Coastal Dune Vegetation Dynamism and Anthropogenic-Induced Transitions in the Mexican Caribbean during the Last Decade
Abstract
1. Introduction
2. Results
2.1. Spatial and Temporal Vegetation Cover Density Variability in the Coastal Dune of SKBR during 2011–2020
2.2. Vegetation Cover Density Trend with SAVI
2.3. Vegetation Cover Density Evolution in the Northern and Southern Zone of the SKBR
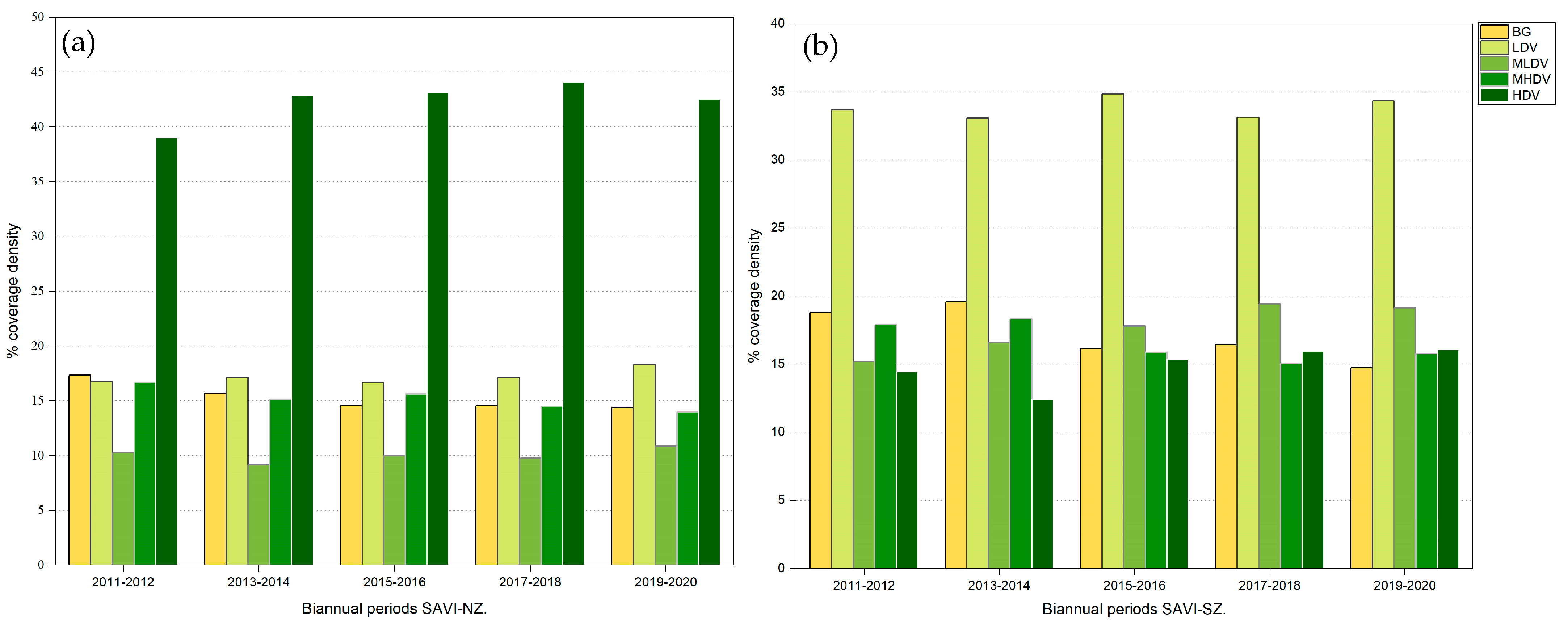
2.4. Biannual Changes in Vegetation Cover Density in the Northern and Southern Zone of the SKBR
2.5. SAVI Relationship and Environmental Climate Variables (CVs)
3. Discussion
3.1. Spatial and Temporal Vegetation Cover Density Variability in the Coastal Dune of RBSK
3.2. Trends in Vegetation Cover Density in the SKBR
3.3. Changes in Vegetation Cover Density during the Last Decade in the SKBR
4. Materials and Methods
4.1. Study Area
4.2. Estimation of Biannual and Annual SAVI and NDVI Patterns, Using Google Earth Engine
4.3. Trends in Vegetation Cover Density Changes for the Northern and Southern Zone of the SKBR
5. Conclusions
Supplementary Materials
Author Contributions
Funding
Data Availability Statement
Acknowledgments
Conflicts of Interest
References
- Martínez, M.L.; Moreno-Casasola, P.; Espejel, I.; Jiménez-Orocio, O.; Infante-Mata, D.; Rodríguez-Revelo, N. Diagnóstico de Las Dunas Costeras de México; Comisión Nacional Forestal: Ciudad de México, México, 2014; ISBN 978-607-8383-17-7. Available online: https://www.cienagasyhumedales.org/diagnosticoge (accessed on 1 March 2023).
