Drip Fertigation Increases Maize Grain Yield by Affecting Phenology, Grain Filling Process, Biomass Accumulation and Translocation: A 4-Year Field Trial
Abstract
1. Introduction
2. Materials and Methods
2.1. Experiment Site Description
2.2. Experiment Design
2.3. Data Collection
2.3.1. Meteorological Data and Crop Phenology
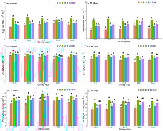
2.3.2. Leaf Area Index, Chlorophyll Content, and Photosynthetic Characteristics
2.3.3. Aboveground Biomass, Grain Yield, and Yield Components
2.3.4. Grain Filling Process
2.4. Statistical Analysis
3. Results
3.1. Maize Phenological Phase
3.2. Leaf Area Index, Chlorophyll Content, and Photosynthetic Performance
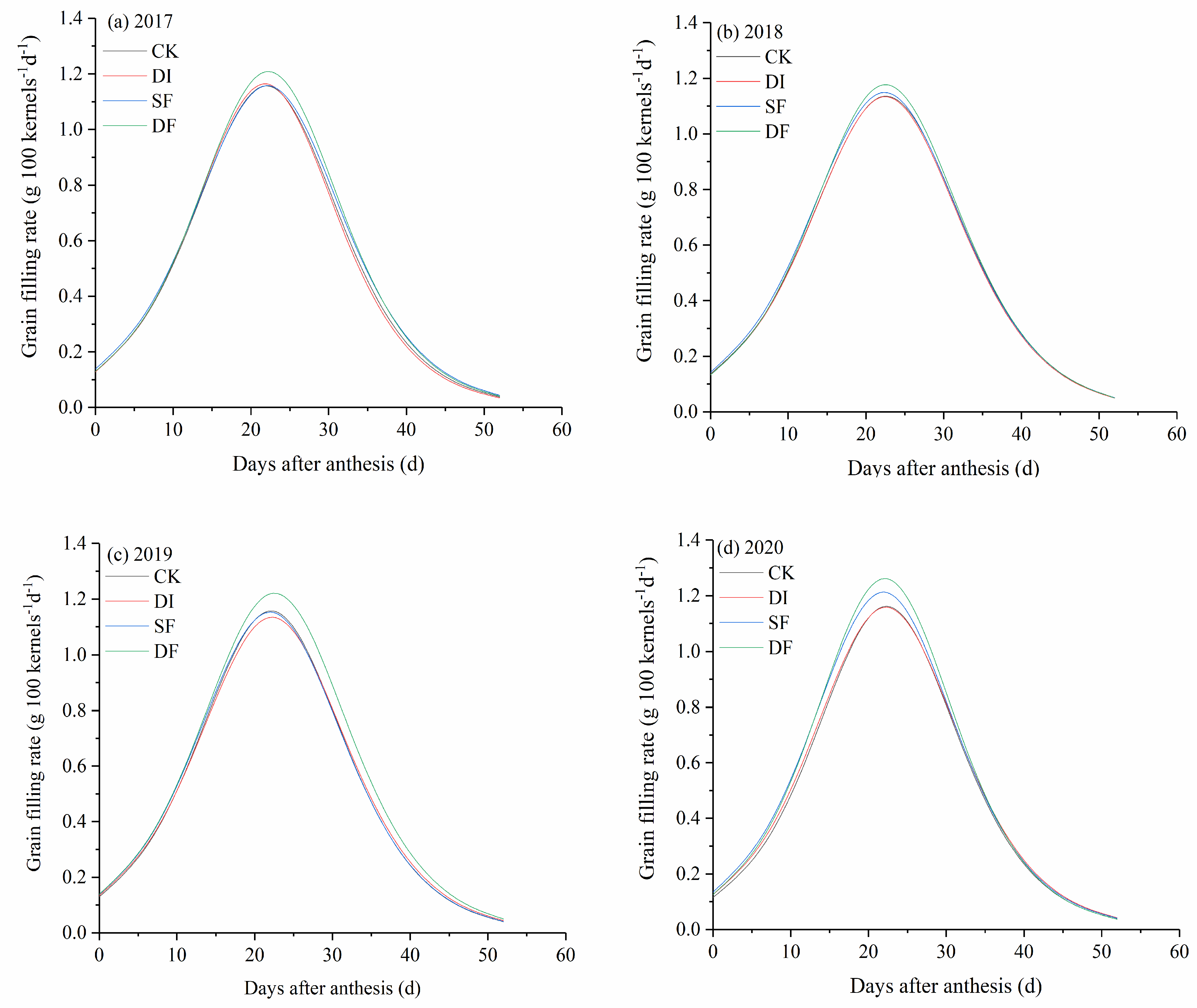
3.3. Grain Filling Characteristics
3.4. Grain Yield and Yield Components
3.5. Aboveground Biomass Accumulation and Translocation
3.6. Correlation Analysis
4. Discussion
4.1. Response of Maize Phenology to Drip Fertigation
4.2. Accumulation and Translocation of Aboveground Biomass
4.3. Response of Grain Filling Traits and Yield Components to Drip Fertigation
5. Conclusions
Supplementary Materials
Author Contributions
Funding
Data Availability Statement
Conflicts of Interest
References
- IPCC. Climate change 2021: The physical science basis. Summary for policymakers. In Working Group I Contribution to the Sixth Assessment Report of the Intergovernmental Panel on Climate Change; IPCC: Geneva, Switzerland, 2021. [Google Scholar]
- Schauberger, B.; Archontoulis, S.; Arneth, A.; Balkovic, J.; Ciais, P.; Deryng, D.; Elliott, J.; Folberth, C.; Khabarov, N.; Müller, C.; et al. Consistent negative response of US crops to high temperatures in observations and crop models. Nat. Commun. 2017, 8, 13931. [Google Scholar] [CrossRef] [PubMed]
- Tilman, D.; Balzer, C.; Hill, J.; Befort, B.L. Global food demand and the sustainable intensification of agriculture. Proc. Natl. Acad. Sci. USA 2011, 108, 20260–20264. [Google Scholar] [CrossRef] [PubMed]
- Guo, Q.; Huang, G.M.; Guo, Y.L.; Zhang, M.C.; Zhou, Y.Y.; Duan, L.S. Optimizing irrigation and planting density of spring maize under mulch drip irrigation system in the arid region of Northwest China. Field Crops Res. 2021, 266, 108141. [Google Scholar] [CrossRef]
- FAO (Food and Agriculture Organization). Statistics of Production: Crops. 2019. Available online: http://www.fao.org/faostat/en/#data/QC/visualize (accessed on 1 July 2023).
- Liao, Z.; Zhang, C.; Zhang, Y.; Yu, S.; Yan, S.; Zhang, S.; Li, Z.; Fan, J. Nitrogen application and soil mulching improve grain yield of rainfed maize by optimizing source-sink relationship and grain filling process on the Loess Plateau of China. Eur. J. Agron. 2024, 153, 127060. [Google Scholar] [CrossRef]
