.A.; Molinié, R.; Marcelo, P.; Villarreal, M.L.; et al. Radical scavenging, antioxidant, and cytotoxic activities of the methanolic extracts from different organs of Ternstroemia pringlei. Pak. J. Pharm. Sci. 2015, 28 (Suppl. 6), 2279–2284. [Google Scholar]
- Paccetti-Alves, I.; Batista, M.S.P.; Pimpão, C.; Victor, B.L.; Soveral, G. Unraveling the Aquaporin-3 Inhibitory Effect of Rottlerin by Experimental and Computational Approaches. Int. J. Mol. Sci. 2023, 24, 6004. [Google Scholar] [CrossRef]
- Pellavio, G.; Rui, M.; Caliogna, L.; Martino, E.; Gastaldi, G.; Collina, S.; Laforenza, U. Regulation of aquaporin functional properties mediated by the antioxidant effects on natural compounds. Int. J. Mol. Sci. 2017, 18, 2665. [Google Scholar] [CrossRef] [PubMed]
- Kumar, B.; Gupta, S.K.; Nag, T.C.; Srivastava, S.; Saxena, R.; Jha, K.A.; Srinivasan, B.P. Retinal neuroprotective effects of quercetin in streptozotocin-induced diabetic rats. Exp. Eye Res. 2014, 125, 193–202. [Google Scholar] [CrossRef]
- Takahashi, A.; Inoue, H.; Mishima, K.; Ide, F.; Nakayama, R.; Hasaka, A.; Ryo, K.; Ito, Y.; Sakurai, T.; Hasegawa, Y.; et al. Evaluation of the effects of quercetin on damaged salivary secretion. PLoS ONE 2015, 10, e0116008. [Google Scholar] [CrossRef] [PubMed]
- Tesse, A.; Grossini, E.; Tamma, G.; Brenner, C.; Portincasa, P.; Marinelli, R.A.; Calamita, G. Aquaporins as targets of dietary bioactive phytocompounds. Front. Mol. Biosci. 2018, 5, 30. [Google Scholar] [CrossRef]
- Huber, V.J.; Tsujita, M.; Nakada, T. Identification of aquaporin 4 inhibitors using in vitro and in silico methods. Bioorg. Med. Chem. 2009, 17, 411–417. [Google Scholar] [CrossRef]
- Pei, J.V.; Kourghi, M.; De Ieso, M.L.; Campbell, E.M.; Dorward, H.S.; Hardingham, J.E.; Yool, A.J. Differential inhibition of water and ion channel activities of mammalian aquaporin-1 by two structurally related bacopaside compounds derived from the medicinal plant Bacopa monnieri. Mol. Pharmacol. 2016, 90, 496–507. [Google Scholar] [CrossRef] [PubMed]
- Wenzel, M.N.; Mósca, A.F.; Graziani, V.; Aikman, B.; Thomas, S.R.; De Almeida, A.; Platts, J.A.; Re, N.; Coletti, C.; Marrone, A.; et al. Insights into the mechanisms of aquaporin-3 inhibition by gold (III) complexes: The importance of non-coordinative adduct formation. Inorg. Chem. 2019, 58, 2140–2148. [Google Scholar] [CrossRef] [PubMed]
- Calamita, G. Advances in aquaporins. Cells 2023, 12, 303. [Google Scholar] [CrossRef] [PubMed]
- Calabrese, V.; Cornelius, C.; Dinkova-Kostova, A.T.; Calabrese, E.J.; Mattson, M.P. Cellular stress responses, the hormesis paradigm, and vitagenes: Novel targets for therapeutic intervention in neurodegenerative disorders. Antioxid. Redox Signal. 2010, 13, 1763–1811. [Google Scholar] [CrossRef] [PubMed]
- Catino, S.; Paciello, F.; Miceli, F.; Rolesi, R.; Troiani, D.; Calabrese, V.; Santangelo, R.; Mancuso, C. Ferulic acid regulates the Nrf2/heme oxygenase-1 system and counteracts trimethyltin-induced neuronal damage in the human neuroblastoma cell line SH-SY5Y. Front. Pharmacol. 2016, 6, 305. [Google Scholar] [CrossRef] [PubMed]
- Suzuki, T.; Takahashi, J.; Yamamoto, M. Molecular basis of the KEAP1-NRF2 signaling pathway. Mol. Cells 2023, 46, 133–141. [Google Scholar] [CrossRef] [PubMed]