- Martínez, M.L. Dunas Costeras. Investig. Cienc. 2008, 38, 26–35. [Google Scholar]
- Sanromualdo-Collado, A.; García-Romero, L.; Peña-Alonso, C.; Hernández-Cordero, A.I.; Ferrer-Valero, N.; Hernández-Calvento, L. Spatiotemporal Analysis of the Impact of Artificial Beach Structures on Biogeomorphological Processes in an Arid Beach-Dune System. J. Environ. Manag. 2021, 282, 111953. [Google Scholar] [CrossRef]
- Moreno-Casasola, P.; Espejel, I. Classification and Ordination of Coastal Sand Dune Vegetation along the Gulf and Caribbean Sea of Mexico. Vegetatio 1986, 66, 147–182. [Google Scholar] [CrossRef]
- Gayosso Soto, E. Estructura espacial de la vegetación de duna costera de la zona norte y sur de la Reserva de la Biosfera de Sian Ka’an, Quintana Roo, México. Tesis de Maestría, TecNM Campus Chetumal, Chetumal, Quintana Roo, México, Diciembre 2015.
- Jiménez-Orocio, O.; Hesp, P.; Martínez, M.; Espejel, I.; Moreno-Casasola, P. Tipos de Dunas. In Diagnóstico General de las Dunas Costeras de México; Comisión Nacional Forestal: Ciudad de México, México, 2014; Capitulo 3; pp. 28–40. ISBN 978-607-8383-17-7. [Google Scholar]
- Elizondo, N.C.; Infante-Mata, D.C.; Rincón-Pérez, M.; García-Alfaro, R.; Islebe, G.A.; Valdéz, M.; Troche-Souza, C.H.; Camacho-Sandoval, T.; Weissenberger, H.; López-Merlín, D. Diagnóstico Sobre el Estado Actual del Ecosistema de duna Costera en la Costa Norte, Centro y Sur de la Reserva de la Biosfera Sian Ka’an; Comisión Nacional de Áreas Naturales Protegidas: Cancún, Quintana Roo, México, 2016; p. 245. Available online: https://iefectividad.conanp.gob.mx/i-efectividad/I-efectividad%20atendido/RB%20Sian%20Ka’an/DOCUMENTOS/DIAGNOSTICO%20DEL%20ESTADO%20ACTUAL%20DE%20LAS%20DUNAS%20COSTERAS%20RBSK%202016.pdf (accessed on 1 March 2023).
- Espejel, I.; Jiménez-Orocio, O.; Castillo-Campos, G.; Garcillán, P.P.; Álvarez, L.; Castillo-Argüero, S.; Durán, R.; Ferrer, M.; Infante-Mata, D.; Iriarte, S.; et al. Flora en playas y dunas costeras de México. Acta Bot. Mex. 2017, 121, 39–81. [Google Scholar] [CrossRef]
- Gutiérrez-Báez, C.; Avendaño-Reyes, S.; Zamora-Crescencio, P. Listado florístico de las dunas costeras de la Península de Yucatán, México. For. Veracruzana 2020, 22, 1–6. [Google Scholar]
- Gómez, I.; Silva, R.; Lithgow, D.; Rodríguez, J.; Banaszak, A.T.; van Tussenbroek, B. A Review of Disturbances to the Ecosystems of the Mexican Caribbean, Their Causes and Consequences. J. Mar. Sci. Eng. 2022, 10, 644. [Google Scholar] [CrossRef]
- Martínez, M.; Lithgow, D.; Vázquez, G.; Garcia-Franco, J.G. Capítulo 18. Diagnóstico de Las Necesidades y Probabilidades de Restauración En Las Dunas Costeras de Quintana Roo. In Experiencias Mexicanas en la Restauración de los Ecosistemas; UNAM; CRIM; UAEM; CONABIO: Ciudad de México, México, 2016; pp. 409–431. ISBN 978-607-02-8157-0. [Google Scholar]
- Martínez, M.L. Las Playas y las Dunas Costeras: Un Hogar en Movimiento; Fondo de Cultura Económica: Ciudad de México, México, 2009; ISBN 978-607-16-0151-3. [Google Scholar]
- Pedroza, D.; Cid, A.; García, O.; Silva, R.; Villatoro, M.; Delgadillo Calzadilla, M.A.; Mendoza, E.; Espejel, I.; Moreno-Casasola, P.; Martínez, M.; et al. Manejo de ecosistemas de dunas costeras, criterios ecológicos y estrategias; Secretaría de Medio Ambiente y Recursos Naturales: Ciudad de México, Mexico, 2013; ISBN 978-607-8246-59-5. Available online: https://www.researchgate.net/publication/323487322_Manejo_de_Ecosistemas_de_Dunas_Costeras_Criterios_Ecologicos_y_Estrategias (accessed on 1 March 2023).