- Ju, X.T.; Xing, G.X.; Chen, X.P.; Zhang, S.L.; Zhang, L.J.; Liu, X.J.; Cui, Z.L.; Yin, B.; Christie, P.; Zhu, Z.L.; et al. Reducing environmental risk by improving N management in intensive Chinese agricultural systems. Proc. Natl. Acad. Sci. USA 2009, 106, 3041–3046. [Google Scholar] [CrossRef] [PubMed]
- Du, C.H.; Liu, Y.; Guo, J.R.; Zhang, W.Q.; Xu, R.L.; Zhou, B.J.; Xiao, X.C.; Zhang, Z.; Gao, Z.Q.; Zhang, Y.H.; et al. Novel annual nitrogen management strategy improves crop yield and reduces greenhouse gas emissions in wheat-maize rotation systems under limited irrigation. J. Environ. Manag. 2024, 353, 120236. [Google Scholar] [CrossRef] [PubMed]
- Lu, J.S.; Hu, T.T.; Zhang, B.C.; Wang, L.; Yang, S.H.; Fan, J.L.; Yan, S.C.; Zhang, F.C. Nitrogen fertilizer management effects on soil nitrate leaching, grain yield and economic benefit of summer maize in Northwest China. Agric. Water Manag. 2021, 247, 106739. [Google Scholar] [CrossRef]
- Robinson, A.; Lehmann, J.; Barriopedro, D.; Rahmstorf, S.; Coumou, D. Increasing heat and rainfall extremes now far outside the historical climate. NPJ Clim. Atmos. Sci. 2021, 4, 45. [Google Scholar] [CrossRef]
- Yan, F.L.; Zhang, F.C.; Fan, X.K.; Fan, J.L.; Wang, Y.; Zou, H.Y.; Wang, H.D.; Li, G.D. Determining irrigation amount and fertilization rate to simultaneously optimize grain yield, grain nitrogen accumulation and economic benefit of drip-fertigated spring maize in northwest China. Agric. Water Manag. 2021, 243, 106440. [Google Scholar] [CrossRef]
- Lu, J.S.; Geng, C.M.; Cui, X.L.; Li, M.Y.; Chen, S.H.; Hu, T.T. Response of drip fertigated wheat-maize rotation system on grain yield, water productivity and economic benefits using different water and nitrogen amounts. Agric. Water Manag. 2021, 258, 107220. [Google Scholar] [CrossRef]
- Dhayal, D.; Lal, K.; Khanna, M.; Sudhishri, S.; Brar, A.S.; Sindhu, V.K.; Singh, M.; Bhattacharyya, R.; Rajath, E.; Rosin, K.G.; et al. Performance of surface and subsurface drip fertigated wheat-moongbean-maize cropping system under different irrigation schedules and nutrient doses. Agric. Water Manag. 2023, 284, 108338. [Google Scholar] [CrossRef]
- Li, H.R.; Mei, X.R.; Wang, J.D.; Huang, F.; Hao, W.P.; Li, B.G. Drip fertigation significantly increased crop yield, water productivity and nitrogen use efficiency with respect to traditional irrigation and fertilization practices: A meta-analysis in China. Agric. Water Manag. 2021, 244, 106534. [Google Scholar] [CrossRef]