- Ju, H.Y.; Chen, S.C.; Wu, K.J.; Kuo, H.C.; Hseu, Y.C.; Ching, H.; Wu, C.R. Antioxidant phenolic profile from ethyl acetate fraction of Fructus Ligustri Lucidi with protection against hydrogen peroxide-induced oxidative damage in SH-SY5Y cells. Food Chem. Toxicol. 2012, 50, 492–502. [Google Scholar] [CrossRef] [PubMed]
- Montiel, V.; Bella, R.; Michel, L.Y.M.; Esfahani, H.; De Mulder, D.; Robinson, E.L.; Deglasse, J.-P.; Tiburcy, M.; Chow, P.H.; Jonas, J.-C.; et al. Inhibition of aquaporin-1 prevents myocardial remodeling by blocking the transmembrane transport of hydrogen peroxide. Sci. Transl. Med. 2020, 12, eaay2176. [Google Scholar] [CrossRef]
- Quéro, A.; Molinié, R.; Mathiron, D.; Thiombiano, B.; Fontaine, J.X.; Brancourt, D.; Wuytswinkel, V.O.; Petit, E.; Demailly, H.; Mongelard, G.; et al. Metabolite profiling of developing Camelina sativa seeds. Metabolomics 2016, 12, 186. [Google Scholar] [CrossRef]
- Re, R.; Pellegrini, N.; Proteggente, A.; Pannala, A.; Yang, M.; Rice, E.C. Antioxidant activity applying an improved radical cation decolorization assay. Free. Radic. Biol. Med. 1999, 26, 1231–1237. [Google Scholar] [CrossRef]
- Golla, U.; Bhimathati, S.S.R. Evaluation of antioxidant and DNA damage protection activity of the hydroalcoholic extract of Desmostachya bipinnata L. Stapf. Sci. World J. 2014, 2014, 215084. [Google Scholar] [CrossRef] [PubMed]
- Bienert, S.; Waterhouse, A.; de Beer, T.A.P.; Tauriello, G.; Studer, G.; Bordoli, L.; Schwede, T. The SWISS-MODEL repository-new features and functionality. Nucleic Acids Res. 2017, 45, D313–D319. [Google Scholar] [CrossRef] [PubMed]
- The UniProt Consortium. UniProt: A worldwide hub of protein knowledge. Nucleic Acids Res. 2019, 47, D506–D515. [Google Scholar] [CrossRef] [PubMed]
- Berman, H.M.; Westbrook, J.; Feng, Z.; Gilliland, G.; Bhat, T.N.; Weissig, H.; Shindyalov, I.N.; Bourne, P.E. Protein Data Bank. Nucleic Acids Res. 2000, 28, 235–242. [Google Scholar] [CrossRef] [PubMed]
- Jo, S.; Kim, T.; Iyer, V.G.; Im, W. CHARMM-GUI: A web-based graphical user interface for CHARMM. J. Comput. Chem. 2008, 29, 1859–1865. [Google Scholar] [CrossRef] [PubMed]
- Lee, J.; Cheng, X.; Swails, J.M.; Yeom, M.S.; Eastman, P.K.; Lemkul, J.A.; Wei, S.; Buckner, J.; Jeong, J.C.; Qi, Y.; et al. CHARMM-GUI Input Generator for NAMD, GROMACS, AMBER, OpenMM, and CHARMM/OpenMM simulations using the CHARMM36 additive force field. J. Chem. Theory Comput. 2016, 12, 405–413. [Google Scholar] [CrossRef] [PubMed]
- Huang, J.; Rauscher, S.; Nawrocki, G.; Ran, T.; Feig, M.; de Groot, B.L.; Grubmüller, H.; MacKerell, A.D., Jr. CHARMM36m: An improved force field for folded and intrinsically disordered proteins. Nat. Methods 2017, 14, 71–73. [Google Scholar] [CrossRef]
- Brooks, B.R.; Bruccoleri, R.E.; Olafson, B.D.; States, D.J.; Swaminathan, S.; Karplus, M. CHARMM: A program for macromolecular energy, minimization, and dynamics calculations. J. Comput. Chem. 1983, 4, 187–217. [Google Scholar] [CrossRef]
- Trott, O.; Olson, A.J. AutoDock Vina: Improving the speed and accuracy of docking with a new scoring function, efficient optimization, and multithreading. J. Comput. Chem. 2009, 31, 455–461. [Google Scholar] [CrossRef]
- Eberhardt, J.; Santos-Martins, D.; Tillack, A.F.; Forli, S. AutoDock Vina 1.2.0: New docking methods, expanded force field, and python bindings. J. Chem. Inf. Model. 2021, 61, 3891–3898. [Google Scholar] [CrossRef]