- Castillo-Campos, G.; Martínez, M.L.; García-Franco, J.G. La lechuga de Mar, una Planta Invasora en las Costas de la Península de Yucatán, México; Centro de Investigación Científica de Yucatán, A.C.: Ciudad de Mérida, Yucatán, México, 2022; pp. 17–21. [Google Scholar]
- Mendoza-González, G.; Calina, Z.-C.; Vanessa, F.; Vanessa, H.-M.; Luz, H.V.D.; Fernando, S.; Carlos, A.F.J.; Rodolfo, R.-N. Manual para la restauración de Dunas Costeras de la Península de Yucatán; Zenodo: Ciudad de Mérida, Yucatán, México, 2022; Available online: https://zenodo.org/records/8023679 (accessed on 1 March 2023).
- Potgieter, L.J.; Richardson, D.M.; Wilson, J.R.U. Casuarina: Biogeography and Ecology of an Important Tree Genus in a Changing World. Biol. Invasions 2014, 16, 609–633. [Google Scholar] [CrossRef]
- Cohuo, S.; Macario-González, L.; Pérez, L.; Sylvestre, F.; Paillès, C.; Curtis, J.H.; Kutterolf, S.; Wojewódka, M.; Zawisza, E.; Szeroczyńska, K.; et al. Climate Ultrastructure and Aquatic Community Response to Heinrich Stadials (HS5a-HS1) in the Continental Northern Neotropics. Quat. Sci. Rev. 2018, 197, 75–91. [Google Scholar] [CrossRef]
- Andrade-Velázquez, M.; Medrano-Pérez, O.R.; Montero-Martínez, M.J.; Alcudia-Aguilar, A. Regional Climate Change in Southeast Mexico-Yucatan Peninsula, Central America and the Caribbean. Appl. Sci. 2021, 11, 8284. [Google Scholar] [CrossRef]
- Hogan, J.A.; Sharpe, J.M.; Van Beusekom, A.; Stankavich, S.; Matta Carmona, S.; Bithorn, J.E.; Torres-Díaz, J.; González, G.; Zimmerman, J.K.; Shiels, A.B. Solar Radiation and Soil Moisture Drive Tropical Forest Understory Responses to Experimental and Natural Hurricanes. Ecosphere 2022, 13, e4150. [Google Scholar] [CrossRef]
- Bateman, M.D.; Rushby, G.; Stein, S.; Ashurst, R.A.; Stevenson, D.; Jones, J.M.; Gehrels, W.R. Can Sand Dunes Be Used to Study Historic Storm Events? Earth Surf. Process. Landf. 2018, 43, 779–790. [Google Scholar] [CrossRef]
- DOF. ACUERDO Por el Que se da a Conocer el Resumen del Programa de Manejo del Área Natural Protegida con el Carácter de Reserva de la Biosfera Sian Ka an; DOF: Ciudad de México, México, 2015; Available online: https://www.dof.gob.mx/nota_detalle.php?codigo=5379437&fecha=23/01/2015#gsc.tab=0 (accessed on 5 March 2023).
- DOF. DECRETO Por el que Declara Como área que Requiere la Protección, Mejoramiento, Conservación y Restauración de sus Condiciones Ambientales la Superficie Denominada Reserva de la Biósfera Sian Ka’an, Ubicada en los Municipios de Cozumel y Felipe Carrillo Puerto, Q. Roo; DOF: Ciudad de México, México, 1986; Available online: https://simec.conanp.gob.mx/pdf_decretos/97_decreto.pdf (accessed on 5 March 2023).
- POEQR. Decreto por el cual se establece el Programa de Ordenamiento Ecológico de la Zona Costera de la Reserva de la Biosfera de Sian Ka’an; POEQR: Ciudad de Chetumal, Quintana Roo, México, 2002; Available online: http://segob.qroo.gob.mx/portalsegob/MicroBPO.php (accessed on 5 March 2023).