- Delbaz, R.; Ebrahimian, H.; Abbasi, F.; Ghameshlou, A.N.; Liaghat, A.; Ranazadeh, D. A global meta-analysis on surface and drip fertigation for annual crops under different fertilization levels. Agric. Water Manag. 2023, 289, 108504. [Google Scholar] [CrossRef]
- Ercoli, L.; Lulli, L.; Mariotti, M.; Masoni, A.; Arduini, I. Post-anthesis dry matter and nitrogen dynamics in durum wheat as affected by nitrogen supply and soil water availability. Eur. J. Agron. 2008, 28, 138–147. [Google Scholar] [CrossRef]
- Gebbing, T.; Schnyder, H.; Kühbauch, W. The utilization of pre-anthesis reserves in grain filling of wheat. Assessment by steady-state 13CO2/12CO2 labelling. Plant Cell Environ. 1999, 22, 851–858. [Google Scholar] [CrossRef]
- Gao, H.X.; Zhang, C.C.; Werf, W.V.D.; Ning Peng Zhang, Z.; Wan, S.B.; Zhang, F.S. Intercropping modulates the accumulation and translocation of dry matter and nitrogen in maize and peanut. Field Crops Res. 2022, 284, 108561. [Google Scholar] [CrossRef]
- Laza, M.R.; Peng, S.B.; Akita, S.; Saka, H. Contribution of biomass partitioning and translocation to grain yield under sub-optimum growing conditions in irrigated rice. Plant Prod. Sci. 2003, 6, 28–35. [Google Scholar] [CrossRef]
- Wang, X.L.; Zhu, Y.P.; Yan, Y.; Hou, J.M.; Wang, H.J.; Luo, N.; Wei, D.; Meng, Q.F.; Wang, P. Irrigation mitigates the heat impacts on photosynthesis during grain filling in maize. J. Integr. Agric. 2023, 22, 2370–2383. [Google Scholar] [CrossRef]
- Cao, Y.X.; Cai, H.J.; Sun, S.K.; Gu, X.B.; Mu, Q.; Duan, W.N.; Zhao, Z.X. Effects of drip irrigation methods on yield and water productivity of maize in Northwest China. Agric. Water Manag. 2022, 259, 107227. [Google Scholar] [CrossRef]
- Shen, L.X.; Huang, Y.K.; Li, T. Top-grain filling characteristics at an early stage of maize (Zea mays L.) with different nitrogen use efficiencies. J. Integr. Agric. 2017, 16, 626–639. [Google Scholar] [CrossRef]
- Huang, L.; Gao, Y.; Li, X.Q.; Qiu, X.Q.; Shen, X.J.; Liu, Z.D.; Uzokwe, P.A.; Duan, A.W. Effects of water stress on dry matter accumulation and translocation in winter wheat cultivars planted at different ages. Chin. J. Eco-Agric. 2013, 21, 943–950. [Google Scholar] [CrossRef]
- Wang, L.; Lu, Q.; Wen, X.; Lu, C. Enhanced sucrose loading improves rice yield by increasing grain size. Plant Physiol. 2015, 169, 2848–2862. [Google Scholar] [CrossRef] [PubMed]
- Yang, J.; Zhang, J. Grain filling of cereals under soil drying. New Phytol. 2006, 169, 223–236. [Google Scholar] [CrossRef]