- Meng, E.C.; Pettersen, E.F.; Couch, G.S.; Huang, C.C.; Ferrin, T.E. Tools for integrated sequence-structure analysis with UCSF Chimera. BMC Bioinform. 2006, 7, 339. [Google Scholar] [CrossRef] [PubMed]
- Pettersen, E.F.; Goddard, T.D.; Huang, C.C.; Couch, G.S.; Greenblatt, D.M.; Meng, E.C.; Ferrin, T.E. UCSF Chimera—A visualization system for exploratory research and analysis. J. Comput. Chem. 2004, 25, 1605–1612. [Google Scholar] [CrossRef] [PubMed]
- Humphrey, W.; Dalke, A.; Schulten, K. VMD: Visual molecular dynamics. J. Mol. Graph. 1996, 14, 33–38. [Google Scholar] [CrossRef] [PubMed]
- Maestro, Schrödinger, LLC. Maestro. Schrödinger Release; Version 2023-3; Maestro, Schrödinger, LLC: New York, NY, USA, 2023. [Google Scholar]






| Compounds | Inhibition IC50 (µg/mL) * |
|---|---|
| 1 | 10.26 ± 0.43 (22.00 ± 0.9 μM) A |
| 2 | 15.07 ± 0.88 (47.64 ± 2.9 μM) A |
| 3 | 21.46 ± 2.07 (73.93 ± 7.1 μM) B |
| Quercetin | 10.25 ± 1.45 (33.91 ± 4.8 μM) A |
| Quercetin | Vitamin C | 1 | 2 | 3 | |
|---|---|---|---|---|---|
| AQP7 human | −8.00 ± 0.01 (100) | −7.55 ± 1.60 (100) | −9.25 ± 0.11 (86) | −7.91 ± 0.02 (100) | −8.03 ± 0.04 (100) |
| AQP3 S. cerevisiae | −7.58 ± 0.01 (100) | −5.30 ± 0.03 (100) | −7.39 ± 0.12 (86) | −6.46 ± 0.05 (75) | −6.69 ± 0.15 (87) |
Disclaimer/Publisher’s Note: The statements, opinions and data contained in all publications are solely those of the individual author(s) and contributor(s) and not of MDPI and/or the editor(s). MDPI and/or the editor(s) disclaim responsibility for any injury to people or property resulting from any ideas, methods, instructions or products referred to in the content. |
© 2024 by the authors. Licensee MDPI, Basel, Switzerland. This article is an open access article distributed under the terms and conditions of the Creative Commons Attribution (CC BY) license (https://creativecommons.org/licenses/by/4.0/).
Share and Cite
Salgado-Medrano, N.; Millán-Pacheco, C.; Rodríguez-López, V.; Corona-Sánchez, L.; Mesnard, F.; Molinié, R.; León-Álvarez, E.; Villarreal, M.L.; Cardoso-Taketa, A.T. Antioxidant Active Phytochemicals in Ternstroemia lineata Explained by Aquaporin Mechanisms. Plants 2024, 13, 2223. https://doi.org/10.3390/plants13162223
Salgado-Medrano N, Millán-Pacheco C, Rodríguez-López V, Corona-Sánchez L, Mesnard F, Molinié R, León-Álvarez E, Villarreal ML, Cardoso-Taketa AT. Antioxidant Active Phytochemicals in Ternstroemia lineata Explained by Aquaporin Mechanisms. Plants. 2024; 13(16):2223. https://doi.org/10.3390/plants13162223
Chicago/Turabian StyleSalgado-Medrano, Nahim, César Millán-Pacheco, Verónica Rodríguez-López, Lucía Corona-Sánchez, François Mesnard, Roland Molinié, Eleazar León-Álvarez, María Luisa Villarreal, and Alexandre Toshirrico Cardoso-Taketa. 2024. "Antioxidant Active Phytochemicals in Ternstroemia lineata Explained by Aquaporin Mechanisms" Plants 13, no. 16: 2223. https://doi.org/10.3390/plants13162223
APA StyleSalgado-Medrano, N., Millán-Pacheco, C., Rodríguez-López, V., Corona-Sánchez, L., Mesnard, F., Molinié, R., León-Álvarez, E., Villarreal, M. L., & Cardoso-Taketa, A. T. (2024). Antioxidant Active Phytochemicals in Ternstroemia lineata Explained by Aquaporin Mechanisms. Plants, 13(16), 2223. https://doi.org/10.3390/plants13162223