- Rojas-Correa, A.; Palafox-Muñoz, A. La apropiación social del territorio en la Reserva de la Biosfera Sian Ka’an. Études Caribéennes 2018, 41, 1–21. [Google Scholar] [CrossRef]
- Rojas-Correa, A.; Palafox-Muñoz, A. Turismo y acumulación de capital: Una mirada a la Reserva de la Biosfera Sian Ka’an. Íconos Rev. Cienc. Soc. 2019, 64, 47–67. [Google Scholar] [CrossRef]
- Lowry, J. Low-Cost GIS Software and Data for Wetland Inventory, Assessment and Monitoring; Ramsar Technical Report; Ramsar Convention Secretariat: Gland, Switzerland, 2006; ISBN 2-940073-30-9. [Google Scholar]
- Hernández-Stefanoni, J.L. La unión hace la fuerza: Combinación de sensores remotos para el monitoreo de bosques tropicales. Desde El Herb. CICY 2019, 11, 244–250. [Google Scholar]
- Jackson, C.M.; Adam, E. Remote Sensing of Selective Logging in Tropical Forests: Current State and Future Directions. Iforest Biogeosciences For. 2020, 13, 286. [Google Scholar] [CrossRef]
- Guzmán, E.R.; Rodríguez, A.G.; Garnica, J.G.F.; Munguía, S.M. Aplicación de sensores remotos e inteligencia artificial en la gestión y conservación de bosques frente al cambio climático en México: Application of remote sensors and artificial intelligence in the management and conservation of forests in the face of climate change in Mexico. e-CUCBA 2024, 21, 142–149. [Google Scholar] [CrossRef]
- Rodríguez-Moreno, V.M.; Bullock, S.H. Comparación espacial y temporal de índices de la vegetación para verdor y humedad y aplicación para estimar LAI en el Desierto Sonorense | Revista Mexicana de Ciencias Agrícolas. Rev. Mex. Cienc. Agríc. 2013, 4, 611–623. [Google Scholar] [CrossRef]
- Ceceña-Sánchez, M.L.; Eaton-González, R.; Solís-Cámara, A.B.; Delgadillo-Rodríguez, J.; Luna-Mendoza, L.; Ortega-Rubio, A. Evaluación de cambios en la cobertura vegetal en Isla Guadalupe mediante índices de vegetación. Madera Y Bosques 2021, 27, 21. [Google Scholar] [CrossRef]
- National Oceanic and Atmospheric Administration, (NOAA) Historical Hurricane Tracks. Available online: https://coast.noaa.gov/hurricanes/#map=4/32/-80 (accessed on 15 March 2023).
- Molina, C.; Rubinoff, P.; Carranza, J. Normas Prácticas Para el Desarrollo Turistico de la Zona Costera de Quintana Roo, México; Programa de Manejo Integrado de los Recursos Costeros en Quintana Roo; Amigos de Sian Ka’an A.C.; Coastal Resources Center: Cancún, Mexico, 1998. [Google Scholar]
- Martínez, M.L.; Valverde, T.; Moreno-Casasola, P. Germination Response to Temperature, Salinity, Light and Depth of Sowing of Ten Tropical Dune Species. Oecologia 1992, 92, 343–353. [Google Scholar] [CrossRef]
- Martínez, M.L.; Pérez-Maqueo, O.; Vázquez, G.; Landgrave, R. Warmer Temperature and Spatiotemporal Dynamics during Primary Succession on Tropical Coastal Dunes. Plants 2022, 11, 3029. [Google Scholar] [CrossRef]
- de Almeida, L.R.; Silva, R.; Martínez, M.L. The Relationships between Environmental Conditions and Parallel Ecosystems on the Coastal Dunes of the Mexican Caribbean. Geomorphology 2022, 397, 108006. [Google Scholar] [CrossRef]
- D’Alessandro, F.; Tomasicchio, G.R.; Frega, F.; Leone, E.; Francone, A.; Pantusa, D.; Barbaro, G.; Foti, G. Beach–Dune System Morphodynamics. J. Mar. Sci. Eng. 2022, 10, 627. [Google Scholar] [CrossRef]
- Lambers, H.; Oliveira, R.S. Plant Physiological Ecology, 3rd ed.; Springer: Cham, Switzerland, 2019; ISBN 978-3-030-29641-4. [Google Scholar]
- Márdero, S.; Nickl, E.; Schmook, B.; Schneider, L.; Rogan, J.; Christman, Z.; Lawrence, D. Sequías en el sur de la península de Yucatán: Análisis de la variabilidad anual y estacional de la precipitación. Investig. Geográficas 2012, 78, 19. [Google Scholar] [CrossRef]
- Salas-Acosta, E.R.; Andrade, J.L.; Perera-Burgos, J.A.; Us-Santamaría, R.; Figueroa-Espinoza, B.; Uuh-Sonda, J.M.; Cejudo, E. Transpiration of a Tropical Dry Deciduous Forest in Yucatan, Mexico. Atmosphere 2022, 13, 271. [Google Scholar] [CrossRef]
- SEMARNAT-CONANP. Programa de Manejo Complejo Sian Ka’an: Reserva de la Biosfera Sian Ka’an, Área de Protección de Flora y Fauna Uaymil y Reserva de la Biosfera Arrecifes de Sian Ka’an; Secretaría de Medio Ambiente y Recursos Naturales-Comisión Nacional de Áreas Naturales Protegidas: Ciudad de México, México, 2014; Volume 1, Available online: https://simec.conanp.gob.mx/pdf_libro_pm/97_libro_pm.pdf (accessed on 5 March 2023).