- Wu, Y.W.; Zhao, B.; Li, X.L.; Liu, Q.L.; Feng, D.J.; Lan, T.Q.; Kong, F.L.; Yuan, J.C. Nitrogen application affects maize grain filling by regulating grain water relations. J. Integr. Agric. 2022, 21, 977–994. [Google Scholar] [CrossRef]
- Zhai, L.C.; Wang, Z.B.; Song, S.J.; Zhang, L.H.; Zhang, Z.B.; Jia, X.L. Tillage practices affects the grain filling of inferior kernel of summer maize by regulating soil water content and photosynthetic capacity. Agric. Water Manag. 2021, 245, 106600. [Google Scholar] [CrossRef]
- Allen, R.G.; Pereira, L.S.; Raes, D.; Smith, M. Crop Evapotranspiration Guidelines for Computing Crop Water Requirements—FAO Irrigation and Drainage Paper 56; Food and Agriculture Organization: Rome, Italy, 1998. [Google Scholar]
- Yan, S.C.; Wu, Y.; Fan, J.L.; Zhang, F.C.; Guo, J.J.; Zheng, J.; Wu, L.F. Optimization of drip irrigation and fertilization regimes to enhance winter wheat grain yield by improving post-anthesis dry matter accumulation and translocation in northwest China. Agric. Water Manag. 2022, 271, 107782. [Google Scholar] [CrossRef]
- Zadoks, J.C.; Cheng, T.; Konzak, C.F. A decimal code for the growth stages of cereals. Weed Res. 1974, 14, 415–421. [Google Scholar] [CrossRef]
- Cao, Z.; Yao, X.; Liu, H.; Liu, B.; Cheng, T.; Tian, Y.; Cao, W.; Zhu, Y. Comparison of the abilities of vegetation indices and photosynthetic parameters to detect heat stress in wheat. Agric. For. Meteorol. 2019, 265, 121–136. [Google Scholar] [CrossRef]
- Lu, J.S.; Hu, T.T.; Geng, C.M.; Cui, X.L.; Fan, J.L.; Zhang, F.C. Response of yield, yield components and water-nitrogen use efficiency of winter wheat to different drip fertigation regimes in Northwest China. Agric. Water Manag. 2021, 255, 107034. [Google Scholar] [CrossRef]
- Qi, Y.; Zhang, Q.; Hu, S.; Wang, R.; Wang, H.; Zhang, K.; Zhao, H.; Ren, S.; Yang, Y.; Zhao, F.; et al. Effects of high temperature and drought dtresses on Growth and yield of summer maize during grain filling in North China. Agriculture 2022, 12, 1948. [Google Scholar] [CrossRef]
- Brar, H.S.; Vashist, K.K. Drip irrigation and nitrogen fertilization alter phenological development and yield of spring maize (Zea mays L.) under semi-arid conditions. J. Plant Nutr. 2020, 43, 1757–1767. [Google Scholar] [CrossRef]
- Liu, M.; Wu, X.; Li, C.; Li, M.; Xiong, T.; Tang, Y. Dry matter and nitrogen accumulation, partitioning, and translocation in synthetic-derived wheat cultivars under nitrogen deficiency at the post-jointing stage. Field Crops Res. 2020, 248, 107720. [Google Scholar] [CrossRef]