- Guimarais, M.; Zúñiga-Ríos, A.; Cruz-Ramírez, C.J.; Chávez, V.; Odériz, I.; van Tussenbroek, B.I.; Silva, R. The Conservational State of Coastal Ecosystems on the Mexican Caribbean Coast: Environmental Guidelines for Their Management. Sustainability 2021, 13, 2738. [Google Scholar] [CrossRef]
- López-Portillo, J.; Ezcurra, E. Los manglares de México: Una revisión. Madera Y Bosques 2002, 8, 27–51. [Google Scholar] [CrossRef]
- Velasco-Tapia, B.P. Estimación y Actualización de la Tasa de Transformación del Hábitat de las Áreas Naturales Protegidas SINAP I y SINAP II del FANP: Complejo Sian Ka’an—Uaymil; Comisión Nacional de Áreas Naturales Protegidas- Secretaría de Medio Ambiente y Recursos Naturales: Morelia, Michoacan, México, 2009; Available online: https://simec.conanp.gob.mx/TTH/Siankaan_Uaymil/Siankaan_Uaymil_TTH_2000_2008.pdf (accessed on 6 March 2023).
- Brenner, L.; Río, D.V. del Gobernabilidad y gobernanza ambiental en México. La experiencia de la Reserva de la Biosfera Sian Ka’an. Polis Investig. Y Análisis Sociopolítico Y Psicosoc. 2010, 6, 115–154. [Google Scholar]
- Blangy, S.; Mehta, H. Ecotourism and Ecological Restoration. J. Nat. Conserv. 2006, 14, 233–236. [Google Scholar] [CrossRef]
- Soma, K.; Verweij, P.; Angel, E.; Naranjo, M.A. Inclusiveness in the Caribbean-Locals’ Perceptions about Nature, Tourism and Recreation in Bonaire. Sustainability 2022, 14, 14167. [Google Scholar] [CrossRef]
- Adame, M.F.; Kauffman, J.B.; Medina, I.; Gamboa, J.N.; Torres, O.; Caamal, J.P.; Reza, M.; Herrera-Silveira, J.A. Carbon Stocks of Tropical Coastal Wetlands within the Karstic Landscape of the Mexican Caribbean. PLoS ONE 2013, 8, e56569. [Google Scholar] [CrossRef]
- Perea-Ardila, M.A.; Villamil, J.L.; Oviedo-Barrero, F. Caracterización espectral y monitoreo de bosques de manglar con Teledetección en el litoral Pacífico colombiano: Bajo Baudó, Chocó. La Granja 2021, 34, 27–44. [Google Scholar] [CrossRef]
- Hoen, I. Analysis of Vegetation Change for Two Coastal Regions on Curaçao|Dutch Caribbean Biodiversity Database. Master’s Thesis, Wageningen University, Wageningen, The Netherlands, 2021. [Google Scholar]
- Sandoval-Murillo, L.; Barrantes-Castillo, G. Cambios en la cobertura de la tierra en los puntos calientes de erosión costera en el caribe sur de Costa Rica, durante el periodo 2005–2017. Uniciencia 2021, 35, 1–23. [Google Scholar] [CrossRef]
- Cedrés, N. Invertirán Más de 50 M € Para Recuperar Algunas Playas de Quintana Roo. Available online: https://www.hosteltur.com/62124_invertiran-50-m-recuperar-algunas-playas-quintana-roo.html (accessed on 22 April 2024).
- Villate-Daza, D.A.; Sánchez-Moreno, H.; Portz, L.; Portantiolo Manzolli, R.; Bolívar-Anillo, H.J.; Anfuso, G. Mangrove Forests Evolution and Threats in the Caribbean Sea of Colombia. Water 2020, 12, 1113. [Google Scholar] [CrossRef]
- Vázquez, J. Proyectos de Recuperación de Playas del Caribe Mexicano, Sin Financiamiento Desde 2017. Available online: https://www.eleconomista.com.mx/estados/Proyectos-de-recuperacion-de-playas-del-Caribe-mexicano-sin-financiamiento-desde-2017-20200820-0116.html (accessed on 22 April 2024).
- Zimmerman, J.K.; Everham, E.M.; Waide, R.B.; Lodge, D.J.; Taylor, C.M.; Brokaw, N.V.L. Responses of Tree Species to Hurricane Winds in Subtropical Wet Forest in Puerto Rico: Implications for Tropical Tree Life Histories. J. Ecol. 1994, 82, 911–922. [Google Scholar] [CrossRef]
- Everham, E.M.; Brokaw, N.V.L. Forest Damage and Recovery from Catastrophic Wind. Bot. Rev. 1996, 62, 113–185. [Google Scholar] [CrossRef]
- Tanner, E.V.J.; Bellingham, P.J. Less Diverse Forest Is More Resistant to Hurricane Disturbance: Evidence from Montane Rain Forests in Jamaica. J. Ecol. 2006, 94, 1003–1010. [Google Scholar] [CrossRef]
- Lugo, A.E. Visible and Invisible Effects of Hurricanes on Forest Ecosystems: An International Review. Austral Ecol. 2008, 33, 368–398. [Google Scholar] [CrossRef]
- Griffith, M.P.; Noblick, L.R.; Dowe, J.L.; Husby, C.E.; Calonje, M.A. Cyclone Tolerance in New World Arecaceae: Biogeographic Variation and Abiotic Natural Selection. Ann. Bot. 2008, 102, 591–598. [Google Scholar] [CrossRef]
- Hogan, J.A.; Zimmerman, J.K.; Thompson, J.; Uriarte, M.; Swenson, N.G.; Condit, R.; Hubbell, S.; Johnson, D.J.; Sun, I.F.; Chang-Yang, C.-H.; et al. The Frequency of Cyclonic Wind Storms Shapes Tropical Forest Dynamism and Functional Trait Dispersion. Forests 2018, 9, 404. [Google Scholar] [CrossRef]
- Ibanez, T.; Keppel, G.; Menkes, C.; Gillespie, T.W.; Lengaigne, M.; Mangeas, M.; Rivas-Torres, G.; Birnbaum, P. Globally Consistent Impact of Tropical Cyclones on the Structure of Tropical and Subtropical Forests. J. Ecol. 2019, 107, 279–292. [Google Scholar] [CrossRef]
- McLaren, K.; Luke, D.; Tanner, E.; Bellingham, P.J.; Healey, J.R. Reconstructing the Effects of Hurricanes over 155 Years on the Structure and Diversity of Trees in Two Tropical Montane Rainforests in Jamaica. Agric. For. Meteorol. 2019, 276–277, 107621. [Google Scholar] [CrossRef]
- Maun, M.A. The Biology of Coastal Sand Dunes; Oxford University Press: Oxford, UK, 2009; ISBN 978-0-19-191673-1. [Google Scholar]
- Jackson, D.W.T.; Costas, S.; González-Villanueva, R.; Cooper, A. A Global ‘Greening’ of Coastal Dunes: An Integrated Consequence of Climate Change? Glob. Planet. Chang. 2019, 182, 103026. [Google Scholar] [CrossRef]
- Miller, T.E.; Gornish, E.S.; Buckley, H.L. Climate and Coastal Dune Vegetation: Disturbance, Recovery, and Succession. Plant Ecol. 2010, 206, 97–104. [Google Scholar] [CrossRef]
- Hernández-Cordero, A. Análisis de la Vegetación Como Indicadora de las Alteraciones Ambientales Inducidas por la Actividad Turística en la Reserva Natural Especial de las Dunas de Maspalomas. Ph.D. Thesis, Universidad de Las Palmas de Gran Canaria, Las Palmas, Spain, 2012. Available online: https://accedacris.ulpgc.es/handle/10553/9768?locale=en (accessed on 6 March 2023).
- Martinez, M.L.; Moreno-Casasolai, P. Effects of Burial by Sand on Seedling Growth and Survival in Six Tropical Sand Dune Species from the Gulf of Mexico. J. Coast. Res. 1996, 12, 406–419. [Google Scholar]
- Martinez, M.L.; Moreno-Casasola, P.; Rincon, E. Sobrevivencia y crecimiento de plántulas de un arbusto endémico de dunas costeras ante condiciones de sequía. Acta Bot. Mex. 1994, 26, 53–62. [Google Scholar] [CrossRef][Green Version]
- Gondwe, B.R.N. The Influence of Conceptual Model Uncertainty on Management Decisions for a Groundwater-Dependent Ecosystem in Karst. J. Hydrol. 2011, 400, 24–40. [Google Scholar] [CrossRef]
- Torres-Rodríguez, V.; García, A.; Bolongaro Crevenna Recaséns, A.; Hernández, J.; García, E.; Díaz, G. Tasa de erosión y vulnerabilidad costera en el Estado de Campeche debido a efectos del cambio climático. In Vulnerabilidad de las Zonas Costeras Mexicanas ante el Cambio Climático; Secretaría de Medio Ambiente y Recursos Naturales -INE, Universidad Nacional Autónoma de México-Instituto de Ciencias de Mar y Limnología: Universidad Autónoma de Campeche: Campeche, Mexico, 2010; pp. 325–344. (In Spanish) [Google Scholar]
- Aguilar-Martínez, P. Variación estacional de parámetros ambientales e hidrológicos de la Laguna Chacmochuch, Quintana Roo, Tesis de Maestría; Centro de Investigación Científica de Yucatán, A.C.: Cancún, Quintana Roo, México, May 2015. [Google Scholar]
- Asmerom, Y.; Baldini, J.U.L.; Prufer, K.M.; Polyak, V.J.; Ridley, H.E.; Aquino, V.V.; Baldini, L.M.; Breitenbach, S.F.M.; Macpherson, C.G.; Kennett, D.J. Intertropical Convergence Zone Variability in the Neotropics during the Common Era. Sci. Adv. 2020, 6, eaax3644. [Google Scholar] [CrossRef] [PubMed]
- Dachary, A.C.; Arnaiz Burne, S.M. Sian Ka’an: El Hombre y su Economía; Centro de Investigación de Quintana Roo: Chetumal Quintana Roo, México, 1989. [Google Scholar]
- López-Hernández, J.R. La Participación Social en la Construcción de Procesos de Gobernanza Ambiental en la Reserva Sian Ka’an, Quintana Roo, México; El Colegio de la Frontera Sur: San Cristóbal de Las Casas, Chiapas, México, 2013. [Google Scholar]
- USGS Landsat 4-7 Collection 2 (C2) Level 2 Science Product (L2SP) Guide. Available online: https://www.usgs.gov/media/files/landsat-4-7-collection-2-level-2-science-product-guide (accessed on 18 April 2024).