- Zhang, W.; Liu, D.; Li, C.; Chen, X.; Zou, C. Accumulation, partitioning, and bioavailability of micronutrients in summer maize as affected by phosphorus supply. Eur. J. Agron. 2017, 86, 48–59. [Google Scholar] [CrossRef]
- Qin, S.; Fan, Y.; Li, S.; Chen, L.; Zhang, L.; Xi, H.; Qiu, R.; Liu, P. Partitioning of available energy in canopy and soil surface in croplands with different irrigation methods. Agric. Water Manag. 2023, 288, 108475. [Google Scholar] [CrossRef]
- Shu, F.; Jaquie, M. Factors determining water use efficiency in aerobic rice. Crop Environ. 2022, 1, 21–40. [Google Scholar] [CrossRef]
- Li, B.; Wim, V.; Shukla, M.K.; Du, T.S. Drip irrigation provides a trade-off between yield and nutritional quality of tomato in the solar greenhouse. Agric. Water Manag. 2021, 249, 106777. [Google Scholar] [CrossRef]
- Wang, F.; Xie, R.Z.; Ming, B.; Wang, K.R.; Hou, P.; Chen, J.L.; Liu, G.Z.; Zhang, G.Q.; Xue, J.; Li, S.K. Dry matter accumulation after silking and kernel weight are the key factors for increasing maize yield and water use efficiency. Agric. Water Manag. 2021, 254, 106938. [Google Scholar] [CrossRef]
- Yan, S.C.; Wu, Y.; Fan, J.L.; Zhang, F.C.; Qiang, S.C.; Zheng, J.; Xiang, Y.Z.; Guo, J.J.; Zou, H.Y. Effects of water and fertilizer management on grain filling characteristics, grain weight and productivity of drip-fertigated winter wheat. Agric. Water. Manag. 2019, 213, 9831–9995. [Google Scholar] [CrossRef]
- Takai, T.; Fukuta, Y.; Shiraiwa, T.; Horie, T. Time-related mapping of quantitative trait loci controlling grain-filling in rice (Oryza sativa L.). J. Exp. Bot. 2005, 56, 2107–2118. [Google Scholar]
- Bai, X.; Sun, S.; Yang, G.; Liu, M.; Zhang, Z.; Qi, H. Effects of water strss on maize yield during different growing stages. J. Maize Sci. 2009, 17, 60–63. [Google Scholar] [CrossRef]




| Factors | LAI_VT | LAI_R4 | Chl_VT | Chl_R4 | Pn_VT | Pn_R4 |
|---|---|---|---|---|---|---|
| Irrigation (I) | ** | ** | ** | ** | ** | ** |
| Nitrogen (N) | ** | ** | ** | ** | ** | ** |
| Year (Y) | ** | ** | ** | ** | ** | * |
| I × N | ** | ** | ns | ns | ns | ns |
| I × Y | ** | ** | ns | ns | ns | ns |
| N × Y | ** | ns | ns | ns | ns | ns |
| I × N × Y | ns | ns | ns | * | ns | ns |
| Year | Treatments | Wmax | Tmax | Vmax | Vave |
|---|---|---|---|---|---|
| 2017 | CK | 14.23 b | 21.73 b | 1.16 b | 0.71 a |
| DI | 14.10 b | 21.66 b | 1.17 b | 0.66 a | |
| SF | 14.82 a | 22.25 a | 1.15 b | 0.67 a | |
| DF | 14.95 a | 22.33 a | 1.21 a | 0.66 a | |
| 2018 | CK | 14.93 a | 22.61 a | 1.14 b | 0.72 a |
| DI | 14.79 a | 22.56 a | 1.14 b | 0.70 a | |
| SF | 15.12 a | 22.44 a | 1.15 ab | 0.69 a | |
| DF | 15.22 a | 22.63 a | 1.18 a | 0.69 a | |
| 2019 | CK | 14.58 b | 21.14 a | 1.16 b | 0.70 a |
| DI | 14.61 b | 22.26 a | 1.14 b | 0.68 ab | |
| SF | 14.71 b | 21.99 a | 1.15 b | 0.63 b | |
| DF | 15.76 a | 22.55 a | 1.22 a | 0.68 ab | |
| 2020 | CK | 14.19 b | 22.43 a | 1.14 b | 0.65 a |
| DI | 14.81 ab | 22.61 a | 1.15 b | 0.66 a | |
| SF | 15.36 a | 22.31 a | 1.19 ab | 0.65 a | |
| DF | 15.45 a | 22.19 a | 1.25 a | 0.65 a | |
| Mean | CK | 14.48 b | 22.23 a | 1.15 b | 0.69 a |
| DI | 14.58 b | 22.27 a | 1.15 b | 0.68 ab | |
| SF | 15.00 a | 22.25 a | 1.16 b | 0.66 b | |
| DF | 15.34 a | 22.42 a | 1.21 a | 0.67 ab |
| Factors | RNE | KR | GW_100 | EL | ED | BTL | BIOm | BIOs | BIOas | TAbio | TRbio | GY |
|---|---|---|---|---|---|---|---|---|---|---|---|---|
| Irrigation (I) | ** | ** | ** | ** | ** | ** | ** | ** | ** | ** | ** | ** |
| Nitrogen (N) | ** | ** | ** | ** | ** | ** | ** | ** | ** | ** | ** | ** |
| Year (Y) | ** | ** | ns | ** | ** | * | ** | * | * | ** | ** | ** |
| I × N | ** | ** | ns | * | ns | ** | ** | ** | ns | ** | ns | ** |
| I × Y | ** | ** | ns | ** | ns | ** | ** | ** | ns | ** | ** | * |
| N × Y | ns | ** | ns | ns | ns | * | ns | ns | ns | ns | ns | ns |
| I × N × Y | ns | ns | ns | ns | ns | ** | ns | ns | ns | ** | * | ns |
| Year | Treatment | Rows per Ear | Kernels per Row | 100-Kernel Weight (g) | Ear Length (cm) | Ear Diameter (cm) | Bare Top Length (cm) |
|---|---|---|---|---|---|---|---|
| 2017 | CK | 14.6 c | 27.3 d | 28.0 c | 13.6 b | 4.2 b | 2.3 a |
| DI | 15.5 b | 31.7 b | 28.3 bc | 15.8 a | 5.2 a | 0.7 b | |
| SF | 14.4 c | 30.0 c | 29.3 ab | 14.3 b | 5.1 a | 1.0 b | |
| DF | 16.3 a | 35.4 a | 30.2 a | 16.7 a | 5.6 a | 0.7 b | |
| 2018 | CK | 15.3 b | 29.1 c | 28.3 c | 15.1 b | 5.0 b | 1.4 a |
| DI | 16.1 a | 31.2 b | 29.1 bc | 15.8 b | 5.5 b | 0.9 b | |
| SF | 15.3 b | 30.2 bc | 29.7 ab | 15.6 b | 5.3 b | 0.7 bc | |
| DF | 16.4 a | 33.9 a | 30.2 a | 16.8 a | 6.1 a | 0.6 c | |
| 2019 | CK | 15.5 b | 29.9 c | 27.7 b | 16.2 b | 5.5 b | 1.8 a |
| DI | 15.4 b | 29.9 c | 28.9 ab | 16.2 b | 5.7 ab | 0.9 b | |
| SF | 15.9 b | 34.1 b | 27.5 b | 16.2 b | 5.7 ab | 0.7 b | |
| DF | 16.7 a | 36.1 a | 30.8 a | 17.2 a | 6.1 a | 0.5 b | |
| 2020 | CK | 14.6 a | 29.5 b | 27.7 c | 15.7 ab | 5.0 b | 1.1 a |
| DI | 14.3 a | 29.8 b | 29.7 ab | 15.6 b | 5.1 b | 1.0 a | |
| SF | 14.4 a | 31.0 b | 29.4 b | 15.7 ab | 4.9 b | 1.0 a | |
| DF | 14.8 a | 33.5 a | 30.7 a | 16.4 a | 5.7 a | 0.7 a | |
| Mean | CK | 15.0 b | 29.0 c | 27.9 c | 15.2 c | 4.9 c | 1.6 c |
| DI | 15.3 b | 30.6 b | 29.0 b | 15.9 b | 5.4 b | 0.9 b | |