- Abatzoglou, J.T.; Dobrowski, S.Z.; Parks, S.A.; Hegewisch, K.C. TerraClimate, a High-Resolution Global Dataset of Monthly Climate and Climatic Water Balance from 1958–2015. Sci. Data 2018, 5, 170191. [Google Scholar] [CrossRef] [PubMed]
- QGIS.org (2020). QGIS Geographic Information System. Open Source Geospatial Foundation Project. http://qgis.org”. Available online: https://qgis.org/es/site/forusers/download.html (accessed on 29 April 2024).
- Origin(Pro), Version 2022. OriginLab Corporation, Northampton, MA, USA. Available online: https://www.originlab.com/origin (accessed on 29 April 2024).
- Zar, J.H. Biostatistical Analysis, 5th ed.; Prentice Hall: Englewood Cliffs, NJ, USA, 2010; ISBN 978-0-13-100846-5. [Google Scholar]
- Rivas-Ruiz, R.; Moreno-Palacios, J.; Talaveraa, J.O. Investigación clínica XVI Diferencias de medianas con la U de Mann-Whitney. Rev. Med. Inst. Mex Seguro Soc. 2013, 51, 414–419. [Google Scholar]
- Alencar da Silva Alves, K.M.; Parodi D’avila, M.C.; Silva Nóbrega, R.; Opazo Albarran, D. Variabilidad espacial y temporal de la cobertura vegetal de los años 1984 a 2011 en la cuenca hidrográfica del Río Moxotó, Pernambuco, Brasil. Diálogo Andin. 2019, 58, 139–150. [Google Scholar] [CrossRef]
- Bozzi-Zeferino, L.; Tavares de-Souza, L.F.; do Amaral, C.H.; Fernandes Filho, E.I.; de Oliveira, T.S. Does Environmental Data Increase the Accuracy of Land Use and Land Cover Classification? Int. J. Appl. Earth Obs. Geoinf. 2020, 91, 102128. [Google Scholar] [CrossRef]
- Mann, H.B. Nonparametric Tests Against Trend. Econometrica 1945, 13, 245–259. [Google Scholar] [CrossRef]
- McLeod, A.I. Kendall Rank Correlation and Mann-Kendall Trend Test. R Package Kendall 2022, 602, 1–10. [Google Scholar]
- Lou, W.; Sun, S.; Sun, K.; Yang, X.; Li, S. Summer Drought Index Using SPEI Based on 10-Day Temperature and Precipitation Data and Its Application in Zhejiang Province (Southeast China). Stoch. Environ. Res. Risk Assess. 2017, 31, 2499–2512. [Google Scholar] [CrossRef]
- da Silva, D.G. Evolução Paleoambiental dos Depósitos de Tanques em Fazenda Nova, Município de Brejo da Madre de Deus—Pernambuco. Available online: https://repositorio.ufpe.br/handle/123456789/6938 (accessed on 18 April 2024).
- Muhsin, I.J. Change Detection of Remotely Sensed Image Using NDVI Subtractive and Classification Methods. Iraqi J. Phys. 2016, 14, 125–137. [Google Scholar] [CrossRef]
- Fassnacht, F.E.; Schiller, C.; Kattenborn, T.; Zhao, X.; Qu, J. A Landsat-Based Vegetation Trend Product of the Tibetan Plateau for the Time-Period 1990–2018. Sci. Data 2019, 6, 78. [Google Scholar] [CrossRef] [PubMed]
- Legendre, P.; Anderson, M.J. Distance-Based Redundancy Analysis: Testing Multispecies Responses in Multifactorial Ecological Experiments. Ecol. Monogr. 1999, 69, 1–24. [Google Scholar] [CrossRef]
- McArdle, B.H.; Anderson, M.J. Fitting Multivariate Models to Community Data: A Comment on Distance-Based Redundancy Analysis. Ecology 2001, 82, 290–297. [Google Scholar] [CrossRef]
- Anderson, M.J.; Gorley, R.N.; Clarke, K.S.; Anderson, M.; Gorley, R.N.; Clarke, K.; Andersom, M. PERMANOVA+ for PRIMER. Guide to Software and Statistical Methods; 2008. Available online: https://www.researchgate.net/profile/Sina_Zarini3/post/Permanova_How_do_I_know_if_a_factor_should_be_nested_or_not/attachment/5c2a7854cfe4a764550d03f5/AS%3A709994081181697%401546287188435/download/PERMANOVA%2B_manual.pdf (accessed on 6 March 2023).