| SF | 15.0 b | 31.6 b | 29.0 b | 15.4 c | 5.3 b | 0.8 b | |
| DF | 16.1 a | 34.7 a | 30.5 a | 16.8 a | 5.9 a | 0.6 a |
| Year | Treatment | GY (t ha−1) | GY Increase Rate (%) | Contribution to GY Increase (%) | BIOm (t ha−1) | BIOm Increase Rate (%) | Contribution to BIOm Increase (%) | ||||
|---|---|---|---|---|---|---|---|---|---|---|---|
| I | N | I × N | I | N | I × N | ||||||
| 2017 | CK | 7.6 c | — | — | — | — | 15.6 c | — | — | — | — |
| DI | 8.8 b | 15.9 | 100 | — | — | 18.1 b | 16.7 | 100 | — | — | |
| SF | 8.3 b | 10.3 | — | 100 | — | 17.2 b | 10.7 | — | 100 | — | |
| DF | 10.6 a | 40.7 | 39.1 | 25.3 | 35.6 | 21.1 a | 35.8 | 46.5 | 30.0 | 23.5 | |
| 2018 | CK | 8.3 c | — | — | — | — | 16.8 c | — | — | — | — |
| DI | 9.3 b | 11.5 | 100 | — | — | 18.4 b | 9.4 | 100 | — | — | |
| SF | 9.5 b | 14.2 | — | 100 | — | 18.4 b | 9.7 | — | 100 | — | |
| DF | 11.7 a | 39.8 | 28.9 | 35.8 | 35.3 | 21.8 a | 30.0 | 31.2 | 32.4 | 36.4 | |
| 2019 | CK | 8.2 c | — | — | — | — | 17.1 c | — | — | — | — |
| DI | 9.2 bc | 11.8 | 100 | — | — | 18.1 c | 5.5 | 100 | — | — | |
| SF | 9.8 b | 19.7 | — | 100 | — | 19.6 b | 14.3 | — | 100 | — | |
| DF | 11.3 a | 37.4 | 31.4 | 52.7 | 15.8 | 22.3 a | 29.8 | 18.4 | 48.0 | 33.6 | |
| 2020 | CK | 8.7 c | — | — | — | — | 17.6 b | — | — | — | — |
| DI | 9.0 bc | 2.5 | 100 | — | — | 18.0 b | 2.3 | 100 | — | — | |
| SF | 10.0 ab | 14.8 | — | 100 | — | 18.9 ab | 7.6 | — | 100 | — | |
| DF | 10.5 a | 20.6 | 12.2 | 71.8 | 16.0 | 19.8 a | 12.7 | 17.9 | 59.6 | 22.6 | |
| Mean | CK | 8.2 c | — | — | — | — | 16.8 c | — | — | — | — |
| DI | 9.0 b | 10.2 | 100 | — | — | 18.1 b | 8.2 | 100 | — | — | |
| SF | 9.5 b | 15.8 | — | 100 | — | 18.5 b | 10.6 | — | 100 | — | |
| DF | 11.0 a | 34.3 | 29.7 | 46.1 | 24.2 | 21.3 a | 26.8 | 30.7 | 39.5 | 29.9 | |
| Year | Treatment | BIOs (t ha−1) | BIOas (t ha−1) | TAbio (t ha−1) | TRbio (%) | Ct (%) | Ca (%) |
|---|---|---|---|---|---|---|---|
| 2017 | CK | 8.8 c | 6.7 c | 0.8 b | 9.2 b | 10.8 b | 89.2 a |
| DI | 10.5 b | 7.6 b | 1.1 b | 10.8 b | 12.9 b | 87.1 a | |
| SF | 9.8 bc | 7.5 bc | 0.9 b | 9.0 b | 10.6 b | 89.4 a | |
| DF | 12.5 a | 8.7 a | 2.0 a | 15.9 a | 18.7 a | 81.3 b | |
| 2018 | CK | 9.5 c | 7.2 b | 1.1 c | 11.4 c | 13.1 b | 86.9 a |
| DI | 10.8 b | 7.6 b | 1.7 b | 16.0 b | 18.6 ab | 81.4 ab | |
| SF | 10.6 b | 7.8 b | 1.7 b | 16.0 b | 17.8 ab | 82.2 ab | |
| DF | 12.9 a | 9.0 a | 2.7 a | 21.0 a | 23.2 a | 76.8 b | |
| 2019 | CK | 9.9 c | 7.3 b | 0.9 b | 9.5 b | 11.4 b | 88.6 a |
| DI | 10.0 c | 8.0 ab | 1.1 b | 11.3 b | 12.4 b | 87.6 a | |