- Maestre, F.T.; Alcántara, A.E.; Jornet, A.B. Introducción al análisis espacial de datos en ecología y ciencias ambientales: Métodos y Aplicaciones; Servicio de Publicaciones, Universidad Rey Juan Carlos: Madrid, Spain, 2008; ISBN 978-84-9849-308-5. [Google Scholar]
- Palacio, F.X.; Apodaca, M.J.; Crisci, J.V. Análisis multivariado para datos biológicos: Teoría y su aplicación utilizando el lenguaje R; Fundación de Historia Natural Félix de Azara: Buenos Aires, Argentina, 2020; ISBN 978-987-3781-49-0. [Google Scholar]










| SAVI | Vegetation Strata and Representative Vegetation | |
|---|---|---|
| Category 1: | Bare Soil and/or Water (−0.77 to 0); | Sand |
| Category 2: | Low-Density Vegetation (0 to 0.25); | Herbaceous and creeping vegetation: Canavalia rosea, Ipomoea pes-caprae, Sesuvium portulacastrum, Sporobolus virginicus, Cakile lanceolata. |
| Category 3: | Medium–Low-Density Vegetation (0.25 to 0.35); | Shrubby: Suriana maritima, Tournefortia gnaphalodes, Ernodea littoralis; Scaevola plumieri, Lantana involucrata. |
| Category 4: | Medium–High-Density Vegetation (0.35 to 0.45); | Shrubby–arboreal: Thrinax radiata, Ernodea littoralis; Scaevola plumieri, Cordia sebestena, Tournefortia gnaphalodes, Cocos nucifera, Lantana involucrata. |
| Category 5: | High-Density Vegetation (0.45 to 0.66). | Arboreal: Thrinax radiata, Coccoloba uvifera, Cordia sebestena, Bursera simaruba, Metopium brownei and Cocos nucifer, Rhizophora mangle, Conocarpus erectus. |
Disclaimer/Publisher’s Note: The statements, opinions and data contained in all publications are solely those of the individual author(s) and contributor(s) and not of MDPI and/or the editor(s). MDPI and/or the editor(s) disclaim responsibility for any injury to people or property resulting from any ideas, methods, instructions or products referred to in the content. |
© 2024 by the authors. Licensee MDPI, Basel, Switzerland. This article is an open access article distributed under the terms and conditions of the Creative Commons Attribution (CC BY) license (https://creativecommons.org/licenses/by/4.0/).
Share and Cite
Gayosso-Soto, E.; Cohuo, S.; Sánchez-Sánchez, J.A.; Villegas-Sánchez, C.A.; Castro-Pérez, J.M.; Cutz-Pool, L.Q.; Macario-González, L. Coastal Dune Vegetation Dynamism and Anthropogenic-Induced Transitions in the Mexican Caribbean during the Last Decade. Plants 2024, 13, 1734. https://doi.org/10.3390/plants13131734
Gayosso-Soto E, Cohuo S, Sánchez-Sánchez JA, Villegas-Sánchez CA, Castro-Pérez JM, Cutz-Pool LQ, Macario-González L. Coastal Dune Vegetation Dynamism and Anthropogenic-Induced Transitions in the Mexican Caribbean during the Last Decade. Plants. 2024; 13(13):1734. https://doi.org/10.3390/plants13131734
Chicago/Turabian StyleGayosso-Soto, Eloy, Sergio Cohuo, Joan Alberto Sánchez-Sánchez, Carmen Amelia Villegas-Sánchez, José Manuel Castro-Pérez, Leopoldo Querubín Cutz-Pool, and Laura Macario-González. 2024. "Coastal Dune Vegetation Dynamism and Anthropogenic-Induced Transitions in the Mexican Caribbean during the Last Decade" Plants 13, no. 13: 1734. https://doi.org/10.3390/plants13131734
APA StyleGayosso-Soto, E., Cohuo, S., Sánchez-Sánchez, J. A., Villegas-Sánchez, C. A., Castro-Pérez, J. M., Cutz-Pool, L. Q., & Macario-González, L. (2024). Coastal Dune Vegetation Dynamism and Anthropogenic-Induced Transitions in the Mexican Caribbean during the Last Decade. Plants, 13(13), 1734. https://doi.org/10.3390/plants13131734