| SF | 10.9 b | 8.7 a | 1.1 b | 10.4 b | 11.7 b | 88.3 a | |
| DF | 13.1 a | 9.2 a | 2.1 a | 16.2 a | 19.0 a | 81.0 b | |
| 2020 | CK | 10.3 b | 7.3 a | 1.4 c | 13.9 c | 16.4 ab | 83.6 ab |
| DI | 10.6 b | 7.5 a | 1.6 c | 14.9 c | 17.7 b | 82.3 a | |
| SF | 11.5 a | 8.1 a | 2.1 b | 22.4 a | 25.7 a | 74.3 b | |
| DF | 11.4 a | 8.4 a | 2.6 a | 18.7 b | 20.3 b | 79.7 a | |
| Mean | CK | 9.6 c | 7.1 c | 1.1 c | 11.0 c | 12.9 c | 87.1 a |
| DI | 10.5 b | 7.7 bc | 1.4 b | 13.3 b | 15.4 bc | 84.6 ab | |
| SF | 10.7 b | 8.0 b | 1.6 b | 14.5 b | 16.4 b | 83.6 b | |
| DF | 12.5 a | 8.8 a | 2.2 a | 17.9 a | 20.3 a | 79.7 c |
Disclaimer/Publisher’s Note: The statements, opinions and data contained in all publications are solely those of the individual author(s) and contributor(s) and not of MDPI and/or the editor(s). MDPI and/or the editor(s) disclaim responsibility for any injury to people or property resulting from any ideas, methods, instructions or products referred to in the content. |
© 2024 by the authors. Licensee MDPI, Basel, Switzerland. This article is an open access article distributed under the terms and conditions of the Creative Commons Attribution (CC BY) license (https://creativecommons.org/licenses/by/4.0/).
Share and Cite
Du, R.; Li, Z.; Xiang, Y.; Sun, T.; Liu, X.; Shi, H.; Li, W.; Huang, X.; Tang, Z.; Lu, J.; et al. Drip Fertigation Increases Maize Grain Yield by Affecting Phenology, Grain Filling Process, Biomass Accumulation and Translocation: A 4-Year Field Trial. Plants 2024, 13, 1903. https://doi.org/10.3390/plants13141903
Du R, Li Z, Xiang Y, Sun T, Liu X, Shi H, Li W, Huang X, Tang Z, Lu J, et al. Drip Fertigation Increases Maize Grain Yield by Affecting Phenology, Grain Filling Process, Biomass Accumulation and Translocation: A 4-Year Field Trial. Plants. 2024; 13(14):1903. https://doi.org/10.3390/plants13141903
Chicago/Turabian StyleDu, Ruiqi, Zhijun Li, Youzhen Xiang, Tao Sun, Xiaochi Liu, Hongzhao Shi, Wangyang Li, Xiangyang Huang, Zijun Tang, Junsheng Lu, and et al. 2024. "Drip Fertigation Increases Maize Grain Yield by Affecting Phenology, Grain Filling Process, Biomass Accumulation and Translocation: A 4-Year Field Trial" Plants 13, no. 14: 1903. https://doi.org/10.3390/plants13141903
APA StyleDu, R., Li, Z., Xiang, Y., Sun, T., Liu, X., Shi, H., Li, W., Huang, X., Tang, Z., Lu, J., Chen, J., & Zhang, F. (2024). Drip Fertigation Increases Maize Grain Yield by Affecting Phenology, Grain Filling Process, Biomass Accumulation and Translocation: A 4-Year Field Trial. Plants, 13(14), 1903. https://doi.org/10.3390/plants13141903

